Determining the Optimum Level of Soil Olsen Phosphorus and Phosphorus Fertilizer Application for High Phosphorus-Use Efficiency in Zea mays L. in Black Soil
Abstract
1. Introduction
2. Material and Methods
2.1. Site Description
2.2. Experiment Design and Crop Management
2.3. Soil Sampling and Analyses
2.4. Plant Sampling and Analyses
2.5. Statistical Analysis
3. Results
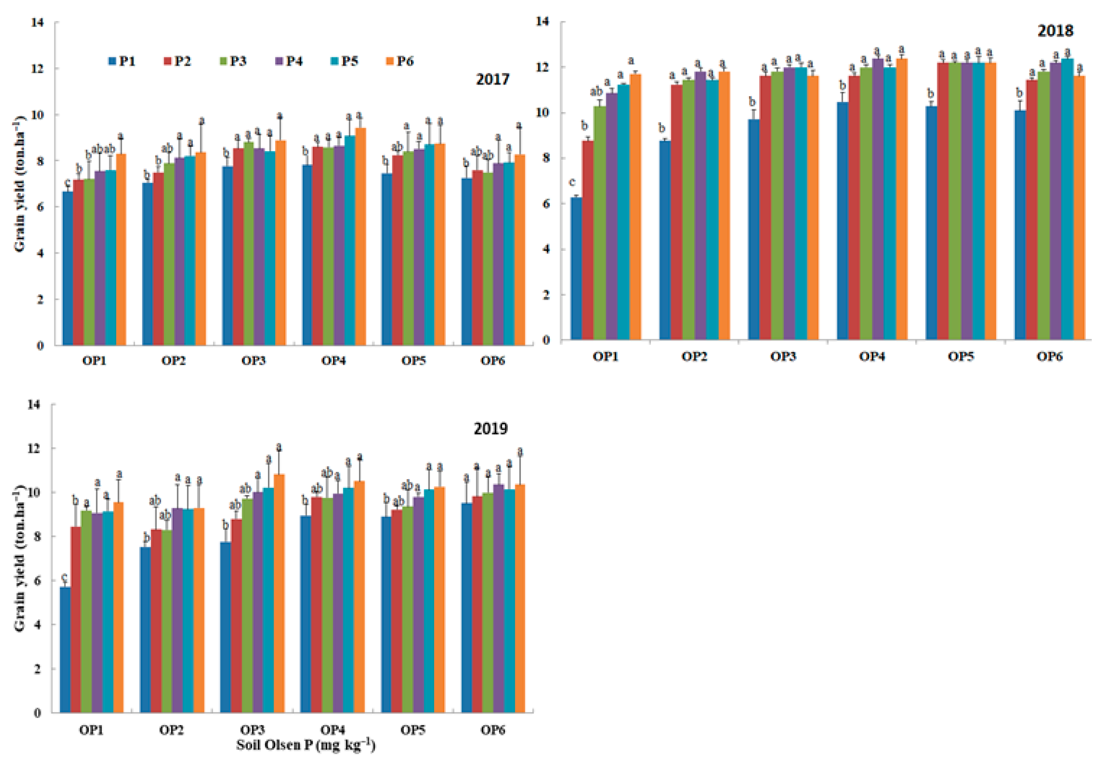
3.1. Grain Yield Response to Olsen P Levels and P Application Rates during the Three Years of the Experiment
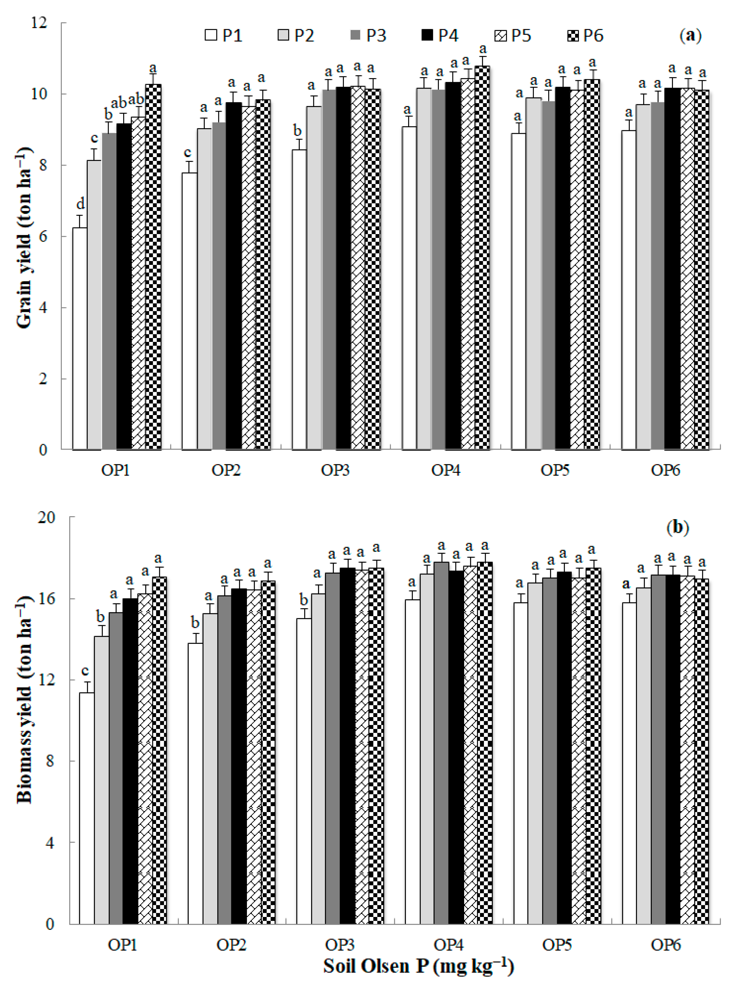
3.2. Grain and Aboveground Biomass Yield Response to Olsen P Levels and P Application Rates
3.3. Grain and Aboveground Biomass Yield Response to P Application Rates
3.4. Phosphorus-Use Efficiency Response to Soil OP Levels and P Application Rates
3.5. Phosphorus-Use Efficiency Response to P Application Rates
3.6. The Agronomic Critical Level of Olsen P for Maize in Black Soil
3.7. Effect of Experimental Factors Year, Olsen P, and P Application Rate on the Growth, Yield, and PUE of Maize Crops
4. Discussion
4.1. Crop Yield Response to Soil Olsen P Levels and P Application Rates
4.2. The Phosphorus-Use Efficiency of Maize and Olsen P Influence on Maize Yield
4.3. Critical Levels of Olsen P for Crop Yield
4.4. Phosphorus Fertilizer Management Strategies
5. Conclusions
Author Contributions
Funding
Institutional Review Board Statement
Informed Consent Statement
Data Availability Statement
Acknowledgments
Conflicts of Interest
References
- Sharma, S.B.; Sayyed, R.; Trivedi, M.H.; Gobi, T.A. Phosphate solubilizing microbes: Sustainable approach for managing phosphorus deficiency in agricultural soils. SpringerPlus 2013, 2, 587. [Google Scholar] [CrossRef]
- Yang, J.; Zhang, J.; Huang, Z.; Zhu, Q.; Wang, L. Remobilization of Carbon Reserves Is Improved by Controlled Soil-Drying during Grain Filling of Wheat. Crop Sci. 2000, 40, 1645–1655. [Google Scholar] [CrossRef]
- Schindler, D.W.; Hecky, R.E.; Findlay, D.L.; Stainton, M.P.; Parker, B.R.; Paterson, M.J.; Beaty, K.G.; Lyng, M.; Kasian, S.E.M. Eutrophication of lakes cannot be controlled by reducing nitrogen input: Results of a 37-year whole-ecosystem experiment. Proc. Natl. Acad. Sci. USA 2008, 105, 11254–11258. [Google Scholar] [CrossRef]
- Gao, Y.; Zhu, B.; Zhou, P.; Tang, J.-L.; Wang, T.; Miao, C.-Y. Effects of vegetation cover on phosphorus loss from a hillslope cropland of purple soil under simulated rainfall: A case study in China. Nutr. Cycl. Agroecosyst. 2009, 85, 263–273. [Google Scholar] [CrossRef]
- Li, H.; Huang, G.; Meng, Q.; Ma, L.; Yuan, L.; Wang, F.; Zhang, W.; Cui, Z.; Shen, J.; Chen, X.; et al. Integrated soil and plant phosphorus management for crop and environment in China. A review. Plant Soil 2011, 349, 157–167. [Google Scholar] [CrossRef]
- Mustafa, A.; Hu, X.; Abrar, M.M.; Shah, S.A.A.; Nan, S.; Saeed, Q.; Kamran, M.; Naveed, M.; Conde-Cid, M.; Hongjun, G.; et al. Long-term fertilization enhanced carbon mineralization and maize biomass through physical protection of organic carbon in fractions under continuous maize cropping. Appl. Soil Ecol. 2021, 165, 103971. [Google Scholar] [CrossRef]
- Shah, S.A.A.; Xu, M.; Abrar, M.M.; Mustafa, A.; Fahad, S.; Shah, T.; Yang, X.; Zhou, W.; Zhang, S.; Nan, S.; et al. Long-term fertilization affects functional soil organic carbon protection mechanisms in a profile of Chinese loess plateau soil. Chemosphere 2021, 267, 128897. [Google Scholar] [CrossRef]
- Zhang, F.; Cui, Z.; Chen, X.; Ju, X.; Shen, J.; Chen, Q.; Liu, X.; Zhang, W.; Mi, G.; Fan, M.; et al. Integrated Nutrient Management for Food Security and Environmental Quality in China. Adv. Agron. 2012, 116, 1–40. [Google Scholar] [CrossRef]
- FAO. FAOSTAT Database-Agriculture Production; Food and Agriculture Organization of the United Nations: Rome, Italy, 2011. [Google Scholar]
- Aulakh, M.S.; Pasricha, N.S.; Bahl, G.S. Phosphorus fertilizer response in an irrigated soybean–wheat production system on a subtropical, semiarid soil. Field Crops Res. 2003, 80, 99–109. [Google Scholar] [CrossRef]
- Xia, H.-Y.; Wang, Z.-G.; Zhao, J.-H.; Sun, J.-H.; Bao, X.-G.; Christie, P.; Zhang, F.-S.; Li, L. Contribution of interspecific interactions and phosphorus application to sustainable and productive intercropping systems. Field Crops Res. 2013, 154, 53–64. [Google Scholar] [CrossRef]
- Zhang, L.; van der Werf, W.; Bastiaans, L.; Zhang, S.; Li, B.; Spiertz, J. Light interception and utilization in relay intercrops of wheat and cotton. Field Crops Res. 2008, 107, 29–42. [Google Scholar] [CrossRef]
- Rowe, H.; Withers, P.J.A.; Baas, P.; Chan, N.I.; Doody, D.; Holiman, J.; Jacobs, B.; Li, H.; MacDonald, G.K.; McDowell, R.; et al. Integrating legacy soil phosphorus into sustainable nutrient management strategies for future food, bioenergy and water security. Nutr. Cycl. Agroecosyst. 2016, 104, 393–412. [Google Scholar] [CrossRef]
- Wang, R.; Guo, S.; Li, N.; Li, R.; Zhang, Y.; Jiang, J.; Wang, Z.; Liu, Q.; Wu, D.; Sun, Q.; et al. Phosphorus Accumulation and Sorption in Calcareous Soil under Long-Term Fertilization. PLoS ONE 2015, 10, e0135160. [Google Scholar] [CrossRef] [PubMed]
- Withers, P.J.A.; Vadas, P.A.; Uusitalo, R.; Forber, K.J.; Hart, M.; Foy, R.H.; Delgado, A.; Dougherty, W.; Lilja, H.; Burkitt, L.L.; et al. A Global Perspective on Integrated Strategies to Manage Soil Phosphorus Status for Eutrophication Control without Limiting Land Productivity. J. Environ. Qual. 2019, 48, 1234–1246. [Google Scholar] [CrossRef] [PubMed]
- Olsen, S.R.; Cole, C.V.; Watanabe, F.S.; Dean, L.A. Estimation of Available Phosphorus in Soils by Extraction with Sodium Bicarbonate; No. 939; US Department of Agriculture: Washington, DC, USA, 1954.
- Mahmood, M.; Tian, Y.; Ma, Q.; Ahmed, W.; Mehmood, S.; Hui, X.; Wang, Z. Changes in Phosphorus Fractions and Its Availability Status in Relation to Long Term P Fertilization in Loess Plateau of China. Agronomy 2020, 10, 1818. [Google Scholar] [CrossRef]
- Bin, X.I.; Zhani, L.-M.; Liu, S.; Wang, H.-Y.; Luo, C.-Y.; Ren, T.-Z.; Liu, H.-B. Long-term phosphorus accumulation and agronomic and environmtal critical phosphorus levels in Haplic Luvisol soil, northern China. J. Integr. Agric. 2016, 15, 200–208. [Google Scholar]
- Poulton, P.R.; Johnston, A.E.; White, R.P. Plant-available soil phosphorus. Part I: The response of winter wheat and spring barley to Olsen P on a silty clay loam. Soil Use Manag. 2012, 29, 4–11. [Google Scholar] [CrossRef]
- Aziz, M.Z.; Yaseen, M.; Naveed, M.; Wang, X.; Fatima, K.; Saeed, Q.; Mustafa, A. Polymer-Paraburkholderia phytofirmans PsJN Coated Diammonium Phosphate Enhanced Microbial Survival, Phosphorous Use Efficiency, and Production of Wheat. Agronomy 2020, 10, 1344. [Google Scholar] [CrossRef]
- Edmeades, D.; Metherell, A.K.; Waller, J.E.; Roberts, A.H.C.; Morton, J.D. Defining the relationships between pasture production and soil P and the development of a dynamic P model for New Zealand pastures: A review of recent developments. N. Zeal. J. Agric. Res. 2006, 49, 207–222. [Google Scholar] [CrossRef]
- Chen, Y.; Zhou, T.; Zhang, C.; Wang, K.; Liu, J.; Lu, J.; Xu, K. Rational Phosphorus Application Facilitates the Sustainability of the Wheat/Maize/Soybean Relay Strip Intercropping System. PLoS ONE 2015, 10, e0141725. [Google Scholar] [CrossRef] [PubMed]
- Colomb, B.; Debaeke, P.; Jouany, C.; Nolot, J. Phosphorus management in low input stockless cropping systems: Crop and soil responses to contrasting P regimes in a 36-year experiment in southern France. Eur. J. Agron. 2007, 26, 154–165. [Google Scholar] [CrossRef]
- Tang, X.; Ma, Y.; Hao, X.; Li, X.; Li, J.; Huang, S.; Yang, X. Determining critical values of soil Olsen-P for maize and winter wheat from long-term experiments in China. Plant Soil 2009, 323, 143–151. [Google Scholar] [CrossRef]
- Johnston, A.E.; Poulton, P.R.; Fixen, P.E.; Curtin, D. Phosphorus: Its efficient use in agriculture. In Advances in Agronomy; Elsevier: Amsterdam, The Netherlands, 2014; pp. 177–228. [Google Scholar]
- Ashraf, M.N.; Hu, C.; Wu, L.; Duan, Y.; Zhang, W.; Aziz, T.; Cai, A.; Abrar, M.M.; Xu, M. Soil and microbial biomass stoichiometry regulate soil organic carbon and nitrogen mineralization in rice-wheat rotation subjected to long-term fertilization. J. Soils Sediments 2020, 20, 3103–3113. [Google Scholar] [CrossRef]
- Zhang, W.; Ma, W.; Ji, Y.; Fan, M.; Oenema, O.; Zhang, F. Efficiency, economics, and environmental implications of phosphorus resource use and the fertilizer industry in China. Nutr. Cycl. Agroecosyst. 2008, 80, 131–144. [Google Scholar] [CrossRef]
- Zhong, X.; Zhao, X.; Huajun, B.; Li, H.; Guitong, L.; Qimei, L. The evaluation of phosphorus leaching risk of 23 Chinese soils I. Leaching criterion. Acta Ecol. Sin. 2004, 24, 2275–2280. [Google Scholar]
- Rupp, H.; Meissner, R.; Leinweber, P. Plant available phosphorus in soil as predictor for the leaching potential: Insights from long-term lysimeter studies. Ambio 2017, 47, 103–113. [Google Scholar] [CrossRef]
- Johnston, A.E.; Poulton, P.R.; White, R.P. Plant-available soil phosphorus. Part II: The response of arable crops to Olsen P on a sandy clay loam and a silty clay loam. Soil Use Manag. 2012, 29, 12–21. [Google Scholar] [CrossRef]
- Moody, P.W. Environmental risk indicators for soil phosphorus status. Soil Res. 2011, 49, 247–252. [Google Scholar] [CrossRef]
- Gilsanz, C.; Báez, D.; Misselbrook, T.H.; Dhanoa, M.S.; Cárdenas, L.M. Development of emission factors and efficiency of two nitrification inhibitors, DCD and DMPP. Agric. Ecosyst. Environ. 2016, 216, 1–8. [Google Scholar] [CrossRef]
- Vandamme, E.; Rose, T.J.; Saito, K.; Jeong, K.; Wissuwa, M. Integration of P acquisition efficiency, P utilization efficiency and low grain P concentrations into P-efficient rice genotypes for specific target environments. Nutr. Cycl. Agroecosyst. 2015, 104, 413–427. [Google Scholar] [CrossRef]
- Wang, G.; Chen, B.; Khan, K.S.; Zheng, W.; Liang, H.; Han, Z.; Chen, J. Novel value-added phosphorus-potassium-activator fertilizers improve phosphorus use efficiency and crop yields. Environ. Pollut. Bioavailab. 2019, 31, 323–330. [Google Scholar] [CrossRef]
- Dhillon, J.; Torres, G.; Driver, E.; Figueiredo, B.; Raun, W.R. World Phosphorus Use Efficiency in Cereal Crops. Agron. J. 2017, 109, 1670–1677. [Google Scholar] [CrossRef]
- Syers, J.K.; Johnston, A.D.; Curtin, D. Efficiency of Soil and Fertiliser Phosphorus Use: Reconciling Changing Concepts of Soil Phosphorus with Agronomic Information. In FAO Fertilizer and Plant Nutrition Bulletin; FAO: Rome, Italy, 2008. [Google Scholar]
- De Oliveira, L.E.Z.; de Souza Nunes, R.; de Sousa, D.M.G.; de Figueiredo, C.C. Dynamics of residual phosphorus forms under different tillage systems in a Brazilian Oxisol. Geoderma 2020, 367, 114254. [Google Scholar] [CrossRef]
- Johnston, A.E.; Syers, J.K. A new approach to assessing phosphorus use efficiency in agriculture. Better Crops 2009, 93, 14–16. [Google Scholar]
- Khan, A.; Lu, G.; Ayaz, M.; Zhang, H.; Wang, R.; Lv, F.; Yang, X.; Sun, B.; Zhang, S. Phosphorus efficiency, soil phosphorus dynamics and critical phosphorus level under long-term fertilization for single and double cropping systems. Agric. Ecosyst. Environ. 2018, 256, 1–11. [Google Scholar] [CrossRef]
- Lazali, M.; Blavet, D.; Pernot, C.; Desclaux, D.; Drevon, J.J. Efficiency of Phosphorus Use for Dinitrogen Fixation Varies between Common Bean Genotypes under Phosphorus Limitation. Agron. J. 2017, 109, 283–290. [Google Scholar] [CrossRef]
- Wu, Q.; Zhou, W.; Chen, D.; Cai, A.; Ao, J.; Huang, Z. Optimizing Soil and Fertilizer Phosphorus Management According to the Yield Response and Phosphorus Use Efficiency of Sugarcane in Southern China. J. Soil Sci. Plant Nutr. 2020, 20, 1655–1664. [Google Scholar] [CrossRef]
- Shi, X.; Yu, D.; Xu, S.; Warner, E.; Wang, H.; Sun, W.; Zhao, Y.; Gong, Z. Cross-reference for relating Genetic Soil Classification of China with WRB at different scales. Geoderma 2010, 155, 344–350. [Google Scholar] [CrossRef]
- Walkley, A.; Black, I.A. An examination of the degtjareff method for determining soil organic matter, and a proposed modification of the chromic acid titration method. Soil Sci. 1934, 37, 29–38. [Google Scholar] [CrossRef]
- Lu, R.K. Analytical Methods of Soil Agricultural Chemistry; China Agricultural Science and Technology Press: Beijing, China, 2000; pp. 147–150. [Google Scholar]
- Thomas, G.W. Soil pH and Soil Acidity. In Methods of Soil Analysis; John Wiley & Sons: Hoboken, NJ, USA, 1996; pp. 475–490. [Google Scholar]
- Black, C.A.; Evans, D.D.; White, J.L.; Ensminger, L.E.; Clark, F.E. Methods of Soil Analysis; American Society of Agronomy: Madison, WI, USA, 1965. [Google Scholar]
- Sparks, D.L.; Page, A.L.; Helmke, P.A.; Loeppert, R.H.; Soltanpour, P.N.; Tabatabai, M.A.; Johnston, C.T.; Sumner, M.E. Methods of Soil Analysis; Soil Science Society of America: Madison, WI, USA, 1996. [Google Scholar]
- Zhang, H.; Xu, M.; Shi, X.; Li, Z.; Huang, Q.; Wang, X. Rice yield, potassium uptake and apparent balance under long-term fertilization in rice-based cropping systems in southern China. Nutr. Cycl. Agroecosyst. 2010, 88, 341–349. [Google Scholar] [CrossRef]
- Le, C.; Zha, Y.; Li, Y.; Sun, D.; Lu, H.; Yin, B. Eutrophication of Lake Waters in China: Cost, Causes, and Control. Environ. Manag. 2010, 45, 662–668. [Google Scholar] [CrossRef]
- Mustafa, A.; Minggang, X.; Shah, S.A.A.; Abrar, M.M.; Nan, S.; Baoren, W.; Zejiang, C.; Saeed, Q.; Naveed, M.; Mehmood, K.; et al. Soil aggregation and soil aggregate stability regulate organic carbon and nitrogen storage in a red soil of southern China. J. Environ. Manag. 2020, 270, 110894. [Google Scholar] [CrossRef]
- Vitousek, P.M.; Naylor, R.; Crews, T.; David, M.B.; Drinkwater, L.E.; Holland, E.; Johnes, P.J.; Katzenberger, J.; Martinelli, L.A.; Matson, P.A.; et al. Nutrient Imbalances in Agricultural Development. Science 2009, 324, 1519–1520. [Google Scholar] [CrossRef]
- Tang, X.; Li, J.; Ma, Y.; Hao, X.; Li, X. Phosphorus efficiency in long-term (15 years) wheat–maize cropping systems with various soil and climate conditions. Field Crops Res. 2008, 108, 231–237. [Google Scholar] [CrossRef]
- Djodjic, F.; Börling, K.; Bergström, L. Phosphorus leaching in relation to soil type and soil phosphorus content. J. Environ. Qual. 2004, 33, 678–684. [Google Scholar] [CrossRef]
- Shen, Y.; Duan, Y.; McLaughlin, N.; Huang, S.; Guo, D.; Xu, M. Phosphorus desorption from calcareous soils with different initial Olsen-P levels and relation to phosphate fractions. J. Soils Sediments 2019, 19, 2997–3007. [Google Scholar] [CrossRef]
- Yu, X.; Liu, X.; Zhu, T.H.; Liu, G.H.; Mao, C. Isolation and characterization of phosphate-solubilizing bacteria from walnut and their effect on growth and phosphorus mobilization. Biol. Fertil. Soils 2011, 47, 437–446. [Google Scholar] [CrossRef]
- Zhu, X.-K.; Li, C.-Y.; Jiang, Z.-Q.; Huang, L.-L.; Feng, C.-N.; Guo, W.-S.; Peng, Y.-X. Responses of Phosphorus Use Efficiency, Grain Yield, and Quality to Phosphorus Application Amount of Weak-Gluten Wheat. J. Integr. Agric. 2012, 11, 1103–1110. [Google Scholar] [CrossRef]
- Li, Q.; Xu, C.; Yin, C.; Kong, L.; Qin, Y.; Hou, Y.; Wang, H.; Zhao, L. Evaluation of fertigation technique for phosphorus application of maize in the semi-arid region of Northeast China. Plant. Soil Environ. 2019, 65, 401–407. [Google Scholar] [CrossRef]
- Xu, X.; He, P.; Pampolino, M.F.; Johnston, A.M.; Qiu, S.; Zhao, S.; Chuan, L.; Zhou, W. Fertilizer recommendation for maize in China based on yield response and agronomic efficiency. Field Crops Res. 2014, 157, 27–34. [Google Scholar] [CrossRef]
- Xin, X.; Qin, S.; Zhang, J.; Zhu, A.; Yang, W.; Zhang, X. Yield, phosphorus use efficiency and balance response to substituting long-term chemical fertilizer use with organic manure in a wheat-maize system. Field Crops Res. 2017, 208, 27–33. [Google Scholar] [CrossRef]
- Chuan, L.; He, P.; Jin, J.; Li, S.; Grant, C.; Xu, X.; Qiu, S.; Zhao, S.; Zhou, W. Estimating nutrient uptake requirements for wheat in China. Field Crops Res. 2013, 146, 96–104. [Google Scholar] [CrossRef]
- Dobermann, A. Nutrient use efficiency—Measurement and management. In Proceedings of the IFA International Workshop on Fertilizer Best Management Practices, Brussels, Belgium, 7–9 March 2007; pp. 1–28. [Google Scholar]
- Heuer, S.; Gaxiola, R.; Schilling, R.; Herrera-Estrella, L.; Arredondo, D.L.; Wissuwa, M.; Delhaize, E.; Rouached, H. Improving phosphorus use efficiency: A complex trait with emerging opportunities. Plant J. 2017, 90, 868–885. [Google Scholar] [CrossRef]
- Roberts, T.L.; Johnston, A.E. Phosphorus use efficiency and management in agriculture. Resour. Conserv. Recycl. 2015, 105, 275–281. [Google Scholar] [CrossRef]
- Bai, Z.; Li, H.; Yang, X.; Zhou, B.; Shi, X.; Wang, B.; Li, D.; Shen, J.; Chen, Q.; Qin, W.; et al. The critical soil P levels for crop yield, soil fertility and environmental safety in different soil types. Plant Soil 2013, 372, 27–37. [Google Scholar] [CrossRef]
- Sucunza, F.A.; Boem, F.H.G.; Garcia, F.O.; Boxler, M.; Rubio, G. Long-term phosphorus fertilization of wheat, soybean and maize on Mollisols: Soil test trends, critical levels and balances. Eur. J. Agron. 2018, 96, 87–95. [Google Scholar] [CrossRef]
- Johnston, J.; Fixen, P.; Poulton, P. The efficient use of phosphorus in agriculture. Better Crops 2014, 98, 22–24. [Google Scholar]
- Mallarino, A.P.; Schepers, J.S. Role of precision agriculture in phosphorus management practices. Phosphor. Agric. Environ. 2005, 46, 881–908. [Google Scholar]
- Bado, B.V.; De Vries, M.E.; Haefele, S.M.; Marco, M.C.S.; Ndiaye, M.K. Critical Limit of Extractable Phosphorous in a Gleysol for Rice Production in the Senegal River Valley of West Africa. Commun. Soil Sci. Plant Anal. 2007, 39, 202–206. [Google Scholar] [CrossRef]
- Jordan-Meille, L.; Rubaek, G.H.; Ehlert, P.A.I.; Genot, V.; Hofman, G.; Goulding, K.; Recknagel, J.; Provolo, G.; Barraclough, P. An overview of fertilizer-P recommendations in Europe: Soil testing, calibration and fertilizer recommendations. Soil Use Manag. 2012, 28, 419–435. [Google Scholar] [CrossRef]
- Ma, Y.; Li, J.; Li, X.; Tang, X.; Liang, Y.; Huang, S.; Wang, B.; Liu, H.; Yang, X. Phosphorus accumulation and depletion in soils in wheat–maize cropping systems: Modeling and validation. Field Crops Res. 2009, 110, 207–212. [Google Scholar] [CrossRef]
- Tóth, G.; Guicharnaud, R.-A.; Tóth, B.; Hermann, T. Phosphorus levels in croplands of the European Union with implications for P fertilizer use. Eur. J. Agron. 2014, 55, 42–52. [Google Scholar] [CrossRef]







| Parameter | Value |
|---|---|
| Organic matter (g kg−1) | 22.8 |
| Total N (g N kg−1) | 1.40 |
| Total P (g P kg−1) | 0.6 |
| Total K (g K kg−1) | 18.42 |
| Available P (mg kg−1) | 32.3 |
| Soil pH (soil: water = 1:2.5) | 5.6 |
| Bulk density (g cm−3) | 1.2 |
| Clay content (<0.002 mm, %) | 32.1 |
| Dependent Factor: Grain Yield | |||
|---|---|---|---|
| Factor | df | Mean Squares | p-Value |
| Year (Y) | 2 | 1486.8 | ** |
| Olsen P (OP) | 5 | 2.4 | ** |
| P application (P) | 5 | 15.9 | ** |
| Y × OP | 10 | 1.8 | ** |
| Y × P | 10 | 1.9 | ** |
| OP × P | 25 | 0.8 | * |
| Y ×OP × P | 50 | 0.6 | ns |
| Error | 216 | 0.5 | - |
| R2 = 0.97 | - | - | - |
| Dependent factor: aboveground biomass yield | |||
| Year | 2 | 117.6 | ** |
| OP | 5 | 16.9 | ** |
| P | 5 | 68.4 | ** |
| Y × OP | 10 | 5.9 | ** |
| Y × P | 10 | 2.3 | ns |
| OP × P | 25 | 2.7 | ns |
| Y × OP × P | 50 | 1.2 | ns |
| Error | 216 | 2.4 | - |
| R2 = 0.62 | - | - | - |
| Dependent factor: phosphorus-use efficiency (PUE) | |||
| Year | 2 | 1208.4 | ** |
| OP | 5 | 105.0 | ** |
| P | 5 | 4252.4 | ** |
| Y × OP | 10 | 23.7 | ** |
| Y × P | 10 | 109.6 | ** |
| OP × P | 25 | 34.2 | ** |
| Y × OP × P | 50 | 10.0 | ns |
| Error | 216 | 9.9 | - |
| R2 = 0.96 | - | - | - |
Publisher’s Note: MDPI stays neutral with regard to jurisdictional claims in published maps and institutional affiliations. |
© 2021 by the authors. Licensee MDPI, Basel, Switzerland. This article is an open access article distributed under the terms and conditions of the Creative Commons Attribution (CC BY) license (https://creativecommons.org/licenses/by/4.0/).
Share and Cite
Ibrahim, K.; Wang, Q.; Wang, L.; Zhang, W.; Peng, C.; Zhang, S. Determining the Optimum Level of Soil Olsen Phosphorus and Phosphorus Fertilizer Application for High Phosphorus-Use Efficiency in Zea mays L. in Black Soil. Sustainability 2021, 13, 5983. https://doi.org/10.3390/su13115983
Ibrahim K, Wang Q, Wang L, Zhang W, Peng C, Zhang S. Determining the Optimum Level of Soil Olsen Phosphorus and Phosphorus Fertilizer Application for High Phosphorus-Use Efficiency in Zea mays L. in Black Soil. Sustainability. 2021; 13(11):5983. https://doi.org/10.3390/su13115983
Chicago/Turabian StyleIbrahim, Khalid, Qiong Wang, Le Wang, Weiwei Zhang, Chang Peng, and Shuxiang Zhang. 2021. "Determining the Optimum Level of Soil Olsen Phosphorus and Phosphorus Fertilizer Application for High Phosphorus-Use Efficiency in Zea mays L. in Black Soil" Sustainability 13, no. 11: 5983. https://doi.org/10.3390/su13115983
APA StyleIbrahim, K., Wang, Q., Wang, L., Zhang, W., Peng, C., & Zhang, S. (2021). Determining the Optimum Level of Soil Olsen Phosphorus and Phosphorus Fertilizer Application for High Phosphorus-Use Efficiency in Zea mays L. in Black Soil. Sustainability, 13(11), 5983. https://doi.org/10.3390/su13115983

