You are currently viewing a new version of our website. To view the old version click .
Sustainability
  • Article
  • Open Access

11 May 2021

Strategic Analysis of Dual-Channel Green Supply Chain with an Unreliable and Competitive Supplier

,
and
1
School of Economics, Fuyang Normal University, Fuyang 236037, China
2
School of Management, University of Science and Technology of China, Hefei 230026, China
3
School of Public Policy and Management, Tsinghua University, Beijing 100084, China
4
School of Economics and Management, Beijing Information Science and Technology University, Beijing 100192, China

Abstract

With the increasing public awareness of environmental issues, green production has become an important issue for supply chain management. This study proposes an analytical model to investigate the dual-channel green supply chain decisions of a retailer and a competitive supplier; the latter suffers from unreliable production yield. The retailer’s environmental responsibility is considered as a two-echelon supply chain in which the retailer promotes the green product in their marketplace through green marketing. This problem is analyzed and modeled under three available channel strategies, considered in the order in which channel selections are made: a single online channel strategy, a single retail channel strategy, and a dual-channel strategy. The results show that the wholesale price of the manufacturer and the green-marketing effect of the retailer increase with the improvement in the level of the green production technology. Interestingly, the result reveals that a retailer’s expected profit is unimodal in the production technology level under the dual-channel strategy, which suggests that the retailer may not be incentivized to encourage the manufacturer to improve its production technology once a threshold has been reached. Further, we develop the channel selection: the retailer is strictly better off in the single retail channel scenario than that in the dual-channel scenario; however, while the unreliable supplier is better off in the single online channel scenario than that in the single retail channel scenario, its best option is still the dual-channel strategy. Additionally, numerical results illustrate that the expected profits of supply chain parties decrease with the improvement in customer acceptance of the online channel.

1. Introduction

Green production has gained increasing public attention in recent years [1]. At present, many enterprises have realized the application of green supply chains by strengthening their green design ability and improving their green management level. The implementation of a green supply chain enables enterprises to obtain environmental and economic benefits, as well as to gain competitive advantages in the international market [2]. More and more manufacturers are expanding their production lines, developing more environmentally friendly alternatives, and building consumer trust and loyalty by improving the quality and service of their green products. For example, some automobile enterprises have developed and manufactured hybrid environment-friendly cars, and some clothing enterprises are producing green clothing made of 100% organic fiber [3].
With economic globalization, many manufacturers in North America have started to source from suppliers in developing countries such as India and China [4]; some of these suppliers have proven to be unreliable. The manufacturers benefit from global sourcing by reducing procurement costs. However, they also take on increased supply risk due to the yield uncertainty of the unreliable suppliers. In fact, random yield—a situation in which the input quantity may differ from the output quantity—is a common problem in many industries. For example, in the semiconductor industry, the output of a manufacturer’s production system may differ from the initial production quantity due to production process risks or the failure of a replenishment batch to satisfy quality standards [5]. In the agricultural industry, crop yield is uncertain because of many uncontrollable factors, such as drought, flood, pests, or other natural disasters [6]. Uncertain supply can cause significant losses for enterprises. Ericsson crop., for example, lost $400 million in sales because of supply disruptions [7]. As a result, many companies, such as Wal-Mart and Nokia, have adopted a dual sourcing strategy to reduce the supply risk [8]. To study the strategy analysis of the green supply chain, in the basic model, we focus on stochastic yield risk and consider a determined demand setting that has a practical impact on the production plan of certain industries [9].
In a traditional supply chain model, retailers buy products from manufacturers and sell them to consumers. At present, consumers have the opportunity to buy products directly from manufacturers using online channels [10]. Selling green products online can bring manufacturers higher profits [11]. As logistics systems become more efficient and e-commerce platforms expand, such online direct sales are becoming more common at companies like Amazon and JD.com [12]. Importantly, the cost of online selling is lower, and online sales have the potential to bring products to a global scale. According to the worldwide retail e-commerce sales report, the volume of online business will increase to 4 trillion dollars by 2020 [10]. In addition, according to data disclosed by Alibaba, the gross merchandise volume by Tmall.com reached 74.1 billion dollars on 11 November 2020. Therefore, many manufacturers, such as Coca-Cola, GREE, and Nike, sell their green products through both online and offline channels; this is known as a dual-channel supply chain [13]. These activities create competition between manufacturers and retailers. Therefore, it is necessary to analyze the dual-channel strategy analysis that is conducted by manufacturers of green products.
Green marketing is an effective tool for transforming consumers’ green awareness into actual purchasing behavior [14]. Philips, for example, used green marketing for its Marathon product, which received the U.S. EPA’s Energy Star label and promised energy cost savings of 26$ over its five-year lifetime. This green marketing strategy helped the product’s sales climb by 12% [15]. Walmart and Carrefour, the two largest retailers, have embedded suitability strategies into their business models and use green marketing to achieve business success. Despite such examples, most retailers still face the problem of how to channel their marketing efforts to promote green products.
To address the concerns raised above, in this paper, we consider a dual-channel green supply chain consisting of a competitive manufacturer and a retailer. The manufacturer is unreliable (i.e., has uncertain yield) in its green production, and the retailer sells the green product to consumers in the end-user market by investing in green marketing. The manufacturer can also open an online direct channel to sell the green product. The inverse demand function for each channel is considered as a linear function of the input quantity of the green product as well as of the green-marketing effort level of the retailer. The input quantity of the retail channel’s green product and the level of the green-marketing effort are selected by the retailer, while the input quantity of the online channel’s green product and wholesale price are decided by the manufacturer. Three analytical decision models are studied: a single online channel scenario, a single retail channel scenario, and a dual-channel scenario.
In a duopoly with deterministic demand, traditional economic literature has mainly two forms of competition: Bertrand and Cournot models. In the Bertrand (Cournot) competition model, the firms set the retail prices (sales quantities), and the market then subsequently sets the sales quantities (retail prices) [16]. Firms often choose to set prices, not quantities, and hence Bertrand competition is more common. Despite the popularity of Bertrand competition, Cournot competition should not be ignored as it provides unique equilibriums, and is used when there are capacity limitations, or more generally, decreasing returns to scale [17]. Since the yield of the green product is random, this paper first determines the input quantities of the dual-channel green products. The green products are sold subsequently to customers at the market clearing prices. Therefore, similar to Deo and Corbett [18], Jansen and Ozaltin [19], and Niu et al. [20], we assume that the competitive supplier and the retailer engage in a Cournot-typed-competition model for the manufacturer and the retailer under the dual-channel scenario, and the equilibrium results are derived for the stated decision models.
The remainder of this paper is organized as follows. In Section 2, we review the relevant literature. In Section 3, we describe the notations and the model. In Section 4, we formulate and analyze the model of the single channels; in Section 5, we formulate and analyze the model of the dual channel. In Section 6, we compare and discuss the decisions under the three available supply chain channels and address interesting managerial insights. In Section 7, we carry out numerical experiments that demonstrate the results derived in Section 4, Section 5 and Section 6, and provide managerial insights. In Section 8, we conclude the study and offer directions for future research. The partial proofs of the paper are provided in the Appendix A.

2. Literature Review

Three streams of literature are closely related to this study: random yield, green marketing, and dual-channel supply chain. In the following sections, we review relevant studies related to each stream and highlight the research gap between this study and the existing literature.
The first stream of the research mainly focuses on the operational management of random yield. The research field that is related to random yield was started by Karlin [21] and has attracted extensive attention in operational management. Henig and Gerchak [22] comprehensively analyzed the production and inventory models by means of general periodic reviews in the random yield setting. Grosfeld-Nir et al. [23] built a framework to calculate the optimal batch and expected number of inspections under the uncertain yield model. Bakal and Akcali [24] studied the effect of yield variation on the profitability of remanufacturing in a reverse supply chain. Wang et al. [25] classified the uncertain supply model into three groups: random capacity, random disruption, and random yield. Yuan et al. [6] considered that supply disruption can be regarded as a particular case, and the literature concerning random yield cases is also suitable for supply disruption cases. Xue et al. [26] examined the diversification strategy for a mean-variance risk sensitive manufacturer with unreliable suppliers. In addition, Zare et al. [27] organized the related literature on random yield into two types: supply chain management and production management. The first type studies the interaction of supply chain members under random yield and uncertain parameters. The second type focuses on random yield under different inventory control models and multi-stage inventory systems with rigid or random demand and with fixed or variable production costs.
The second stream of research mainly focuses on the operational decisions involved in green marketing. Over the past two decades, green marketing strategies have received considerable academic attention [28]. Menon and Menon [29] proposed the view that an effective green marketing strategy should be endorsed by the principles of enviropreneurial marketing. Egri and Herman [30] found that a leader’s personal value and transformational leadership style have a positive impact of a firm’s green marketing strategy. Chan et al. [28] summarized green marketing and its impact on supply chain management in industrial markets. Cui et al. [31] discussed the coordination of green agricultural products supply chains with revenue-sharing contracts, taking into consideration a farmer’s green management and a retailer’s green marketing. Although empirical studies show that green marketing plays an important role in promoting green products to achieve a sustainable supply chain [14,32,33], green marketing is rarely considered in supply chain studies [15]. In this study, we present an inverse demand function in which green marketing is involved in market-clearing prices. In addition, we further investigate the optimal level of the green-marketing effect of the retailer and its influencing factor.
The third stream of related research focuses on dual-channel supply chain management. As e-commerce advances, dual-channel supply chain management is becoming a hot topic, especially in the environment of the internet [34].
Some scholars have studied pricing strategies in a dual-channel supply chain [35]. For example, Cattani et al. [36] proved that as long as the retail channel is much more convenient than the Internet channel, the equal-pricing strategy was appropriate. Dan et al. [37] pointed out that retail service is one of the main factors affecting the pricing strategies of dual-channel supply chain members. Wang and Song [38] developed pricing strategies for dual-channel supply chains with sales efforts and green investment with demand uncertainty. Other relevant literature can be seen from Liu et al. [39], Li et al. [11], Zhou et al. [40], and Heydari et al. [41].
Some other scholars have discussed channel selection from the perspective of decision makers [42]. Through empirical investigation, Chiang et al. [43] pointed out that the difference in product categories is one of the key factors that impacts consumers’ choice of channels. Khouja et al. [44] analyzed the channel selection and pricing decisions of the manufacturer. The research shows that unit variable cost is one of the most important factors affecting the channel choice of the enterprise. Cai [45] investigated the impact of channel structure on suppliers. The findings revealed that the introduction of new channels into a single retail channel was beneficial to supply chain players. Yang et al. [34] studied the channel selection and emission reduction decisions of the manufacturer under the constraint of carbon emissions. The results showed that the product’s property and consumer’s channel preference were the important factors affecting the channel choice of the manufacturer.
There is also extensive literature on sustainable supply chain involving dual channel. Sarkar and Bhadouriya [46] discussed the manufacturer collusion in a green supply chain in the cases of trade-off in green and non-green production. They found that with only a few manufacturers, green quality is highest in the centralized model, but with a larger number of manufacturers, competition among the manufacturers leads to higher green quality. To investigate equilibrium decisions and profit coordination methods of green supply chain, Li et al. [47] conceptualized and analyzed a set of Stackelberg game models considering multiple pricing strategies. Based on the assumption of consistent pricing strategies, Zhang et al. [48] investigated pricing and greening strategies for the dual-channel green supply chain. They employed the Stackelberg model and considered players in the presence of providing and not providing cross-channel return service. This paper also gets insights recent literature including as Rao et al. [49], Rahmani and Yavari [50], and Rao et al. [51], which benefit to the model construction of this research.
Based on the above analysis of the existing literature, although many works have studied dual-channels and random yield in a green supply chain, few have integrated both dual-channels and random yield into a unified framework and explored their joint effect. In this paper, we will fill the research gap in the literature related to the strategic analysis of dual-channel green supply chains under the condition of yield uncertainty. Our study differs from the existing literature in that green marketing is involved in the inverse demand function. Three available channel strategies are analyzed to show how the technology level of the random yield influences the decisions and channel selections of supply chain members. Relevant studies are summarized in Table 1.
Table 1. Summary of Relevant Studies.

3. Model Description

Motivated by the above analysis, this paper focuses on a dual-channel green supply chain consisting of one competitive manufacturer and one retailer. The manufacturer produces one green product, and the retailer purchases the environmentally friendly product and sells it to consumers in the retail market. The manufacturer can also develop its own online channel to sell the green product, such as Midea. The supplier is unreliable, i.e., has a random yield. The retailer invests in green marketing to promote the green product. Our model addresses the issues of the dual supply chain’s input quantities of the green product and the level of the green-marketing effort considering an unreliable supplier. We assume the supply chain has information symmetry, and all the supply chain players are risk-neutral. Based on the motivations discussed in the above introduction, we analyze the following three available channel strategies: a single online channel, a single retail channel, and a dual-channel, as illustrated in Figure 1.
Figure 1. Available supply chain channels.
In this paper, we define a retailer as a middleman who sells green products directly to final consumers, and we define a manufacturer as an enterprise that produces green products with random yield. The definition of dual channel is shown in Figure 1, it includes online channel and retail channel. Online channel refers to the online sales channel in which a manufacturer conducts direct sales model of green products through the internet (i.e., e-commerce), while retail channel refers to the channel in which a retailer orders green product from the manufacturer and sell the green products to consumers in brick-and-mortar stores. Such a system composed of online channel and offline channel is called dual channel. For simplicity, we assume that the retailer and the competitive manufacturer engage in a Cournot-typed competition in the end-user market [20,52,53]. Without loss of generality, we also normalize the production cost of the competitive supplier, as well as the retailer’s delivery cost, to be zero [20]. For the remainder of this paper, we use the pronoun “he” to refer to the competitive supplier and “she” to represent the retailer. For notational convenience, the subscript “m” and “r” refer to the manufacturer and the retailer, respectively. The superscripts “O”, “R”, and “D” represent the retail channel, the online channel, and the dual channel, respectively, which are used later. We summarize the key notations of the paper in Table 2.
Table 2. Summary of notations.
In particular, similar to Chiang et al. [54] and Niu et al. [20], the consumers’ demand for the competitive supplier’s product is price sensitive, and the inverse demand function is given as P = a b q , where P is the market retail price determined by the total quantities available in the market q ; parameter a is the market potential; and b represents the quantity sensitivity coefficient satisfying b > 0 . Without loss of generality, we assume that the market potential a is large enough such that the market demand is always positive [20,55]. If we let P = P b ,   a = a b , then the inverse demand function can be simplified to P = a q . In the duopoly model, we model competition between consumers as quantity competition and use the Cournot model. Specifically, given the available-to-sell quantities by the customers q m + q r , the manufacturer’s market clearing price is P m = a q m q r .
Different from online sales channels, the retailer can invest in green marketing to promote the green product. Therefore, to capture the green promotion effort distinction between the green products from the retailer and the competitive supplier, we assume that the inverse demand function for the retailer’s product is P r = a θ q m q r + g   ( g 0   and   a > g ) , where g represents the amount of the potential growth driven by the green-marketing effect for the product [15,56]. A stronger green promotion effort exerted by the retailer implies a higher cost. We denote the green-marketing cost as a quadratic function (i.e., g 2 ) [56,57,58]. The value of parameter θ is called the “customer acceptance” of the online channel. An empirical study shows that buyers tend to prefer to shop at a retailer rather than to shop via the web-based direct channels [59]. Another survey provides further evidence that most products are more acceptable to consumers when they are in conventional retail stores, rather than listed on an online channel [54]. Therefore, we assume 0 < θ < 1 in this paper, in line with Chiang et al. [54], which represents that the number of products sold online has a weaker impact on the price of green products for the retailer.
When the unreliable supplier plans to produce the green product, he must be concerned about the yield uncertainty problem. That is, for an input quantity for production q , the realized on-hand inventory of the green product after production is ϵ q , where ϵ is a random proportional variable with mean μ and variance σ 2 [20,60]. Similar to Niu et al. [20], we restrict the support of ϵ to be [0, 1] and σ < 0.5 . In practice, the unreliable supplier can improve the quality of the green product through investment in new technology and better process management. Therefore, the increase in the expected yield μ and/or the decrease in the yield variance σ 2 can be interpreted as “quality improvement” [20]. In the presence of the random yield problem, the supply chain players can only form an expectation of their own and the rival’s profits. We assume that the retailer and the manufacturer make decisions to maximize their own expected profits, respectively. We also assume that the retailer pays for what she actually realizes in terms of delivered quantity rather than in what she orders. This approach is widely used in previous literature and is consistent with the industrial practice [20,52].

4. Supply Chain with Single Channels

4.1. Single Online Channel Scenario

With the development of e-commerce, the strategy of using an online channel as an alternative to a retail channel is developing rapidly. A single online channel strategy indicates that the retailer is no longer involved in the green supply chain. In this scenario, the manufacturer solely determines the input quantity of the online channel’s green production q O O . Thus, the profit function of the unreliable supplier can be expressed as:
π m O = a ϵ q O O ϵ q O O
By solving the above equation, we can obtain the optimal input quantity for an unreliable supplier. The main results are summarized in Lemma 1.
Lemma 1.
In a single online channel scenario, the optimal input quantity is q O O * = a μ 2 μ 2 + σ 2 , the market-clearing price is P m O * = a μ 2 + 2 a σ 2 2 μ 2 + σ 2 , and the unreliable supplier’s optimal expected profit is E π m O * = a 2 μ 2 4 μ 2 + σ 2 .
It is apparent that the unreliable supplier’s optimal input quantity is decreasing in σ . The result is in line with intuition, because when the yield risk of the green product increases, the manufacturer could increase the input quantity to meet rigid market demand.

4.2. Single Retail Channel Scenario

In this configuration, we assume that a supplier distributes his green product only through a retail channel, and the consumers can only purchase the green product from the retailer. The event sequence is described as follows. First, the retailer determines the level of green-marketing effect g R . Second, the unreliable supplier determines the unit wholesale price w R . Third, the retailer places an input quantity of the retail channel’s green production q R R to the unreliable supplier. Finally, the realized green product is sold to customers at the market clearing price. Note that the retailer’s realized delivered quantity of the end product is q r = ϵ q R R , where the manufacturer suffers the yield uncertainty problem. Based on the aforementioned assumptions and inverse demand function, the unreliable supplier and the retailer’s profit functions can be expressed as:
π m R = w R ϵ q R R , π r R = a ϵ q R R + g R ϵ q R R w R ϵ q R R g R 2
The equilibrium decisions and outcomes for the supply chain players are summarized in Lemma 2.
Lemma 2.
In a single retail channel scenario, the optimal level of the green-marketing effect is g R * = a μ 2 15 μ 2 + 16 σ 2 , the optimal wholesale price is w R * = 8 a μ 2 + σ 2 15 μ 2 + 16 σ 2 , the optimal input quantity of retail channel’s green production is q R R * = 4 a μ 15 μ 2 + 16 σ 2 , and the market-clearing price is P r R * = 12 a μ 2 + 16 a σ 2 15 μ 2 + 16 σ 2 . Correspondingly, the expected profits of the supply chain members are E π r R * = a 2 μ 2 15 μ 2 + 16 σ 2 and E π m R * = 32 a 2 μ 2 μ 2 + σ 2 15 μ 2 + 16 σ 2 2 , respectively.
Comparing the unreliable supplier’s profit with the retailer’s profit, we have the following result.
Proposition 1.
E π m R * > E π r R * .
Proposition 1 compares the profits of the manufacturer and the retailer in a single retail channel scenario. The manufacturer benefits from the green supply chain because of the substantial bargaining power derived from his decision-making regarding the wholesale price. Because the retail price of the green product is determined by the market clearing price, the wholesale price determines the proportions of the supply chain’s profit divided between the manufacturer and the retailer. The manufacturer keeps most of the profits as long as he induces the retailer to participate in the supply chain by giving her a small share of the profits.
Similar to Niu et al. [20], we denote x = μ σ 2 as the “technology level” of the unreliable supplier. Clearly, the increase in μ and/or the decrease in σ lead to a higher level of x . The higher the technology level x is, the more reliable the manufacturer’s production processes are. Suppliers can improve their production processes through costly R&D innovations as well as by means of inexpensive administrative efforts [20]. We use x to rearrange the supply chain members’ decisions and outcomes that are shown in Lemma 2, which leads to some interesting results through sensitivity analysis.
Proposition 2.
When the green supply chain adopts a single retail channel strategy, the influences of the technology level x generated by the unreliable supplier on the expected profits are E π m R * x > 0 and E π r R * x > 0 .
The findings toward the profits of the unreliable supplier and the retailer are in line with our expectation: the higher the technology level of the unreliable supplier, the less the loss generated by the yield uncertainty. The two-echelon green supply chain always benefits from the improvement of the unreliable supplier’s technology level. In this case, the manufacturer and the retailer are in a cooperative relationship rather than a competitive one, so they can share the benefits of an improved technology level. The results are illustrated in Figure 2.
Figure 2. Illustration of the impact of x on the profits of each supply chain party when a = 1 .
Taking a closer look at the level of the green-marketing effect, the wholesale price, the market-clearing price, and the input quantity with technology level x , we derive the following comparative static analysis.
Proposition 3.
When the green supply chain adopts a single retail channel strategy, the influences of the technology level x generated by the unreliable supplier on the equilibrium decisions are:
(1)
g R * x > 0 , w R * x > 0 , P r R * x < 0
(2)
q R R * is unimodal in x for any given feasible σ
When the technology level x increases, the supply of the green product tends to be stable, and the retailer increases the green promotion effort to sell more green products. Accordingly, after seeing the retailer’s green-marketing effect, the manufacturer’s optimal response is to raise the wholesale price for the green product to boost his profit.
Interestingly, we find that q R R * is non-monotone in x in the support of a given σ . When the technology level x is increasing, the retailer first tends to increase her input quantity of green production q R R * through a stronger green-marketing effort. However, the downstream market potential is limited; therefore, when the quantity of the green product that is available on the market increases, the market retail price will decrease accordingly, as shown by the inverse demand function. Hence, when the quantity of the green product in the end-user market reaches a threshold, the retailer will reduce the input quantity. Therefore, to generate more profit from the downstream market, we observe a unimodal q R R * in x , even if g R * is further increasing in x . We illustrate the above results in Figure 3.
Figure 3. Illustration of the impact of x on the green-marketing effect, wholesale price, and input quantity when a = 1 .
It can be seen from Figure 3 that the downward trend of q R R * is very gentle, which implies that the quantity available on the market of the green product q r is increasing because of the technology level improvement, even though the input quantity of green production q R R * is slowly decreasing. Thus, as mentioned by the inverse demand function, the market retail price will decrease in x accordingly. This result is illustrated in Figure 4.
Figure 4. Illustration of the impact of x on the market-clearing price when a = 1 .

5. Dual-Channel Supply Chain

In a dual-channel scenario, the retailer sources the green product from the competitive manufacturer. The event sequence is described as follows. First, the retailer determines the level of green-marketing effect g D . Second, the competitive supplier determines the unit wholesale price w D . Third, after observing the wholesale price, the retailer and the competitive supplier determine the input quantities of the dual-channel’s green production q R D and q O D simultaneously. Finally, the green products are sold to customers at the market clearing price. Note that the retailer’s realized delivered quantity of the end product is q r = ϵ q R D , and the competitive supplier’s realized on-hand inventory of the online channel’s green product is q m = ϵ q O D , because the competitive supplier suffers the random yield problem. Based on the aforementioned assumptions and inverse demand functions, the unreliable supplier’s and the retailer’s profit functions can be expressed as:
π m D = a ϵ q O D ϵ q R D ϵ q O D + w D ϵ q R D , π r D = a ϵ q R D θ ϵ q O D + g D ϵ q R w D ϵ q R D g D 2
The manufacturer’s profit comes from the following two sources: self-selling business and component-selling business. If he competes with the retailer intensively in the downstream market, this will squeeze the retailer’s selling quantity, and it will also reduces the manufacturer’s own gain from the component-selling business. Hence, the retailer and the competitive supplier have a “coopetition” relationship, in which the competitive supplier has to balance his revenue from these two sources.
In the input-quantity-decision stage, both the competitive supplier and the retailer evaluate their expected profits in anticipation of the manufacturer’s yield uncertainty. We summarize the equilibrium decisions in the following Lemma 3.
Lemma 3.
In a dual-channel scenario, given the level of green-marketing effect g D and the wholesale price w D , the optimal input quantities of the competitive supplier and the retailer are q O D = a μ g D μ + w D μ 4 θ μ 2 + σ 2 and q R D = 2 a μ + 2 g D μ 2 w D μ a θ μ 4 θ μ 2 + σ 2 , respectively.
Proposition 4.
In a dual-channel scenario, we have some comparative statistics as follows. The competitive supplier’s optimal input quantity decreases in g D while the retailer’s optimal input quantity increases in g D ; the competitive supplier’s optimal input quantity increases in w D while the retailer’s optimal input quantity decreases in w D ; the competitive supplier’s optimal input quantity increases in θ while the retailer’s optimal input quantity decreases in θ .
Proposition 4 shows the conflict and competition of the dual-channel green supply chain regarding the input quantities. First, increasing the level of the green-marketing effect pushes the retailer to set a higher input quantity and leads to a lower input quantity for the manufacturer. Second, when the wholesale price of the competitive supplier is reduced, the retailer prefers to set a higher input quantity to bring in more revenue, but this motivates the manufacturer to set a lower input quantity to reduce channel competition. Third, increasing customer acceptance of the online channel will decrease the retailer’s sales price according to the inverse demand function. To maintain a sales profit, the retailer must reduce the input quantity. Therefore, the manufacturer would like to transfer the input quantity of the green product to the online channel.
Lemma 4.
In a dual-channel scenario, given the level of the green-marketing effect g D , the optimal wholesale price of the competitive supplier is w D = 2 g D θ 3 a 10 6 θ + θ 2 4 θ 14 .
Proposition 5.
In a dual-channel scenario, the competitive supplier’s optimal wholesale price increases in g D while it decreases in θ .
According to the inverse demand function of the retailer, increasing the level of the green-marketing effect will raise the retailer’s sales price, while the increasing customer acceptance of the online channel will lead to lower sales prices. Thus, increasing the level of the green-marketing effect or/and a reduction in customer acceptance of the online channel will motivate the competitive supplier to raise the wholesale price to gain higher profits.
Lemma 5.
In a dual-channel scenario, the optimal level of the green-marketing effect of the retailer is g D * = 2 a 1 θ μ 2 45 28 θ + 4 θ 2 μ 2 + 7 2 θ 2 σ 2 .
Proposition 6.
In a dual-channel scenario, the retailer’s optimal level of the green-marketing effect decreases in θ .
From Proposition 6, we find that increasing customer acceptance of the online channel is disadvantageous to the marketing and promotion of the green product.
Returning g D * to the equations of the wholesale price, input quantities, and market-clearing prices, we can derive the optimums as:
w D * = 66 62 θ + 19 θ 2 2 θ 3 a μ 2 + 70 62 θ + 19 θ 2 2 θ 3 a σ 2 90 56 θ + 8 θ 2 μ 2 + 2 7 2 θ 2 σ 2 , q R D * = a 7 9 θ + 2 θ 2 μ 45 28 θ + 4 θ 2 μ 2 + 7 2 θ 2 σ 2 , q O D * = a μ 38 19 θ + 2 θ 2 μ 2 + 42 19 θ + 2 θ 2 σ 2 2 μ 2 + σ 2 45 28 θ + 4 θ 2 μ 2 + 7 2 θ 2 σ 2 , P r D * = 80 80 θ + 23 θ 2 2 θ 3 a μ 4 + 178 140 θ + 31 θ 2 2 θ 3 a μ 2 σ 2 + 2 a 7 2 θ 2 σ 4 2 μ 2 + σ 2 45 28 θ + 4 θ 2 μ 2 + 7 2 θ 2 σ 2 ,
and
P m D * = 38 19 θ + 2 θ 2 a μ 4 + 132 75 θ + 10 θ 2 a μ 2 σ 2 + 2 a 7 2 θ 2 σ 4 2 μ 2 + σ 2 45 28 θ + 4 θ 2 μ 2 + 7 2 θ 2 σ 2 .
Thus, the expected profits of the supply chain members are,
E π r D * = a 2 1 + θ 2 μ 2 90 56 θ + 8 θ 2 μ 2 + 7 2 θ 2 2 + 6 θ θ 2 σ 2 2 45 28 θ + 4 θ 2 μ 2 + 7 2 θ 2 σ 2 2 ,
and
E π m D * = a 2 μ 2 2368 3500 θ + 2159 θ 2 694 θ 3 + 116 θ 4 8 θ 5 μ 4 + 2 7 2 θ 2 52 44 θ + 15 θ 2 2 θ 3 μ 2 σ 2 + 7 2 θ 3 8 4 θ + θ 2 σ 4 4 μ 2 + σ 2 45 28 θ + 4 θ 2 μ 2 + 7 2 θ 2 σ 2 2 ,
respectively.
A comparison of the profits between the manufacturer and the retailer under a dual-channel scenario is provided in the following.
Proposition 7.
E π m D * > E π r D * .
We can verify that the reasoning behind Proposition 7 is similar to that of Proposition 1, and thus we will not repeat it here.

6. Discussions

In the previous sections, we investigate the optimal decisions of each agent when the unreliable supplier chooses three different channel strategies. In this section, we compare the supply chain decisions among these three channel strategies and investigate how each member of the supply chain makes a channel selection.
Proposition 8.
The green product’s green-marketing effort, wholesale price, input quantities, and market-clearing price among the three channel strategies satisfy the following relationships:
(1)
g D * < g R * ;
(2)
w D * w R *   i f   θ θ T w D * > w R *   i f   θ < θ T , where θ T 0 ,   1 is a threshold value such that 16 21 34 θ T + 15 θ T 2 2 θ T 3 + x 602 1026 θ + 461 θ T 2 62 θ T 3 + x 2 270 482 θ T + 221 θ T 2 30 θ T 3 = 0 ;
(3)
q O D * < q O O * , q R D * < q R R * , q R R * < q O O * < q R D * + q O D * ;
(4)
  P m D * < P m O * , P r D * < P r R * .
Proposition 8 shows the differences among the three channel strategies in terms of the green-marketing effort, the wholesale price, the input quantities, and the market-clearing price. Compared with the single retail channel strategy, the dual-channel strategy encourages the retailer to reduce investment in green-marketing because of her competition in the downstream market of the green product. However, this competition also leads to more efficient allocation of the green product on the market: the highest input quantity (i.e., q R R * < q O O * < q R D * + q O D * ). Consequently, as shown by the inverse demand function, the market-clearing prices of the green product are ultimately low enough to maximize the supply chain profit.
Interestingly, we find that the comparison of the wholesale price depends on customer acceptance of the online channel. In the dual-channel scenario, the manufacturer can benefit from both online and retail channels, and he can distribute the proportion of the supply chain’s profit divided by a determination of the wholesale price of the green products. Therefore, when the channel competition is smaller (i.e., θ < θ T ), as mentioned by the inverse demand function P r = a θ q m q r + g , the retailer’s market-clearing price increases accordingly. Consequently, the competitive supplier increases the wholesale prices for his benefit (i.e., w D * > w R * ). When the channel competition is stronger (i.e., θ > θ T ), the opposite is true.
Proposition 9.
The profits of the retailer and the manufacturer among the three channel strategies satisfy the following relationships:
(1)
E π r D * < E π r R *
(2)
E π m R * < E π m O * < E π m D *
Proposition 9 compares the expected profits of the manufacturer and the retailer among the three channel strategies. The results reveal that the dual-channel strategy is superior to the single channel strategies for the manufacturer, while the retailer prefers the single retail channel scenario. The manufacturer benefits from the dual-channel strategy because of the substantial bargaining power that may be derived from the wholesale price of the green product. In contrast, the retailer fails to benefit from the dual-channel strategy and obtains less profits than under the single retail channel strategy. That is, the manufacturer reaps the benefit, and the retailer’s profit is impaired in the dual-channel strategy.
As discussed in Proposition 8, the retailer implements a more significant green-marketing effort under a single retail channel strategy than under a dual-channel strategy. The retailer can benefit from the increasing demand inspired by the increased green-marketing effort. However, the performance of the dual-channel strategy is highest among the three channel strategies. Thus, the manufacturer should subsidize the retailer’s green-marketing cost or/and reduce the wholesale price of the green product to increase the retailer’s profit. Consequently, as rational supply chain parties, the manufacturer and retailer will choose the dual-channel strategy according to the expected profit maximization.
In sum, this paper could enrich and optimize the theoretical basis of the dual-channel green supply chain which has implications for academia and practitioners in two ways. First, a single retail channel could be the best choice for the retailer. This is because it is a monopoly on green product retail market, and it can benefit from independent pricing of green products. However, this would result in the lowest profit of a manufacturer, making it preferable to choose an online channel rather than a single retail channel. As to a competitive manufacturer with random yield, a dual-channel strategy would be its best choice. Therefore, if the retailer is willing to participate in the green supply chain, the equilibrium result of the game between the two parties is the dual-channel model.
Second, compared with the single channel strategy, although the dual-channel strategy may improve the efficiency of green product resource allocation, reduce the price of green products, and increase the number of green products in the market; however, it would also indirectly damage the retailer’s profit and reduce its enthusiasm for green marketing. Therefore, to improve the profit of the retailer and achieve the maximum performance of the green dual-channel supply chain, the manufacturer should share the retailer’s green marketing costs or/and reduce the wholesale price of the green products. As to the retailer without wholesale pricing power of green products, it could gain higher profits through improving their own strength and bargaining power to reduce the wholesale price of green products.

7. Numerical Analysis

The above models discuss the optimal decisions of each agent when the unreliable supplier chooses three different channel strategies. This section will provide some numerical experiments to illustrate the above analytical results and gain more managerial insights. Due to the difficulty of acquiring accurate data from the enterprises, similar to Niu et al. [20] and Hong and Guo [15], we give some estimated parameters to show the influences of several parameters on the optimal decisions and profits. The parameter values used in this section are listed as follows: a = 1 , μ = 0.9 , σ = 0.18 , and θ = 0.8 .

7.1. Analyzing Effect of μ on Optimal Decisions

Figure 5, Figure 6, Figure 7 and Figure 8 show the impact of the mean of the random yield on the levels of the green-marketing effect, wholesale prices, and input quantities of the manufacturer and the retailer.
Figure 5. Impact of μ on the levels of the green-marketing effect.
Figure 6. Impact of μ on the wholesale prices.
Figure 7. Impact of μ on the input quantities of the manufacturer.
Figure 8. Impact of μ on the input quantities of the retailer.
Figure 5 shows how the levels of the green-marketing effect change in a dual-channel strategy and a single retail channel strategy when the mean of the random yield varies, respectively. It can be seen from Figure 5 that the levels of the green-marketing effect in a dual-channel strategy and a single retail channel strategy increase in μ . This occurs because when μ increases, the retailer’s realized on-hand inventory of the green product increases accordingly, even though her input quantity of the green product is the same as before. Correspondingly, the improvement in the inventory induces the retailer to further invest in green marketing. As shown in Figure 5, we obtain g D * < g R * , which is consistent with Proposition 8. Let Δ g = g R * g D * . Thus, Δ g increases in μ . The result reveals that the competition of the competitive supplier and the retailer in the dual-channel scenario will become more intense when μ increases. That is, the retailer has no more incentive to increase the level of the green-marketing effort as compared with a single retail channel strategy.
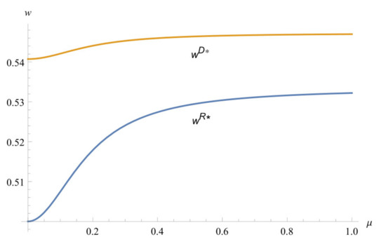
Figure 6 shows how the wholesale prices of a dual-channel strategy and a single retail channel strategy change according to μ . The insights that we derive include are as follows. (1) The wholesale prices in a dual-channel strategy and a single retail channel strategy increase in μ . The increase in the mean value is good for the income of the whole supply chain. Therefore, the manufacturer reaps the benefit by increasing the wholesale prices. (2) The wholesale price’s advantage in the dual-channel is less distinct with the increasing of μ . Compared with the single retail channel strategy, the wholesale price in the dual-channel strategy is much higher. To protect the profit of the retailer, the manufacturer cannot always raise the price significantly, so the wholesale price in the dual-channel scenario shows a slow rising trend. (3) The results shown in Figure 6 explain the conclusions of Proposition 1 and Proposition 7.
By changing the value of μ in the above equations, we can compute the input quantities of the manufacturer and the retailer among the three available channel strategies. The results are shown in Figure 7 and Figure 8. From Figure 7 and Figure 8, as the mean of the random yield μ increases, we can make the following observations. (1) The input quantities of the manufacturer and the retailer among the three available channel strategies first increase and then decrease slowly, which is similar to Proposition 3, because x and μ are positively correlated. (2) The unreliable supplier’s input quantity in the single online channel scenario is always larger than that of the dual-channel scenario, while the retailer’s input quantity in the single retailer channel scenario is always larger than that of the dual-channel scenario. However, the total input quantities of the manufacturer and the retailer are highest in the dual-channel scenario. These results are consistent with Proposition 8.

7.2. Analyzing Effect of μ on Optimal Profits

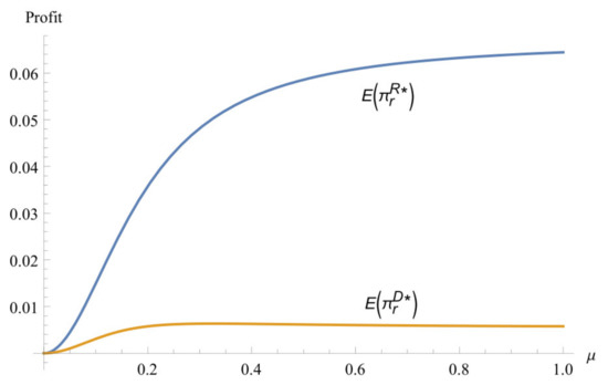
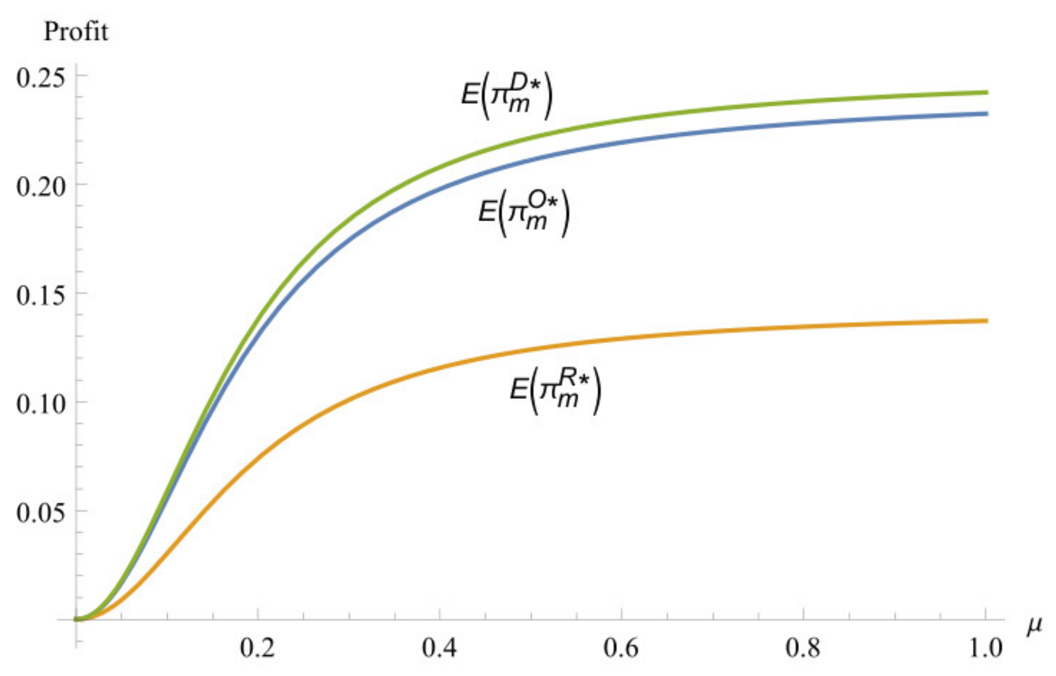
Figure 9 and Figure 10 present the expected profits of the manufacturer and the retailer among the three available channel strategies with the change in μ , which are consistent with Proposition 9.
Figure 9. Impact of μ on the expected profits of the retailer.
Figure 10. Impact of μ on the expected profits of the manufacturer.
Figure 9 depicts the curves of the expected profits of the retailer in a dual-channel strategy and a single retail channel strategy as a function of μ . When the retailer adopts a single retail channel strategy, her expected profit increases in μ , which is in line with our intuition. However, when the green supply chain adopts a dual-channel strategy, the retailer’s expected profit E π r D * is unimodal in μ . The main reason for this is that the input quantity of the retailer under a dual-channel strategy is non-monotonous with the change in μ . The second main reason is that the wholesale price of the competitive supplier gradually increases to a very high level with the increasing of μ . These two reasons cause the expected profit of the retailer in a dual-channel strategy to first increase and to then decrease in μ . This indicates that there exists a unique mean value such that the retailer makes the largest profit under a dual-channel strategy. Although the continuous improvement of μ will be beneficial to the manufacturer, the retailer has no incentive in a dual-channel strategy—based on her own profits—to encourage the manufacturer to improve the green production technology once that technology has reached a threshold level. In addition, the advantage of the single retail channel strategy is more distinct with the improvement of μ . Thus, the single retail channel strategy is the best choice for the retailer.
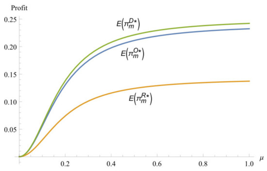
Figure 10 shows that the expected profits of the manufacturer among the three available channel strategies increase in μ . Especially, when μ is small, the improvement of μ has a great impact on the expected profits. Combining Figure 5, Figure 6, Figure 7 and Figure 8, we see that the manufacturer can always benefit from the increasing demand inspired by raising the wholesale prices and the levels of the green-marketing effect, even though the input quantities among the three available channel strategies are unimodal in μ . The advantage of the dual-channel strategy is more distinct with the increasing of μ . Thus, the dual-channel strategy is the best choice for the manufacturer.

7.3. Analyzing the Effect of θ on Optimal Profits

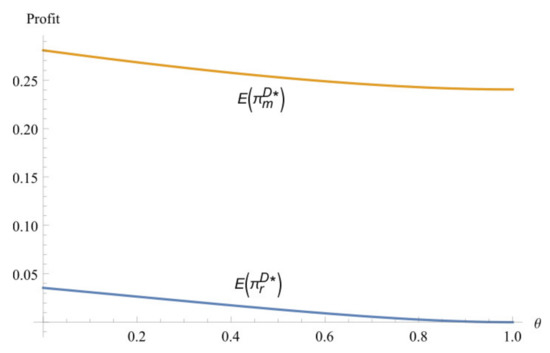
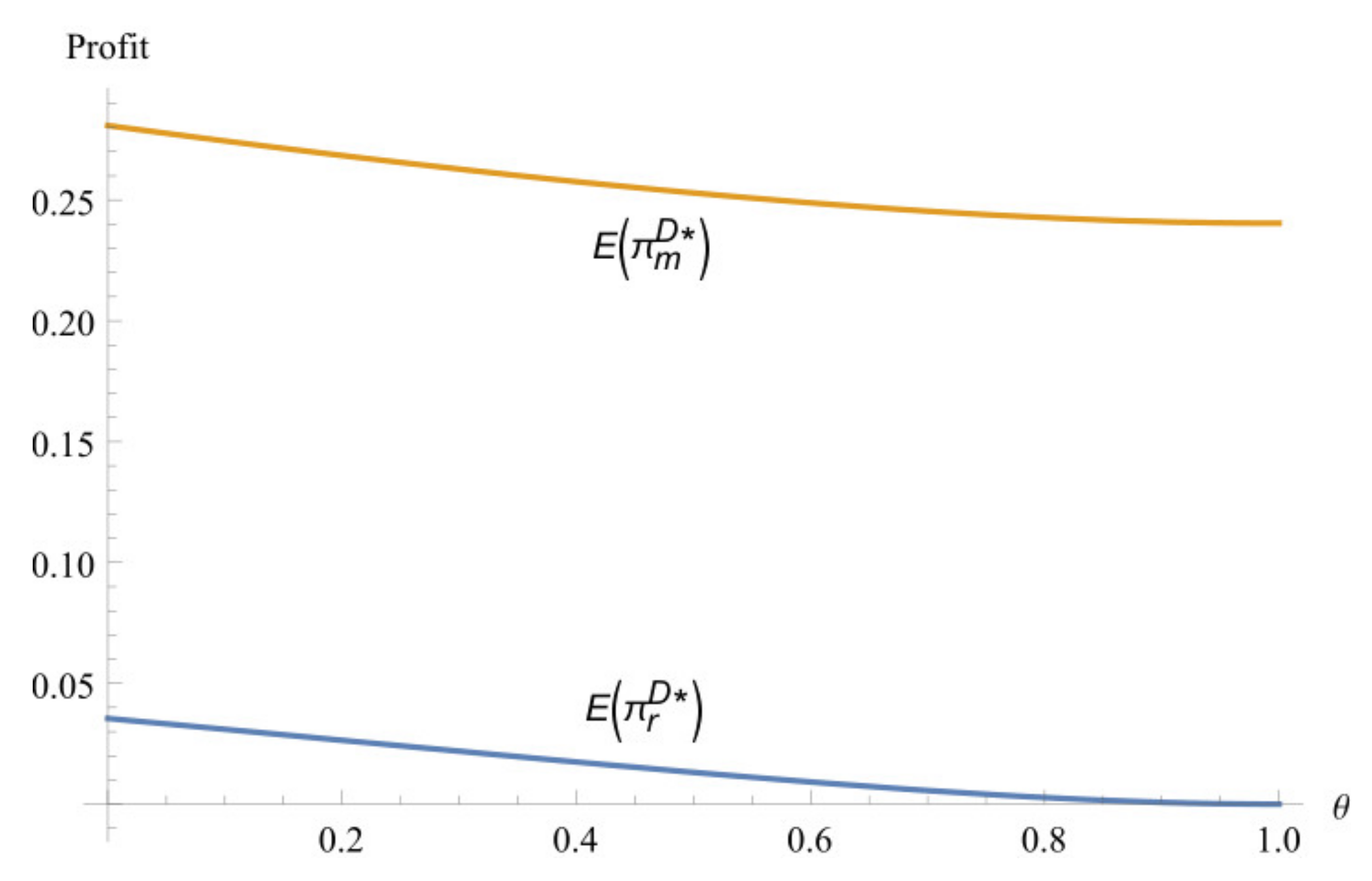
We now check how the expected profits of the manufacturer and the retailer under a dual-channel strategy change according to   θ . It can be seen from Figure 11 that the expected profits of the green supply chain parties decrease with the improvement in customer acceptance of the online channel, which is in line with our expectations. As θ increases, the competition of the competitive supplier and the retailer in the end-user market will become more intense. This reduces the supply chain’s profit from the downstream market. As discussed in Proposition 6, the retailer’s optimal level of the green-marketing effect decreases in θ , which implies decreasing demand for the retailer, which is caused by the reduction in the level of the green-marketing effect. Combining the inverse demand function P r = a θ q m q r + g , we find that the market-clearing price of the retailer decreases in θ . Thus, it is easy to see why the retailer’s revenue decreases in θ . For the competitive supplier, intuitively speaking, his expected profit is impaired in the dual-channel strategy from the decrease in the wholesale price, due to the increase in customer acceptance of the online channel according to Proposition 5.
Figure 11. Impact of θ on the expected profits in dual-channel scenario.

8. Conclusions

In this paper, we aim to explore the input quantities of green production and the channel selections of supply chain parties, where the manufacturer suffers from yield uncertainty and the retailer sells the green product by green marketing. Although there is substantial literature on random yield and dual-channel supply chains, few works have integrated the supply risk and the dual-channel strategy into a framework to investigate the implications of random yield for the green dual-channel supply chain. Our work is mainly focused on such a question.
To address the question, we consider three available channel strategies: a single online channel strategy, a single retail channel strategy, and a dual-channel strategy. From the discussions and comparisons of the decisions made among the three channel strategies, we obtained interesting findings.
(1)
The performance of the dual-channel strategy is the highest among the three channel strategies, especially for the competitive supplier. However, the retailer’s best option is the single retail channel strategy.
(2)
With the improvement in the level of the green production technology, the wholesale price of the manufacturer and the green marketing effect of the retailer increase gradually, while the input quantities of the green product are unimodal.
(3)
The manufacturer can always benefit from an increase in the level of the green production technology, regardless of which of the three available channel strategies is chosen. Under the dual-channel strategy, the retailer’s profit first increases and then decreases slowly with improvement in the production technology level.
(4)
In the dual-channel scenario, customer acceptance of the online channel has a negative influence on the expected profits of all supply chain members.
The results also provide significant managerial insights for firms that are involved in the green dual-channel supply chain. For the manufacturer with random yield, choosing a dual-channel strategy and improving the level of the green production technology is profitable. However, the retailer can gain higher profit in the single retail channel than in the dual-channel, unless the manufacturer is willing to share some of his profit with the retailer. Thus, to encourage retailers to adopt a dual-channel strategy, the manufacturer should subsidize the retailer’s green-marketing cost or/and reduce the wholesale price of the green product for the sake of increasing the retailer’s profit and achieving the maximum performance of the green supply chain. For the retailer with no wholesale pricing power for the green product, she can only reduce the wholesale price of the green product by strengthening her own strength and enhancing her bargaining power. Otherwise, the single retail channel will be her best choice.
Further research to expand this work might consider the following directions in the future. First, we address the green marketing behavior of the retailer. Some responsible manufacturers have taken actions to invest in green marketing. Second, in our research, we do not consider the risk attitude of the supply chain members. The results may be different if the retailer or the manufacturer is risk averse. Third, in line with prior research [20], this paper assumes that there is a competitive relationship between a manufacturer and a retailer in the dual-channel model. However, omni-channel, which integrates online and offline channels, has been more and more popular in business practices and reflects the collaboration among market actors. Therefore, the strategic analysis of omni-channel green supply chain and the flow of green products within an omni-channel should be highly encouraged in future analysis. In addition, our model is based on symmetric information. In fact, information asymmetry may also exist among supply chain members. Therefore, considering asymmetric information in a dual-channel green supply chain may be an interesting future research direction.

Author Contributions

Conceptualization, C.L. and H.J.; methodology, C.L.; software, Z.M.; validation, C.L., H.J. and Z.M.; formal analysis, C.L.; investigation, Z.M.; resources, Z.M.; data curation, H.J.; writing—original draft preparation, C.L.; writing—review and editing, C.L. and H.J.; visualization, C.L.; supervision, Z.M.; project administration, Z.M.; funding acquisition, C.L. and H.J. All authors have read and agreed to the published version of the manuscript.

Funding

This research was supported by the National Natural Science Foundation of China (71771055) and the Key Project of Natural Science Research in Colleges and Universities in Anhui Province (KJ2020A0523) and the Project of Philosophy and Social Science Planning of Anhui Province (AHSKY2020D24) and the Key Research and Cultivation Project of Beijing Information Science and Technology University (2121YJPY227) and the Scientific Research Fund Project of Beijing Information Science and Technology University (2021XJJ39).

Institutional Review Board Statement

Not applicable.

Data Availability Statement

Not applicable.

Acknowledgments

This research was supported by the National Natural Science Foundation of China (71771055) and the Key Project of Natural Science Research in Colleges and Universities in Anhui Province (KJ2020A0523) and the Project of Philosophy and Social Science Planning of Anhui Province (AHSKY2020D24) and the Key Research and Cultivation Project of Beijing Information Science and Technology University (2121YJPY227) and the Scientific Research Fund Project of Beijing Information Science and Technology University (2021XJJ39).

Conflicts of Interest

The authors declare no conflict of interest.

Appendix A

Proof of Lemma 2.
Given the level of green-marketing effect g R and the wholesale price w R , the retailer solves the following problem to maximize her expected profit:
max q R R E π r R = a + g R w R μ q R R μ 2 + σ 2 q R R 2 g R 2 ,
which yields q R R = a + g R w R μ 2 μ 2 + σ 2 .
The unreliable supplier’s optimal wholesale price is given by solving
max w R E π m R = a + g R w R w R μ 2 2 μ 2 + σ 2 ,
which yields w R = a + g R 2 .
Substituting q R R and w R into the retailer’s expected profit function and then solving for optimality with respect to g R , we have the level of optimal green-marketing effect:
g R * = a μ 2 15 μ 2 + 16 σ 2 .
Bring this back to the equations of wholesale price and input quantity, we can derive the optimums. □
Proofs of Lemma 3Lemma 4 and Lemma 5.
In the end market, the expected profit functions of the competitive supplier and the retailer are, respectively
E π m D = a μ q O D + w D μ q R D μ 2 + σ 2 q O D 2 + q R D q O D , E π r D = a w D + g D μ q R D μ 2 + σ 2 q R D 2 + θ q R D q O D g D 2 .
It is easy to show that   E π m D and E π r D are concave with respect to q O D and q R D , respectively. These yield the following input quantities of dual-channel green production
q R D = 2 a μ + 2 g D μ 2 w D μ a θ μ 4 θ μ 2 + σ 2 , q O D = a μ g D μ + w D μ 4 θ μ 2 + σ 2 .
Substituting them into the competitive supplier’s profit function E π m D , we have the optimal wholesale price
w D = 2 g D θ 3 a 10 6 θ + θ 2 4 θ 14 .
Substituting q R D , q O D and w D into the retailer’s expected profit function E π r D and then solving for optimality with respect to g D , we have the optimal level of green-marketing effect:
g D * = 2 a 1 θ μ 2 45 28 θ + 4 θ 2 μ 2 + 7 2 θ 2 σ 2 .
Bring this back to the equations of wholesale price and input quantities, we can derive the equilibrium decisions and outcomes. □
Proofs of Proposition 2 and Proposition 3.
Rearranging E π m R * with the notation x = μ σ 2 , we have
E π m R * = 32 a 2 μ 2 μ 2 + σ 2 15 μ 2 + 16 σ 2 2 = 32 a 2 x 2 + x 15 x + 16 2 .
Note that x > 0 , then taking the derivative of E π m R *   with respect to x , we get
E π m R * x = 32 a 2 16 + 17 x 16 + 15 x 3 > 0 .
Similarly, we can prove that E π r R * x > 0 , w R * x > 0 , g R * x > 0 , and P r R * x < 0 .
Note that
q R R * = 4 a μ 15 μ 2 + 16 σ 2 > 0 ,
and
q R R * 2 = 16 a 2 μ 2 15 μ 2 + 16 σ 2 2 = 16 a 2 x σ 15 x + 16 2 .
Taking the derivative of q R R * 2 with respect to x , we have
q R R 2 x = 16 a 2 16 15 x 16 + 15 x 3 σ .
Therefore, q R R * as well as q R R * 2 is unimodal in x for any given σ , and the maximum is x = 16 15 . □
Proof of Proposition 8.
We only prove the second property of Proposition 8. The remainder of Proposition 8 is apparently right, thus, we omit them.
Rearranging w D * and w R * with the notation x = μ σ 2 , and then comparing the competitive supplier’s wholesale price in the dual-channel scenario with that in the single retail channel scenario, we have
w D * w R * = a 16 21 34 θ + 15 θ 2 2 θ 3 + x 602 1026 θ + 461 θ 2 62 θ 3 + x 2 270 482 θ + 221 θ 2 30 θ 3 2 16 + 15 x 7 2 θ 2 + x 45 28 θ + 4 θ 2 .
The sign of this function is determined by its numerator, let
f θ = 16 21 34 θ + 15 θ 2 2 θ 3 + x 602 1026 θ + 461 θ 2 62 θ 3 + x 2 270 482 θ + 221 θ 2 30 θ 3 .
Taking the derivative of f θ with respect to θ , we have
f θ θ = x 1026 + 922 θ 186 θ 2 + x 2 482 + 442 θ 90 θ 2 + 16 34 + 30 θ 6 θ 2 ,
which is apparently negative.
Note that θ 0 ,   1 , f 0 = 336 + 602 x + 270 x 2 > 0 and f 1 = 25 x 21 x 2 < 0 . Thus, there exists a unique threshold value θ T 0 ,   1 such that f θ T = 0 , and
f θ < 0             i f   θ θ T f θ > 0           i f   θ < θ T .
The proof of Proposition 8 is completed. □
Proof of Proposition 9.
Rearranging E π r D * and E π r R * with the notation x = μ σ 2 , and then comparing the retailer’s expected profit in the dual-channel scenario with that in the single retail channel scenario, we have
E π r D * E π r R * = a 2 x [ 2 7 2 θ 2 33 44 θ + 92 θ 2 64 θ 3 + 8 θ 4 + 2 x 2 1350 750 θ 431 θ 2 + 316 θ 3 44 θ 4 + x 5910 7382 θ + 10085 θ 2 10364 θ 3 + 4691 θ 4 900 θ 5 + 60 θ 6 ] 2 16 + 15 x 7 2 θ 2 + x 45 28 θ + 4 θ 2 2 ,
which is apparently less than 0.
Rearranging E π m D * , E π m O * and E π m R * with the notation x = μ σ 2 , and then comparing the retailer’s expected profit among the three channel strategies, we have
E π m D * E π m O * = a 2 x 1 + x 1 θ 2 7 2 θ 3 4 7 2 θ 2 + x 45 28 θ + 4 θ 2 2 > 0 ,
and
E π m O * E π m R * = a 2 x 128 + 224 x + 97 x 2 4 1 + x 16 + 15 x 2 > 0 .
Thus, the proof of Proposition 9 is completed. □

References

  1. Hong, Z.F.; Wang, H.; Yu, Y.G. Green product pricing with non-green product reference. Transp. Res. E-Log. 2018, 115, 1–15. [Google Scholar] [CrossRef]
  2. Quintana-García, C.; Benavides-Chicón, C.G.; Marchante-Lara, M. Does a green supply chain improve corporate reputation? Empirical evidence from European manufacturing sectors. Ind. Market Manag. 2020, 92, 344–353. [Google Scholar] [CrossRef]
  3. Agi, M.A.N.; Yan, X.H. Greening products in a supply chain under market segmentation and different channel power structures. Int. J. Prod. Econ. 2020, 223, 107523. [Google Scholar] [CrossRef]
  4. Gurnani, H.; Ramachandran, K.; Ray, S.; Xia, Y.S. Ordering Behavior Under Supply Risk: An Experimental Investigation. M&Som-Manuf. Serv. Op. 2014, 16, 61–75. [Google Scholar]
  5. Inderfurth, K.; Clemens, J. Supply chain coordination by risk sharing contracts under random production yield and deterministic demand. Or Spec. 2014, 36, 525–556. [Google Scholar] [CrossRef]
  6. Yuan, X.; Bi, G.; Fei, Y.; Liu, L. Supply chain with random yield and financing. Omega 2021, 102, 102334. [Google Scholar] [CrossRef]
  7. Li, X.; Li, Y.J. On the loss-averse dual-sourcing problem under supply disruption. Comput. Oper. Res. 2018, 100, 301–313. [Google Scholar] [CrossRef]
  8. Gupta, V.; Ivanov, D. Dual sourcing under supply disruption with risk-averse suppliers in the sharing economy. Int. J. Prod. Res. 2020, 58, 291–307. [Google Scholar] [CrossRef]
  9. Feng, Y.; D’Amours, S.; Beauregard, R. The value of sales and operations planning in oriented strand board industry with make-to-order manufacturing system: Cross functional integration under deterministic demand and spot market recourse. Int. J. Prod. Econ. 2008, 115, 189–209. [Google Scholar] [CrossRef]
  10. Ranjan, A.; Jha, J.K. Pricing and coordination strategies of a dual-channel supply chain considering green quality and sales effort. J. Clean. Prod. 2019, 218, 409–424. [Google Scholar] [CrossRef]
  11. Li, B.; Zhu, M.Y.; Jiang, Y.S.; Li, Z.H. Pricing policies of a competitive dual-channel green supply chain. J. Clean. Prod. 2016, 112, 2029–2042. [Google Scholar] [CrossRef]
  12. Gao, J.; Xiao, Z.; Wei, H.; Zhou, G. Dual-channel green supply chain management with eco-label policy: A perspective of two types of green products. Comput. Ind. Eng. 2020, 146, 106613. [Google Scholar] [CrossRef]
  13. Chen, J.; Zhang, H.; Sun, Y. Implementing coordination contracts in a manufacturer Stackelberg dual-channel supply chain. Omega 2012, 40, 571–583. [Google Scholar] [CrossRef]
  14. Rahbar, E.; Abdul Wahid, N. Investigation of green marketing tools’ effect on consumers’ purchase behavior. Bus. Strategy Ser. 2011, 12, 73–83. [Google Scholar] [CrossRef]
  15. Hong, Z.F.; Guo, X.L. Green product supply chain contracts considering environmental responsibilities. Omega 2019, 83, 155–166. [Google Scholar] [CrossRef]
  16. Singh, N.; Vives, X. Price and Quantity Competition in a Differentiated Duopoly. RAND J. Econ. 1984, 15, 546–554. [Google Scholar] [CrossRef]
  17. Yang, S.L.; Shi, V.; Jackson, J.E. Manufacturers’ channel structures when selling asymmetric competing products. Int. J. Prod. Econ. 2015, 170, 641–651. [Google Scholar] [CrossRef]
  18. Deo, S.; Corbett, C. Cournot Competition Under Yield Uncertainty: The Case of the U.S. Influenza Vaccine Market. Manuf. Serv. Oper. Manag. 2009, 11, 563–576. [Google Scholar] [CrossRef]
  19. Jansen, M.C.; Ozaltin, O.Y. Note on Cournot Competition Under Yield Uncertainty. Manuf. Serv. Oper. Manag. 2017, 19, 305–308. [Google Scholar] [CrossRef]
  20. Niu, B.; Li, J.; Zhang, J.; Cheng, H.K.; Tan, Y.R. Strategic Analysis of Dual Sourcing and Dual Channel with an Unreliable Alternative Supplier. Prod. Oper. Manag. 2019, 28, 570–587. [Google Scholar] [CrossRef]
  21. Karlin, S. One stage models with uncertainty. In Studies in the Mathematical Theory of Inventory and Production; Arrow, K., Karlin, S., Scarf, H., Eds.; Stanford University Press: Stanford, CA, USA, 1958; pp. 109–134. [Google Scholar]
  22. Henig, M.; Gerchak, Y. The Structure of Periodic Review Policies in the Presence of Random Yield. Oper. Res. 1990, 38, 634–643. [Google Scholar] [CrossRef]
  23. Grosfeld-Nir, A.; Gerchak, Y.; He, Q.M. Manufacturing to order with random yield and costly inspection. Oper. Res. 2000, 48, 761–767. [Google Scholar] [CrossRef]
  24. Bakal, I.S.; Akcali, E. Effects of random yield in remanufacturing with price-sensitive supply and demand. Prod. Oper. Manag. 2006, 15, 407–420. [Google Scholar] [CrossRef]
  25. Wang, Y.M.; Gilland, W.; Tomlin, B. Mitigating Supply Risk: Dual Sourcing or Process Improvement? M&Som-Manuf. Serv. Op. 2010, 12, 489–510. [Google Scholar]
  26. Xue, W.L.; Choi, T.M.; Ma, L.J. Diversification strategy with random yield suppliers for a mean-variance risk-sensitive manufacturer. Transport Res. E-Log. 2016, 90, 90–107. [Google Scholar] [CrossRef]
  27. Zare, M.; Esmaeili, M.; He, Y. Implications of risk-sharing strategies on supply chains with multiple retailers and under random yield. Int. J. Prod. Econ. 2019, 216, 413–424. [Google Scholar] [CrossRef]
  28. Chan, H.K.; He, H.; Wang, W.Y.C. Green marketing and its impact on supply chain management in industrial markets. Ind. Market Manag. 2012, 41, 557–562. [Google Scholar] [CrossRef]
  29. Menon, A.; Menon, A. Enviropreneurial Marketing Strategy: The Emergence of Corporate Environmentalism as Market Strategy. J. Market. 1997, 61, 51–67. [Google Scholar] [CrossRef]
  30. Egri, C.P.; Herman, S. Leadership in the North American environmental sector: Values, leadership styles, and contexts of environmental leaders and their organizations. Acad. Manag. J. 2000, 43, 571–604. [Google Scholar]
  31. Cui, L.; Guo, S.; Zhang, H. Coordinating a Green Agri-Food Supply Chain with Revenue-Sharing Contracts Considering Retailers’ Green Marketing Efforts. Sustainability 2020, 12, 1289. [Google Scholar] [CrossRef]
  32. Cherian, J.; Jacob, J. Green marketing: A study of consumers’ attitude towards environment friendly products. Asian Soc. Sci. 2012, 8, 117–126. [Google Scholar] [CrossRef]
  33. Leonidou, L.C.; Leonidou, C.N.; Palihawadana, D.; Hultman, M. Evaluating the green advertising practices of international firms: A trend analysis. Int. Market. Rev. 2011, 28, 6–33. [Google Scholar] [CrossRef]
  34. Yang, L.; Ji, J.; Wang, M.; Wang, Z. The manufacturer’s joint decisions of channel selections and carbon emission reductions under the cap-and-trade regulation. J. Clean. Prod. 2018, 193, 506–523. [Google Scholar] [CrossRef]
  35. Huang, S.; Yang, C.; Zhang, X. Pricing and production decisions in dual-channel supply chains with demand disruptions. Comput. Ind. Eng. 2012, 62, 70–83. [Google Scholar] [CrossRef]
  36. Cattani, K.; Gilland, W.; Heese, H.S.; Swaminathan, J. Boiling frogs: Pricing strategies for a manufacturer adding a direct channel that competes with the traditional channel. Prod. Oper. Manag. 2006, 15, 40–56. [Google Scholar] [CrossRef]
  37. Dan, B.; Xu, G.Y.; Liu, C. Pricing policies in a dual-channel supply chain with retail services. Int. J. Prod. Econ. 2012, 139, 312–320. [Google Scholar] [CrossRef]
  38. Wang, L.; Song, Q. Pricing policies for dual-channel supply chain with green investment and sales effort under uncertain demand. Math. Comput. Simulat. 2020, 171, 79–93. [Google Scholar] [CrossRef]
  39. Liu, B.; Zhang, R.; Xiao, M.D. Joint decision on production and pricing for online dual channel supply chain system. Appl. Math. Model. 2010, 34, 4208–4218. [Google Scholar] [CrossRef]
  40. Zhou, J.; Zhao, R.; Wang, W. Pricing decision of a manufacturer in a dual-channel supply chain with asymmetric information. Eur. J. Oper. Res. 2019, 278, 809–820. [Google Scholar] [CrossRef]
  41. Heydari, J.; Govindan, K.; Aslani, A. Pricing and greening decisions in a three-tier dual channel supply chain. Int. J. Prod. Econ. 2019, 217, 185–196. [Google Scholar] [CrossRef]
  42. Forsythe, S.; Liu, C.; Shannon, D.; Gardner, L.C. Development of a scale to measure the perceived benefits and risks of online shopping. J. Interact. Mark. 2006, 20, 55–75. [Google Scholar] [CrossRef]
  43. Chiang, W.Y.K.; Zhang, D.S.; Zhou, L. Predicting and explaining patronage behavior toward web and traditional stores using neural networks: A comparative analysis with logistic regression. Decis. Support Syst. 2006, 41, 514–531. [Google Scholar] [CrossRef]
  44. Khouja, M.; Park, S.; Cai, G. Channel selection and pricing in the presence of retail-captive consumers. Int. J. Prod. Econ. 2010, 125, 84–95. [Google Scholar] [CrossRef]
  45. Cai, G.S. Channel Selection and Coordination in Dual-Channel Supply Chains. J. Retail. 2010, 86, 22–36. [Google Scholar] [CrossRef]
  46. Sarkar, S.; Bhadouriya, A. Manufacturer competition and collusion in a two-echelon green supply chain with production trade-off between non-green and green quality. J. Clean. Prod. 2020, 253, 119904. [Google Scholar] [CrossRef]
  47. Li, P.; Rao, C.J.; Goh, M.; Yang, Z.Q. Pricing strategies and profit coordination under a double echelon green supply chain. J. Clean. Prod. 2021, 278, 123694. [Google Scholar] [CrossRef]
  48. Zhang, H.Y.; Xu, H.Y.; Pu, X.J. A Cross-Channel Return Policy in a Green Dual-Channel Supply Chain Considering Spillover Effect. Sustainability 2020, 12, 2171. [Google Scholar] [CrossRef]
  49. Rao, C.; Wang, C.; Hu, Z.; Meng, Y.; Liu, M. Sustainable procurement decision of electric coal under fuzzy information environment. Sci. Iran. 2019, 26, 1039–1048. [Google Scholar] [CrossRef]
  50. Rahmani, K.; Yavari, M. Pricing policies for a dual-channel green supply chain under demand disruptions. Comput. Ind. Eng. 2019, 127, 493–510. [Google Scholar] [CrossRef]
  51. Rao, C.J.; Goh, M.; Zheng, J.J. Decision Mechanism for Supplier Selection Under Sustainability. Int. J. Inf. Tech. Decis. 2017, 16, 87–115. [Google Scholar] [CrossRef]
  52. Tang, S.Y.; Kouvelis, P. Supplier Diversification Strategies in the Presence of Yield Uncertainty and Buyer Competition. Manuf. Serv. Oper. Manag. 2011, 13, 439–451. [Google Scholar] [CrossRef]
  53. Correa-Lopez, M. Price and quantity competition in a differentiated duopoly with upstream suppliers. J. Econ. Manag. Strat. 2007, 16, 469–505. [Google Scholar] [CrossRef]
  54. Chiang, W.Y.K.; Chhajed, D.; Hess, J.D. Direct-marketing, indirect profits: A strategic analysis of dual-channel supply-chain design. Manag. Sci. 2003, 49, 1–20. [Google Scholar] [CrossRef]
  55. Wu, X.L.; Zhang, F.Q. Home or Overseas? An Analysis of Sourcing Strategies Under Competition. Manag. Sci. 2014, 60, 1223–1240. [Google Scholar] [CrossRef]
  56. Yang, D.; Xiao, T.; Huang, J. Dual-channel structure choice of an environmental responsibility supply chain with green investment. J. Clean. Prod. 2019, 210, 134–145. [Google Scholar] [CrossRef]
  57. Ghosh, D.; Shah, J. A comparative analysis of greening policies across supply chain structures. Int. J. Prod. Econ. 2012, 135, 568–583. [Google Scholar] [CrossRef]
  58. Atasu, A.; Van Wassenhove, L.N.; Sarvary, M. Efficient Take-Back Legislation. Prod. Oper. Manag. 2009, 18, 243–258. [Google Scholar] [CrossRef]
  59. Liang, T.P.; Huang, J.S. An empirical study on consumer acceptance of products in electronic markets: A transaction cost model. Decis. Support Sys. 1998, 24, 29–43. [Google Scholar] [CrossRef]
  60. Yano, C.A.; Lee, H.L. Lot-Sizing with Random Yields—A Review. Oper. Res. 1995, 43, 311–334. [Google Scholar] [CrossRef]
Publisher’s Note: MDPI stays neutral with regard to jurisdictional claims in published maps and institutional affiliations.

Article Metrics

Citations

Article Access Statistics

Multiple requests from the same IP address are counted as one view.