A Method for Selecting the Typical Days with Full Urban Heat Island Development in Hot and Humid Area, Case Study in Guangzhou, China
Abstract
1. Introduction
2. Methods
2.1. Study Area
2.2. Field Measurement
2.2.1. Site for Urban Air Temperature Measurements
2.2.2. Experiment Design
2.2.3. Air Temperature in Suburban Area
2.3. Calculation of UHII and DTR
2.3.1. UHII
2.3.2. DTR in Suburban Areas
2.4. Meteorological Conditions during Experiments
3. Results
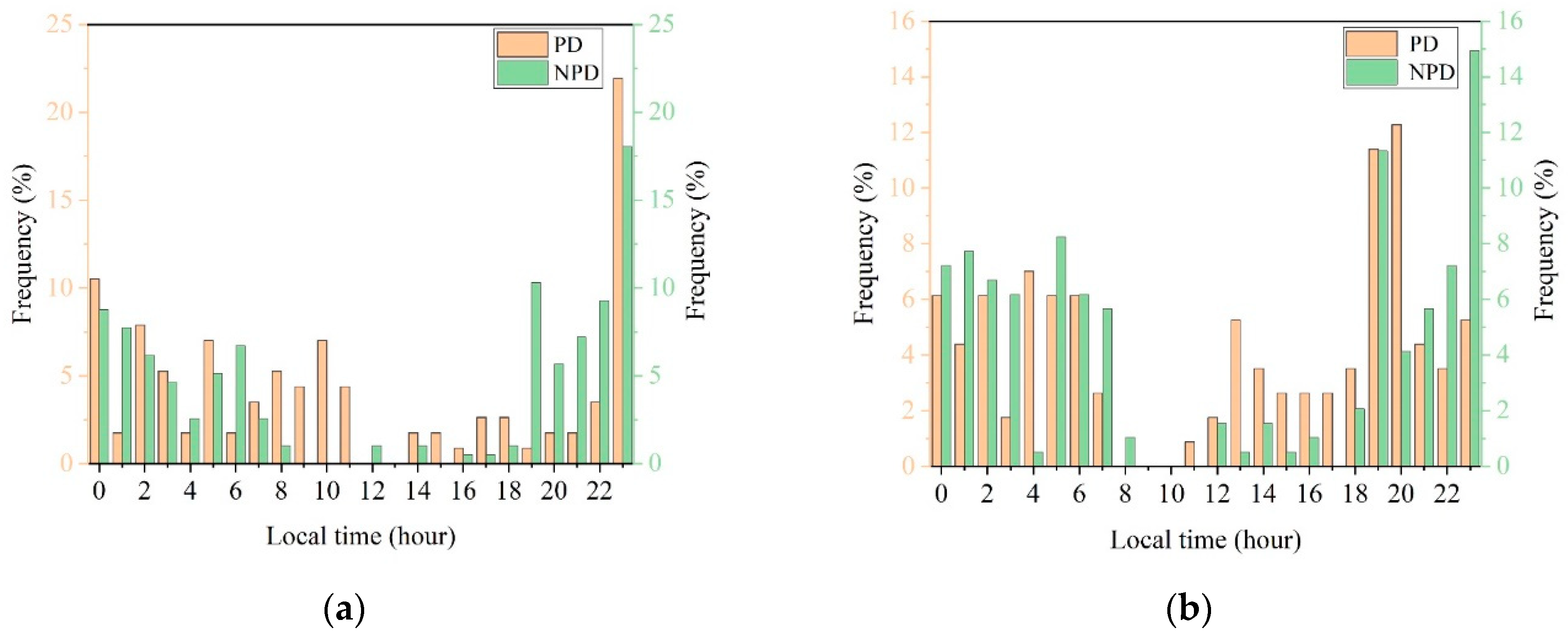
3.1. Characteristics of Daily
3.2. Influence of Precipitation on
3.3. Relationship between DTR and UHI
3.4. Thresholds for Identifying Days with High Daily
4. Discussion
5. Conclusions
Author Contributions
Funding
Data Availability Statement
Acknowledgments
Conflicts of Interest
References
- Oke, T.R.; Mills, G.; Christen, A.; Voogt, J.A. Urban Climate; Cambridge University Press: London, UK, 2017. [Google Scholar]
- Santamouris, M.; Ding, L.; Fiorito, F.; Oldfield, P.; Osmond, P.; Paolini, R.; Prasad, D.; Synnefa, A.J.S.E. Passive and active cooling for the outdoor built environment—Analysis and assessment of the cooling potential of mitigation technologies using performance data from 220 large scale projects. Sol. Energy 2016, 154, 14–33. [Google Scholar] [CrossRef]
- He, B.; Wang, J.; Liu, H.; Ulpiani, G. Localized synergies between heat waves and urban heat islands: Implications on human thermal comfort and urban heat management. Environ. Res. 2020, 193, 110584. [Google Scholar] [CrossRef]
- Li, L.; Zha, Y.; Wang, R. Relationship of surface urban heat island with air temperature and precipitation in global large cities. Ecol. Indic. 2020, 117, 106683. [Google Scholar] [CrossRef]
- Oke, T.R. City Size and the Urban Heat Island. Atmos. Environ. 1973, 7, 769–779. [Google Scholar] [CrossRef]
- Chen, G.; Zhao, L.; Mochida, A. Urban Heat Island Simulations in Guangzhou, China, Using the Coupled WRF/UCM Model with a Land Use Map Extracted from Remote Sensing Data. Sustainability 2016, 8, 628. [Google Scholar] [CrossRef]
- Stewart, I.D.; Oke, T.R. Local climate zones for urban temperature studies. Bull. Am. Meteorol. Soc. 2012, 93, 1879–1900. [Google Scholar] [CrossRef]
- Zhou, D.C.; Zhao, S.Q.; Liu, S.G.; Zhang, L.X.; Zhu, C. Surface urban heat island in China’s 32 major cities: Spatial patterns and drivers. Remote Sens. Environ. 2014, 152, 51–61. [Google Scholar] [CrossRef]
- Rajagopalan, P.; Lim, K.C.; Jamei, E. Urban heat island and wind flow characteristics of a tropical city. Sol. Energy 2014, 107, 159–170. [Google Scholar] [CrossRef]
- Yang, X.; Yao, L.; Jin, T.; Peng, L.L.H.; Jiang, Z.; Hu, Z.; Ye, Y. Assessing the thermal behavior of different local climate zones in the Nanjing metropolis, China. Build. Environ. 2018, 137, 171–184. [Google Scholar] [CrossRef]
- He, B.; Ding, L.; Prasad, D. Enhancing urban ventilation performance through the development of precinct ventilation zones: A case study based on the Greater Sydney, Australia—ScienceDirect. Sustain. Cities Soc. 2019, 47, 101472. [Google Scholar] [CrossRef]
- He, B. Potentials of meteorological characteristics and synoptic conditions to mitigate urban heat island effects. Urban Clim. 2018, 24, 26–33. [Google Scholar] [CrossRef]
- Stewart, I.D. A systematic review and scientific critique of methodology in modern urban heat island literature. Int. J. Climatol. 2011, 31, 200–217. [Google Scholar] [CrossRef]
- Arifwidodo, S.D.; Tanaka, T. The Characteristics of Urban Heat Island in Bangkok, Thailand. Procedia Soc. Behav. Sci. 2015, 195, 423–428. [Google Scholar] [CrossRef]
- Unal, Y.S.; Sonuc, C.Y.; Incecik, S.; Topcu, H.S.; Diren-Ustun, D.H.; Temizoz, H.P. Investigating urban heat island intensity in Istanbul. Theor. Appl. Climatol. 2020, 139, 175–190. [Google Scholar] [CrossRef]
- Oke, T.R.; Maxwell, G.B. Urban heat island dynamics in Montreal and Vancouver. Atmos. Environ. 1975, 9, 191–200. [Google Scholar] [CrossRef]
- Leconte, F.; Bouyer, J.; Claverie, R.; Petrissans, M. Using Local Climate Zone scheme for UHI assessment: Evaluation of the method using mobile measurements. Build. Environ. Pollut. 2015, 83, 39–49. [Google Scholar] [CrossRef]
- Yang, X.; Chen, Y.; Peng, L.L.H.; Wang, Q. Quantitative methods for identifying meteorological conditions conducive to the development of urban heat islands. Build. Environ. 2020, 178, 106953. [Google Scholar] [CrossRef]
- Oke, T.R. An Algorithmic Scheme to Estimate Hourly Heat Island Magnitude. In Proceedings of the 2nd Urban Environment Symposium, Albuquerque, NM, USA, 2–6 November 1998. [Google Scholar]
- Skarbit, N.; Stewart, I.D.; Unger, J.; Gál, T. Employing an urban meteorological network to monitor air temperature conditions in the ‘local climate zones’ of Szeged, Hungary. Int. J. Climatol. 2017, 37 (Suppl. 1), 582–596. [Google Scholar] [CrossRef]
- Yang, X.S.; Yao, L.Y.; Peng, L.L.H.; Jiang, Z.D.; Jin, T.; Zhao, L.H. Evaluation of a diagnostic equation for the daily maximum urban heat island intensity and its application to building energy simulations. Energy Build. 2019, 193, 160–173. [Google Scholar] [CrossRef]
- Holmer, B.; Thorsson, S.; Lindén, J. Evening evapotranspirative cooling in relation to vegetation and urban geometry in the city of Ouagadougou, Burkina Faso. Int. J. Climatol. 2013, 33, 3089–3105. [Google Scholar] [CrossRef]
- Theeuwes, N.E.; Steeneveld, G.J.; Ronda, R.J.; Holtslag, A.A.M. A diagnostic equation for the daily maximum urban heat island effect for cities in northwestern Europe. Int. J. Climatol. 2017, 37, 443–454. [Google Scholar] [CrossRef]
- Yao, L.; Yang, X.; Zhu, C.; Jin, T.; Peng, L.; Ye, Y. Evaluation of a Diagnostic equation for the daily maximum urban heat island effect. Procedia Eng. 2017, 205, 2863–2870. [Google Scholar] [CrossRef]
- Kan, H.; London, S.J.; Chen, H.; Song, G.; Chen, G.; Jiang, L.; Zhao, N.; Zhang, Y.; Chen, B. Diurnal temperature range and daily mortality in Shanghai, China. Environ. Res. 2007, 103, 424–431. [Google Scholar] [CrossRef]
- Wang, K.; Ye, H.; Chen, F.; Xiong, Y.; Wang, C. Urbanization Effect on the Diurnal Temperature Range: Different Roles under Solar Dimming and Brightening. J. Clim. 2012, 25, 1022–1027. [Google Scholar] [CrossRef]
- Yang, J.; Liu, H.Z.; Ou, C.Q.; Lin, G.Z.; Zhou, Q.; Shen, G.C.; Chen, P.Y.; Guo, Y.J.E.P. Global climate change: Impact of diurnal temperature range on mortality in Guangzhou, China. Environ. Pollut. 2013, 175, 131–136. [Google Scholar] [CrossRef]
- Liu, W.; Yang, P.; You, H.; Zhang, B. Heat island effect and diurnal temperature range in Beijing area. Clim. Environ. Res. 2013, 18, 171–177. [Google Scholar]
- China Meteorological Bureau. China Standard Weather Data for Analyzing Building Thermal Conditions; China Building Industry Publishing House: Beijing, China, 2005; pp. 90–105.
- Shi, Y.; Xiang, Y.; Zhang, Y. Urban Design Factors Influencing Surface Urban Heat Island in the High-Density City of Guangzhou Based on the Local Climate Zone. Sensors 2019, 19, 3459. [Google Scholar] [CrossRef]
- Evans, J.D. Straightforward Statistics for the Behavioral Sciences; Brooks/Cole Publishing Company: Pacific Grove, CA, USA, 1996. [Google Scholar]
- Zhang, X.; Steeneveld, G.J.; Zhou, D.; Duan, C.; Holtslag, A.A.M. A diagnostic equation for the maximum urban heat island effect of a typical Chinese city: A case study for Xi’an. Build. Environ. 2019, 158, 39–50. [Google Scholar] [CrossRef]
- Miles, V.; Esau, I. Seasonal and Spatial Characteristics of Urban Heat Islands (UHIs) in Northern West Siberian Cities. Remote Sens. 2017, 9, 989. [Google Scholar] [CrossRef]
- Liu, W.; Ji, C.; Zhong, J.; Jiang, X.; Zheng, Z. Temporal characteristics of the Beijing urban heat island. Theor. Appl. Climatol. 2007, 87, 213–221. [Google Scholar] [CrossRef]
- Jiang, X.D.; Xia, B.C.; Guo, L.; Nan, L.I. Characteristics of multi-scale temporal-spatial distribution of urban heat island in Guangzhou. Chin. J. Appl. Ecol. 2007, 18, 133–139. [Google Scholar]










| Building Type | Satellite Images | Properties | |
|---|---|---|---|
| Zone Parameter Value | Indicator Range for the LCZ Type [7] | ||
![]() | ![]() | H/W 1: 2.24 | H/W: >2 |
| SVF: 0.48 * | SVF: 0.2–0.4 | ||
| BSF: 30.55% * | BSF: 40–60% | ||
| ISF: 49.28% | ISF: 40–60% | ||
| LCZ 1: Compact high-rise | HRE: 35 m | HRE: >25 m | |
![]() | ![]() | H/W: 0.84 | H/W: 0.75–1.5 |
| SVF: 0.57 | SVF: 0.2–0.6 | ||
| BSF: 44.86% | BSF: 40–70% | ||
| ISF: 51.61% * | ISF: 20–50% | ||
| LCZ 3: Compact low-rise | HRE: 11 m * | HRE: 3–10 m | |
| Month | Jan | Feb | Mar | Apr | May | Jun | July | Aug | Sep | Oct | Nov | Dec | Total |
|---|---|---|---|---|---|---|---|---|---|---|---|---|---|
| PDs 1 | 4 | 10 | 15 | 11 | 16 | 16 | 9 | 17 | 9 | 6 | 0 | 1 | 114 |
| NPDs | 24 | 16 | 10 | 10 | 7 | 5 | 17 | 6 | 17 | 23 | 30 | 29 | 194 |
| FPDs | 3 | 3 | 5 | 2 | 1 | 3 | 2 | 3 | 4 | 2 | 0 | 1 | 29 |
| precipitation | 22.4 | 124.9 | 150.2 | 83.5 | 511.1 | 250.8 | 65.5 | 452.5 | 104.6 | 39.5 | 0 | 5.6 | 1811 |
| Mean T (°C) | 16 | 16.8 | 20.2 | 20.7 | 27.3 | 28.5 | 30.3 | 28.5 | 27.0 | 24.5 | 19.8 | 16.5 | - |
Publisher’s Note: MDPI stays neutral with regard to jurisdictional claims in published maps and institutional affiliations. |
© 2020 by the authors. Licensee MDPI, Basel, Switzerland. This article is an open access article distributed under the terms and conditions of the Creative Commons Attribution (CC BY) license (http://creativecommons.org/licenses/by/4.0/).
Share and Cite
Chen, G.; He, M.; Li, N.; He, H.; Cai, Y.; Zheng, S. A Method for Selecting the Typical Days with Full Urban Heat Island Development in Hot and Humid Area, Case Study in Guangzhou, China. Sustainability 2021, 13, 320. https://doi.org/10.3390/su13010320
Chen G, He M, Li N, He H, Cai Y, Zheng S. A Method for Selecting the Typical Days with Full Urban Heat Island Development in Hot and Humid Area, Case Study in Guangzhou, China. Sustainability. 2021; 13(1):320. https://doi.org/10.3390/su13010320
Chicago/Turabian StyleChen, Guang, Minjie He, Nan Li, Hao He, Yunnan Cai, and Senlin Zheng. 2021. "A Method for Selecting the Typical Days with Full Urban Heat Island Development in Hot and Humid Area, Case Study in Guangzhou, China" Sustainability 13, no. 1: 320. https://doi.org/10.3390/su13010320
APA StyleChen, G., He, M., Li, N., He, H., Cai, Y., & Zheng, S. (2021). A Method for Selecting the Typical Days with Full Urban Heat Island Development in Hot and Humid Area, Case Study in Guangzhou, China. Sustainability, 13(1), 320. https://doi.org/10.3390/su13010320




