Utilizing Bivariate Climate Forecasts to Update the Probabilities of Ensemble Streamflow Prediction
Abstract
1. Introduction
2. Theoretical Background
2.1. Ensemble Streamflow Prediction
2.2. Croley-Wilks Approach
2.2.1. Definition of Three Interval Probabilities
2.2.2. Utilizing Univariate Climate Forecast Information
2.2.3. Utilizing Bivariate Climate Forecast Information
- ,
- ,
- ,
- ,
- ,
- ,
- ,
- ,
- and is simulated streamflow driven by the ith climate scenario (i.e., is a function of and ).
2.3. Performance Evaluation Metrics
3. Case Study
3.1. Application Sites and Data Sets
3.2. Probabilistic Climate Forecast
3.3. Realization of Synthetic Climate Forecasts
3.4. Rainfall-Runoff Model
3.5. Overall Evaluation Framework
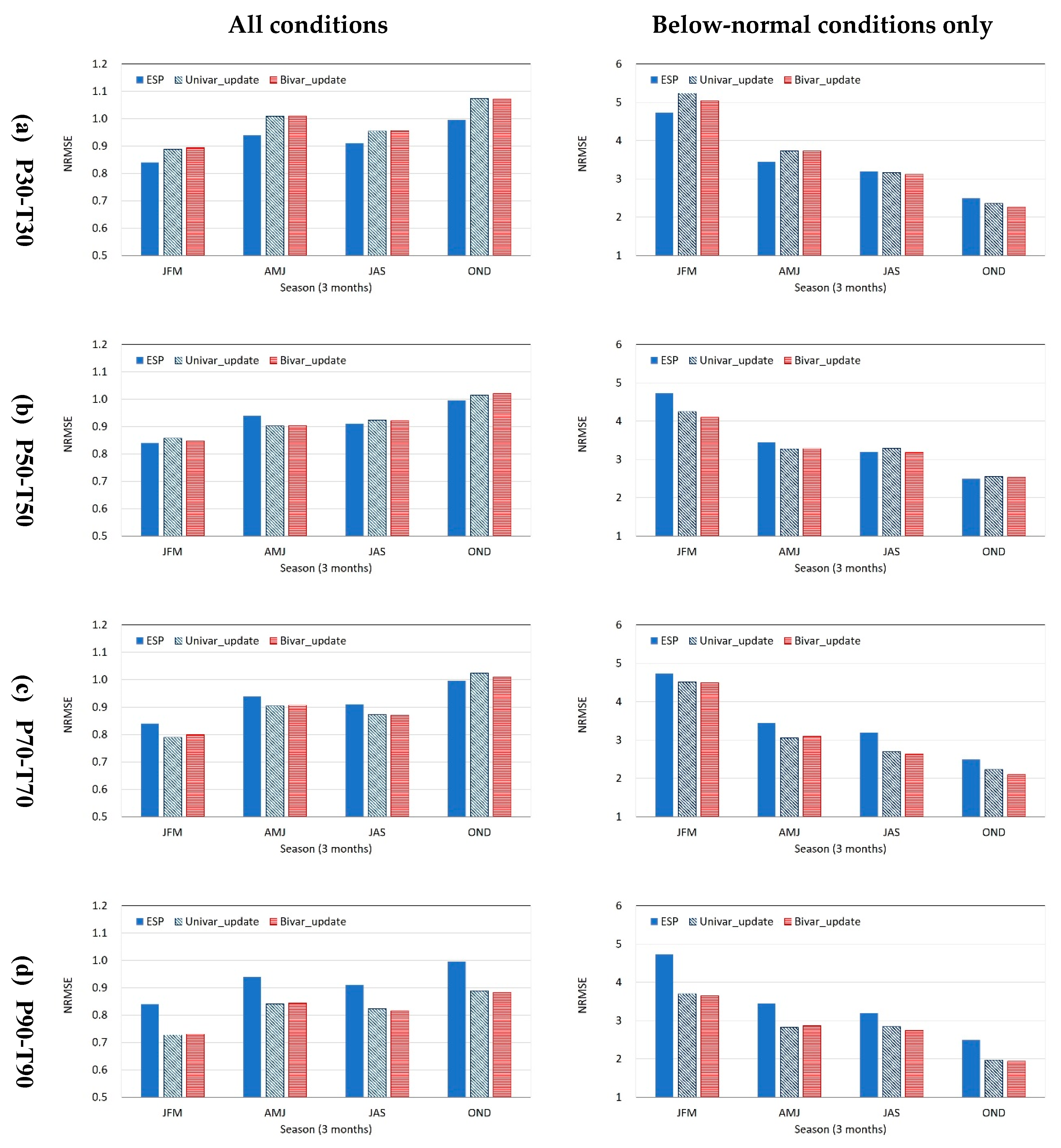
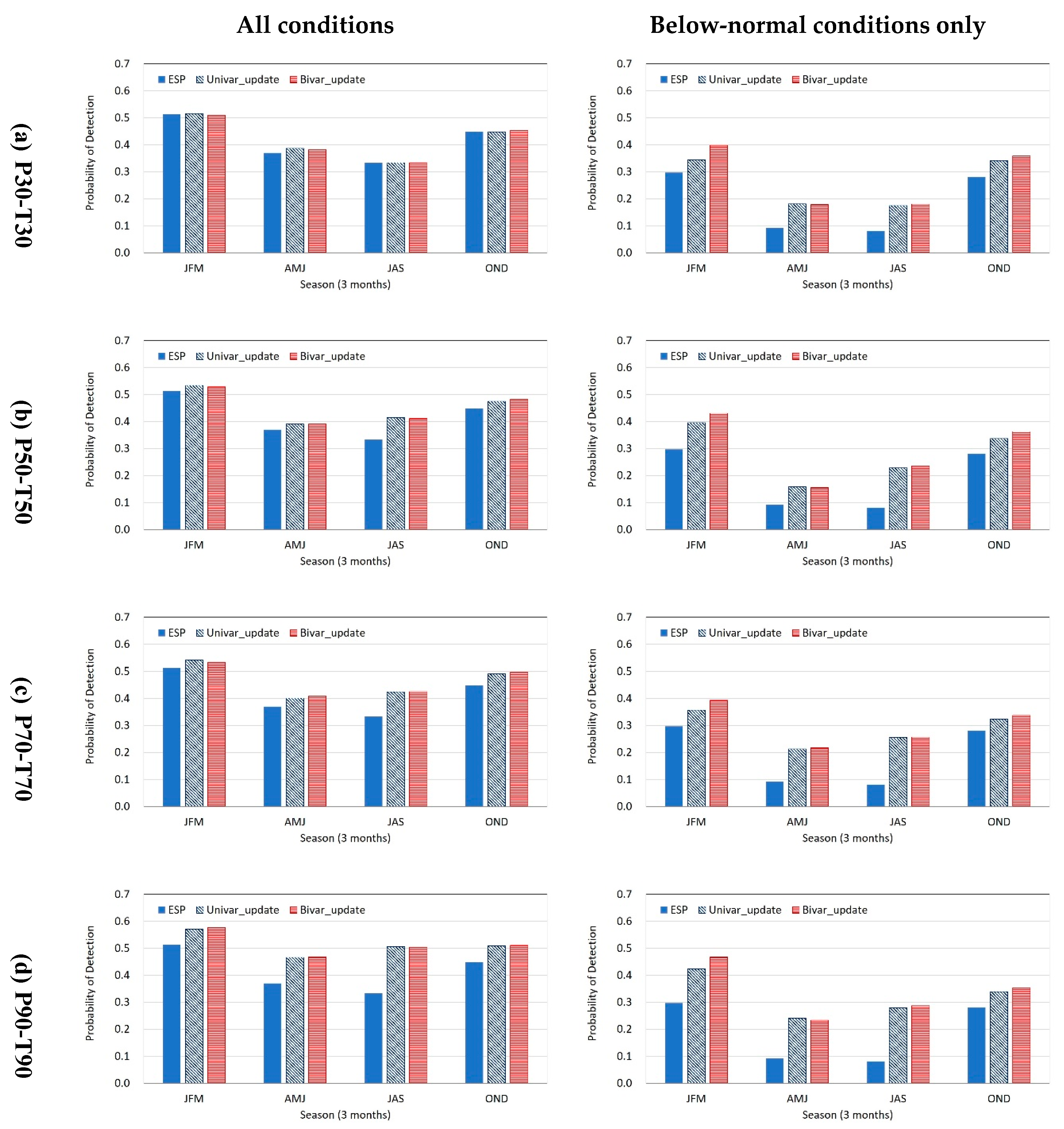
4. Results
4.1. Deterministic Forecast Evaluation
4.2. Categorical Forecast Evaluation
5. Discussion and Conclusions
Author Contributions
Funding
Acknowledgments
Conflicts of Interest
Appendix A. Utilizing Univariate Climate Forecast Information
Appendix B. Utilizing Bivariate Climate Forecast Information


Appendix C. Contingency Table for the 3 × 3 Categorical Forecast Verification

Appendix D. Realization of Synthetic Probabilistic Forecasts
- 1)
- setting up a group of historic forecasts: Obtain historic forecasts that were issued up to date and categorize them into the three intervals (below-normal, normal, and above-normal). Historical forecast samples are presented in Table A1
- 2)
- random sampling: Extract samples randomly from the group of historic forecast samples in order to allow them to have targeting the POD value. For instance, if an observed climate scenario belongs to the below-normal interval and the given value of the target POD is 0.5, half of the forecasts are randomly sampled among the historical forecasts that belong to the below-normal category, while the other half of forecasts are randomly sampled among the historical forecasts that do not belong to the below-normal category. Figure A4 illustrates an example of the synthetic probabilistic forecast generation. First, randomly select a single forecast for each category among all the historic samples. A final forecast must be selected among these three candidates based on given weights (i.e., extraction probability) that vary corresponding to the value of the target POD. Thus, extraction probability is the given weights for the three different categories (below-normal, normal, and above-normal) in order to synthetically generate probabilistic climate forecast series. This must be repeated till the end of time step and separately generated for each province. The PPF and the PTF series are generated separately, since it is assumed that PPFs and PTFs are independent. Note that the synthetic forecast generated in the Figure A4 is just an example.
| Below-Normal | Normal | Above-Normal | ||||||
|---|---|---|---|---|---|---|---|---|
| 0.50 | 0.40 | 0.10 | 0.25 | 0.30 | 0.45 | 0.10 | 0.40 | 0.50 |
| 0.50 | 0.35 | 0.15 | 0.30 | 0.30 | 0.40 | 0.15 | 0.35 | 0.50 |
| 0.50 | 0.30 | 0.20 | 0.40 | 0.30 | 0.30 | 0.20 | 0.30 | 0.50 |
| 0.55 | 0.35 | 0.10 | 0.45 | 0.30 | 0.25 | 0.10 | 0.35 | 0.55 |
| 0.55 | 0.30 | 0.15 | : | : | : | 0.15 | 0.30 | 0.55 |
| 0.60 | 0.30 | 0.10 | 0.25 | 0.60 | 0.15 | 0.10 | 0.30 | 0.60 |
| 0.60 | 0.25 | 0.15 | 0.30 | 0.60 | 0.10 | 0.15 | 0.25 | 0.60 |
| 0.65 | 0.25 | 0.10 | 0.20 | 0.65 | 0.15 | 0.10 | 0.25 | 0.65 |
| 0.70 | 0.20 | 0.10 | 0.15 | 0.65 | 0.20 | 0.10 | 0.20 | 0.70 |

References
- Ding, W.; Zhang, C.; Peng, Y.; Zeng, R.; Zhou, H.; Cai, X. An analytical framework for flood water conservation considering forecast uncertainty and acceptable risk. Water Resour. Res. 2015, 51, 4702–4726. [Google Scholar] [CrossRef]
- Pappenberger, F.; Cloke, H.L.; Parker, D.J.; Wetterhall, F.; Richardson, D.S.; Thielen, J. The monetary benefit of early flood warnings in Europe. Environ. Sci. Policy 2015, 51, 278–291. [Google Scholar] [CrossRef]
- Seo, S.B.; Kim, Y.-O.; Kim, Y.; Eum, H.-I. Selecting climate change scenarios for regional hydrologic impact studies based on climate extremes indices. Clim. Dyn. 2019, 52, 1595–1611. [Google Scholar] [CrossRef]
- Steinemann, A.C. Using climate forecasts for drought management. J. Appl. Meteorol. Climatol. 2006, 45, 1353–1361. [Google Scholar] [CrossRef]
- Eum, H.I.; Kim, Y.O.; Palmer, R.N. Optimal drought management using sampling stochastic dynamic programming with a hedging rule. J. Water Resour. Plan. Manag. 2011, 137, 113–122. [Google Scholar] [CrossRef]
- Eum, H.-I.; Kim, Y.-O. The value of updating ensemble streamflow prediction in reservoir operations. Hydrol. Process. 2010, 24, 2888–2899. [Google Scholar] [CrossRef]
- Georgakakos, A.P.; Yao, H.; Kistenmacher, M.; Georgakakos, K.P.; Graham, N.E.; Cheng, F.-Y.; Spencer, C.; Shamir, E. Value of adaptive water resources management in Northern California under climatic variability and change: Reservoir management. J. Hydrol. 2012, 412–413, 34–46. [Google Scholar] [CrossRef]
- Day, G.N. Extended streamflow forecasting using NWSRFS. J. Water Resour. Plan. Manag. 1985, 111, 157–170. [Google Scholar] [CrossRef]
- Schaake, J.; Larson, L. Ensemble Streamflow Prediction (ESP): Progress and Research Needs. In Special Symposium on Hydrology; American Meteorological Society: Boston, MA, USA, 1998. [Google Scholar]
- Kim, Y.-O.; Jeong, D.-I.; Kim, H.-S. Improving water supply outlook in Korea with ensemble streamflow prediction. Water Int. 2001, 26, 563–568. [Google Scholar] [CrossRef]
- Franz, K.J.; Hartmann, H.C.; Sorooshian, S.; Bales, R. Verification of national weather service ensemble streamflow predictions for water supply forecasting in the Colorado River basin. J. Hydrometeorol. 2003, 4, 1105–1118. [Google Scholar] [CrossRef]
- Jeong, D.-I.; Kim, Y.-O. Rainfall-runoff models using artificial neural networks for ensemble streamflow prediction. Hydrol. Process. 2005, 19, 3819–3835. [Google Scholar] [CrossRef]
- Gobena, A.K.; Gan, T.Y. Incorporation of seasonal climate forecasts in the ensemble streamflow prediction system. J. Hydrol. 2010, 385, 336–352. [Google Scholar] [CrossRef]
- Najafi, M.R.; Moradkhani, H.; Piechota, T.C. Ensemble streamflow prediction: Climate signal weighting methods vs. climate forecast system reanalysis. J. Hydrol. 2012, 442–443, 105–116. [Google Scholar] [CrossRef]
- Wood, A.; Sankarasubramanian, A.; Mendoza, P. Seasonal Ensemble Forecast Post-processing. In Handbook of Hydrometeorological Ensemble Forecasting; Duan, Q., Pappenberger, F., Wood, A., Cloke, H.L., Schaake, J.C., Eds.; Springer: Berlin/Heidelberg, Germany, 2019; pp. 819–845. ISBN 978-3-642-39925-1. [Google Scholar]
- Kelman, J.; Stedinger, J.R.; Cooper, L.A.; Hsu, E.; Yuan, S.-Q. Sampling stochastic dynamic programming applied to reservoir operation. Water Resour. Res. 1990, 26, 447–454. [Google Scholar] [CrossRef]
- Faber, B.A.; Stedinger, J.R. Reservoir optimization using sampling SDP with ensemble streamflow prediction (ESP) forecasts. J. Hydrol. 2001, 249, 113–133. [Google Scholar] [CrossRef]
- Krzysztofowicz, R. Integrator of uncertainties for probabilistic river stage forecasting: Precipitation-dependent model. J. Hydrol. 2001, 249, 69–85. [Google Scholar] [CrossRef]
- Herr, H.D.; Krzysztofowicz, R. Bayesian ensemble forecast of river stages and ensemble size requirements. J. Hydrol. 2010, 387, 151–164. [Google Scholar] [CrossRef]
- Demargne, J.; Wu, L.; Regonda, S.K.; Brown, J.D.; Lee, H.; He, M.; Seo, D.-J.; Hartman, R.; Herr, H.D.; Fresch, M.; et al. The science of NOAA’s operational hydrologic ensemble forecast service. Bull. Am. Meteorol. Soc. 2013, 95, 79–98. [Google Scholar] [CrossRef]
- Beckers, J.V.L.; Weerts, A.H.; Tijdeman, E.; Welles, E. ENSO-conditioned weather resampling method for seasonal ensemble streamflow prediction. Hydrol. Earth Syst. Sci. 2016, 20, 3277–3287. [Google Scholar] [CrossRef]
- Ye, A.; Deng, X.; Ma, F.; Duan, Q.; Zhou, Z.; Du, C. Integrating weather and climate predictions for seamless hydrologic ensemble forecasting: A case study in the Yalong River basin. J. Hydrol. 2017, 547, 196–207. [Google Scholar] [CrossRef]
- Cuo, L.; Pagano, T.C.; Wang, Q.J. A review of quantitative precipitation forecasts and their use in short- to medium-range streamflow forecasting. J. Hydrometeorol. 2011, 12, 713–728. [Google Scholar] [CrossRef]
- Bennett, J.C.; Wang, Q.J.; Li, M.; Robertson, D.E.; Schepen, A. Reliable long-range ensemble streamflow forecasts: Combining calibrated climate forecasts with a conceptual runoff model and a staged error model. Water Resour. Res. 2016, 52, 8238–8259. [Google Scholar] [CrossRef]
- Barnett, T.P.; Adam, J.C.; Lettenmaier, D.P. Potential impacts of a warming climate on water availability in snow-dominated regions. Nature 2005, 438, 303–309. [Google Scholar] [CrossRef] [PubMed]
- Shukla, S.; Safeeq, M.; AghaKouchak, A.; Guan, K.; Funk, C. Temperature impacts on the water year 2014 drought in California. Geophys. Res. Lett. 2015, 42, 4384–4393. [Google Scholar] [CrossRef]
- Seo, S.B.; Das Bhowmik, R.; Sankarasubramanian, A.; Mahinthakumar, G.; Kumar, M. The role of cross-correlation between precipitation and temperature in basin-scale simulations of hydrologic variables. J. Hydrol. 2019, 570, 304–314. [Google Scholar] [CrossRef]
- Scheuerer, M.; Hamill, T.M.; Whitin, B.; He, M.; Henkel, A. A method for preferential selection of dates in the Schaake shuffle approach to constructing spatiotemporal forecast fields of temperature and precipitation. Water Resour. Res. 2017, 53, 3029–3046. [Google Scholar] [CrossRef]
- Chen, J.; Li, C.; Brissette, F.P.; Chen, H.; Wang, M.; Essou, G.R.C. Impacts of correcting the inter-variable correlation of climate model outputs on hydrological modeling. J. Hydrol. 2018, 560, 326–341. [Google Scholar] [CrossRef]
- Bhowmik, R.D.; Sankarasubramanian, A.; Sinha, T.; Patskoski, J.; Mahinthakumar, G.; Kunkel, K.E. Multivariate downscaling approach preserving cross correlations across climate variables for projecting hydrologic fluxes. J. Hydrometeorol. 2017, 18, 2187–2205. [Google Scholar] [CrossRef]
- Seo, S.B.; Kim, Y.-O.; Kang, S.-U.; Chun, G.I. Improvement in long-range streamflow forecasting accuracy using the Bayes’ theorem. Hydrol. Res. 2019, 50, 616–632. [Google Scholar] [CrossRef]
- Croley, T.E. Weighted-climate parametric hydrologic forecasting. J. Hydrol. Eng. 2003, 8, 171–180. [Google Scholar] [CrossRef]
- Croley, T.E. Using Meteorology Probability Forecasts in Operational Hydrology; American Society of Civil Engineers: Reston, VA, USA, 2000; ISBN 978-0-7844-0459-1. [Google Scholar]
- Wilks, D.S. Realizations of daily weather in forecast seasonal climate. J. Hydrometeorol. 2002, 3, 195–207. [Google Scholar] [CrossRef]
- Stedinger, J.R.; Kim, Y.-O. Probabilities for ensemble forecasts reflecting climate information. J. Hydrol. 2010, 391, 9–23. [Google Scholar] [CrossRef]
- Kim, H.S.; Jeon, K.I.; Kang, S.U.; Nam, W.S. The study on the weighting method of ESP based on probabilistic long-term forecast. Proc. KSCE Conv. 2016, 91–92. [Google Scholar]
- Wilks, D.S. Statistical Methods in the Atmospheric Sciences, 3rd ed.; Academic Press: San Diego, CA, USA, 2011; Volume 100. [Google Scholar]
- Allen, R.G.; Pereira, L.S.; Raes, D.; Smith, M. FAO Irrigation and Drainage Paper; FAO UN: Rome, Italy, 1998; p. 326. [Google Scholar]
- Brassel, K.E.; Reif, D. A procedure to generate thiessen polygons. Geogr. Anal. 1979, 11, 289–303. [Google Scholar] [CrossRef]
- Jeong, J.-H.; Lee, H.; Yoo, J.H.; Kwon, M.; Yeh, S.-W.; Kug, J.-S.; Lee, J.-Y.; Kim, B.-M.; Son, S.-W.; Min, S.-K.; et al. The status and prospect of seasonal climate prediction of climate over Korea and East Asia: A review. Asia-Pac. J. Atmos. Sci. 2017, 53, 149–173. [Google Scholar] [CrossRef]
- Sugawara, M. Tank model. In Computer Models of Watershed Hydrology; Singh, B.P., Ed.; Water Resources Pubns: Highlands Ranch, CO, USA, 1995; ISBN 978-1-887201-74-2. [Google Scholar]
- McCabe, G.J.; Markstrom, S.L. A Monthly Water-Balance Model Driven by a Graphical User Interface; Open-File Report; Geological Survey (U.S.): Reston, VA, USA, 2007.
- McCabe, G.J.; Wolock, D.M. General-Circulation-Model simulations of future snowpack in the Western United states. JAWRA J. Am. Water Resour. Assoc. 1999, 35, 1473–1484. [Google Scholar] [CrossRef]
- Duan, Q.; Sorooshian, S.; Gupta, V. Effective and efficient global optimization for conceptual rainfall-runoff models. Water Resour. Res. 1992, 28, 1015–1031. [Google Scholar] [CrossRef]
- Seo, S.B.; Kim, Y.-O. Impact of spatial aggregation level of climate indicators on a national-level selection for representative climate change scenarios. Sustainability 2018, 10, 2409. [Google Scholar] [CrossRef]











| No. | Name | Drainage Areas (km2) | Reservoir Capacity (Million Cubic Meters) |
|---|---|---|---|
| 1 | Andong | 1584 | 1248 |
| 2 | Angye | 7 | 18 |
| 3 | Bohyunsan | 33 | 22 |
| 4 | Boryeong | 164 | 117 |
| 5 | Buan | 59 | 50 |
| 6 | Chungju | 6648 | 2750 |
| 7 | Daeam | 77 | 13 |
| 8 | Daecheong | 3204 | 1490 |
| 9 | Daegok | 58 | 36 |
| 10 | Dalbang | 29 | 9 |
| 11 | Gampo | 4 | 3 |
| 12 | Gucheon | 13 | 10 |
| 13 | Gunwi | 88 | 49 |
| 14 | Gwangdong | 125 | 13 |
| 15 | Hapcheon | 925 | 790 |
| 16 | Heongseong | 209 | 87 |
| 17 | Imha | 1361 | 595 |
| 18 | Jangheung | 193 | 191 |
| 19 | Juam | 1010 | 457 |
| 20 | Juam regulator | 135 | 250 |
| 21 | Kimcheonbuhang | 82 | 54 |
| 22 | Miryang | 95 | 74 |
| 23 | Namgang | 2285 | 309 |
| 24 | Pyeongnim | 20 | 10 |
| 25 | Sayeon | 67 | 30 |
| 26 | Seomjin | 763 | 466 |
| 27 | Seonam | 1 | 2 |
| 28 | Seongdeok | 41 | 28 |
| 29 | Soyanggang | 2703 | 2900 |
| 30 | Sueo | 49 | 31 |
| 31 | Woonmoon | 301 | 160 |
| 32 | Yeoncho | 12 | 5 |
| 33 | Yeongcheon | 235 | 103 |
| 34 | Yeongju | 500 | 181 |
| 35 | Yongdam | 930 | 815 |
© 2020 by the authors. Licensee MDPI, Basel, Switzerland. This article is an open access article distributed under the terms and conditions of the Creative Commons Attribution (CC BY) license (http://creativecommons.org/licenses/by/4.0/).
Share and Cite
Sung, J.H.; Ryu, Y.; Seo, S.B. Utilizing Bivariate Climate Forecasts to Update the Probabilities of Ensemble Streamflow Prediction. Sustainability 2020, 12, 2905. https://doi.org/10.3390/su12072905
Sung JH, Ryu Y, Seo SB. Utilizing Bivariate Climate Forecasts to Update the Probabilities of Ensemble Streamflow Prediction. Sustainability. 2020; 12(7):2905. https://doi.org/10.3390/su12072905
Chicago/Turabian StyleSung, Jang Hyun, Young Ryu, and Seung Beom Seo. 2020. "Utilizing Bivariate Climate Forecasts to Update the Probabilities of Ensemble Streamflow Prediction" Sustainability 12, no. 7: 2905. https://doi.org/10.3390/su12072905
APA StyleSung, J. H., Ryu, Y., & Seo, S. B. (2020). Utilizing Bivariate Climate Forecasts to Update the Probabilities of Ensemble Streamflow Prediction. Sustainability, 12(7), 2905. https://doi.org/10.3390/su12072905

