Abstract
With the aim of examining the forcing factors in postmanagement landfills, in this study, excavation waste from nonhazardous municipal waste landfill in Tuscany was characterized for the first time. The specific objective was to estimate the feasibility of sampling and analyzing the excavated waste in order to define its properties and provide information about possible landfill mining projects. Based on the biochemical methane potential assays, it was shown that the excavated waste had not yet been stabilized (i.e., with a production of 52.2 ± 28.7 NlCH4/kgTS) in the landfill, probably due to the low excavated waste moisture content (36% ± 6% w/w). Furthermore, excavated waste has a high calorific value, i.e., 15.2 ± 4.1 MJ/kg; the quantity of combustibles in the industrial shredder waste (16 MJ/kg) was rather modest compared to that of municipal solid waste (20.8 MJ/Kg). In conclusion, during large scale excavation of the landfill, it was possible to evaluate how a dedicated treatment plant could be designed to treat and select waste which might appear in a different category. For excavated industrial waste, detailed mechanical sorting may be convenient for end-of-waste recovery to improve calorific value.
1. Introduction
In recent decades, many changes have been implemented in the European Union (EU) regarding solid waste management and landfilling thanks to the Landfill Directive (EU Directive 1999/31/EC) and subsequent amendments. The EU directive strongly encourages the reduction of organic waste which can be landfilled; consequently, waste reduction and the mechanical–biological pretreatment of unsorted waste are promoted, which is leading to changes in the composition of landfilled waste [1].
Since in many old landfills, the composition, volume, and position of landfilled wastes were not well recorded, the nature and texture of the waste landfill and its potential impact capacity remain unspecified [2]. Inside landfill, waste undergoes various physical and biochemical transformations at various rates. The processes, along with the diversified composition of the landfilled waste, may result in different states existing in distinct areas within the landfill. These circumstances may produce indecision when scheduling post-landfill and/or aftercare activities [3].
Furthermore, a waste management hierarchy was prescribed in 2008 through the European Waste Directive (EU Directive 2008/98/EC), which regards landfilling as a last resort solution. In recent times, historic landfills have attracted renewed interest due to concerns regarding resource and land scarcity. From this perspective, the innovative concept of “Enhanced Landfill Mining” (ELFM) proposed by Jones et al. has emerged [4]. ELFM considers landfill as a means for temporary storage rather than a definitive solution, with the idea that the waste contained within it will, in the future, gain a new value through recycling and thermovalorization. This will lead to advanced recycling, higher re-use rates and maximized energy utilization [2,4,5].
Basically, ELFM foresees the combined and integrated use of waste streams both as an energy source (“Waste-to-Energy”, WtE) and as a source of materials (“Waste-to-Material”, WtM), with respect to the environment and public safety [4,6]. Interest in ELFM could be fostered if excavated waste could be valorized. With the aim of favoring the recovery and valorization, the selection and treatment of diverse waste streams are necessary to facilitate the production of valuable recycled materials from heterogeneous waste. Particular schemes and separation treatments could be studied for the sorting of mixed waste streams including shredder residue and polluted soil [3]. In general, these schemes consist of a combination of mechanical treatments and separation techniques such as crushing, milling, sieving, magnetic and eddy current separation, density separation based on air flow, water-based density, and optical separation techniques. Since excavated waste can be affected by the age of the waste and the deterioration processes which have occurred over time, in the case of ELFM, a high level of performance of treatment plants is required if fuels and high-quality waste materials are to be recovered. In some cases, the excavated waste consists of residual waste mixtures coming from treatment schemes engineered in the past to recover specific flows, such as the treatment of the organic fraction stabilized by unsorted waste. At present, the evolution of a separation plant that can optimally recover resources is a scientific and technical challenge in the field of ELFM [7].
In the past, the principal reasons that landfill mining was proposed were (i) the remediation of landfills with a consequent reduction of impact, (ii) the creation of new available space in existing landfills, and (iii) the recovery of recyclable materials and fuels [8]. Moreover, as a consequence of the decrease in the volume of waste destined for landfill, new business models have been sought after by waste management companies [1], consistent with the circular economy.
Previously, other authors [7,9,10,11,12] have pointed out that an appropriate investigation during the early stages of a landfill mining project is fundamental. In order to assess the characteristics of landfilled waste, specific site surveys, performed through excavation of and drilling into the landfill body, are necessary [8].
The fine fraction (FF) has a crucial role for the economic and environmental sustainability of a landfill mining project, especially in the quest to understand its destiny in terms of recovery and/or disposal [3]. In fact, in some studies, the fine soil type fraction has been potentially assimilated with a material which is useful for temporary and final landfill coverings, thus avoiding disposal costs [13]. Alternatively, the FF can be re-landfilled, which, however, incurs significant costs that can render the landfill mining project unsustainable [9]. Several research projects and prefeasibility works [8,14,15] in various nations in landfill mining have shown that different landfills have substantial differences in terms of recovery potential from excavation. Circumstances such as the age and type of waste, or the depth of the landfill, in addition to meteorological and hydrological conditions and the catchment area where the landfill operates, could have an influence on the composition of the stored materials, and therefore, on possible recoveries [16]. With the aim of studying potential recovery from a landfill site, quantitative and qualitative examination of landfilled waste is required [17].
This works focuses on a landfill-for-resources action plan to understand whether in situ or ex situ landfill mining is more suitable for the studied site. In fact, it is possible to refer to "in situ landfill mining" in the case of feasible recovery activities, even without the excavation of waste, such as the recovery of methane (CH4) from landfill gas [4]. Instead, "ex situ landfill mining" takes place when the (even partial) excavation and the extraction of waste leads to the recovery of materials and resources. The importance of these approaches is linked to intrinsic factors, such as the size, age, and type of landfill, the waste composition, and extrinsic factors, such as the availability of treatment technologies [18,19,20]. For example, industrial landfills, when rich in metals, may be more interesting for ex situ techniques, while municipal solid waste (MSW) landfills could be adapted to suit the bioreactor model with an in situ approach. Some landfill could have a multiple nature and therefore be addressed to both landfill mining approaches. For example, it might be appropriate to consider the two approaches in series, first applying in situ and then ex situ landfill mining [4].
In order to assess the conditions prevailing in a nonhazardous waste landfill, for the first time in Tuscany a study was conducted directly on the excavated waste. This study was designed with particular regard to the available information about the landfill in terms of age and waste type as well as relative collocation. In fact, sampling the waste during the construction of gas wells can support the design of leachate recirculation systems and provide information to optimize the extraction of the gas. Consequently, one specific aim of this study is to evaluate the reliability of landfill body sampling and to provide information on the state of waste for a correct planning of future aftercare actions. The objectives of the field test were to:
- Carry out a detailed characterization of the landfilled waste composition;
- Evaluate the different compositions of industrial waste and MSW placed in different landfill sections;
- Characterize the variation in terms of age and depth, and therefore, the vertical and horizontal distribution in the waste body;
- Investigate the possible ongoing degradation processes in the landfill body;
- Make assessments regarding the possible valorization of the excavated waste in terms of both fuel and other potential resources.
2. Materials and Methods
2.1. Study Area
The present study focuses on two sections of the largest sanitary landfilling area in Tuscany, which is considered an example of a modern and well managed landfill. While the landfilling area is still in operation, the sections under study were in operation for approximately two decades starting from the late 1980s. During their operation, the two sections accepted respectively raw MSW and industrial waste (IW) recovered from MSW treatment. A minor part of the second section was also dedicated to the disposal of sludge produced by the local civil wastewater treatment plant. In the oldest section of the landfill (Site A, covering an area of 130,000 m2) more than 4 million tons of MSW were deposited from 1985 to 2000. In the latest section of the landfill (Site B, covering an area of 150,000 m2), more than 5 million tons of IW from mechanical biological treatment (MBT) of MSW, were deposited from 2001 to 2015. The main characteristics of the landfill are shown in Table 1 and Figure 1.
Table 1.
Description of the waste sample taken at the selected sampling locations of the field test.
Figure 1.
Locations of field tests.
Both sections were operated in compliance with the EU Landfill Directive, but only Site B was designed in accordance with it. Both sites are now completely covered with a high-quality clay capping. Additionally, Site B was lined with a HDPE membrane in order to avoid any rain infiltration or air intrusion and to maximize gas collection. An active gas collection system is present throughout the whole landfill. From year 2015, electric energy is recovered from the extracted landfill gas by cogeneration units with 3.8 MWe overall capacity. Site A and Site B are about 35 and 30 m deep, respectively. Since 2004, the activity of recycling facilities located near the site has been intensified. While in the first years of landfill activity mixed waste streams were entirely landfilled, after year 2000 the collection of segregated waste, such as biowaste, paper and cardboard, glass and metals increased gradually. The percentage of separate waste collection (SC) in Tuscany rose sharply from 13% in 2000 to 60% in 2015, and since 2008, only the residual fraction from MBT plant has been landfilled. To characterize the history of MSW composition, four homogeneous modules named A1, A2, A3 and B1 were identified within sites A and B and sampled singularly. Hence, 4 different locations were selected in order to represent four homogeneous MSW generation periods. Conversely, the two modules named B2 and B3 were selected within site B to represent IW disposal, as they were rich in shredder-like waste and residual fractions from MBT of MSW. During the active phase, the disposed wastes were compacted in layers with a daily cover, which was composed of soil for the historical modules and of compost from mixed waste for the newer sections. The study site is in a hilly area of high landscape value with a temperate Mediterranean climate. An average of 870 mm of rainfall per year is observed in this area.
2.2. Excavation and Sampling Procedure
The samples were collected at different depths during the construction of new landfill gas collection wells. The locations were selected taking into consideration the type of waste and the period during which the waste was deposited. The samples were chosen so that different depths corresponded to different ages of the waste. It was possible to date the sampled wastes by reading the expiry dates printed on fresh dairy product envelops, which were still clearly readable. Eight samples were taken from three wells in Site A and eighteen samples from eight wells in Site B. The perforations were performed with a 1 m diameter drilling rig.
Roughly, 10 tons of waste were collected from each well. Bulky objects (>500 mm) such as stones, plastic parts or metal bars were removed from each sample and their percental weights were evaluated and registered. The raw material was collected at three different depths (10, 20 and 30 m) for W2, W3, W5, W6, W8, and at 10 m and 20 m depths for W1, W4, W7, W9, W10 and W11 (Table 1). Approximately 100 kg of material per each depth was sampled, packed in sealed plastic drums and transported to the laboratory. The amount of waste examined is a compromise between sample representativeness and time required to analyze it. Samples were manually sieved to separate >50, 10–50 and <10 mm fractions, so as to simulate the mechanical separation. It was decided to sift the samples before drying them, so as to detach the fines that adhered to the coarse parts due to moisture. All the detached fines were then removed manually. The determination of the FF (<10 mm) was carried out by manual sieving on a screen with a square mesh of 10 × 10 mm. Each particle size category, except for the <10 mm material, was manually separated into biodegradable fractions such as paper and cardboard, textiles, wood, nonbiodegradable fractions (plastics) and inert materials (metals, rocks and soil). Each category was weighed separately. The samples were shredded (A11 IKA, M20 IKA) into three different fractions (excluding bulky materials) in order to be homogenized for analytical purposes.
Within 7 days, all the screening and manual selection operations were terminated. The analytical measuring lasted about three months, during which the fractions were stored below 0 °C [11].
During the manual separation, the following 7 categories were separated: paper and cardboard (PCB hereafter referred to as "paper"), plastic (P), wood (W), metal (M), textiles (T), inert (I) and FF [10].
2.3. Waste Characterization and Analyses
As described previously, after the separation of FF, each category was screened so as to split it into two dimensional fractions of >50 and 10–50 mm. Each dimensional fraction was hypothesized to be exploitable in different ways. Consequently, each fraction was characterized differently according to its potential recovery option. The idea behind this choice was that of simulating a possible mechanical sorting (light shredding and sieving).
The following parameters were analyzed for the whole samples: total solids (TS), moisture content (MC), final biochemical methane potential (BMPf), lower heating value (LHV), chlorine (Cl) and mercury (Hg) concentrations. The following parameters where analyzed for FF (hereafter indicated with the suffix FF): pH, total volatile solids (TVS), total organic carbon (TOC), TS, BMPf. Lastly, LHV, Hg, Cl were repeated for the composition of each coarse fraction (>50 mm). The particle sizes of the processed fractions were <2 mm for TOC and LHV, and <20 mm for TS, VS, and methane production assays [11].
The whole biodegradable fractions (especially the fraction between 10 and 50 mm containing biodegradable residues recognizable as partially degraded organic waste) and the FF (fine materials with dimension below 10 mm) were chosen to be evaluated with anaerobic biodegradability assays (BMP test) as the most probable sources of biogas generation. As such, these fractions were characterized in terms of TS, VS and pH of the water suspension [19]. TS, TVS and pH were determined in order to characterize each waste fraction used for the anaerobic biodegradability assays according to standard methods [21]. The dry matter was measured by drying 2–4 kg of the sample at 105 °C in an oven for at least 24 h until weight constancy was achieved. The dry samples were then muffle dried at 550 °C for at least 4 hours in order to calculate the TVS. A triplicate was performed for all samples. TS, MC and TVS contents are presented as % (mass fraction of wet waste).
To calculate the possible efficiency of a WtE treatment, the MC and the LHV were evaluated. In order to assess the feasibility of End of Waste (EoW) conditions in the case of solid recovered fuel (SRF), the concentrations of Cl and Hg were measured. The dry weight was analyzed according to CEN/TS 15414: 2006 [22]. The caloric values were analyzed at constant pressure according to CEN/TS 15400: 2006 [23]. Cl and Hg were analyzed using CEN/TS 15408: 2006 [24].
2.4. Biochemical Methane Potential Tests
In order to assess landfill gas production, the L0 parameter (methane generation potential) is usually estimated. This parameter can be measured experimentally for each degradable substrate through the biochemical methane potential (BMP) assay. BMP is commonly accepted as a good estimate of the ultimate amount of methane produced under anaerobic conditions [25,26,27].
Anaerobic biological degradation tests were conducted for each sample for a duration of 90 days in order to measure both the final biogas production (data not shown) [28] and the final methane production. The method of Pecorini et al. [29] which partly modifies the guidelines presented by Angelidaki et al. [30], was used to perform the analyses.
Stainless steel batch reactors (1L) were used to perform the tests in triplicate. The reactors were hermetically sealed with a special cap fitted with a sampling valve. The reactors were kept in a warm bath at 37 °C. To ensure anaerobic conditions since the beginning of the test, the reactors were flushed with nitrogen. To ensure homogeneous conditions, the reactors were mixed daily [30]. In order to obtain a substrate concentration of approximately 1 gTVS/ 100 mL solution in each batch, the reactors were loaded with specific amounts of substrate according to the peculiarities of the samples. To prevent the accumulation of fatty acids, the ratio between inoculum and sample was set at about 1.5:1 TVS base and kept below 10:1 according to weight (Pecorini et al. [31]). In order to measure biogas production daily, the pressure in the reactor headspace was measured for all reactors with the aim of converting it into volume by applying the law of ideal gases. A manometer (model HD2304.0, Delta Ohm S.r.L., Italy) was used for pressure measurements. Please refer to Pecorini et al. [32] for further details on calculations and procedures. The methane content in the biogas was measured with both an infrared gas analyzer (ECOPROBE 5, RS Dynamics, Czech Republic) and a micro-gas chromatograph (INFICON, Switzerland) in case of residual production [33]. Finally, the BMP was calculated by dividing the total daily methane production by the specific TS content [31].
2.5. Statistical Analyses
In order to identify linear relationships between the variables of concern, multiple linear regression was applied [25]. In order to assess the correlations between the study variables, statistical analyses were carried out.
Pearson matrix was obtained considering experimental findings (type of waste, age, depth, dimensions, MC, BMPf, BMP_FF, TOC_FF, MC_FF, TVS_FF pH_FF, LHV, LHV_50mm). A confidence level of 95% was selected for all statistical comparisons. In addition, using the same variables of the correlation matrix, a principal component analysis (PCA) was performed.
In order to analyze the relationships between observed variables and to extract a small number of latent factors, PCA is often used in the environmental field [34]. In this study PCA was applied with the objective of investigating in depth the studied parameters in relation to the application regarding WtE and/or WtM approach, although more commonly it is used to recognize sources of pollution [35]. All data analysis calculations were performed using the XLStat2018 software package, while the PCA was performed using IBM SPSS (Armonk, US).
3. Results and Discussion
3.1. Composition of the Waste Material
3.1.1. Relation between Composition and Type of Waste Material
Figure 2 shows an overview of the composition of the excavated waste. The main weight fraction was fine materials (34% ± 19% w/w), followed by plastic (25% ± 10% w/w). The presence of metals (0.8% ± 0.7% w/w) was the lowest in both types of waste, while the percentages of wood (3% ± 1% w/w) and inert (7% ± 4% w/w) were almost constant in all samples. The average values for each class and type are reported in Table 2. There were significant differences between the compositions of MSW and IW (as sorted MSW refuse from MBT plant): in fact, the amount of FF measured in IW (44 ± 6% w/w) was greater than that of MSW (17 ± 4% w/w). A visual check of FF can confirm the results of other studies [7,11] that show that the fine fraction in MSW is composed of the fraction of degraded kitchen and garden waste. The major presence of FF in IW is probably due both to sieving in MBT plant and stabilized compost used as daily cover. In general, the amount of FF detected was comparable to that reported in previous studies in terms of order of magnitude [3,7,9]. Quaghebeur et al. [7] measured an average of 64% by mass of FF (<10 mm) for IW and 44% for MSW from different modules in a landfill in Belgium.
Figure 2.
Compositional analyses of excavated waste referring age, type and depth of waste.
Table 2.
Composition in weigh (w/w) of waste per each sample category (age, depth, type).
The amounts of textiles, paper and plastic were higher in MSWs than in IWs. This could be mostly due to the increase in the separate collections of plastics and paper during the period 2000–2015. The composition of the shredder-like IW was therefore different from the MSW examined [18,19]. Observing Figure 2, the classification by waste type overlaps the classification by age or storage time. In fact, the unsorted MSW were disposed in site A between 1985 and 2003 while the IW from MBT plant was disposed in site B from 2001 up to 2015.
3.1.2. Influence of Landfill Storage Time and Waste Composition
The presented data, derived from the available information on waste composition, show that the waste was stored in a landfill for a period of 30 years.
Even if significant standard deviations of the average content of the individual fractions were detected, trends can be observed as a function of time. These trends may be due to the decomposition of the waste or the initial composition of the same (for example different operation conditions of the collection systems or differences in consumerism). Given the standard deviations, it is necessary to compare this trend with independent data. In Tuscany region, data on the composition of fresh MSW was gathered in 1998 (by Regional Law of Tuscany n. 25/98). In the Tuscan study, the average composition of MSW collected was typically based on 35% of organic fraction, 20% of paper and FF (<20mm), 15% plastic, 3% metals, 2% textiles [36]. For the FF content, the gap between 13% and 21% (w/w) of landfilled waste in 1980 and 2000 can likely be attributed to biodegradation of organic material. The increase in the percentage of paper (from 19% to 26% (w/w)) is not comparable to that pf FF, possibly because the low MC did not allow an efficient degradation of the paper. The amount of paper decreased from 17% to 16% (w/w) for IW from MSW initially landfilled between 2000 and 2015. The plastic content in MSW decreased from 45% (w/w) in 1980 to 32% in 2000, due to the increase of other fractions such as biodegradable ones. Additionally, inert (glasses) textile and metal seem to have had the same influence. The amount of plastic in IWs decreases from 25% in 2000 to 17% in 2015. This figures probably reflect an increase in MBT use and separate collection of plastics. The paper does not seem to degrade well, as it does not decrease with the increase in storage time as it could be expected: this could be due to the humidity content which was too low to activate the degradation processes. The mass fractions of wood and textiles obtained during this study were comparable to those reported by other authors [7,11,12]. The above considerations are confirmed by other studies [7,11] which show differences between IW and MSW similar to those highlighted in this paper.
3.1.3. Relation between Waste Compositions and Sample Depths
A less investigated and interesting parameter is the relation between storage time and composition of the excavated waste. This work shows how most of the investigated fractions (paper, aggregates and metals) are comparable to the quantities originally present in the landfilled waste (Table 2). Historical product analyses are therefore a useful source of information to estimate the composition of the excavated waste if its age is known. Organic waste (such as kitchen or garden waste) was no longer recognizable after 15 years, as part of the material degraded and turned into FF (fine-soil-like fraction). Although less than the organic fraction, paper also seemed to degrade over time. The composition of the waste changed according to the initial disposal time (1980–2000): in general, the plastic content can influence the energy content of any fuel derived from excavated waste. The proportion of FF decreased towards the bottom of the landfill (40% at 10 m, 32% at 20 m and 24% at 30 m), indicating their degradation (Figure 3). This type of material seemed to have a high-water holding capacity, thus decreasing the TS of the landfill. This is also reflected in the dimensional fractions studied since a reduction of the FF at low profiles was observed. This fact is interesting in view of a possible mechanical selection according to the dimensional criterion.
Figure 3.
Average composition of excavated waste that had been stored in the studied landfill for 30 years (at different ages: 23, 12, 7 and 2 years and different depth: 10, 20 and 30 m). For each weight percentage a standard deviation is indicated by an error bar.
3.2. Degradation and Changes in TS, BMP and LHV
The average TS (and MC calculated), average BMP and average LHV of the waste excavated in the 11 locations were obtained from the corresponding values measured for the respective material fractions (FF, paper, plastic, wood, metal, textile, inert). For paper, plastic, wood, textile and FF, measured LHV and BMP were used. For inerts and metals, both BMP and LHV were considered negligible.
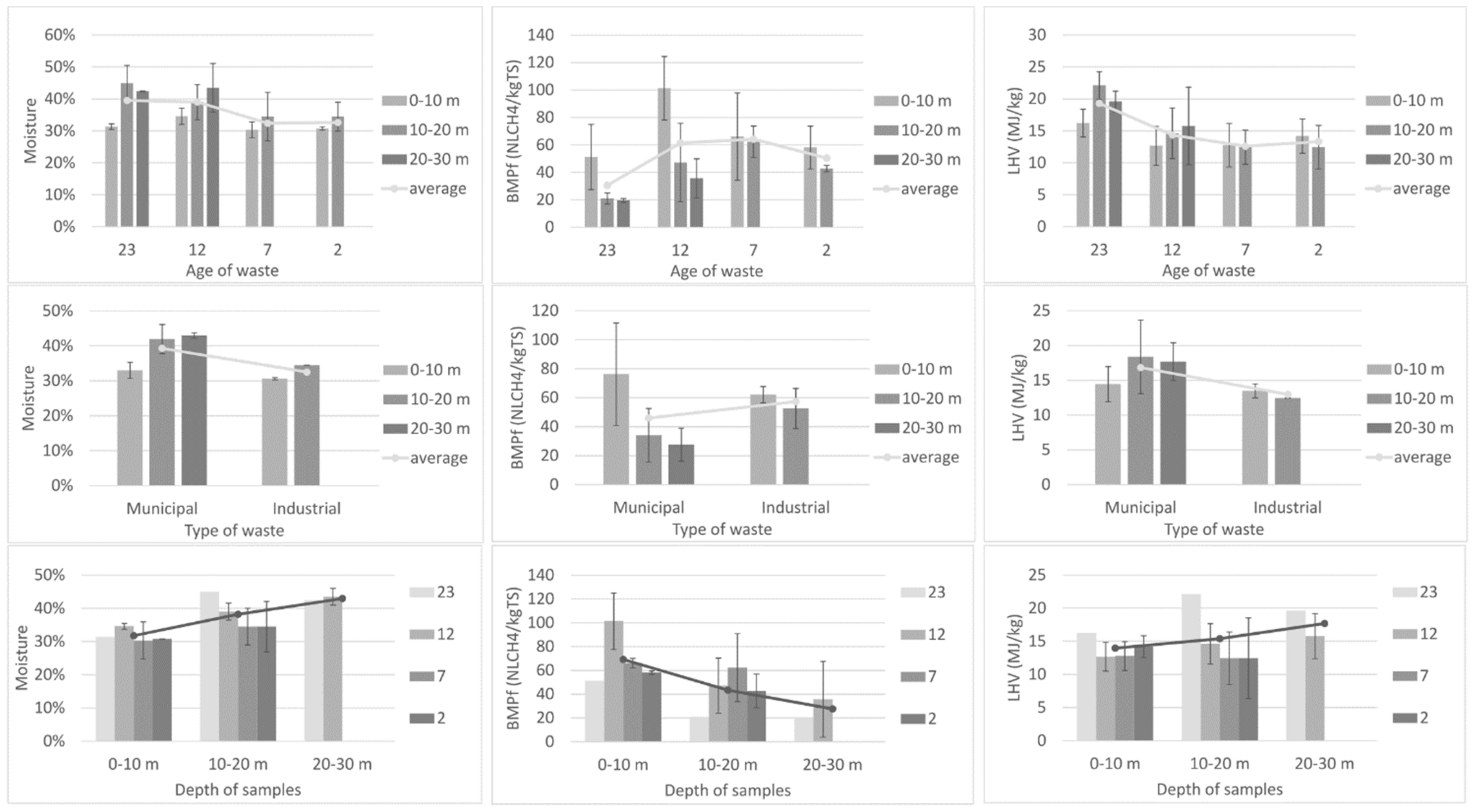
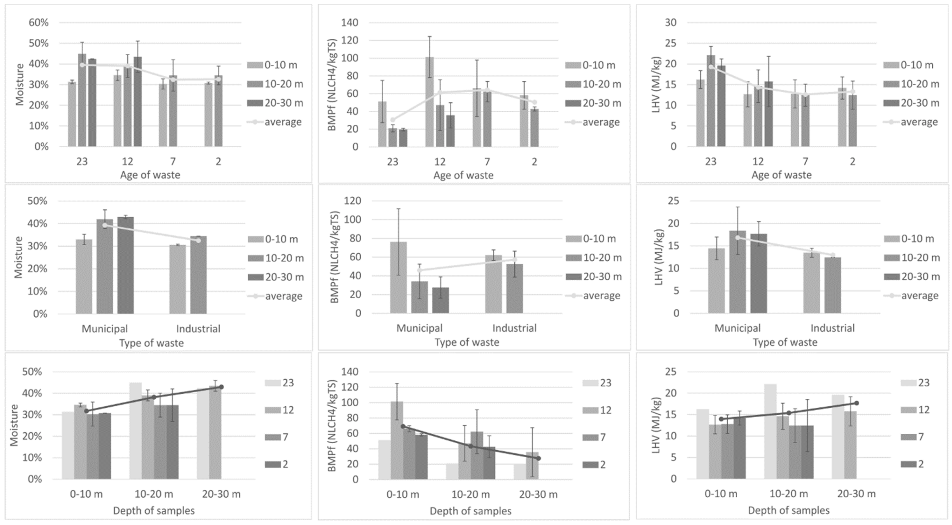
The TS and moisture of the landfill body samples were studied to evaluate the conditions within the landfills (Table 3). The TS of individual samples ranged from 49% to 74%, while mean TS content was 64%. Mean TS decreased (from top down) from 42% to 31%. The moisture of MSW was higher than IW; in fact, the moisture increased with the storage time. This can probably be explained by the changes in EU Landfill Directive application and impermeability of the capping.
Table 3.
Average characteristics of whole excavated samples.
The BMPf ranged from 17 to 127 NlCH4/KgTS (mean 52.2±28.7 NlCH4/kgTS) and the BMPf was lowest in the bottom layer, while wide variation and the highest values were found in the upper layers, as found also by other authors [11].
As shown in Figure 4, the BMP value and the TS in MSW decreased respectively from 50.4 to 30.5 NlCH4/KgTS and 68% to 61% (w/w) with increased storage time in the landfill. The decomposition of the carbon-rich material probably led to the observed decrease. This can probably be put down to the minor content of moisture (36%±6% w/w) which eventually slowed or stopped the degradation processes of organic matter.
Figure 4.
Average moisture, biochemical methane potential (BMPf) and lower heating value (LHV) of whole samples at different age, type and depth. For each measure a standard deviation is indicated by an error bar.
The wood, textile, paper and plastic fractions were used to recreate composite fractions (calorific fraction) in order to define the fuel characteristics of the different wastes. The LHV of individual samples ranged from 9.3 to 24.4 MJ/kg, while the mean value was 15 MJ/kg. The LHV decreased from 16.8 to 12.9 MJ/kg for MSW to IW. For all samples, the Hg were detected below 0.008 mg/MJ while the mean Cl content was 0.76%. Since separate collection was established after the year 2000, the older part of the landfill could have a higher Cl content in the caloric fractions, as it is usually observed.
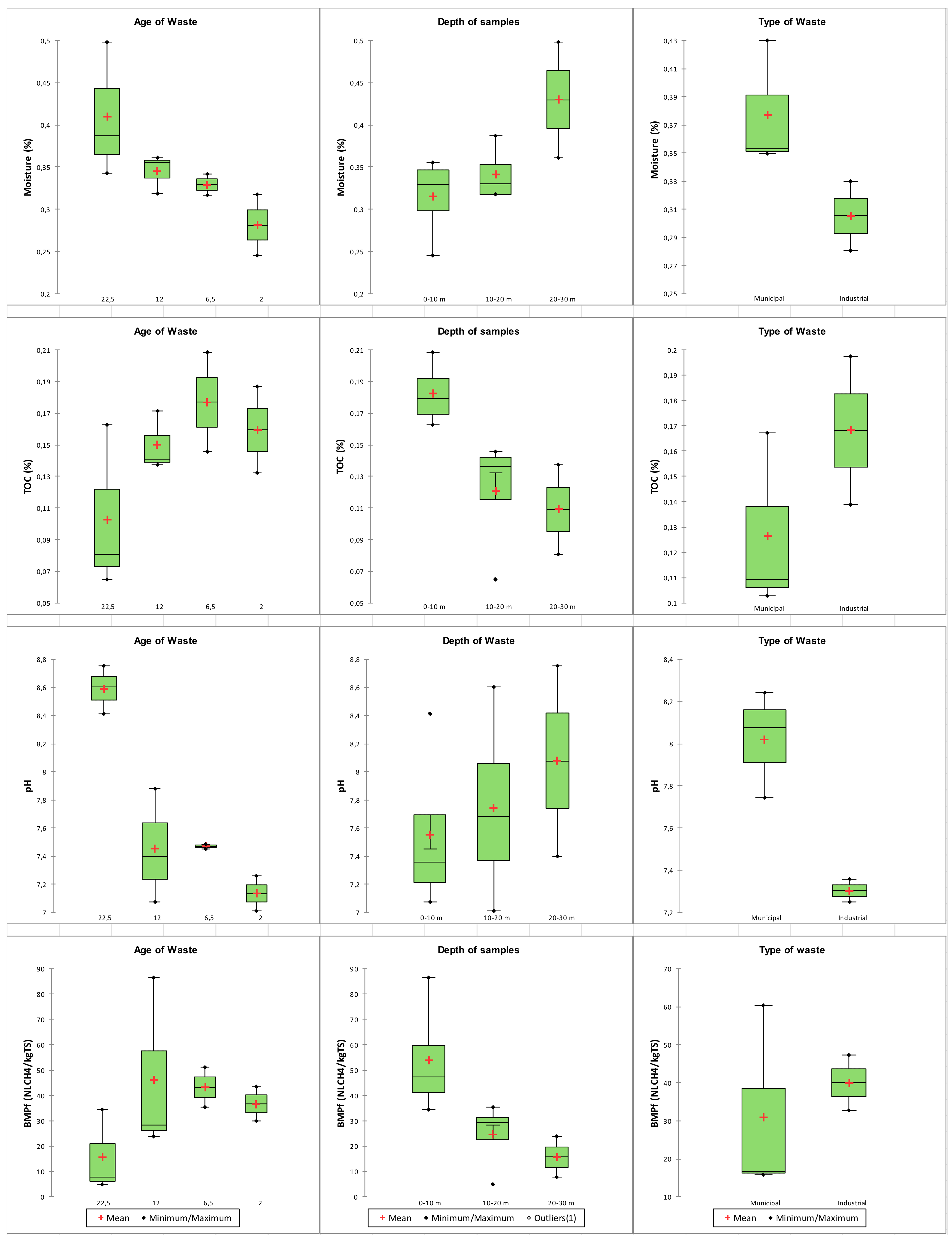
3.3. Characterization of Fraction <10 mm
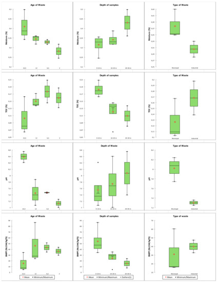
The fraction of material passing through a 10 mm screen was the largest fraction present in both MSW and IW. It has been chosen to analyze the FF in detail because it was a heterogeneous material. For this reason, Table 4 shows the properties of the FF relevant for both energy recovery and material valorization.
Table 4.
Average characteristics of fractions <10 mm and >50 mm.
The MC of FF seems to be the same in all the samples. TOC and BMP_FF values decrease when the moisture increases, this probably being due to the activity of bacteria responsible for the degradation process, which were inhibited by the lack of moisture.
It can be observed that TVS decreases with the depth of the waste: this is probably due to the increase in degradative activities in the lower layers.
The TOC content detected for IW seems as being comparable with that reported by Quaghebeur et al. [7] for the FF. It can also be observed that the TOC content for IW was higher than that of the samples identified as MSW. It is observed that LHV and TOC for soil like IW appear to be lower than the FF of MSW (Figure 5). It can be noted that the TOC concentration (10%–15% w/w) decreases with increasing storage time of MSW. It can be assumed that a significant amount of organic carbon of this FF has been converted and recovered from landfill gas during the storage period.
Figure 5.
Comparison of moisture content (MC), BMPf, total organic carbon (TOC) and LHV variations in relation to landfill depth, age and type of waste. The error bars indicate the 95th percentiles.
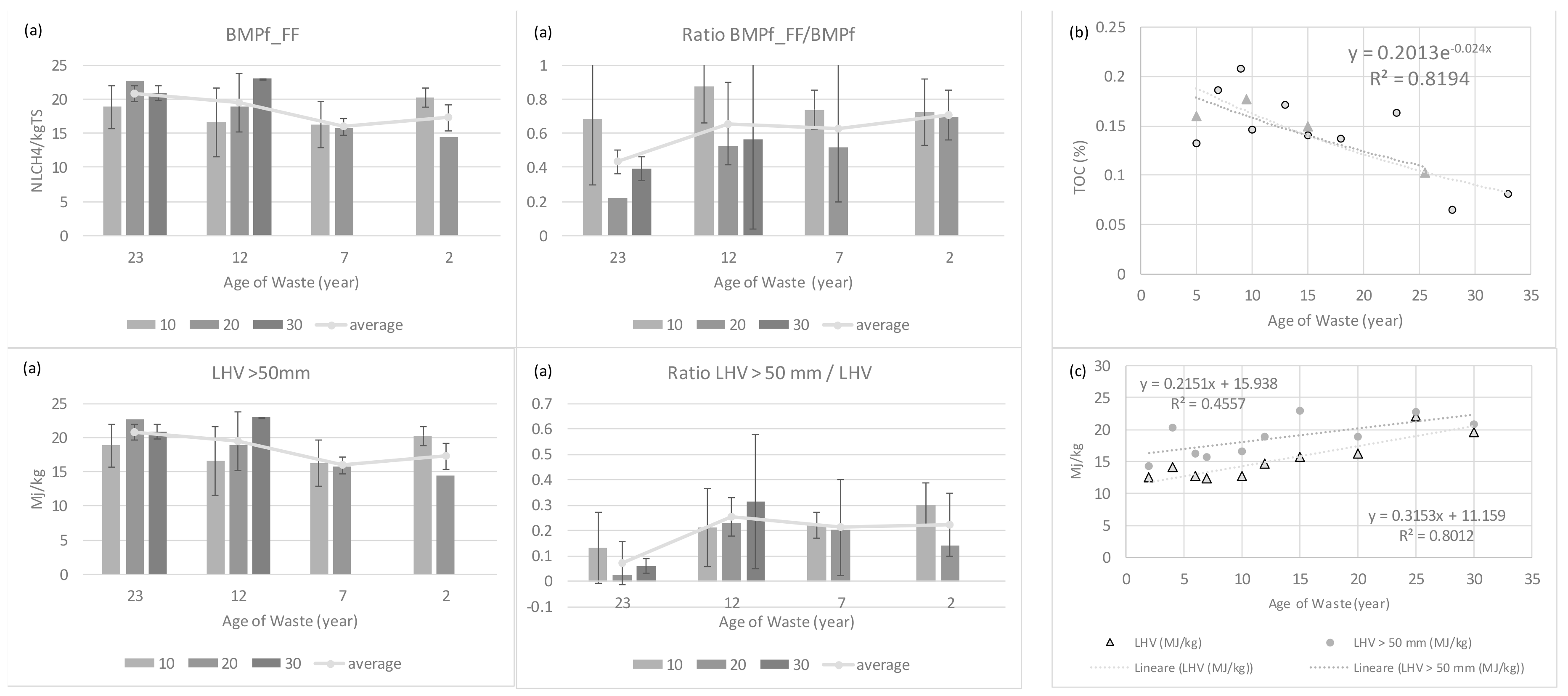
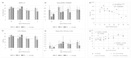
This decomposition led to the production of landfill gas consisting of carbon dioxide, methane and other trace compounds. The generation of landfill gas, and thus methane, is mainly influenced by temperature, MC, nutrients and presence of buffering agents. As a consequence of these site-specific conditions, degradation varied greatly among different landfills and landfill modules. As studied by Quaghebeur et al. [7], the mean degradation could be fairly well described by a first-order decay curve that for the case under study could have the following form (Figure 5):
C(t) = C0e−kt; R2 = 0.82, C0 = 20%; k = 0.024 year−1
The concentration of TOC in MSW at the initial time of disposal is represented by the factor "C0", while the kinetics with which the degradation of the organic substance occurred, is defined by the factor "k", defined as the first order constant rate. The first order rate constant value calculated in this study can be compared with the k-values defined in the landfill gas production models. Although several models are available, the first order models are the most used ones, with k values in the range 0.02 year−1 to 0.10 year−1 [7,11,16,37]
The pH was detected in the range suitable for developing methanogenesis (6.6–9.2) although the range of optimal methanogenesis was slightly narrower (6.8–7.4). Probably in the upper layers the lowest pH is due to the accumulation of fatty acids that the few populations present could not consistently assimilate to the high production rate in fresh waste [11]. In order to produce landfill gas, the waste would have to be wet, while in the case in evidence it was quite dry (TS = 69% in top layer and 58% in bottom layer, with the optimal values, below 50%–45%, found only in 15-year-old samples) [16].
In order to define when a waste treated in MBT is actually stabilized, a German ordinance (called AbfAblV of 2001) [38] requires the potential biogas production (GB21) to be lower than 20 Nl / kg TS for a period of 21 days. Even if the GB21 presents some differences with BMP, a comparison is possible by assuming that 50% of biogas production would have been carbon dioxide (data no shown). In this case, only 9 samples out of 28 for FF and only 2 samples for whole samples would have reached the stabilization threshold (<20 Nl / kg TS). This is an indication that no part of the landfill was stable [39]. The reason why the waste was not significantly degraded was probably the implementation of the impermeable capping (due to the regulatory requirements of the EU Landfill Directive) that prevented the formation of leachate (a liquid vector rich in soluble organic matter).
The BMP of the FF (35.8 ± 29.5 NlCH4/kgTS) was higher than that of the intermediate fraction comprised between 10 and 50 mm (16.4 ± 11.5 NlCH4/kgTS) which could be refilled. Furthermore, the intermediate fraction was rich in glass and poor in plastic, hence making the energy value negligible (data not shown). It was therefore chosen, for the sake of brevity, not to present the results related to this fraction (which weighted 37% and was therefore a minority when compared to the fine and coarse fractions).
3.4. Characterization of Fraction >50 mm
When observing the studied parameter for coarse fraction (>50mm), it can be noticed that the LHV is higher than the value measured for the whole samples (Figure 6).
Figure 6.
(a) Comparison of BMPf_FF, and LHV_FF variation depending on landfill depth and waste age. (b) Relation between average TOC concentration end storage time. (c) Relation between average LHV and LHV_FF concentrations and storage time.
Both the manually sorted fraction >50 mm and the whole sample presented calorific fractions with the relatively high calorific values of 18.6 and 15.3 MJ/kg respectively. The levels of Cl found (0.89%–0.76%, w/w) could be an obstacle to the recovery of this waste as fuel, as a probable consequence of the age of the waste itself. For recovery purposes, it may be convenient to select these excavated wastes with optical selectors in order to separate Cl-containing fractions such as polyvinyl chloride. From these results it seems desirable to treat and select the excavated waste [9].
While different types of industrial waste were delivered to the landfill in question, sections of the landfill containing only sludge and shredder type waste were chosen for this investigation. The content of combustibles in the shredded waste (16 MJ/kg in case of 7 year of storage time) was rather poor when compared to that of MSW (20.8 MJ/Kg in case of 21 year of storage time). In 2006, the EU changed the characterization of MSW-derived fuels: the new principles are contained in the UNI CEN/TS 15357–15747 standards, which define the sampling, characterization and analytical methods [40]. Decree 205/2010 in Italy defined the classification for SRF according to three intrinsic characteristics: LHV, Cl, and mercury content [40]. According to the Decree, only certain types of SRF can have the status of EoW under specific conditions [41].
In this perspective, the classification as RDF of the excavated waste and of their fraction > 50 mm is shown in Table 4. According to the measured Hg content which was below 0.008 Mg/MJ for all samples, all of them were classified in class I. Differently, the Cl content was verified for every sample as for the LHV. In 60% of the samples, the class of SRF for coarse fraction (> 50 mm) was III, while for the whole fractions the percentages decreased to 50%, enabling their classification as combustible. Based on this classification, a detailed mechanical sorting treatment can be convenient in an "EoW" recovery approach, in order to improve the potential energy recovery.
3.5 Statistical Analysis
Based on Pearson’s correlation criteria, a directly and inversely linear correlation matrix was obtained between the operational parameters and the main response variables investigated [42].
Through the correlation matrix, the major relationships between the studied parameters and the type, age and depth of excavated waste could be defined. In Table 5, it can be observed that some parameters were driven by the age and others by the depth. First, it may be noted that the type of waste was mainly influenced by its age (r = −0.845). Moisture seemed to be directly related more to depth (r = 0.654) than to age (r = 0.422). The parameters which were more correlated with age (and consequently the type) were the granulometry and the LHV (r = 0.612). With regard to FF, the age correlated with pH (r = 0.742) and TOC (r = −0.485), although the correlated parameters such as BMP (r = −0.541) and TVS (r = −0.559) also seemed to be driven better by the depth.
Table 5.
Correlation matrix. Values in bold are different from 0 with a significance level alpha = 0.05
Although often used to recognize forms of pollution [34], in this work the PCA was performed in order to analyze the relationships between the age and the excavation waste depth in relation to the characteristic parameters measured. In particular, the two principal components extracted accounted for 74.8% of the total variance. Particular attention was paid to the sampling adequacy of individual and set variables by Kaiser–Meyer–Olkin measure (> 0.5) and Bartlett’s test of sphericity (< 0.05). The variables with communality values < 0.5 were discarded. The selection of main components was regulated by the latent root criterion (eigenvalues > 1.0) and using varimax rotation. The first component was dominated positively by BMPf_FF, BMPfand TVS_FF (0.950, 0.941 and 0.870 respectively) and negatively by depth, age and LHV (−0.630, −0.306 and −0.160 respectively). The second component had a positive loading on LHV, MC_FF, age (0.856, 0.844 and 0.741 respectively) and moderate negative loading on TOC_FF, TVS_FF, (−0.221 and −0.272 respectively). By comparing the different loadings and the score plot (Figure 7), it was possible to confirm the relationship among the different concentrations previously highlighted. The parameters relating to the BMP and the presence of organic matter such as the TVS (i.e., the parameters indicating the degradation), were clustered in the PCA score plot and opposite to the LHV, MC_FF and age parameters, the latter seeming strongly influencing the decomposition of the waste.
Figure 7.
PCA score plot. The parameters are represented by points.
4. Conclusions
The methodology used in this study to investigate excavated waste can be used at other sites in a landfill mining perspective as it was found to be effective. The composition of excavated waste seemed to be influenced by the collection efficiency of separate collection during the studied thirty years, with fractions such as paper and plastic appearing as being decreasing.
Based on the biochemical methane potential assays, the waste appeared as being not yet stabilized in the landfill (with a potential production of 52.2 ± 28.7 NlCH4/kgTS): this was probably due to the low moisture content of excavated waste (36% ± 6% w/w). Furthermore, excavated waste showed a high calorific value of 15.2 ± 4.1 MJ/kg, and the amount of combustibles in the industrial shredder type waste (16 MJ/kg) was rather low compared to that of MSW (20.8 MJ/Kg).
From the results of biochemical methane production of the fine fraction (<10 mm) of about 35.8 ± 29.5 NlCH4/kgTS, it can be concluded that further stabilization treatments would be necessary before a refill. This would increase the treatment costs in a possible landfill mining project and should be considered in the design.
In conclusion, the sampling of excavated waste is significant in order to characterize the landfill body, although a significant variation of parameters is observed and it is difficult to define a minimum standard number of tests to be investigated as it depends on the geometry and history of the landfill under investigation.
Evaluation options were identified in relation to the measured characteristics: in fact, it was assumed that, during large-scale excavation, a mechanical sorting plant would have to be designed in order to obtain recoverable flows. For industrial waste, a detailed mechanical sorting can be convenient in an “end of waste” recovery approach to improve the calorific value.
Future studies on the stabilization of the excavated fine fraction (with high values of biodegradability) could be carried out in order to ensure eligibility for landfilling (refilling) or material recovery.
Compared to the perspective of an Enhanced Landfill Mining, this study shows how excavated waste can be used to design energy recovery, while further investigations could be made to better investigate the recovery of matter.
Author Contributions
Conceptualization, I.P.; methodology, I.P.; software, I.P.; validation, I.P. and R.I.; formal analysis, I.P.; investigation, I.P.; resources, I.P.; data curation, I.P.; writing—original draft preparation, I.P.; writing—review and editing, I.P. and R.I.; visualization, I.P.; supervision, I.P. and R.I.; project administration, I.P.; funding acquisition, I.P. All authors have read and agreed to the published version of the manuscript.
Funding
This research was co-funded by PIN Scrl.
Acknowledgments
The authors would like to thank Donata Bacchi and Francesco Baldi for their support in field test.
Conflicts of Interest
The authors declare no conflict of interest.
References
- Bučinskas, A.; Kriipsalu, M.; Denafas, G. Proposal for Feasibility Assessment Model for Landfill Mining and Its Implementation for Energy Generation Scenarios. Sustainability 2018, 10, 2882. [Google Scholar] [CrossRef]
- Einhäupl, P.; Krook, J.; Svensson, N.; Van Acker, K.; Van Passel, S. Eliciting stakeholder needs—An anticipatory approach assessing enhanced landfill mining. Waste Manag. 2019, 98, 113–125. [Google Scholar] [CrossRef]
- Mönkäre, T.; Palmroth, M.R.T.; Sormunen, K.; Rintala, J. Scaling up the treatment of the fine fraction from landfill mining: Mass balance and cost structure. Waste Manag. 2019, 87, 464–471. [Google Scholar] [CrossRef]
- Jones, P.T.; Geysen, D.; Tielemans, Y.; Van Passel, S.; Pontikes, Y.; Blanpain, B.; Quaghebeur, M.; Hoekstra, N. Enhanced Landfill Mining in view of multiple resource recovery: A critical review. J. Clean. Prod. 2013, 55, 45–55. [Google Scholar] [CrossRef]
- Hölzle, I. Analysing material flows of landfill mining in a regional context. J. Clean. Prod. 2019, 207, 317–328. [Google Scholar] [CrossRef]
- Bosmans, A.; Vanderreydt, I.; Geysen, D.; Helsen, L. The crucial role of Waste-to-Energy technologies in enhanced landfill mining: A technology review. J. Clean. Prod. 2013, 55, 10–23. [Google Scholar] [CrossRef]
- Quaghebeur, M.; Laenen, B.; Geysen, D.; Nielsen, P.; Pontikes, Y.; Van Gerven, T.; Spooren, J. Characterization of landfilled materials: Screening of the enhanced landfill mining potential. J. Clean. Prod. 2013, 55, 72–83. [Google Scholar] [CrossRef]
- Krook, J.; Svensson, N.; Eklund, M. Landfill mining: A critical review of two decades of research. Waste Manag. 2012, 32, 513–520. [Google Scholar] [CrossRef] [PubMed]
- Kaartinen, T.; Sormunen, K.; Rintala, J. Case study on sampling, processing and characterization of landfilled municipal solid waste in the view of landfill mining. J. Clean. Prod. 2013, 55, 56–66. [Google Scholar] [CrossRef]
- Pecorini, I.; Albini, E.; Rossi, E.; Iannelli, R.; Raco, B.; Lippo, G. Landfill mining: A case study on characterization of excavated waste. Procedia Environ. Sci. Eng. Manag. 2018, 5, 153–158. [Google Scholar]
- Sormunen, K.; Ettala, M.; Rintala, J. Detailed internal characterisation of two Finnish landfills by waste sampling. Waste Manag. 2008, 28, 151–163. [Google Scholar] [CrossRef] [PubMed]
- Hull, R.M.; Krogmann, U.; Strom, P.F. Composition and Characteristics of Excavated Materials from a New Jersey Landfill. J. Environ. Eng. 2005, 131, 478–490. [Google Scholar] [CrossRef]
- Yi, S. Resource recovery potentials by landfill mining and reclamation in South Korea. J. Environ. Manag. 2019, 242, 178–185. [Google Scholar] [CrossRef] [PubMed]
- Wagner, T.P.; Raymond, T. Landfill mining: Case study of a successful metals recovery project. Waste Manag. 2015, 45, 448–457. [Google Scholar] [CrossRef] [PubMed]
- Marella, G.; Raga, R. Use of the Contingent Valuation Method in the assessment of a landfill mining project. Waste Manag. 2014, 34, 1199–1205. [Google Scholar] [CrossRef]
- Frank, R.R.; Cipullo, S.; Garcia, J.; Davies, S.; Wagland, S.T.; Villa, R.; Trois, C.; Coulon, F. Compositional and physicochemical changes in waste materials and biogas production across 7 landfill sites in UK. Waste Manag. 2017, 63, 11–17. [Google Scholar] [CrossRef]
- Prechthai, T.; Padmasri, M.; Visvanathan, C. Quality assessment of mined MSW from an open dumpsite for recycling potential. Resour. Conserv. Recycl. 2008, 53, 70–78. [Google Scholar] [CrossRef]
- Kim, H.; Townsend, T.G. Wet landfill decomposition rate determination using methane yield results for excavated waste samples. Waste Manag. 2012, 32, 1427–1433. [Google Scholar] [CrossRef]
- García, J.; Davies, S.; Villa, R.; Gomes, D.M.; Coulon, F.; Wagland, S.T. Compositional analysis of excavated landfill samples and the determination of residual biogas potential of the organic fraction. Waste Manag. 2016, 55, 336–344. [Google Scholar] [CrossRef]
- Canopoli, L.; Coulon, F.; Wagland, S.T. Degradation of excavated polyethylene and polypropylene waste from landfill. Sci. Total Environ. 2020, 698, 134125. [Google Scholar] [CrossRef]
- Tran, T. Standard Methods for the Examination of Water and Wastewater, 23rd ed.; American Public Health Association: Washington, DC, USA, 1915. [Google Scholar]
- CEN/TS 15414-1:2006. Available online: http://store.uni.com/catalogo/index.php/cen-ts-15414-1-2006?josso_back_to=http://store.uni.com/josso-securitycheck.php&josso_cmd=login_optional&josso_partnerapp_host=store.uni.com (accessed on 28 January 2020).
- CEN/TS 15400:2006. Available online: http://store.uni.com/catalogo/cen-ts-15400-2006 (accessed on 28 January 2020).
- UNI CEN/TS 15408:2006. Available online: http://store.uni.com/catalogo/index.php/uni-cen-ts-15408-2006 (accessed on 28 January 2020).
- Sel, İ.; Cakmakcı, M.; Özkaya, B.; Altan, H.S. Case study on prediction of remaining methane potential of landfilled municipal solid waste by statistical analysis of waste composition data. Waste Manag. 2016, 56, 310–317. [Google Scholar] [CrossRef] [PubMed]
- Mou, Z.; Scheutz, C.; Kjeldsen, P. Evaluating the methane generation rate constant (k Value) of low-organic waste at Danish landfills. Waste Manag. 2015, 35, 170–176. [Google Scholar] [CrossRef] [PubMed]
- Pearse, L.F.; Hettiaratchi, J.P.; Kumar, S. Towards developing a representative biochemical methane potential (BMP) assay for landfilled municipal solid waste – A review. Bioresour. Technol. 2018, 254, 312–324. [Google Scholar] [CrossRef] [PubMed]
- Cossu, R.; Raga, R. Test methods for assessing the biological stability of biodegradable waste. Waste Manag. 2008, 28, 381–388. [Google Scholar] [CrossRef]
- Pecorini, I.; Baldi, F.; Carnevale, E.A.; Corti, A. Enhancement of methane production of microwaved pretreated biowaste at different enthalpies. In Proceedings of the 28th International Conference on Efficiency, Cost, Optimization, Simulation and Environmental Impact of Energy Systems, Pau, France, 29 June–3 July 2015. [Google Scholar]
- Angelidaki, I.; Alves, M.; Bolzonella, D.; Borzacconi, L.; Campos, J.L.; Guwy, A.J.; Kalyuzhnyi, S.; Jenicek, P.; van Lier, J.B. Defining the biomethane potential (BMP) of solid organic wastes and energy crops: A proposed protocol for batch assays. Water Sci. Technol. 2009, 59, 927–934. [Google Scholar] [CrossRef]
- Pecorini, I.; Olivieri, T.; Bacchi, D.; Paradisi, A.; Lombardi, L.; Corti, A.; Carnevale, E. Evaluation of gas production in a industrial anaerobic digester by means of biochemical methane potential of organic municipal solid waste components. Proteins 2012, 5, 173–184. [Google Scholar]
- Pecorini, I.; Baldi, F.; Carnevale, E.A.; Corti, A. Biochemical methane potential tests of different autoclaved and microwaved lignocellulosic organic fractions of municipal solid waste. Waste Manag. 2016, 56, 143–150. [Google Scholar] [CrossRef]
- Pecorini, I.; Baldi, F.; Iannelli, R. Biochemical Hydrogen Potential Tests Using Different Inocula. Sustainability 2019, 11, 622. [Google Scholar] [CrossRef]
- Singh, S.K.; Srivastava, P.K.; Szabó, S.; Petropoulos, G.P.; Gupta, M.; Islam, T. Landscape transform and spatial metrics for mapping spatiotemporal land cover dynamics using Earth Observation data-sets. Geocarto Int. 2017, 32, 113–127. [Google Scholar] [CrossRef]
- Pecorini, I.; Baldi, F.; Bacchi, D.; Carnevale, E.A.; Corti, A. Leaching behaviour of hazardous waste under the impact of different ambient conditions. Waste Manag. 2017, 63, 96–106. [Google Scholar] [CrossRef]
- Provincia di Livorno, Piano di gestione dei rifiuti urbani ATO 4. 2000, Chapter 1. Available online: http://www.provincia.livorno.it/new/spawdocs/Cap1_1.pdf%E2%80%94Cerca%20con%20Google (accessed on 28 January 2020).
- Niskanen, A.; Värri, H.; Havukainen, J.; Uusitalo, V.; Horttanainen, M. Enhancing landfill gas recovery. J. Clean. Prod. 2013, 55, 67–71. [Google Scholar] [CrossRef]
- Ordinance on Environmentally Compatible Storage of Waste from Human Settlements and on Biological Waste-Treatment Facilities—BMU-Laws. Available online: https://www.bmu.de/GE1-1 (accessed on 1 February 2020).
- Mou, Z.; Scheutz, C.; Kjeldsen, P. Evaluating the biochemical methane potential (BMP) of low-organic waste at Danish landfills. Waste Manag. 2014, 34, 2251–2259. [Google Scholar] [CrossRef] [PubMed]
- Rada, E.C.; Andreottola, G. RDF/SRF: Which perspective for its future in the EU. Waste Manag. 2012, 32, 1059–1060. [Google Scholar] [CrossRef] [PubMed]
- Passamani, G.; Ragazzi, M.; Torretta, V. Potential SRF generation from a closed landfill in northern Italy. Waste Manag. 2016, 47, 157–163. [Google Scholar] [CrossRef] [PubMed]
- Bewick, V.; Cheek, L.; Ball, J. Statistics review 7: Correlation and regression. Crit. Care 2003, 7, 451–459. [Google Scholar] [CrossRef]
© 2020 by the authors. Licensee MDPI, Basel, Switzerland. This article is an open access article distributed under the terms and conditions of the Creative Commons Attribution (CC BY) license (http://creativecommons.org/licenses/by/4.0/).






