Evaluation of Podalic Support and Monitoring of Balance Control in Children with and without Dyslexia: A Pilot Study
Abstract
1. Introduction
Hypothesis Section
2. Material and Methods
2.1. Method of Testing
Procedure
2.2. Administration and Scoring
2.3. Statistical Analysis
3. Results
4. Discussion
Author Contributions
Funding
Conflicts of Interest
References
- American Psychiatric Association; DSM-5 Task Force. Diagnostic and Statistical Manual of Mental Disorders: Dsm-5, 5th ed.; American Psychiatric Association: Washington, DC, USA, 2013; p. xliv. 947p. [Google Scholar]
- Galaburda, A.; Livingstone, M. Evidence for a magnocellular defect in developmental dyslexia. Ann. N. Y. Acad. Sci. 1993, 682, 70–82. [Google Scholar] [CrossRef] [PubMed]
- Stein, J. The magnocellular theory of developmental dyslexia. Dyslexia 2001, 7, 12–36. [Google Scholar] [CrossRef] [PubMed]
- Denckla, M.B.; Rudel, R.G.; Chapman, C.; Krieger, J. Motor proficiency in dyslexic-children with and without attentional disorders. Arch. Neurol. 1985, 42, 228–231. [Google Scholar] [CrossRef] [PubMed]
- Stein, J.; Walsh, V. To see but not to read; the magnocellular theory of dyslexia. Trends Neurosci. 1997, 20, 147–152. [Google Scholar] [CrossRef]
- Vidyasagar, T.R.; Pammer, K. Dyslexia: A deficit in visuo-spatial attention, not in phonological processing. Trends Cogn. Sci. 2010, 14, 57–63. [Google Scholar] [CrossRef]
- Stein, J. The current status of the magnocellular theory of developmental dyslexia. Neuropsychologia 2019, 130, 66–77. [Google Scholar] [CrossRef]
- Nicolson, R.I.; Fawcett, A.J.; Berry, E.L.; Jenkins, I.H.; Dean, P.; Brooks, D.J. Association of abnormal cerebellar activation with motor learning difficulties in dyslexic adults. Lancet 1999, 353, 1662–1667. [Google Scholar] [CrossRef]
- Eckert, M.A.; Leonard, C.M.; Richards, T.L.; Aylward, E.H.; Thomson, J.; Berninger, V.W. Anatomical correlates of dyslexia: Frontal and cerebellar findings. Brain 2003, 126, 482–494. [Google Scholar] [CrossRef]
- Nicolson, R.I.; Fawcett, A.J. Procedural learning difficulties: Reuniting the developmental disorders? Trends Neurosci. 2007, 30, 135–141. [Google Scholar] [CrossRef]
- Kelly, R.M.; Strick, P.L. Cerebellar loops with motor cortex and prefrontal cortex of a nonhuman primate. J. Neurosci. Off. J. Soc. Neurosci. 2003, 23, 8432–8444. [Google Scholar] [CrossRef]
- Middleton, F.A.; Strick, P.L. Cerebellar projections to the prefrontal cortex of the primate. J. Neurosci. Off. J. Soc. Neurosci. 2001, 21, 700–712. [Google Scholar] [CrossRef]
- Marien, P.; Engelborghs, S.; Fabbro, F.; De Deyn, P.P. The lateralized linguistic cerebellum: A review and a new hypothesis. Brain Lang. 2001, 79, 580–600. [Google Scholar] [CrossRef] [PubMed]
- Imamizu, H.; Kuroda, T.; Miyauchi, S.; Yoshioka, T.; Kawato, M. Modular organization of internal models of tools in the human cerebellum. Proc. Natl. Acad. Sci. USA 2003, 100, 5461–5466. [Google Scholar] [CrossRef] [PubMed]
- Mergner, T.; Rosemeier, T. Interaction of vestibular, somatosensory and visual signals for postural control and motion perception under terrestrial and microgravity conditions—A conceptual model. Brain Res. Brain Res. Rev. 1998, 28, 118–135. [Google Scholar] [CrossRef]
- Fawcett, A.J.; Nicolson, R.I.; Dean, P. Impaired performance of children with dyslexia on a range of cerebellar tasks. Ann. Dyslexia 1996, 46, 259–283. [Google Scholar] [CrossRef]
- Vieira, S.; Quercia, P.; Michel, C.; Pozzo, T.; Bonnetblanc, F. Cognitive demands impair postural control in developmental dyslexia: A negative effect that can be compensated. Neurosci. Lett. 2009, 462, 125–129. [Google Scholar] [CrossRef]
- Barela, J.A.; Dias, J.L.; Godoi, D.; Viana, A.R.; de Freitas, P.B. Postural control and automaticity in dyslexic children: The relationship between visual information and body sway. Res. Dev. Disabil. 2011, 32, 1814–1821. [Google Scholar] [CrossRef]
- Legrand, A.; Bui-Quoc, E.; Dore-Mazars, K.; Lemoine, C.; Gerard, C.L.; Bucci, M.P. Effect of a dual task on postural control in dyslexic children. PLoS ONE 2012, 7, e35301. [Google Scholar] [CrossRef][Green Version]
- Nicolson, R.I.; Fawcett, A.J. Automaticity: A new framework for dyslexia research? Cognition 1990, 35, 159–182. [Google Scholar] [CrossRef]
- Fiez, J.A.; Petersen, S.E. Neuroimaging studies of word reading. Proc. Natl. Acad. Sci. USA 1998, 95, 914–921. [Google Scholar] [CrossRef]
- Vicari, S.; Marotta, L.; Menghini, D.; Molinari, M.; Petrosini, L. Implicit learning deficit in children with developmental dyslexia. Neuropsychologia 2003, 41, 108–114. [Google Scholar] [CrossRef]
- Stoodley, C.J.; Fawcett, A.J.; Nicolson, R.I.; Stein, J.F. Impaired balancing ability in dyslexic children. Exp. Brain Res. Exp. Hirnforsch. Exp. Cereb. 2005, 167, 370–380. [Google Scholar] [CrossRef] [PubMed]
- Shaw, L.; Levine, M.D.; Belfer, M. Developmental double jeopardy: A study of clumsiness and self esteem in children with learning problems. J. Dev. Behav. Pediatric JDBP 1982, 3, 191–196. [Google Scholar] [CrossRef]
- Houghton, K.M.; Guzman, J. Evaluation of static and dynamic postural balance in children with juvenile idiopathic arthritis. Pediatric Phys. Ther. 2013, 25, 150–157. [Google Scholar] [CrossRef]
- Patti, A.; Bianco, A.; Messina, G.; Paoli, A.; Bellafiore, M.; Battaglia, G.; Iovane, A.; Traina, M.; Palma, A. The influence of the stomatognathic system on explosive strength: A pilot study. J. Physi. Therapy Sci. 2016, 28, 72–75. [Google Scholar] [CrossRef]
- Gagey, P.M.; Weber, B. Study of intra-subject random variations of stabilometric parameters. Med. Biol. Eng. Comput. 2010, 48, 833–835. [Google Scholar] [CrossRef]
- Patti, A.; Maggio, M.C.; Corsello, G.; Messina, G.; Iovane, A.; Palma, A. Evaluation of fitness and the balance levels of children with a diagnosis of juvenile idiopathic arthritis: A pilot study. Int. J. Environ. Res. Public Health 2017, 14, 806. [Google Scholar] [CrossRef]
- Patti, A.; Bianco, A.; Paoli, A.; Messina, G.; Montalto, M.A.; Bellafiore, M.; Battaglia, G.; Iovane, A.; Palma, A. Pain perception and stabilometric parameters in people with chronic low back pain after a pilates exercise program: A randomized controlled trial. Medicine 2016, 95, e2414. [Google Scholar] [CrossRef]
- Patti, A.; Bianco, A.; Sahin, N.; Sekulic, D.; Paoli, A.; Iovane, A.; Messina, G.; Gagey, P.M.; Palma, A. Postural control and balance in a cohort of healthy people living in europe: An observational study. Medicine 2018, 97, e13835. [Google Scholar] [CrossRef]
- Kapteyn, T.S.; Bles, W.; Njiokiktjien, C.J.; Kodde, L.; Massen, C.H.; Mol, J.M. Standardization in platform stabilometry being a part of posturography. Agressologie: revue internationale de physio-biologie et de pharmacologie appliquees aux effets de l’agression 1983, 24, 321–326. [Google Scholar]
- Bracken, B.A. Test TMA—Valutazione Multidimensionale Dell’autostima; Erickson: Trento, Italy, 2003. [Google Scholar]
- Williams, D.S., III; McClay, I.S.; Hamill, J. Arch structure and injury patterns in runners. Clin. Biomech. 2001, 16, 341–347. [Google Scholar] [CrossRef]
- Nemeth, B. The diagnosis and management of common childhood orthopedic disorders. Curr. Probl. Pediatric Adolesc. Health Care 2011, 41, 2–28. [Google Scholar] [CrossRef] [PubMed]
- Sadeghi-Demneh, E.; Azadinia, F.; Jafarian, F.; Shamsi, F.; Melvin, J.M.; Jafarpishe, M.; Rezaeian, Z. Flatfoot and obesity in school-age children: A cross-sectional study. Clin. Obes. 2016, 6, 42–50. [Google Scholar] [CrossRef] [PubMed]
- Ijkema-Paassen, J.; Gramsbergen, A. Development of postural muscles and their innervation. Neural Plast. 2005, 12, 141–151. [Google Scholar] [CrossRef]
- Menghini, D.; Finzi, A.; Benassi, M.; Bolzani, R.; Facoetti, A.; Giovagnoli, S.; Ruffino, M.; Vicari, S. Different underlying neurocognitive deficits in developmental dyslexia: A comparative study. Neuropsychologia 2010, 48, 863–872. [Google Scholar] [CrossRef]
- Nicolson, R.I.; Fawcett, A.J.; Dean, P. Developmental dyslexia: The cerebellar deficit hypothesis. Trends Neurosci. 2001, 24, 508–511. [Google Scholar] [CrossRef]
- Fawcett, A.J.; Nicolson, R.I. Performance of dyslexic children on cerebellar and cognitive tests. J. Mot. Behav. 1999, 31, 68–78. [Google Scholar] [CrossRef]
- Perry, S.D.; McIlroy, W.E.; Maki, B.E. The role of plantar cutaneous mechanoreceptors in the control of compensatory stepping reactions evoked by unpredictable, multi-directional perturbation. Brain Res. 2000, 877, 401–406. [Google Scholar] [CrossRef]
- Schlee, G.; Neubert, T.; Worenz, A.; Milani, T.L. Children with adhd show no deficits in plantar foot sensitivity and static balance compared to healthy controls. Res. Dev. Disabil. 2012, 33, 1957–1963. [Google Scholar] [CrossRef]
- Wimmer, H.; Mayringer, H.; Raberger, T. Reading and dual-task balancing: Evidence against the automatization deficit explanation of developmental dyslexia. J. Learn. Disabil. 1999, 32, 473–478. [Google Scholar] [CrossRef]
- Raberger, T.; Wimmer, H. On the automaticity/cerebellar deficit hypothesis of dyslexia: Balancing and continuous rapid naming in dyslexic and adhd children. Neuropsychologia 2003, 41, 1493–1497. [Google Scholar] [CrossRef]
- Flensmark, J. Physical activity, eccentric contractions of plantar flexors, and neurogenesis: Therapeutic potential of flat shoes in psychiatric and neurological disorders. Med. Hypotheses 2009, 73, 130–132. [Google Scholar] [CrossRef] [PubMed]
- Nelson, J.M.; Gregg, N. Depression and anxiety among transitioning adolescents and college students with adhd, dyslexia, or comorbid adhd/dyslexia. J. Atten. Disord. 2012, 16, 244–254. [Google Scholar] [CrossRef] [PubMed]
- Nelson, J.M.; Liebel, S.W. Socially desirable responding and college students with dyslexia: Implications for the assessment of anxiety and depression. Dyslexia 2018, 24, 44–58. [Google Scholar] [CrossRef]
- Gouleme, N.; Villeneuve, P.; Gerard, C.L.; Bucci, M.P. Influence of both cutaneous input from the foot soles and visual information on the control of postural stability in dyslexic children. Gait Posture 2017, 56, 141–146. [Google Scholar] [CrossRef] [PubMed]
- Loras, H.; Sigmundsson, H.; Stensdotter, A.K.; Talcott, J.B. Postural control is not systematically related to reading skills: Implications for the assessment of balance as a risk factor for developmental dyslexia. PLoS ONE 2014, 9, e98224. [Google Scholar] [CrossRef] [PubMed]
- Bucci, M.P.; Gerard, C.L.; Bui-Quoc, E. The effect of a cognitive task on the postural control of dyslexic children. Res. Dev. Disabil. 2013, 34, 3727–3735. [Google Scholar] [CrossRef] [PubMed]
- Gouleme, N.; Gerard, C.L.; Bui-Quoc, E.; Bucci, M.P. Spatial and temporal analysis of postural control in dyslexic children. Clin. Neurophysiol. 2015, 126, 1370–1377. [Google Scholar] [CrossRef] [PubMed]




| EG (22) | CG (35) | p< | |
|---|---|---|---|
| Age, y | 11.91 ± 1.57 | 12.66 ± 0.63 | ns |
| Height, cm | 148.2 ± 11.62 | 150.8 ± 9.13 | ns |
| Weight, Kg | 47.32 ± 11.03 | 45.66 ± 11.26 | ns |
| Shoe number | 38.39 ± 2.66 | 38.69 ± 2.12 | ns |
| EG (22) | CG (35) | p< | |
|---|---|---|---|
| * TMA | 69 ± 15.30 | 77.17 ± 12.73 | p < 0.05 |
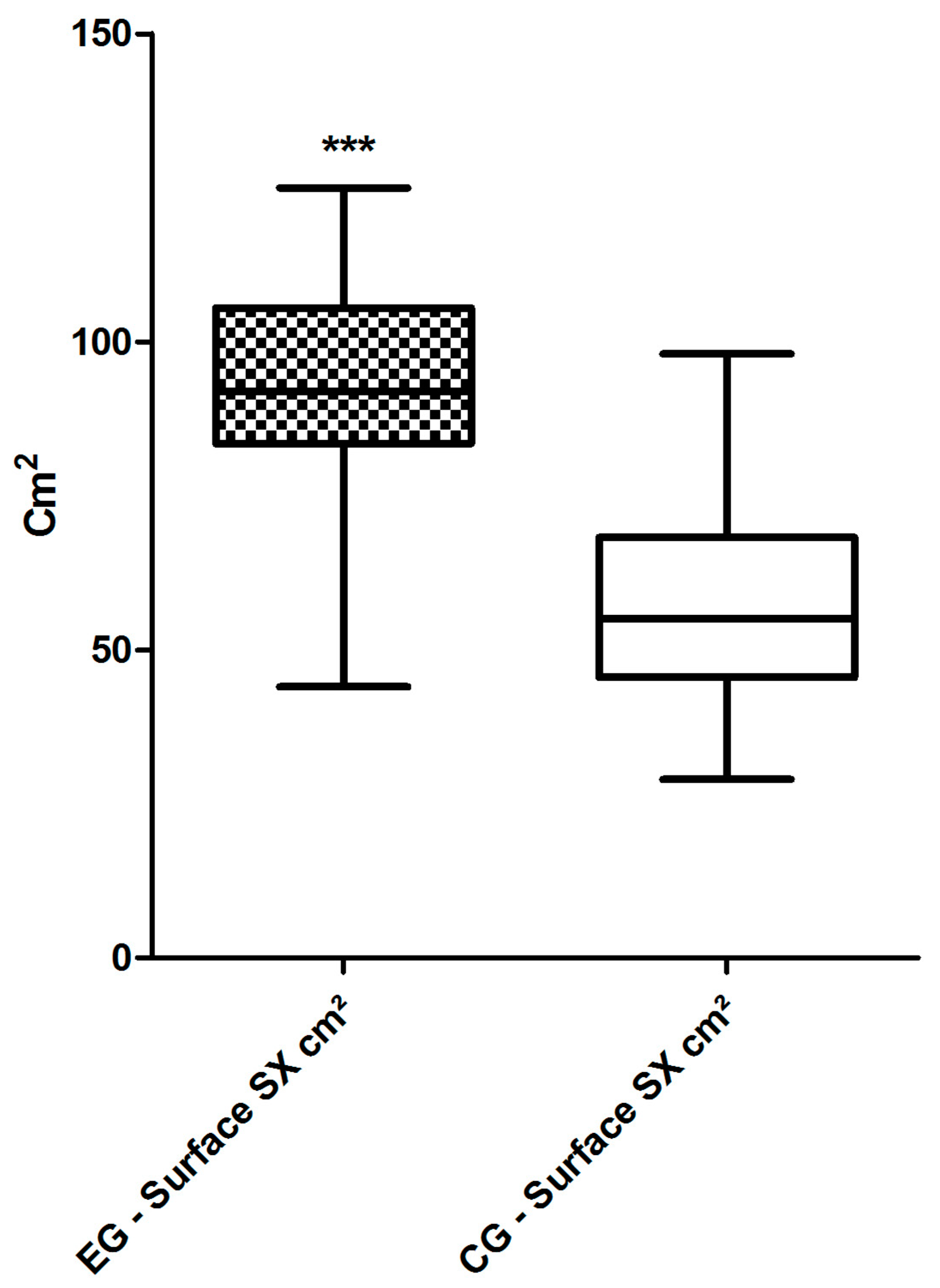
| † Surface SX, cm2 | 96.68 ± 16.51 | 55.66 ± 18.78 | p < 0.001 |
| † Surface DX, cm² | 95.27 ± 16.25 | 55.51 ± 17.42 | p < 0.001 |
| † Surface forefoot SX, cm² | 50.77 ± 10.50 | 27.77 ± 10.50 | p < 0.001 |
| † Surface forefoot DX, cm² | 50.05 ± 9.92 | 27.74 ± 12.43 | p < 0.001 |
| † Retro foot surface SX, cm² | 45.95 ± 8.27 | 27.86 ± 7.28 | p < 0.001 |
| † Retro foot surface DX, cm² | 45.27 ± 7.73 | 27.80 ± 7.112 | p < 0.001 |
| † Ellipse, mm2 | 553.6 ± 271.4 | 318.6 ± 270.6 | p < 0.001 |
| †Length of sway path, mm | 771.3 ± 244.9 | 836.9 ± 231.2 | ns |
| †Average speed of movement, mm/s | 15.98 ± 5.01 | 16.36 ± 4.52 | ns |
| † X mean, mm | 3.563 ± 14.05 | –7.160 ± 10.03 | p < 0.001 |
| * Y mean, mm | –22.72 ± 9.58 | –29.89 ± 14.20 | p < 0.05 |
© 2020 by the authors. Licensee MDPI, Basel, Switzerland. This article is an open access article distributed under the terms and conditions of the Creative Commons Attribution (CC BY) license (http://creativecommons.org/licenses/by/4.0/).
Share and Cite
Patti, A.; Bianco, A.; Messina, G.; Iovane, A.; Alesi, M.; Pepi, A.; Palma, A. Evaluation of Podalic Support and Monitoring of Balance Control in Children with and without Dyslexia: A Pilot Study. Sustainability 2020, 12, 1191. https://doi.org/10.3390/su12031191
Patti A, Bianco A, Messina G, Iovane A, Alesi M, Pepi A, Palma A. Evaluation of Podalic Support and Monitoring of Balance Control in Children with and without Dyslexia: A Pilot Study. Sustainability. 2020; 12(3):1191. https://doi.org/10.3390/su12031191
Chicago/Turabian StylePatti, Antonino, Antonino Bianco, Giuseppe Messina, Angelo Iovane, Marianna Alesi, Annamaria Pepi, and Antonio Palma. 2020. "Evaluation of Podalic Support and Monitoring of Balance Control in Children with and without Dyslexia: A Pilot Study" Sustainability 12, no. 3: 1191. https://doi.org/10.3390/su12031191
APA StylePatti, A., Bianco, A., Messina, G., Iovane, A., Alesi, M., Pepi, A., & Palma, A. (2020). Evaluation of Podalic Support and Monitoring of Balance Control in Children with and without Dyslexia: A Pilot Study. Sustainability, 12(3), 1191. https://doi.org/10.3390/su12031191

