Study on the Compressive Behaviour of Sustainable Cement-Based Composites under One-Hour of Direct Flame Exposure
Abstract
1. Introduction
2. Experiments, Materials and Methods
2.1. Preparation of the Specimens
2.2. Fire and Compression Testing
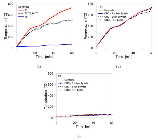
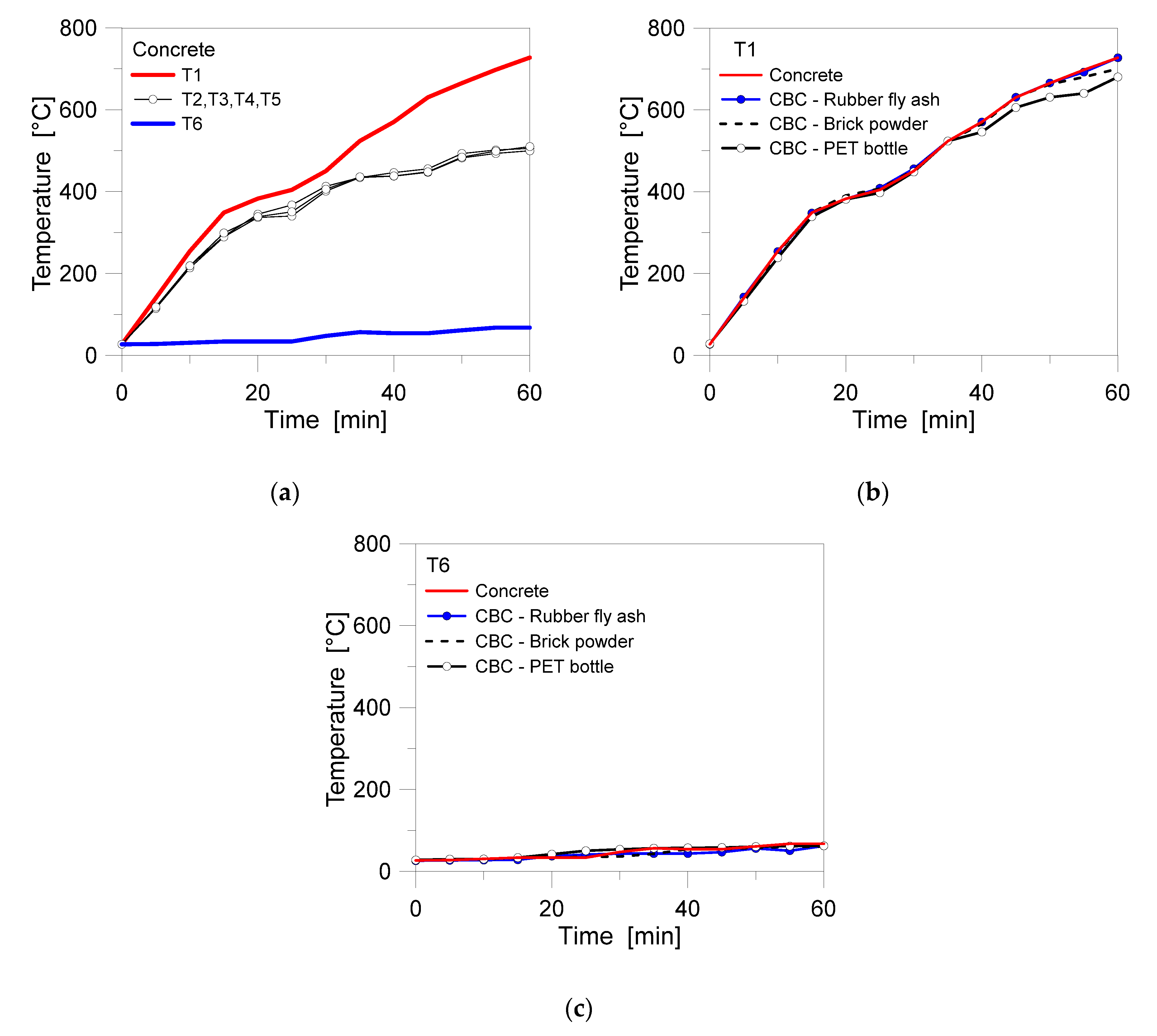
- T1, representing the average temperature in time at the center of the bottom (exposed) face;
- T2, T3, T4, T5, being representative of the four side cube faces;
- and T6, denoting the top face of each cube.
2.3. Preliminary Numerical Assessment
3. Results and Discussion
3.1. Experimental Fire Exposure
3.2. Post-Fire Compressive Resistance
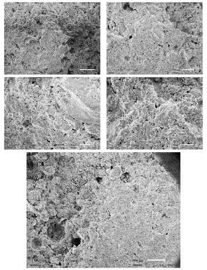
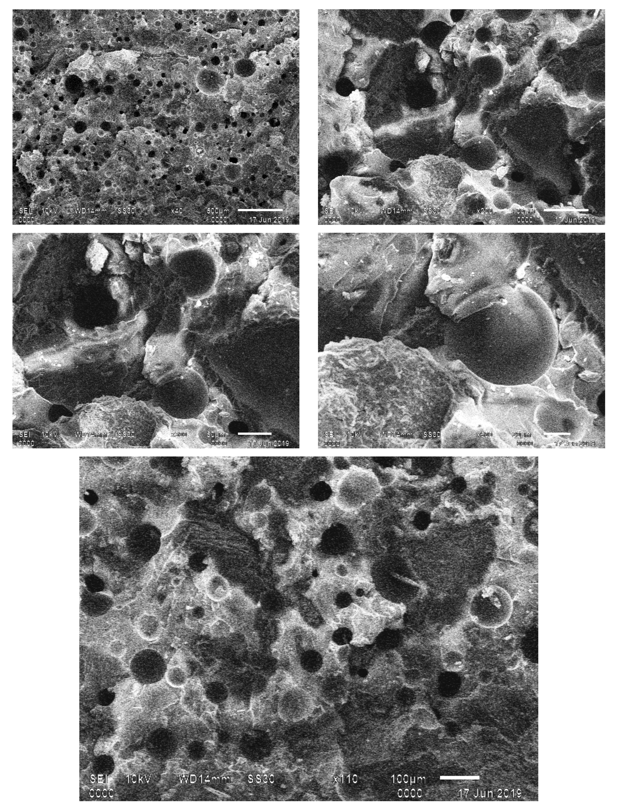
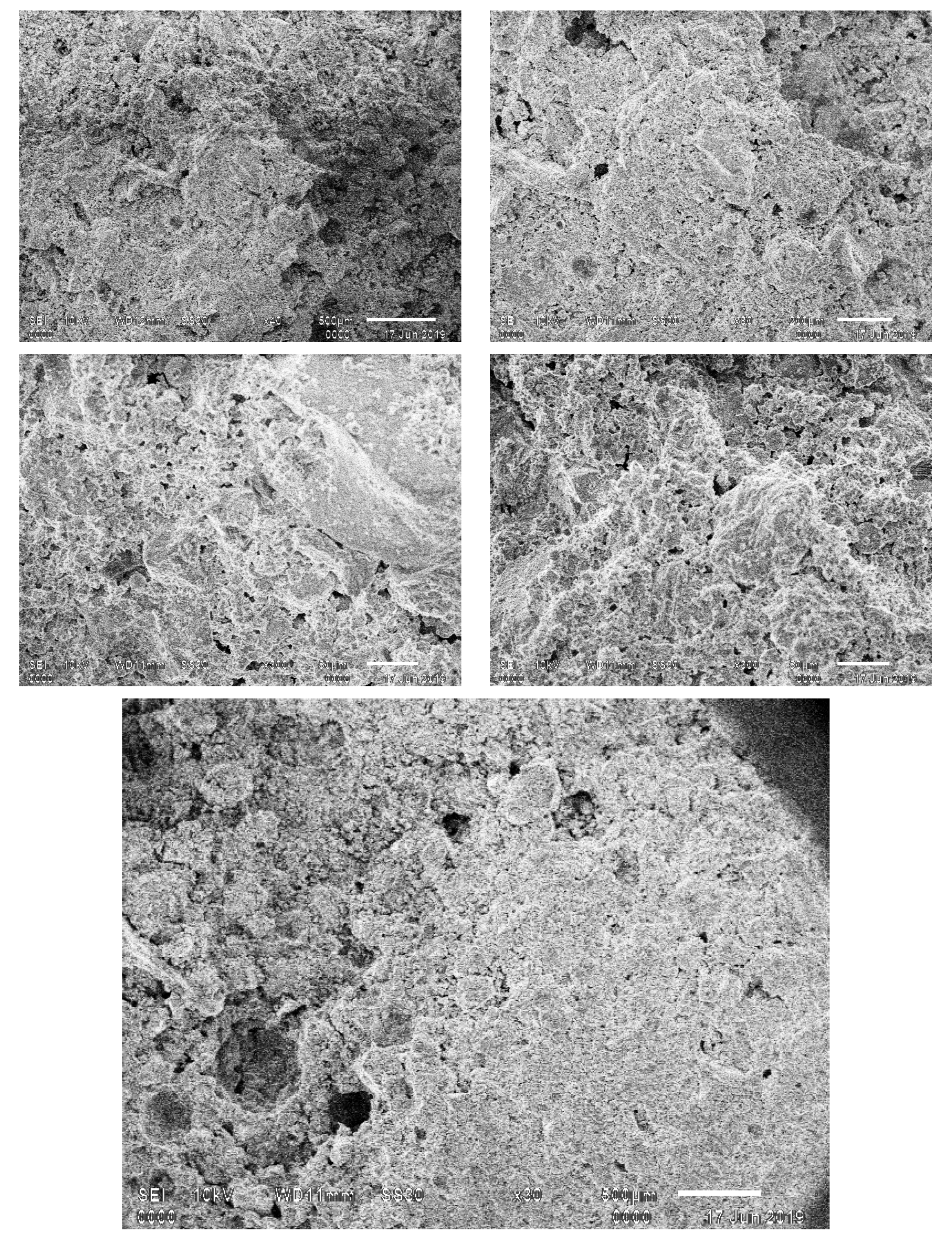
3.3. Fracture Behaviour
4. Experimental Derivation of Empirical Formulations
4.1. Time–Temperature Evolution
4.2. Residual Compressive Strength and MoE
4.3. Compressive Stress–Strain Constitutive Laws at Elevated Temperatures
- represents the compressive stress at elevated temperature (in MPa),
- is the compressive strength at elevated temperature (in MPa),
- and the strain at ambient temperature or under elevated temperature, respectively, and
- is the compressive strength at ambient temperature (in MPa).
5. Conclusions
- Among the examined concrete or CBCs sustainable solutions, CBCs with PET bottle residual (10% proportion) offered the lowest peak temperature compared to the other specimen types under similar heating conditions.
- The FE model developed for predicting the time–temperature variation on the exposed faces and in the volume of the tested cubes further confirmed the critical role of input thermal loads but also of the thermal boundaries. It was shown in particular that the actual experimental thermal scenario for the testes specimens can be hardly predicted with refined FE methods. As such, the post-fire mechanical response of the tested cubes necessarily requires the support of dedicated experiments.
- The CBCs specimens with PET bottle residual (10% proportion) were observed to have considerable lesser reduction in their modulus of elasticity, in comparison to standard concrete samples, thus resulting in improved post-fire capacity.
- The concrete and CBC samples damaged more while subjected to nonuniform fire exposure for the same fire duration.
- Concrete has superior compressive strength compared to the CBCs with rubber tire fly ash, PET bottle residual, and brick powder investigated in the present work.
- CBCs with PET bottle residual showed superior performance followed by CBCs with rubber tire fly ash, concrete and CBCs with aged brick powder respectively.
- The SEM micrographs have shown minimum damage in the microstructure of CBC with PET bottle residual.
- Empirical models for predicting time–temperature, modulus of elasticity, compressive strength, and stress–strain constitutive laws at elevated temperatures were proposed.
Author Contributions
Funding
Conflicts of Interest
Nomenclature
| compressive strength at ambient temperature | |
| compressive stress at elevated temperature | |
| compressive strength at elevated temperature | |
| strain at ambient temperature | |
| strain at elevated temperature | |
| ASTM | American Society for Testing and Materials |
| Ca(OH)2 | Calcium hydroxide |
| CaO | Calcium oxide |
| CBC | Cement-Based Composites |
| CSH | calcium silicate hydrate |
| DF | Direct Flame |
| Ec | Young’s Modulus |
| FE | Finite Element |
| ISO | International Organization for Standardization |
| MoE | modulus of elasticity |
| OPC | Ordinary Portland cement |
| PET | Polyethylene terephthalate |
| SCM | supplementary cementitious materials |
| SEM | Scanning Electron Microscopy |
References
- NFPA. Deadliest Fires and Explosions in U.S. History, National Fire Protection Association, Batterymarch Park, Quincy, Massachusetts, USA. 2020. Available online: https://www.nfpa.org/News-and-Research/Data-research-and-tools/US-Fire-Problem/Catastrophic-multiple-death-fires/Deadliest-fires-or-explosions-in-the-world (accessed on 1 October 2020).
- Vedrtnam, A.; Bedon, C.; Youssef, M.A.; Wamiq, M.; Sabsabi, A.; Chaturvedi, S. Experimental and Numerical Structural Assessment of Transparent and Tinted Glass during Fire Exposure. Constr. Build. Mater. 2020, 250, 118918. [Google Scholar] [CrossRef]
- Wang, Y.; Wang, Q.; Wen, J.X.; Sun, J.; Liew, K.M. Investigation of thermal breakage and heat transfer in single, insulated and laminated glazing under fire conditions. Appl. Therm. Eng. 2017, 125, 662–672. [Google Scholar] [CrossRef]
- Zhou, H.; Li, S.; Chen, L.; Zhang, C. Fire tests on composite steel-concrete beams pre-stressed with external tendons. J. Constr. Steel Res. 2018, 143, 62–71. [Google Scholar] [CrossRef]
- Fan, M.; Naught, A.; Bregulla, J. Fire performance of natural fiber Composites in construction. Constr. Build. Mater. 2004, 18, 505–515. [Google Scholar]
- Yalinkilic, M.K.; Baysal, E.; Demirci, Z. Role of treatment chemicals in combustion of Douglas fir wood. In Proceedings of the First Trabzon International Energy and Environment Symposium, Trabzon, Turkey, 29–31 July 1996; pp. 803–809. [Google Scholar]
- Wróblewska, J.; Kowalski, R. Assessing concrete strength in fire-damaged structures. Constr. Build. Mater. 2020, 254, 119122. [Google Scholar]
- Haddad, R.H.; Al-Saleh, R.J.; Al-Akhras, N.M. Effect of elevated temperature on bond between steel reinforcement and fiber reinforced concrete. Fire Saf. J. 2008, 43, 334–343. [Google Scholar] [CrossRef]
- Abid, M.; Hou, X.; Zheng, W.; Hussain, R.R. High temperature and residual properties of reactive powder concrete—A review. Constr. Build. Mater. 2017, 147, 339–351. [Google Scholar] [CrossRef]
- Anand, N.; Godwin, A. Influence of mineral admixtures on mechanical properties of self-compacting concrete under elevated temperature. Fire Mater. 2016, 7, 940–958. [Google Scholar]
- Li, M.; Qian, C.; Sun, W. Mechanical properties of high-strength concrete after fire. Cem. Concr. Res. 2004, 34, 1001–1005. [Google Scholar] [CrossRef]
- Ma, Q.; Guo, R.; Zhao, Z.; Lin, Z.; He, K. Mechanical properties of concrete at high temperature—A review. Constr. Build. Mater. 2015, 93, 371–383. [Google Scholar] [CrossRef]
- Chu, H.Y.; Jiang, J.Y.; Sun, W.; Zhang, M. Mechanical and physicochemical properties of ferro-siliceous concrete subjected to elevated temperatures. Constr. Build. Mater. 2016, 122, 743–752. [Google Scholar] [CrossRef]
- Shah, A.H.; Sharma, U.K. Fire resistance and spalling performance of confined concrete columns. Constr. Build. Mater. 2017, 156, 161–174. [Google Scholar] [CrossRef]
- Thanaraj, D.P.; Anand, N.G.P.A.; Zalok, E. Post-fire damage assessment and capacity based modeling of concrete exposed to elevated temperature. Int. J. Damage Mech. 2019. [Google Scholar] [CrossRef]
- Xiao, J.; Li, Z.; Xie, Q.; Shen, L. Effect of strain rate on compressive behaviour of high-strength concrete after exposure to elevated temperatures. Fire Saf. J. 2016, 83, 25–37. [Google Scholar] [CrossRef]
- Lin, W.M.; Lin, T.D.; Powers-Couche, L.J. Microstructures of fire-damaged concrete. Mater. J. 1996, 93, 199–205. [Google Scholar]
- Buchanan, A.H. Structural Design for Fire Safety, 2nd ed.; Wiley Publishers: Chichester, UK, 2001. [Google Scholar]
- Savva, A.; Manita, P.; Sideris, K.K. Influence of elevated temperatures on the mechanical properties of blended cement concretes prepared with limestone and siliceous aggregates. Cem. Concr. Compos. 2005, 27, 239–248. [Google Scholar] [CrossRef]
- Cree, D.; Green, M.; Noumowe, A. Residual strength of concrete containing recycled materials after exposure to fire. Constr. Build. Mater. 2013, 45, 208–223. [Google Scholar] [CrossRef]
- Irshidat, M.R.; Al-Saleh, M.H. Thermal performance and fire resistance of nanoclay modified cementations materials. Constr. Build. Mater. 2018, 159, 213–219. [Google Scholar] [CrossRef]
- Wasserman, R.; Bentur, A. Effect of lightweight fly ash aggregate microstructure on the strength of concretes. Cem. Concr. Res. 1997, 27, 525–537. [Google Scholar] [CrossRef]
- Saikia, N.; de Brito, J. Mechanical properties and abrasion behaviour of concrete containing shredded PET bottle waste as a partial substitution of natural aggregates. Constr. Build. Mater. 2014, 52, 236–244. [Google Scholar] [CrossRef]
- Ferreira, L.; de Brito, J.; Saikia, N. Influence of curing conditions on the mechanical performance of concrete containing recycled plastic aggregate. Constr. Build. Mater. 2012, 36, 196–204. [Google Scholar] [CrossRef]
- Albano, C.; Camacho, N.; Hernández, M.; Matheus, A.; Gutiérrez, A. Influence of content and particle size of waste pet bottles on concrete behavior at different w/c ratios. Waste Manag. 2009, 29, 2707–2716. [Google Scholar] [CrossRef] [PubMed]
- Saikia, N.; de Brito, J. Use of plastic waste as aggregate in cement mortar and concrete preparation: A review. Constr. Build. Mater. 2012, 34, 385–401. [Google Scholar] [CrossRef]
- Choi, Y.W.; Moon, D.J.; Chung, J.S.; Cho, S.K. Effects of waste PET bottles aggregate on the properties of concrete. Cem. Concr. Res. 2005, 35, 776–781. [Google Scholar] [CrossRef]
- Correia, J.R.; Lima, J.S.; de Brito, J. Post-fire mechanical performance of concrete made with selected plastic waste aggregates. Cem. Concr. Compos. 2014, 53, 187–199. [Google Scholar] [CrossRef]
- Memon, S.A.; Shah SF, A.; Khushnood, R.A.; Baloch, W.L. Durability of sustainable concrete subjected to elevated temperature—A review. Constr. Build. Mater. 2019, 199, 435–455. [Google Scholar] [CrossRef]
- Bodnarova, L.; Valek, J.; Novosad, P. Testing of Action of Direct Flame on Concrete. Sci. World J. 2015, 1–8. [Google Scholar] [CrossRef]
- El-Fitiany, S.F.; Youssef, M.A. Interaction diagrams for fire-exposed reinforced concrete sections. Eng. Struct. 2014, 70, 246–259. [Google Scholar] [CrossRef]
- El-Fitiany, S.F.; Youssef, M.A. Assessing the flexural and axial behaviour of reinforced concrete members at elevated temperatures using sectional analysis. Fire Saf. J. 2009, 44, 691–703. [Google Scholar] [CrossRef]
- Simulia. ABAQUS/Standard Computer Software; Dassault SystèmesProvidence: Johnston, RI, USA, 1998. [Google Scholar]
- ASTM C150. Standard Specification for Portland Cement, ASTM International; ASTM: West Conshohocken, PA, USA, 2020. [Google Scholar]
- ASTM C33-16. Standard Specification for Concrete Aggregates; ASTM International: West Conshohocken, PA, USA, 2016. [Google Scholar]
- Zhang, X.; Deng, D.; Yang, J. Mechanical Properties and Conversion Relations of Strength Indexes for Stone/Sand-Lightweight Aggregate Concrete. Adv. Mater. Sci. Eng. 2018. [Google Scholar] [CrossRef]
- Amman, M. Study on Foam Production from Waste PET Bottles. Master’s Thesis, Invertis University, Rajau Paraspur, India, 2020. [Google Scholar]
- ISO 834-1:1999. Fire-Resistance Tests—Elements of Building Construction—Part 1: General Requirements; International Organization for Standardization (ISO): Geneve, Switzerland, 1999. [Google Scholar]
- Achenbach, M.; Lahmer, T.; Morgenthal, G. Identification of the thermal properties of concrete for the temperature calculation of concrete slabs and columns subjected to a standard fire—Methodology and proposal for simplified formulations. Fire Saf. J. 2017, 87, 80–86. [Google Scholar] [CrossRef]
- EN 1991-1-2: Actions on Structures. In Part 1–2: General Actions—Actions on Structures Exposed to Fire, Eurocode 1; European Committee for Standardization: Brussels, Belgium, 2002.
- EN, 1992-1-2: Design of Concrete Structures. In Part 1–2: General Rules—Structural Fire Design; Eurocode 2; European Committee for Standardization: Brussels, Belgium, 2004.
- Kodur, V. Properties of Concrete at Elevated Temperatures. Int. Sch. Res. Not. 2014, 2014, 468510. [Google Scholar] [CrossRef]
- Youssef, M.A.; Moftah, M. General stress–strain relationship for concrete at elevated temperatures. Eng. Struct. 2007, 29, 2618–2634. [Google Scholar] [CrossRef]
- Li, L.; Purkiss, J.A. Stress–strain constitutive equations of concrete material at elevated temperatures. Fire Saf. J. 2005, 40, 669–686. [Google Scholar] [CrossRef]
- Liu, D.; He, M.; Cai, M. A damage model for modeling the complete stress–strain relations of brittle rocks under uniaxial compression. Int. J. Damage Mech. 2018, 27, 1000–1019. [Google Scholar] [CrossRef]
- Liu, Y.; Wang, W.; Chen, Y.F.; Ji, H. Residual stress-strain relationship for thermal insulation concrete with recycled aggregate after high temperature exposure. Constr. Build. Mater. 2016, 129, 37–47. [Google Scholar] [CrossRef]
- Abed, M.; de Brito, J. Evaluation of high-performance self-compacting concrete using alternative materials and exposed to elevated temperatures by non-destructive testing. J. Build. Eng. 2020, 32, 101720. [Google Scholar] [CrossRef]






















| Material | Young Modulus (GPa) | Density (kg/m3) | Poisson’s Ratio |
|---|---|---|---|
| Cement | 21.9 | 2050.3 | 0.279 |
| Fine Aggregate | 26.59 | 1472 | 0.24 |
| Coarse Aggregate | 23.49 | 1434 | 0.13 |
| Compressive Strength (MPa) | |||||||
|---|---|---|---|---|---|---|---|
| Concrete | CBC | ||||||
| Rubber Fly Ash | Brick Powder | PET Bottle | |||||
| Temperature (°C)/ Urban Residues Proportion (%) | - | 10 | 15 | 10 | 15 | 10 | 15 |
| 27 (ambient) | 19.51 | 18.64 | 18.2 | 19.33 | 19.11 | 18.68 | 18.64 |
| 200 | 18.44 | 18.2 | 17.9 | 18.4 | 17.96 | 17.4 | 17.11 |
| 400 | 15.24 | 15.62 | 15.55 | 15.11 | 15.02 | 16.78 | 16.63 |
| 600 | 10.78 | 11.01 | 10.66 | 10.66 | 9.99 | 13.21 | 13.11 |
| 800 | 6.11 | 7.9 | 7.3 | 6.2 | 5.86 | 12.99 | 11.87 |
| 1 h in DF | 5.77 | 7.11 | 6.98 | 5.76 | 5.11 | 9.66 | 8.96 |
| Young’s Modulus MoE (MPa) | ||
|---|---|---|
| Temperature (°C) | Concrete | CBC-PET10 |
| 27 (ambient) | 1,4941.75 | 1,4489.80 |
| 200 | 5311.78 | 5113.20 |
| 400 | 2803.67 | 3276.07 |
| 600 | 1773.64 | 2378.92 |
| 800 | 782.349 | 2182.86 |
| 1 h in DF | 756.99 | 2101.76 |
Publisher’s Note: MDPI stays neutral with regard to jurisdictional claims in published maps and institutional affiliations. |
© 2020 by the authors. Licensee MDPI, Basel, Switzerland. This article is an open access article distributed under the terms and conditions of the Creative Commons Attribution (CC BY) license (http://creativecommons.org/licenses/by/4.0/).
Share and Cite
Vedrtnam, A.; Bedon, C.; Barluenga, G. Study on the Compressive Behaviour of Sustainable Cement-Based Composites under One-Hour of Direct Flame Exposure. Sustainability 2020, 12, 10548. https://doi.org/10.3390/su122410548
Vedrtnam A, Bedon C, Barluenga G. Study on the Compressive Behaviour of Sustainable Cement-Based Composites under One-Hour of Direct Flame Exposure. Sustainability. 2020; 12(24):10548. https://doi.org/10.3390/su122410548
Chicago/Turabian StyleVedrtnam, Ajitanshu, Chiara Bedon, and Gonzalo Barluenga. 2020. "Study on the Compressive Behaviour of Sustainable Cement-Based Composites under One-Hour of Direct Flame Exposure" Sustainability 12, no. 24: 10548. https://doi.org/10.3390/su122410548
APA StyleVedrtnam, A., Bedon, C., & Barluenga, G. (2020). Study on the Compressive Behaviour of Sustainable Cement-Based Composites under One-Hour of Direct Flame Exposure. Sustainability, 12(24), 10548. https://doi.org/10.3390/su122410548

