Reinforcing Effect of Polypropylene Waste Strips on Compacted Lateritic Soils
Abstract
1. Introduction
2. Materials and Methods
3. Results and Discussion
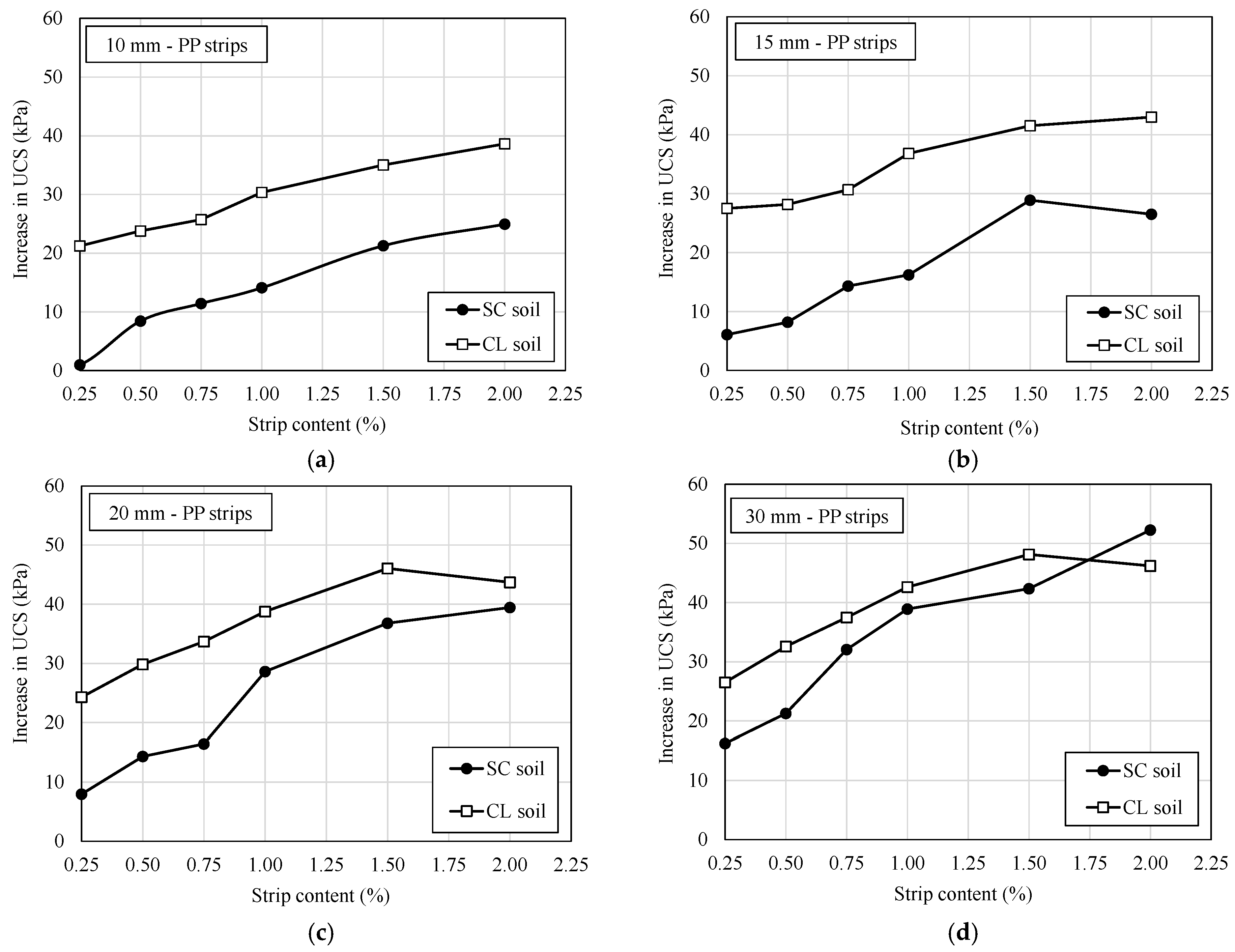
3.1. Influence of PP Strips on Soil Unconfined Compression Strength (UCS)
3.2. Influence of PP Strips on Drained Shear Strength
3.3. Influence of PP Strips on Soil CBR
4. Conclusions
- The use of PP strips as reinforcements in both SC and CL lateritic soils led to an increase in UCS, as well as a clear influence of PP strip length on the soil stiffness. The use of PP strips contributed to a change in soil failure from a brittle to a ductile mode;
- The UCS results revealed an optimum combination of PP strip content and strip length: SC soil and 2% PP and 30 mm in length and CL soil with 1.5% PP and 30 mm in length. The SC soil had a higher increase in UCS for increasing strip content and strip length, indicating that the soil friction is mobilized before strip mobilization. For the CL soil, low strip contents led to a significant increase in UCS regardless of the strip length. Statistical analysis conducted showed that strip content has a greater effect on the UCS than the strip length for both soils evaluated;
- The compaction water content had an important effect on the UCS of both soils, although opposite effects were observed in the UCS for both soils when increasing and decreasing the compaction water content by +2% and −2% from the optimal value;
- Results from direct shear tests indicate that PP strip–SC soil showed an increase in both apparent cohesion and friction angle, while PP strip–CL soil presented a higher friction angle and no change in apparent cohesion;
- California bearing ratio (CBR) tests indicate that SC soil was highly influenced by plastic strips and experienced a 70% increase in CBR after reinforcement. On the other hand, the CBR of the CL soil was not affected by the addition of plastic strips.
Author Contributions
Funding
Acknowledgments
Conflicts of Interest
References
- United Nations General Assembly. Transforming our World: The 2030 Agenda for Sustainable Development; United Nations General Assembly: New York, NY, USA, 2015; pp. 1–35. [Google Scholar]
- Luwalaga, J.G. Analysing the Behaviour of Soil Reinforced with Polyethylene. Ph.D. Thesis, Stellenbosch University, Stellenbosch, Stellenbosch, South Africa, 2016. [Google Scholar]
- Hataf, N.; Rahimi, M.M. Experimental investigation of bearing capacity of sand reinforced with randomly distributed tire shreds. Constr. Build. Mater. 2006, 20, 910–916. [Google Scholar] [CrossRef]
- Özkul, Z.H.; Baykal, G. Shear behavior of compacted rubber fiber-clay composite in drained and undrained loading. J. Geotech. Geoenviron. Eng. 2007, 133, 767–781. [Google Scholar] [CrossRef]
- Yoon, Y.W.; Heo, S.B.; Kim, K.S. Geotechnical performance of waste tires for soil reinforcement from chamber tests. Geotext. Geomembr. 2008, 26, 100–107. [Google Scholar] [CrossRef]
- Soltani, A.; Deng, A.; Taheri, A.; Mirzababaei, M.; Nikraz, H. Interfacial shear strength of rubber-reinforced clays: A dimensional analysis perspective. Geosynth. Int. 2019, 26, 164–183. [Google Scholar] [CrossRef]
- Indraratna, B.; Qi, Y.; Heitor, A. Evaluating the properties of mixtures of steel furnace slag, coal wash, and rubber crumbs used as subballast. J. Mater. Civ. Eng. 2018, 30, 04017251. [Google Scholar] [CrossRef]
- Qi, Y.; Indraratna, B.; Vinod, J.S. Behavior of steel furnace slag, coal wash, and rubber crumb mixtures with special relevance to stress–dilatancy relation. J. Mater. Civ. Eng. 2018, 30, 04018276. [Google Scholar] [CrossRef]
- Qi, Y.; Indraratna, B.; Coop, M.R. Predicted behavior of saturated granular waste blended with rubber crumbs. Int. J. Geomech. 2019, 19, 04019079. [Google Scholar] [CrossRef]
- Qi, Y.; Indraratna, B. Energy-based approach to assess the performance of a granular matrix consisting of recycled rubber, steel-furnace slag, and coal wash. J. Mater. Civ. Eng. 2020, 32, 04020169. [Google Scholar] [CrossRef]
- Ziegler, S.; Leshchinsky, D.; Ling, H.I.; Perry, E.B. Effect of short polymeric fibers on crack development in clays. Soils Found. 1998, 38, 247–253. [Google Scholar] [CrossRef]
- Tang, C.; Shi, B.; Gao, W.; Chen, F.; Cai, Y. Strength and mechanical behavior of short polypropylene fiber reinforced and cement stabilized clayey soil. Geotext. Geomembr. 2007, 25, 194–202. [Google Scholar] [CrossRef]
- Shukla, S.K.; Sivakugan, N.; Das, B.M. Fundamental concepts of soil reinforcement—An overview. Int. J. Geotech. Eng. 2009, 3, 329–342. [Google Scholar] [CrossRef]
- Shukla, S.K. Fundamentals of Fibre—Reinforced Soil Engineering; Springer: Singapore, 2017; ISBN 978-981-10-3061-1. [Google Scholar]
- Ehrlich, M.; Almeida, S.; Curcio, D.; Almeida, M.S.S.; Curcio, D.; Almeida, S.; Curcio, D.; Almeida, M.S.S.; Curcio, D.; Almeida, S.; et al. Hydro-mechanical behavior of a lateritic fiber-soil composite as a waste containment liner. Geotext. Geomembr. 2019, 47, 42–47. [Google Scholar] [CrossRef]
- Consoli, N.C.; Thomé, A.; Girardello, V.; Ruver, C.A. Uplift behavior of plates embedded in fiber-reinforced cement stabilized backfill. Geotext. Geomembr. 2012, 35, 107–111. [Google Scholar] [CrossRef]
- Sivakumar Babu, G.L.; Chouksey, S.K. Stress-strain response of plastic waste mixed soil. Waste Manag. 2011, 31, 481–488. [Google Scholar] [CrossRef]
- Botero, E.; Ossa, A.; Sherwell, G.; Ovando-Shelley, E. Stress-strain behavior of a silty soil reinforced with polyethylene terephthalate (PET). Geotext. Geomembr. 2015, 43, 363–369. [Google Scholar] [CrossRef]
- Wu, H.; Huang, B.; Shu, X.; Zhao, S. Evaluation of geogrid reinforcement effects on unbound granular pavement base courses using loaded wheel tester. Geotext. Geomembr. 2015, 43, 462–469. [Google Scholar] [CrossRef]
- Zhao, J.J.; Lee, M.L.; Lim, S.K.; Tanaka, Y. Unconfined compressive strength of PET waste-mixed residual soils. Geomech. Eng. 2015, 8, 53–66. [Google Scholar] [CrossRef]
- Louzada, N.D.S.L.; Malko, J.A.C.; Casagrande, M.D.T. Behavior of clayey soil reinforced with polyethylene terephthalate. J. Mater. Civ. Eng. 2019, 31, 1–11. [Google Scholar] [CrossRef]
- Cai, Y.; Shi, B.; Ng, C.W.W.; Tang, C. sheng Effect of polypropylene fibre and lime admixture on engineering properties of clayey soil. Eng. Geol. 2006, 87, 230–240. [Google Scholar] [CrossRef]
- Plé, O.; Lê, T.N.H.H. Effect of polypropylene fiber-reinforcement on the mechanical behavior of silty clay. Geotext. Geomembr. 2012, 32, 111–116. [Google Scholar] [CrossRef]
- Anagnostopoulos, C.A.; Papaliangas, T.T.; Konstantinidis, D.; Patronis, C. Shear strength of sands reinforced with polypropylene fibers. Geotech. Geol. Eng. 2013, 31, 401–423. [Google Scholar] [CrossRef]
- Correia, A.A.S.; Venda Oliveira, P.J.; Custódio, D.G. Effect of polypropylene fibres on the compressive and tensile strength of a soft soil, artificially stabilised with binders. Geotext. Geomembr. 2015, 43, 97–106. [Google Scholar] [CrossRef]
- Claria, J.J.; Vettorelo, P.V. Mechanical behavior of loose sand reinforced with synthetic fibers. Soil Mech. Found. Eng. 2016, 53, 12–18. [Google Scholar] [CrossRef]
- Nguyen, L.; Fatahi, B.; Khabbaz, H. Predicting the behaviour of fibre reinforced cement treated clay. Procedia Eng. 2016, 143, 153–160. [Google Scholar] [CrossRef][Green Version]
- Mirzababaei, M.; Mohamed, M.; Miraftab, M. Analysis of strip footings on fiber-reinforced slopes with the aid of particle image velocimetry. J. Mater. Civ. Eng. 2017. [Google Scholar] [CrossRef]
- Sivakumar Babu, G.L.; Vasudevan, A.K.; Haldar, S. Numerical simulation of fiber-reinforced sand behavior. Geotext. Geomembr. 2008, 26, 181–188. [Google Scholar] [CrossRef]
- Chebet, F.C.; Kalumba, D. Laboratory investigation on re-using polyethylene (plastic) bag waste material for soil reinforcement in geotechnical engineering. Civ. Eng. Urban Plan. 2014, 1, 1–16. [Google Scholar]
- Soltani-Jigheh, H. Undrained behavior of clay—Plastic waste mixtures. In Proceedings of the 11th International Congress on Advances in Civil Engineering, Istanbul, Turkey, 21–25 October 2014. [Google Scholar]
- Peddaiah, S.; Burman, A.; Sreedeep, S. Experimental study on effect of waste plastic bottle strips in soil improvement. Geotech. Geol. Eng. 2018, 36, 2907–2920. [Google Scholar] [CrossRef]
- Fathi, H.; Jamshidi Chenari, R.; Vafaeian, M. Shaking table study on PET strips-sand mixtures using laminar box modelling. Geotech. Geol. Eng. 2020, 38, 683–694. [Google Scholar] [CrossRef]
- Onyelowe, K.C.; Bui Van, D.; Ubachukwu, O.; Ezugwu, C.; Salahudeen, B.; Nguyen Van, M.; Ikeagwuani, C.; Amhadi, T.; Sosa, F.; Wu, W.; et al. Recycling and reuse of solid wastes; a hub for ecofriendly, ecoefficient and sustainable soil, concrete, wastewater and pavement reengineering. Int. J. Low-Carbon Technol. 2019, 14, 440–451. [Google Scholar] [CrossRef]
- ASTM D7928-17. Standard Test Method for Particle-Size Distribution (Gradation) of Fine-Grained Soils Using the Sedimentation (Hydrometer) Analysis; ASTM: West Conshohocken, PA, USA, 2017; pp. 1–25.
- ASTM D2487-17. Standard Practice for Classification of Soils for Engineering Purposes (Unified Soil Classification System); ASTM: West Conshohocken, PA, USA, 2017; pp. 1–10.
- ASTM D3282-15. Standard Practice for Classification of Soils and Soil-Aggregate Mixtures for Highway Construction Purposes; ASTM: West Conshohocken, PA, USA, 2015; pp. 1–7.
- ASTM D854-14. Standard Test Methods for Specific Gravity of Soil Solids by Water Pycnometer; ASTM: West Conshohocken, PA, USA, 2014; pp. 1–7.
- ASTM D698-12e12. Standard Test Methods for Laboratory Compaction Characteristics of Soil Using Standard Effort (12 400 ft-lbf/ft3 (600 kN-m/m3)); ASTM: West Conshohocken, PA, USA, 2012; pp. 1–13.
- ASTM D4318-17e1. Standard Test Methods for Liquid Limit, Plastic Limit, and Plasticity Index of Soils; ASTM: West Conshohocken, PA, USA, 2017; Volume 04.08, pp. 1–14.
- Van Genuchten, M.T. A Closed-form equation for predicting the hydraulic conductivity of unsaturated soils. Soil Sci. Soc. Am. J. 1980, 44, 892–898. [Google Scholar] [CrossRef]
- Benatti, J.C.B.; Rodrigues, R.A.; Miguel, M.G. Aspects of mechanical behavior and modeling of a tropical unsaturated soil. Geotech. Geol. Eng. 2013, 31, 1569–1585. [Google Scholar] [CrossRef]
- Falorca, I.M.C.F.G.; Pinto, M.I.M. Effect of short, randomly distributed polypropylene microfibres on shear strength behaviour of soils. Geosynth. Int. 2011, 18, 2–11. [Google Scholar] [CrossRef]
- ASTM D2166. Standard Test Method for Unconfined Compressive Strength of Cohesive Soil; ASTM: West Conshohocken, PA, USA, 2016.
- ASTM Standard D3080/D3080M-11. Direct Shear Test of Soils Under Consolidated Drained Conditions; ASTM: West Conshohocken, PA, USA, 2012; pp. 1–9.
- ASTM D1883. Standard Test Method for California Bearing Ratio (CBR) of Laboratory-Compacted; ASTM: West Conshohocken, PA, USA, 1999.
- Heineck, K.S.; Coop, M.R.; Consoli, N.C. Effect of microreinforcement of soils from very small to large shear strains. J. Geotech. Geoenvironmental Eng. 2005, 131, 1024–1033. [Google Scholar] [CrossRef]
- Santoni, B.R.L.; Tingle, J.S.; Members, A.; Webster, S.L. Engineering properties of sand-fiber mixtures for road construction. J. Geotech. Geoenviron. Eng. 2001, 258–268. [Google Scholar] [CrossRef]
- Kumar, P.; Singh, S.P. Fiber-reinforced fly ash subbases in rural roads. J. Transp. Eng. 2008, 134, 171–180. [Google Scholar] [CrossRef]
- Zaimoglu, A.S.; Yetimoglu, T. Strength behavior of fine grained soil reinforced with randomly distributed polypropylene fibers. Geotech. Geol. Eng. 2012, 30, 197–203. [Google Scholar] [CrossRef]
- Yetimoglu, T.; Salbas, O. A study on shear strength of sands reinforced with randomly distributed discrete fibers. Geotext. Geomembr. 2003, 21, 103–110. [Google Scholar] [CrossRef]
- Lovisa, J.; Shukla, S.K.; Sivakugan, N. Behaviour of prestressed geotextile-reinforced sand bed supporting a loaded circular footing. Geotext. Geomembr. 2010, 28, 23–32. [Google Scholar] [CrossRef]
- Tang, C.-S.S.; Shi, B.; Zhao, L.-Z.Z. Interfacial shear strength of fiber reinforced soil. Geotext. Geomembr. 2010, 28, 54–62. [Google Scholar] [CrossRef]
- Li, J.; Tang, C.; Wang, D.; Pei, X.; Shi, B. Effect of discrete fibre reinforcement on soil tensile strength. J. Rock Mech. Geotech. Eng. 2014, 6, 133–137. [Google Scholar] [CrossRef]
- Fletcher, C.S.; Humphries, W.K. California bearing ratio improvement of remolded soils by the addition of polypropylene fiber reinforcement. Transp. Res. Rec. 1991, 80–86. [Google Scholar]
- Yetimoglu, T.; Inanir, M.; Inanir, O.E. A study on bearing capacity of randomly distributed fiber-reinforced sand fills overlying soft clay. Geotext. Geomembr. 2005, 23, 174–183. [Google Scholar] [CrossRef]
- Chandra, S.; Viladkar, M.N.; Nagrale, P.P. Mechanistic approach for fiber-reinforced flexible pavements. J. Transp. Eng. 2008, 134, 15–23. [Google Scholar] [CrossRef]
- Pradhan, P.K.; Kar, R.K.; Naik, A. Effect of random inclusion of polypropylene fibers on strength characteristics of cohesive soil. Geotech. Geol. Eng. 2012, 30, 15–25. [Google Scholar] [CrossRef]
- Zuzulova, A.; Hodakova, D.; Capayova, S.; Schlosser, T. Design of pavement structures in tunnels. In Proceedings of the 19th International Multidisciplinary Scientific GeoConference SGEM 2019, Sofia, Bulgaria, 30 June–6 July 2019. [Google Scholar]












| Property Value | Clayey Sand | Clay | Specification |
|---|---|---|---|
| Soil classification (USCS) | SC | CL | ASTM D2487 [36] |
| HRB classification | A-2-4 | A-6 | ASTM D3282 [37] |
| Percent sand (%) | 80 | 8 | ASTM D7928 [35] |
| Percent fines (<0.074 mm) (%) | 20 | 92 | |
| Specific gravity, Gs | 2.65 | 2.69 | ASTM D854 [38] |
| Maximum dry unit weight (kN/m3) | 19.50 | 18.4 | ASTM D698 [39] |
| Optimum water content (%) | 10.6 | 16.1 | |
| Liquid limit | 16 | 34 | ASTM D4318 [40] |
| Plasticity limit | NP | 23 | |
| Plasticity index | NP | 11 |
| Soil | Stretch | α (kPa−1) | m | n | wr (%) | ws (%) | R-Squared |
|---|---|---|---|---|---|---|---|
| Sandy | 1 | 0.1520 | 0.6977 | 2.4762 | 11.2 | 16.5 | 0.996 |
| 2 | 0.0001 | 1.4349 | 1.1890 | 0.0 | 11.3 | 0.976 | |
| Clayey | 1 | 0.0669 | 0.3421 | 1.8113 | 21.4 | 29.0 | 0.985 |
| 2 | 0.0003 | 0.4974 | 2.4974 | 3.00 | 22.6 | 0.976 |
| Soil Type | PP Strip Content (%) | PP Strip Length (mm) | Effective Friction Angle (Degrees) | Increase in Effective Friction (%) | Apparent Cohesion (kPa) | Increase in Apparent Cohesion (%) |
|---|---|---|---|---|---|---|
| SC | 0.0 | 30 | 31.4 | NA | 11.7 | NA |
| SC | 2.0 | 30 | 35.8 | 1.18 | 26.5 | 2.26 |
| CL | 0.0 | 30 | 33.1 | NA | 56 | NA |
| CL | 1.5 | 30 | 43.8 | 1.47 | 64.8 | 0.86 |
Publisher’s Note: MDPI stays neutral with regard to jurisdictional claims in published maps and institutional affiliations. |
© 2020 by the authors. Licensee MDPI, Basel, Switzerland. This article is an open access article distributed under the terms and conditions of the Creative Commons Attribution (CC BY) license (http://creativecommons.org/licenses/by/4.0/).
Share and Cite
Marçal, R.; Lodi, P.C.; Correia, N.d.S.; Giacheti, H.L.; Rodrigues, R.A.; McCartney, J.S. Reinforcing Effect of Polypropylene Waste Strips on Compacted Lateritic Soils. Sustainability 2020, 12, 9572. https://doi.org/10.3390/su12229572
Marçal R, Lodi PC, Correia NdS, Giacheti HL, Rodrigues RA, McCartney JS. Reinforcing Effect of Polypropylene Waste Strips on Compacted Lateritic Soils. Sustainability. 2020; 12(22):9572. https://doi.org/10.3390/su12229572
Chicago/Turabian StyleMarçal, Régis, Paulo César Lodi, Natália de Souza Correia, Heraldo Luiz Giacheti, Roger Augusto Rodrigues, and John S. McCartney. 2020. "Reinforcing Effect of Polypropylene Waste Strips on Compacted Lateritic Soils" Sustainability 12, no. 22: 9572. https://doi.org/10.3390/su12229572
APA StyleMarçal, R., Lodi, P. C., Correia, N. d. S., Giacheti, H. L., Rodrigues, R. A., & McCartney, J. S. (2020). Reinforcing Effect of Polypropylene Waste Strips on Compacted Lateritic Soils. Sustainability, 12(22), 9572. https://doi.org/10.3390/su12229572

