Enhanced Plant Restoration in Open-Pit Mines Using Maize Straw and Ultrasonically Pre-Treated Coal Fly Ash
Abstract
1. Introduction
2. Materials and Methods
2.1. Materials
2.1.1. Soil Sample Collection and Characteristics of Experimental Soil
2.1.2. Soil Amendments
2.2. Lab Experiments
2.2.1. Ultrasonic Pre-Treatment of Coal Fly Ash
2.2.2. Seed Germination Experiments with Petri Dishes
2.2.3. Plant Growth Experiments
2.2.4. Physiological Attributes of the Maize Plant
2.2.5. Chlorophyll and Trace Element Concentration
3. Results and Discussion
3.1. Effect of MSLs on Plant Growth
3.2. Effect of MSLs + UCFA on Physiological Attributes of Maize Plants
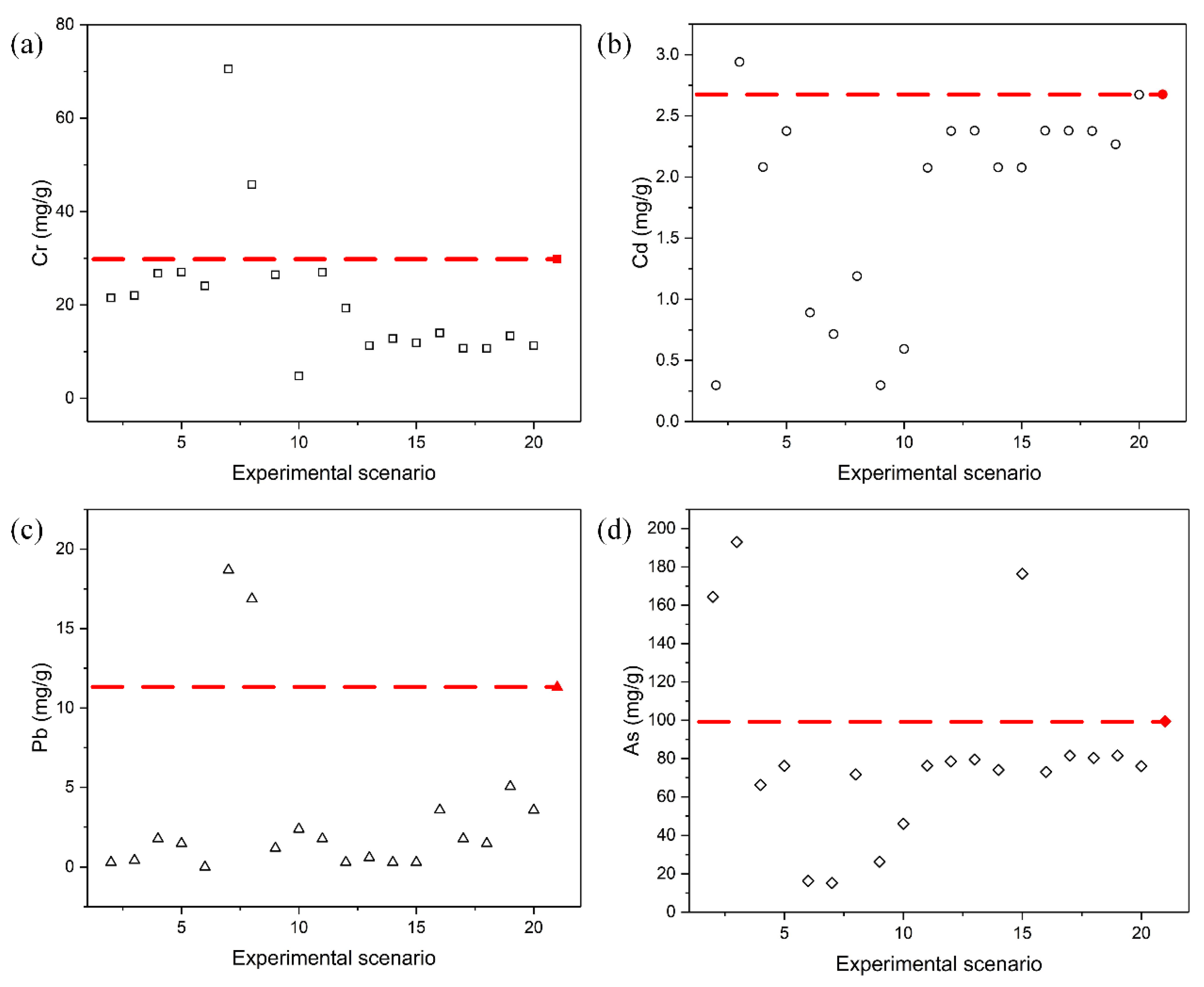
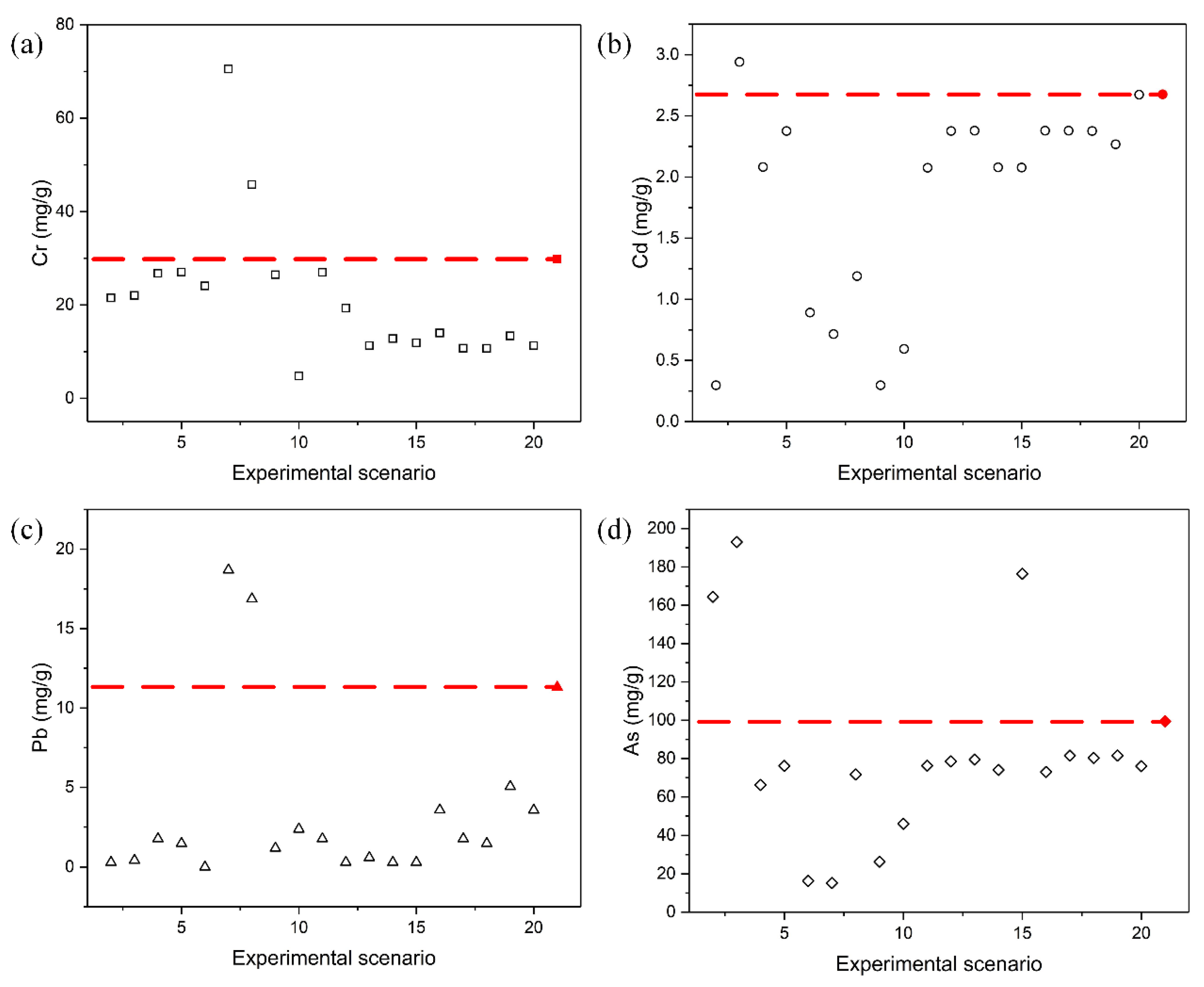
3.3. Effect of MSLs + UCFA on Chlorophyll and Trace Element Concentration of Maize Plants
3.4. Optimum Mixture Determination and Industrial Application
4. Conclusions
- The MSLs concentration had a significant influence on the physiological attributes and chlorophyll of maize, alfalfa, and soybean. The increase of the MSLs concentration from 0% to 20% benefited plant growth. However, the physiological attributes and chlorophyll decreased when the MSLs concentration was further increased from 20% to 50%.
- In terms of the physiological attributes of maize plants, the mixture of MSLs + UCFA with soil would benefit maize growth in most cases. Too much UCFA was found to suppress the maize growth. The UCFA proportion should be less than 20 v.% and the soil proportion should be between 70 v.% and 90 v.%
- Generally speaking, the chlorophyll was increased and the trace element concentrations were decreased after mixing soil with MSLs and UCFA, which further implies the feasibility of soil amelioration using MSLs and UCFA.
- Based on the maize growth experiments, the optimum mixture proportions were determined to be soil:UCFA:MSLs = 70:20:10 and soil:UCFA:MSLs = 60:20:20.
Author Contributions
Funding
Conflicts of Interest
Nomenclature
| CFA | Coal fly ash |
| DW | Dried weight |
| FW | Fresh weight |
| GR | Germinative rate |
| GF | Germinative force |
| MSLs | Maize straw leachates |
| RDS | Refuse dump soil |
| RIV | Risk intervention value |
| RL | Root length |
| RSV | Risk screening value |
| SL | Sprout length |
| UCFA | Ultrasonic pre-treated coal fly ash |
References
- Jambhulkar, H.P.; Kumar, M.S. Eco-restoration approach for mine spoil overburden dump through biotechnological route. Environ. Monit. Assess. 2019, 191, 772. [Google Scholar] [CrossRef]
- Qi, C. Big data management in the mining industry. Int. J. Miner. Metall. Mater. 2020, 27, 131–139. [Google Scholar] [CrossRef]
- Audet, P.; Arnold, S.; Lechner, A.M.; Baumgartl, T. Site-specific climate analysis elucidates revegetation challenges for post-mining landscapes in eastern Australia. Biogeosciences 2013, 10, 6545–6557. [Google Scholar] [CrossRef]
- Doley, D.; Audet, P.; Mulligan, D.R. Examining the Australian context for post-mined land rehabilitation: Reconciling a paradigm for the development of natural and novel ecosystems among post-disturbance landscapes. Agric. Ecosyst. Environ. 2012, 163, 85–93. [Google Scholar] [CrossRef]
- Doley, D.; Audet, P. Adopting novel ecosystems as suitable rehabilitation alternatives for former mine sites. Ecol. Process. 2013, 2, 22. [Google Scholar] [CrossRef]
- Ngugi, M.R.; Neldner, V.J.; Doley, D.; Kusy, B.; Moore, D.; Richter, C. Soil moisture dynamics and restoration of self-sustaining native vegetation ecosystem on an open-cut coal mine. Restor. Ecol. 2015, 23, 615–624. [Google Scholar] [CrossRef]
- Holl, K.D. Long-term vegetation recovery on reclaimed coal surface mines in the eastern USA. J. Appl. Ecol. 2002, 39, 960–970. [Google Scholar] [CrossRef]
- Wang, Z.; Lechner, A.M.; Yang, Y.; Baumgartl, T.; Wu, J. Mapping the cumulative impacts of long-term mining disturbance and progressive rehabilitation on ecosystem services. Sci. Total Environ. 2020, 717, 137214. [Google Scholar] [CrossRef] [PubMed]
- Deng, J.; Bai, X.; Zhou, Y.; Zhu, W.; Yin, Y. Variations of soil microbial communities accompanied by different vegetation restoration in an open-cut iron mining area. Sci. Total Environ. 2020, 704, 135243. [Google Scholar] [CrossRef]
- Michieka, N.M. Energy and the Environment: The Relationship Between Coal Production and the Environment in China. Nat. Resour. Res. 2014, 23, 285–298. [Google Scholar] [CrossRef]
- Talento, K.; Amado, M.; Kullberg, J.C. The Reuse of Waste Heaps from Extraction Sites: An Architectural Methodology. Sustainability 2020, 12, 6548. [Google Scholar] [CrossRef]
- Mabey, P.T.; Li, W.; Sundufu, A.J.; Lashari, A.H. Environmental Impacts: Local Perspectives of Selected Mining Edge Communities in Sierra Leone. Sustainability 2020, 12, 5525. [Google Scholar] [CrossRef]
- Kramer, P.A.; Zabowski, D.; Scherer, G.; Everett, R.L. Native Plant Restoration of Copper Mine Tailings: I. Substrate Effect on Growth and Nutritional Status in a Greenhouse Study. J. Environ. Qual. 2000, 29, 1762–1769. [Google Scholar] [CrossRef]
- Bendell, L.I. Trace metal depositional patterns from an open pit mining activity as revealed by archived avian gizzard contents. Sci. Total Environ. 2011, 409, 1193–1197. [Google Scholar] [CrossRef] [PubMed]
- Johnson, M.S.; Putwain, P.D. Restoration of native biotic communities on land disturbed by metalliferous mining. Miner. Environ. 1981, 3, 67–85. [Google Scholar] [CrossRef]
- Shaaban, M.; Van Zwieten, L.; Bashir, S.; Younas, A.; Núñez-Delgado, A.; Chhajro, M.A.; Kubar, K.A.; Ali, U.; Rana, M.S.; Mehmood, M.A.; et al. A concise review of biochar application to agricultural soils to improve soil conditions and fight pollution. J. Environ. Manag. 2018, 228, 429–440. [Google Scholar] [CrossRef]
- Mushtaq, F.; Zahid, M.; Bhatti, I.A.; Nasir, S.; Hussain, T. Possible applications of coal fly ash in wastewater treatment. J. Environ. Manag. 2019, 240, 27–46. [Google Scholar] [CrossRef] [PubMed]
- Mahedi, M.; Cetin, B.; Dayioglu, A.Y. Effect of cement incorporation on the leaching characteristics of elements from fly ash and slag treated soils. J. Environ. Manag. 2020, 253, 109720. [Google Scholar] [CrossRef]
- Antonkiewicz, J.; Popławska, A.; Kołodziej, B.; Ciarkowska, K.; Gambuś, F.; Bryk, M.; Babula, J. Application of ash and municipal sewage sludge as macronutrient sources in sustainable plant biomass production. J. Environ. Manag. 2020, 264, 110450. [Google Scholar] [CrossRef]
- Yao, Z.T.; Ji, X.S.; Sarker, P.K.; Tang, J.H.; Ge, L.Q.; Xia, M.S.; Xi, Y.Q. A comprehensive review on the applications of coal fly ash. Earth-Sci. Rev. 2015, 141, 105–121. [Google Scholar] [CrossRef]
- Rivera, R.A.; Sanjuán, M.Á.; Martín, D.A. Granulated Blast-Furnace Slag and Coal Fly Ash Ternary Portland Cements Optimization. Sustainability 2020, 12, 5783. [Google Scholar] [CrossRef]
- Ou, Y.; Ma, S.; Zhou, X.; Wang, X.; Shi, J.; Zhang, Y. The Effect of a Fly Ash-Based Soil Conditioner on Corn and Wheat Yield and Risk Analysis of Heavy Metal Contamination. Sustainability 2020, 12, 7281. [Google Scholar] [CrossRef]
- Cho, H.; Oh, D.; Kim, K. A study on removal characteristics of heavy metals from aqueous solution by fly ash. J. Hazard. Mater. 2005, 127, 187–195. [Google Scholar] [CrossRef]
- Ram, L.C.; Srivastava, N.K.; Jha, S.K.; Sinha, A.K.; Masto, R.E.; Selvi, V.A. Management of Lignite Fly Ash for Improving Soil Fertility and Crop Productivity. Environ. Manag. 2007, 40, 438–452. [Google Scholar] [CrossRef]
- Pandey, V.C.; Singh, N. Impact of fly ash incorporation in soil systems. Agric. Ecosyst. Environ. 2010, 136, 16–27. [Google Scholar] [CrossRef]
- Shaheen, S.M.; Hooda, P.S.; Tsadilas, C.D. Opportunities and challenges in the use of coal fly ash for soil improvements–A review. J. Environ. Manag. 2014, 145, 249–267. [Google Scholar] [CrossRef]
- Belyaeva, O.N.; Haynes, R.J. Comparison of the effects of conventional organic amendments and biochar on the chemical, physical and microbial properties of coal fly ash as a plant growth medium. Environ. Earth Sci. 2012, 66, 1987–1997. [Google Scholar] [CrossRef]
- Lian, F.; Cui, G.; Liu, Z.; Duo, L.; Zhang, G.; Xing, B. One-step synthesis of a novel N-doped microporous biochar derived from crop straws with high dye adsorption capacity. J. Environ. Manag. 2016, 176, 61–68. [Google Scholar] [CrossRef] [PubMed]
- Shu, R.; Dang, F.; Zhong, H. Effects of incorporating differently-treated rice straw on phytoavailability of methylmercury in soil. Chemosphere 2016, 145, 457–463. [Google Scholar] [CrossRef] [PubMed]
- Rizwan, M.S.; Imtiaz, M.; Chhajro, M.A.; Huang, G.; Fu, Q.; Zhu, J.; Aziz, O.; Hu, H. Influence of pyrolytic and non-pyrolytic rice and castor straws on the immobilization of Pb and Cu in contaminated soil. Environ. Technol. 2016, 37, 2679–2686. [Google Scholar] [CrossRef] [PubMed]
- Shu, Y.; Zhang, Y.; Zeng, H.; Zhang, Y.; Wang, J. Effects of Cry1Ab Bt maize straw return on bacterial community of earthworm Eisenia fetida. Chemosphere 2017, 173, 1–13. [Google Scholar] [CrossRef]
- Wu, A.; Wang, Y.; Wang, H.; Yin, S.; Miao, X. Coupled effects of cement type and water quality on the properties of cemented paste backfill. Int. J. Miner. Process. 2015, 143, 65–71. [Google Scholar] [CrossRef]
- Parab, N.; Sinha, S.; Mishra, S. Coal fly ash amendment in acidic field: Effect on soil microbial activity and onion yield. Appl. Soil Ecol. 2015, 96, 211–216. [Google Scholar] [CrossRef]
- Yukselen, Y.; Kaya, A. Suitability of the methylene blue test for surface area, cation exchange capacity and swell potential determination of clayey soils. Eng. Geol. 2008, 102, 38–45. [Google Scholar] [CrossRef]
- Zhou, W.; Lu, X.; Qi, C.; Yang, M. Utilisation of ultrasonic treatment to improve the soil amelioration property of coal fly ash. J. Environ. Manag. 2020, 276, 111311. [Google Scholar] [CrossRef]
- Zheng, Z.; Wang, Z.; Wang, X.; Liu, D. Blue Light-Triggered Chemical Reactions Underlie Phosphate Deficiency-Induced Inhibition of Root Elongation of Arabidopsis Seedlings Grown in Petri Dishes. Mol. Plant 2019, 12, 1515–1523. [Google Scholar] [CrossRef]
- Molnárová, M.; Šmelková, M.; Fargašová, A. Assessment of the Suitability of Phytotoxkit Plastic Vertical Containers Compared with Petri Dishes for Standard Seedling Growth Tests. Bull. Environ. Contam. Toxicol. 2014, 92, 497–501. [Google Scholar] [CrossRef]
- Jiang, M.; Wang, J.; Rui, M.; Yang, L.; Shen, J.; Chu, H.; Song, S.; Chen, Y. OsFTIP7 determines metallic oxide nanoparticles response and tolerance by regulating auxin biosynthesis in rice. J. Hazard. Mater. 2021, 403, 123946. [Google Scholar] [CrossRef]
- Pehlivan, N.; Gedik, K.; Eltem, R.; Terzi, E. Dynamic interactions of Trichoderma harzianum TS 143 from an old mining site in Turkey for potent metal(oid)s phytoextraction and bioenergy crop farming. J. Hazard. Mater. 2021, 403, 123609. [Google Scholar] [CrossRef]
- Aghamirlou, H.M.; Khadem, M.; Rahmani, A.; Sadeghian, M.; Mahvi, A.H.; Akbarzadeh, A.; Nazmara, S. Heavy metals determination in honey samples using inductively coupled plasma-optical emission spectrometry. J. Environ. Health Sci. Eng. 2015, 13, 39. [Google Scholar] [CrossRef] [PubMed]
- Francisco, B.B.A.; Rocha, A.A.; Grinberg, P.; Sturgeon, R.E.; Cassella, R.J. Determination of inorganic mercury in petroleum production water by inductively coupled plasma optical emission spectrometry following photochemical vapor generation. J. Anal. At. Spectrom. 2016, 31, 751–758. [Google Scholar] [CrossRef]
- Chen, M. Chlorophyll Modifications and Their Spectral Extension in Oxygenic Photosynthesis. Annu. Rev. Biochem. 2014, 83, 317–340. [Google Scholar] [CrossRef]












| Parameter | Soil |
|---|---|
| Bulk density (g/cm3) | 1.65 ± 0.04 |
| pH | 8.5 ± 0.26 |
| Specific surface area (m2/g) | 3.48 ± 0.07 |
| Electrical conductivity (uS/cm) | 873 ± 50.42 |
| D50 (µm) a | 36.37 ± 0.06 |
| Cu b | 17.38 ± 0.38 |
| Cc c | 0.70 ± 0.01 |
| α-SiO2 | 64.5% ± 5.7% |
| γ-Fe | 35.5% ± 4.1% |
| Parameter | CFA | Parameter | CFA |
|---|---|---|---|
| Bulk density (g/cm3) | 1.06 ± 0.02 | β-SiO2 | 9.7% ± 1.05% |
| pH | 10.2 ± 0.83 | Al2O3 | 11.5% ± 0.82% |
| Specific surface area (m2/g) | 41.28 ± 2.19 | Si | 9.23% ± 0.79% |
| Electrical conductivity (uS/cm) | 820 ± 49.15 | Al | 5.45% ± 0.62% |
| D50 (µm) a | 32.23 ± 5.49 | Fe | 1.94% ± 0.15% |
| Cu b | 19.32 ± 1.42 | Ca | 6.11% ± 0.74% |
| Cc c | 1.05 ± 0.08 | K | 0.65% ± 0.04% |
| Moganite | 73.2% ± 6.19% | Na | 0.85% ± 0.09% |
| CaO | 5.7% ± 0.38% | O | 73.92% ± 5.24% |
| No. | Soil (v.%) | UCFA (v.%) | MLSs (v.%) | No. | Soil (v.%) | UCFA (v.%) | MLSs (v.%) |
|---|---|---|---|---|---|---|---|
| 1 | 50 | 50 | 0 | 11 | 60 | 0 | 40 |
| 2 | 50 | 40 | 10 | 12 | 70 | 30 | 0 |
| 3 | 50 | 30 | 20 | 13 | 70 | 20 | 10 |
| 4 | 50 | 20 | 30 | 14 | 70 | 10 | 20 |
| 5 | 50 | 10 | 10 | 15 | 70 | 0 | 30 |
| 6 | 50 | 0 | 50 | 16 | 80 | 20 | 0 |
| 7 | 60 | 40 | 0 | 17 | 80 | 10 | 10 |
| 8 | 60 | 30 | 10 | 18 | 80 | 0 | 20 |
| 9 | 60 | 20 | 20 | 19 | 90 | 10 | 0 |
| 10 | 60 | 10 | 30 | 20 | 90 | 0 | 10 |
Publisher’s Note: MDPI stays neutral with regard to jurisdictional claims in published maps and institutional affiliations. |
© 2020 by the authors. Licensee MDPI, Basel, Switzerland. This article is an open access article distributed under the terms and conditions of the Creative Commons Attribution (CC BY) license (http://creativecommons.org/licenses/by/4.0/).
Share and Cite
Lu, X.; Zhou, W.; Qi, C.; Yang, M. Enhanced Plant Restoration in Open-Pit Mines Using Maize Straw and Ultrasonically Pre-Treated Coal Fly Ash. Sustainability 2020, 12, 9307. https://doi.org/10.3390/su12229307
Lu X, Zhou W, Qi C, Yang M. Enhanced Plant Restoration in Open-Pit Mines Using Maize Straw and Ultrasonically Pre-Treated Coal Fly Ash. Sustainability. 2020; 12(22):9307. https://doi.org/10.3390/su12229307
Chicago/Turabian StyleLu, Xiang, Wei Zhou, Chongchong Qi, and Meng Yang. 2020. "Enhanced Plant Restoration in Open-Pit Mines Using Maize Straw and Ultrasonically Pre-Treated Coal Fly Ash" Sustainability 12, no. 22: 9307. https://doi.org/10.3390/su12229307
APA StyleLu, X., Zhou, W., Qi, C., & Yang, M. (2020). Enhanced Plant Restoration in Open-Pit Mines Using Maize Straw and Ultrasonically Pre-Treated Coal Fly Ash. Sustainability, 12(22), 9307. https://doi.org/10.3390/su12229307

