Can Material and Energy Be Saved by Differentiating Water Quality Targets in the Water Purification Process?
Abstract
1. Introduction
- (1)
- The description of the water quality framework, the treatment line, and the important input parameters retained for our case study.
- (2)
- The detailed analysis of the material and energy savings obtained by the differentiation of water quality targets.
- (3)
- A thorough discussion of the implications of the observed savings for the future of water supply.
2. Material and Methods
2.1. The Water Quality Framework
- (1)
- A quality framework differentiating quality norms between potable and non-potable activities.
- (2)
- A modeling framework linking the costs, material, and energy consumption of treatment processes to the water quality objectives.
2.2. The Studied Treatment Line
2.3. Cost Analysis
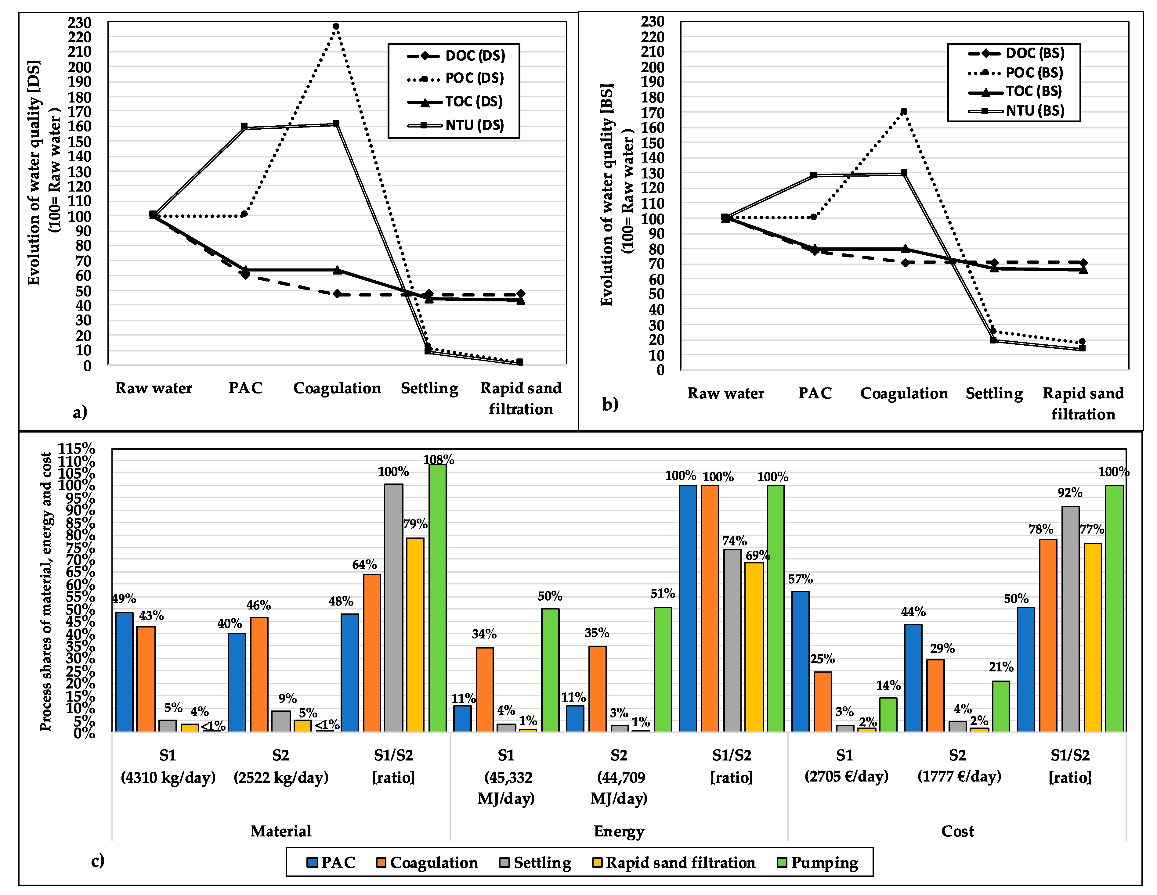
3. Results
3.1. Evolution of the Water Quality, Costs, and the Consumption of Materials and Energy
3.2. Decomposition of Material Consumption
3.3. Decomposition of Energy Consumption
3.4. Decomposition of COST
4. Discussion
4.1. The Validation and Limits of the Model
4.1.1. Model Validation
4.1.2. Model Limits
4.2. The Implication for the Future of Water Systems
5. Conclusions
Author Contributions
Funding
Acknowledgments
Conflicts of Interest
Appendix A. Input Parameters to the Treatment Processes
Appendix A.1. Operation Related Input Parameters
| Reference | System 1 | System 2-D | System 2-B | System 2 | |
|---|---|---|---|---|---|
| PAC addition process | |||||
| Mixing duration time (min) | 0.5 | 0.5 | 0.5 | 0.5 | 0.5 |
| Velocity gradient (s−1) | 700 | 700 | 700 | 700 | 700 |
| Hydraulic residence time (min) | 5 | 5 | 5 | 5 | 5 |
| Coagulation and flocculation process | |||||
| Initial DOCns (%) | - | 58% | 58% | 48% | 49% |
| Coagulation contact time (min) | 3 | 3 | 3 | 3 | 3 |
| Coag. mixing duration (min) | 1 | 1 | 1 | 1 | 1 |
| Floc. Pt.1 Velocity gradient (s−1) | 550 | 550 | 550 | 550 | 550 |
| Floc. Pt.2 Velocity gradient (s−1) | 60 | 60 | 60 | 60 | 60 |
| Settling process | |||||
| Pumping cycle duration (min) | 180 | 180 | 180 | 180 | 180 |
| Pumping phase duration (min) | 20 | 20 | 20 | 20 | 20 |
| Hydraulic residence time (min) | 60 | 60 | 60 | 60 | 60 |
| Surface Hydraulic Charge (m3/(m2.h)) | 10 | 10 | 10 | 10 | 10 |
| Sludge scraping energy (kWh/m3) | 6.79 × 10−4 | 6.79 × 10−4 | 6.79 × 10−4 | 6.79 × 10−4 | 6.79 × 10−4 |
| Rapid sand filtration process | |||||
| Backwash duration–phase 1 (min) | 3 | 3 | 3 | 3 | 3 |
| Backwash duration–phase 2 (min) | 8 | 8 | 8 | 8 | 8 |
| Backwash duration–phase 3 (min) | 5 | 5 | 5 | 5 | 5 |
| Backwash air flow-phase 1 (m3/h) | 2400 | 2400 | 2312 | 1766 | 1859 |
| Backwash air flow-phase 2 (m3/h) | 2400 | 2400 | 2312 | 1766 | 1859 |
| Backwash water-phase 2 (m3/h) | 260 | 260 | 250 | 191 | 201 |
| Backwash water-phase 3 (m3/h) | 800 | 800 | 771 | 589 | 620 |
| Filtration nominal speed (m/h) | 3.5 | 3.5 | 3.5 | 3.5 | 3.5 |
Appendix A.2. Water Quality Related Input Parameters
| Reference | System 1 | System 2-D | System 2-B | System 2 | |
|---|---|---|---|---|---|
| PAC addition process | |||||
| DOC removal (DOC_R) | 40% | 40% | 40% | 22% | 25% |
| Water temperature (°C) | 20 | 20 | 20 | 20 | 20 |
| Coagulation and flocculation process | |||||
| DOC removal (DOC_R) | 20% | 21% | 21% | 9% | 10% |
| Initial DOCnp (%) | 29% | 29% | 29% | 27% | 28% |
| Initial DOCha (%) | 25% | 25% | 25% | 29% | 29% |
| Initial DOCns (%) | 46% | 46% | 46% | 43% | 44% |
| Humic acid Pka | 4.3 | 4.3 | 4.3 | 4.3 | 4.3 |
| Water pH | 6 | 6 | 6 | 6 | 6 |
| Settling process | |||||
| SM removal (SM_R) | 95% | 95% | 95% | 85% | 87% |
| Sludge concentration (g/L) | 20 | 20 | 20 | 20 | 20 |
| Dry matter sludge density (kg/m3) | 1700 | 1700 | 1700 | 1700 | 1700 |
| Rapid sand filtration process | |||||
| SM removal (SM_R) | 83% | 91% | 91% | 29% | 34% |
Appendix A.3. Infrastructure Related Input Parameters
| Reference | System 1 | System 2-D | System 2-B | System 2 | |
|---|---|---|---|---|---|
| PAC addition process | |||||
| Intake pipeline length (mm) | 3 | 3 | 3 | 3 | 3 |
| Tank height (m) | 3 | 3 | 3 | 3 | 3 |
| Coagulation and flocculation process | |||||
| Intake pipeline length (mm) | 3 | 3 | 3 | 3 | 3 |
| Coagulant Injection per hour | - | 10 | 12 | 12 | 12 |
| Intake pumping from abstract pipeline length (mm) | - | 10 | 10 | 10 | 10 |
| Coagulant Diameter (mm) | - | 80 | 30 | 50 | 44 |
| Coagulant Diameter (mm) | - | 80 | 30 | 50 | 44 |
| Coagulant pipeline length (m) | 3 | 3 | 3 | 3 | 3 |
| Flocculant Injection per hour | - | 1 | 1 | 1 | 1 |
| Flocculant Diameter (mm) | - | 30 | 15 | 20 | 19 |
| Flocculant pipeline length (m) | 3 | 3 | 3 | 3 | 3 |
| Floc. Pt.1 Tank height (m) | 3 | 3 | 3 | 3 | 3 |
| Settling process | |||||
| Intake pipeline length (mm) | 4 | 4 | 4 | 4 | 4 |
| Sludge pipe diameter (mm) | - | 1100 | 450 | 800 | 719 |
| Sludge pipe length (m) | 4 | 4 | 4 | 4 | 4 |
| Single tank surface | 100 | 100 | 84 | 104 | 100.8 |
| Tank height (m) | 10 | 10 | 10 | 10 | 10 |
| Rapid sand filtration process | |||||
| Intake pipeline length (mm) | 4 | 4 | 4 | 4 | 4 |
| Backwash water P-2 diameter (mm) | - | 150 | 150 | 125 | 139 |
| Backwash water P-2 length (m) | 1.15 | 1.15 | 1.15 | 1.15 | 1.15 |
| Backwash water P-2 speed (m/s) | - | 1.02 | 0.98 | 1.08 | 1.03 |
| Backwash water P-3 diameter (mm) | - | 250 | 250 | 200 | 228 |
| Backwash water P-3 length (m) | 1.15 | 1.15 | 1.15 | 1.15 | 1.15 |
| Backwash air P-1 diameter (mm) | - | 450 | 450 | 400 | 428 |
| Backwash air P-1 length (m) | 1.15 | 1.15 | 1.15 | 1.15 | 1.15 |
| Backwash air P-1 speed (m/s) | - | 1.05 | 1.01 | 0.98 | 1.00 |
| Backwash air P-2 diameter (mm) | - | 450 | 450 | 400 | 428 |
| Backwash air P-2 length (m) | 1.15 | 1.15 | 1.15 | 1.15 | 1.15 |
| Recirculation pipe length (m) | 10 | 10 | 10 | 10 | 10 |
| Backwash water P-2 diameter (mm) | - | 150 | 150 | 125 | 139 |
| Backwash water P-2 length (m) | 1.15 | 1.15 | 1.15 | 1.15 | 1.15 |
| Backwash water P-3 diameter (mm) | - | 250 | 250 | 200 | 228 |
| Backwash water P-3 length (m) | 1.15 | 1.15 | 1.15 | 1.15 | 1.15 |
| Filter surface (m2) | 40 | 40 | 40 | 40 | 40 |
| Sand density (kg/m3) | 2600 | 2600 | 2600 | 2600 | 2600 |
| Sand annual replacing rate (%) | 0.5% | 0.5% | 0.5% | 0.5% | 0.5% |
| Sand apparent density (kg/m3) | 1460 | 1460 | 1460 | 1460 | 1460 |
Appendix B. Input Parameters to the Treatment Processes
Appendix B.1. Pipelines
| Diameter (mm) | Material Intensity (kg/m) | Diameter (mm) | Material Intensity (kg/m) |
|---|---|---|---|
| 60 | 11.5 | 400 | 95.5 |
| 80 | 15 | 450 | 113 |
| 100 | 18.5 | 500 | 131 |
| 125 | 23 | 600 | 170 |
| 150 | 27.5 | 700 | 217.2 |
| 200 | 37 | 800 | 266 |
| 250 | 48 | 900 | 318 |
| 300 | 61 | 1000 | 376.4 |
| 350 | 80.5 | - | - |
Appendix B.2. Tank Materials

References
- Kanda, Y.; Nakagami, Y. What Is Product-Service-Systems (PSS)? Institute of Global Environmental Strategies: Kanagawa, Japan, 2006. [Google Scholar]
- Kang, D.; Lee, D.H. Energy and environment efficiency of industry and its productivity effect. J. Clean. Prod. 2016, 135, 184–193. [Google Scholar] [CrossRef]
- Shao, J.; Taisch, M.; Mier, M.O. Influencing factors to facilitate sustainable consumption: From the experts’ viewpoints. J. Clean. Prod. 2017, 142, 203–216. [Google Scholar] [CrossRef]
- Bundgaard, A.M.; Mosgaard, M.A.; Remmen, A. From energy efficiency towards resource efficiency within the Ecodesign Directive. J. Clean. Prod. 2017, 144, 358–374. [Google Scholar] [CrossRef]
- Caiado, R.G.G.; de Freitas Dias, R.; Mattos, L.V.; Quelhas, O.L.G.; Leal Filho, W. Towards sustainable development through the perspective of eco-efficiency—A systematic literature review. J. Clean. Prod. 2017, 165, 890–904. [Google Scholar] [CrossRef]
- Tukker, A. Product services for a resource-efficient and circular economy—A review. J. Clean. Prod. 2015, 97, 76–91. [Google Scholar] [CrossRef]
- Mont, O.K. Clarifying the concept of product-service system. J. Clean. Prod. 2002, 10, 237–245. [Google Scholar] [CrossRef]
- Corvellec, H.; Stål, H.I. Evidencing the waste effect of Product-Service Systems (PSSs). J. Clean. Prod. 2017, 145, 14–24. [Google Scholar] [CrossRef]
- Kjaer, L.L.; Pagoropoulos, A.; Schmidt, J.H.; McAloone, T.C. Challenges when evaluating Product/Service-Systems through Life Cycle Assessment. J. Clean. Prod. 2016, 120, 95–104. [Google Scholar] [CrossRef]
- Catulli, M.; Cook, M.; Potter, S. Consuming use orientated product-service systems: A consumer culture theory perspective. J. Clean. Prod. 2017, 141, 1186–1193. [Google Scholar] [CrossRef]
- WHO. Facts and Figures: Water, Sanitation, and Hygiene Links to Health [Online]. Available online: https://www.who.int/water_sanitation_health/publications/facts2004/en/ (accessed on 2 August 2020).
- UN. The Millennium Development Goals Report; United Nations: New York, NY, USA, 2015; Available online: https://www.undp.org/content/undp/en/home/librarypage/mdg/the-millennium-development-goals-report-2015.html (accessed on 2 August 2020).
- WHO. Guidelines for Drinking-Water Quality. Available online: https://www.who.int/water_sanitation_health/publications/drinking-water-quality-guidelines-4-including-1st-addendum/en/ (accessed on 2 August 2020).
- WHO. A Global Overview of National Regulations and Standards for Drinking-Water Quality. Available online: https://apps.who.int/iris/bitstream/handle/10665/272345/9789241513760-eng.pdf?ua=1 (accessed on 31 August 2020).
- Arrêté du 11 Janvier 2007 Relatif aux Limites et Références de Qualité des Eaux Brutes et des Eaux Destinées à la Consommation Humaine Mentionnées aux Articles R. 1321-2, R. 1321-3, R. 1321-7 et R. 1321-38 du Code de la Santé Publique. Available online: https://www.legifrance.gouv.fr/loda/id/JORFTEXT000000465574/2020-10-16/ (accessed on 31 August 2020). (In French)
- Ministry of Health, Labour and Welfare (MHLW). Drinking Water Quality Standards in Japan. Available online: https://www.mhlw.go.jp/english/policy/health/water_supply/dl/4a.pdf (accessed on 31 August 2020).
- Centre International de Recherche Sur l’Eau et l’Environnement (CIRSEE). Pratique Recommandée—Clarification. Internal document. Direction technique de la recherche (Lyonnaise des Eaux Suez Environnement); CIRSEE: Le Vésinet, France, 1999. (In French) [Google Scholar]
- EPA. Water & Energy Efficiency. The United States Environmental Protection Agency. Available online: https://www.epa.gov/sustainable-water-infrastructure/water-and-energy-efficiency-utilities-and-home (accessed on 2 August 2020).
- Vince, F.; Aoustin, E.; Bréanta, P.; Marechal, F. LCA tool for the environmental evaluation of potable water production. Desalination 2008, 220, 37–56. [Google Scholar] [CrossRef]
- Olsson, G. Water and Energy: Threats and Opportunities; IWA Publishing: London, UK, 2015. [Google Scholar]
- Meda, A.; Lensch, D.; Schaum, C.; Cornel, P.; Lazarova, V.; Choo, K.H. Energy and water: Relations and recovery potential. In Water-Energy Interactions of Water Reuse; Lazarova, V., Choo, K.H., Cornel, P., Eds.; IWA Publishing: London, UK, 2012; pp. 21–35. [Google Scholar]
- Barker, Z.A.; Stillwell, A.S.; Berglund, E.Z. Scenario analysis of energy and water trade-offs in the expansion of a dual water system. J. Water Resour. Plan. Manag. 2016, 142. [Google Scholar] [CrossRef]
- Rahmat, S.N.; Al-Gheethi, A.A.S.; Ayob, S.; Shahli, F.M. Development of dual water supply rooftop rainwater harvesting and groundwater systems. SN Appl. Sci. 2020, 2. [Google Scholar] [CrossRef]
- Nguyen, D.C.; Han, M.Y. Design of dual water supply system using rainwater and groundwater at arsenic contaminated area in Vietnam. J. Water Supply Res. Technol. 2014, 63, 578–585. [Google Scholar] [CrossRef]
- Yang, C.; Shen, Z.; Chen, H.; Zeng, G.; Zhong, Y. Dual water distribution systems in China. In Proceedings of the 8th Annual Water Distribution Systems Analysis Symposium, Cincinnati, OH, USA, 27–30 August 2006. [Google Scholar]
- Rogers, P.D.; Grigg, N.S. Trends in dual water systems. J. Water Reuse Desalin. 2015, 5, 132–141. [Google Scholar] [CrossRef][Green Version]
- Shimizu, T.; Nishida, T.; Murakami, S.; Yamada, K. Feasibility study on the introduction of hybrid system for water supply from the viewpoints of water utilities’finance and residents’ expense in developing countries. J. Jpn. Soc. Civ. Eng. 2013, 69, 65–72. [Google Scholar]
- State of Oregon Department of Environmental Quality. Life Cycle Assessment of Drinking Water Systems: Bottle Water, Tap water, and Home/Office Delivery Water; Land Quality Division: Portland, OR, USA, 2009. [Google Scholar]
- Otaki, Y.; Otaki, M.; Aramaki, T.; Sakura, O. Residential Water Demand Analysis by Household. Available online: https://www.researchgate.net/profile/Osamu_Sakura/publication/267829017_Residential_water_demand_analysis_by_household_activities/links/547327970cf2d67fc035e3c8/Residential-water-demand-analysis-by-household-activities.pdf (accessed on 31 August 2020).
- Ministry of Health, Labour and Welfare. Guidelines for Water Quality Standards in the Public Bath; Ministry of Health, Labor and Welfare: Chiyoda, Tokyo, Japan, 2015.
- Méry, Y.M.; Tiruta-Barna, L.; Benetto, E.; Baudin, I. An integrated “process modeling—life cycle assessment” tool for the assessment and design of water treatment processes. Int. J. Life Cycle Assess. 2013, 18, 1062–1070. [Google Scholar] [CrossRef]
- Méry, Y.M. Development of An Integrated Tool for Process Modelling and Life Cycle Assessment—Ecodesign of Process Plants and Application to Drinking Water Treatment. Ph.D. Thesis, Université de Toulouse, Toulouse, France, 2012. [Google Scholar]
- Euzen, A. Consommer. In Tout Savoir sur L’eau du Robinet; Euzen, A., Levi, Y., Eds.; CNRS Editions: Paris, France, 2013; pp. 44–47. [Google Scholar]
- Van Ostaeyen, J.; Van Horenbeek, A.; Pintelon, L.; Duflou, J.R. A refined typology of product-service systems based on functional hierarchy modeling. J. Clean. Prod. 2013, 51, 261–276. [Google Scholar] [CrossRef]
- Alibaba.com. Water Supply Price Cast Iron Pipe. Available online: https://www.alibaba.com/product-detail/API-5L-B-China-trade-assurance_60715647921.html?spm=a2700.galleryofferlist.0.0.4a70477ew9x6OQ (accessed on 2 August 2020).
- National Institute of Advanced Industrial Science and Technology (AIST). Safety and Scientific Research Department and Society and LCA Research Group, and Japan Environmental Management Association for Industry (JEMAI); IDEA version 2.1.3; National Institute of Advanced Industrial Science and Technology: Tokyo, Japan, 2017.
- Igos, E.; Dalle, A.; Tiruta-Barna, L.; Benetto, E.; Baudin, I.; Mery, Y. Life Cycle Assessment of water treatment: What is the contribution of infrastructure and operation at the unit process level? J. Clean. Prod. 2014, 65, 424–431. [Google Scholar] [CrossRef]
- SISPEA. Téléchargement des données de l’observatoire Système d’Informations sur les Services Publics d’Eau et d’Assainissement. 2018. Available online: http://www.services.eaufrance.fr/donnees/telechargement (accessed on 2 August 2020).
- Cador, J.M. Le Patrimoine en Canalisations d’AEP en France—Bilan des Huit Enquêtes Départementales et Estimation Nationale; Ministère de l’Aménagement du Territoire et de l’Environnement: Caen, France, 2002.
- SIMC. Fourniture de Matériel pour l’Adduction d’eau et l’Assainissement; Société Industrielle de Matériaux et Charbons: Manosque, France, 2011. [Google Scholar]
- Oasis Design. Water Tank Calculator, Research Notes on Effect of Tank Materials on Water Quality. Available online: http://oasisdesign.net/water/storage/extras/ (accessed on 2 August 2020).



| PAC Addition | Coagulation & Flocculation | Settling | Rapid Sand Filtration | Pumping Process | Total Ex. Sludge | |||
|---|---|---|---|---|---|---|---|---|
| Material | Chemicals (kg/day) | S1 | 2080 | 1685 | 0 | 0 | 0 | 3764 |
| S2 | 988 | 1020 | 0 | 0 | 0 | 2008 | ||
| Sand & sludge (kg/day) | S1 | 0 | 0 | 5430 | 44 | 0 | 44 | |
| S2 | 0 | 0 | 3984 | 35 | 0 | 35 | ||
| Pipe (kg/day) | S1 | 0 | 0.0054 | 0.29 | 6.74 | 1.71 | 8.75 | |
| S2 | 0 | 0.0048 | 0.28 | 5.75 | 1.85 | 7.89 | ||
| Tank (kg/day) | S1 | 17 | 149 | 221 | 107 | 0 | 493 | |
| S2 | 17 | 149 | 221 | 84 | 0 | 471 | ||
| Total (kg/day) | S1 | 2097 | 1834 | 221 | 157 | 1.71 | 4310 | |
| S2 | 1006 | 1169 | 222 | 124 | 1.85 | 2522 | ||
| Energy | Pumping (MJ/day) | S1 | 0 | 0.065 | 1618 | 56 | 22,696 | 24,370 |
| S2 | 0 | 2.15 | 1193 | 50 | 22,702 | 23,947 | ||
| Stirring (MJ/day) | S1 | 4801 | 15,601 | 0 | 0 | 0 | 20,402 | |
| S2 | 4798 | 15,591 | 0 | 0 | 0 | 20,389 | ||
| Sludge scraping (MJ/day) | S1 | 0 | 0 | 0.66 | 0 | 0 | 0.66 | |
| S2 | 0 | 0 | 0.49 | 0 | 0 | 0.49 | ||
| Air compressing (MJ/day) | S1 | 0 | 0 | 0 | 559 | 0 | 559 | |
| S2 | 0 | 0 | 0 | 372 | 0 | 372 | ||
| Total (MJ/day) | S1 | 4801 | 15,601 | 1619 | 615 | 22,696 | 45,332 | |
| S2 | 4798 | 15,593 | 1196 | 422 | 22,702 | 44,709 | ||
| PAC Addition | Coagulation & Flocculation | Settling | Rapid Sand Filtration | Pumping Process | Total Ex. Sludge | |||
|---|---|---|---|---|---|---|---|---|
| Material | Chemicals (€/day) | S1 | 1456 | 371 | 0 | 0 | 0 | 1827 |
| S2 | 692 | 224 | 0 | 0 | 0 | 916 | ||
| Sand & sludge (€/day) | S1 | 0 | 0 | 0 | 1.0 | 0 | 1.0 | |
| S2 | 0 | 0 | 0 | 0.8 | 0 | 0.8 | ||
| Pipe (€/day) | S1 | 0 | 0.0004 | 0.20 | 4.6 | 1.2 | 5.9 | |
| S2 | 0 | 0.0003 | 0.19 | 3.9 | 1.3 | 5.4 | ||
| Tank (€/day) | S1 | 4.4 | 38 | 57 | 27 | 0 | 127 | |
| S2 | 4.4 | 38 | 57 | 22 | 0 | 121 | ||
| Total (€/day) | S1 | 1460 | 409 | 57 | 33 | 1.2 | 1961 | |
| S2 | 696 | 263 | 57 | 26 | 1.3 | 1043 | ||
| Energy | Pumping (€/day) | S1 | 0 | 0.0011 | 27 | 0.9 | 373 | 400 |
| S2 | 0 | 0.0353 | 20 | 0.8 | 373 | 393 | ||
| Stirring(€/day) | S1 | 79 | 256 | 0 | 0 | 0 | 335 | |
| S2 | 79 | 256 | 0 | 0 | 0 | 335 | ||
| Sludge scraping (€/day) | S1 | 0 | 0 | 0.0108 | 0 | 0 | 0.0108 | |
| S2 | 0 | 0 | 0.0080 | 0 | 0 | 0.0080 | ||
| Air compressing (€/day) | S1 | 0 | 0 | 0 | 9.2 | 0 | 9.2 | |
| S2 | 0 | 0 | 0 | 6.1 | 0 | 6.1 | ||
| Total (€/day) | S1 | 79 | 256 | 27 | 10.1 | 373 | 744 | |
| S2 | 79 | 256 | 20 | 6.9 | 373 | 734 | ||
| TOTAL (€/day) | S1 | 1539 | 665 | 84 | 43 | 374 | 2705 | |
| S2 | 775 | 519 | 77 | 33 | 374 | 1777 | ||
Publisher’s Note: MDPI stays neutral with regard to jurisdictional claims in published maps and institutional affiliations. |
© 2020 by the authors. Licensee MDPI, Basel, Switzerland. This article is an open access article distributed under the terms and conditions of the Creative Commons Attribution (CC BY) license (http://creativecommons.org/licenses/by/4.0/).
Share and Cite
Dente, S.M.R.; Shimizu, T.; Wang, T.; Hashimoto, S. Can Material and Energy Be Saved by Differentiating Water Quality Targets in the Water Purification Process? Sustainability 2020, 12, 8730. https://doi.org/10.3390/su12208730
Dente SMR, Shimizu T, Wang T, Hashimoto S. Can Material and Energy Be Saved by Differentiating Water Quality Targets in the Water Purification Process? Sustainability. 2020; 12(20):8730. https://doi.org/10.3390/su12208730
Chicago/Turabian StyleDente, Sébastien M. R., Toshiyuki Shimizu, Tao Wang, and Seiji Hashimoto. 2020. "Can Material and Energy Be Saved by Differentiating Water Quality Targets in the Water Purification Process?" Sustainability 12, no. 20: 8730. https://doi.org/10.3390/su12208730
APA StyleDente, S. M. R., Shimizu, T., Wang, T., & Hashimoto, S. (2020). Can Material and Energy Be Saved by Differentiating Water Quality Targets in the Water Purification Process? Sustainability, 12(20), 8730. https://doi.org/10.3390/su12208730

