Abstract
The emergence of the smart tourism paradigm has shifted some research attention to the technologies that drive innovations. However, tourism destinations are not freed from the usual threats in the tourism industry. Environmental impacts have remained a fundamental concern for any destinations regardless of their adoption and incorporation of smart technologies. Tourists remain a critical source of harm inflicted on environmental systems. Thus, this present study aims to study smart tourists’ environmentally responsible behavior using an extended norm-activation model. The study model incorporates two new constructs measuring the involvement of culture and attitude towards cultural conservation as additional predictors of environmentally responsible behavior. A total sample of 554 is subjected to data analysis. The results support all proposed hypotheses. Both newly added constructs produce the largest total impact scores on the final construct. Model comparison between the study model and the original framework showed improved predictive ability while retaining superior fit.
1. Introduction
The challenge to conserve energy and protect the tourism environment is universal for all destinations, from small rural towns to large metropolitan cities [1]. In the age of smart cities and smart tourism, where advanced information and communication technology systems may help determine the prosperity of its residents and visitors, the attention should never be disengaged from maintaining environmental health [2,3]. Within the smart tourism and smart destination paradigm, the tourists have received relatively limited research attention. The neglected research attention is possibly explained by the lack of proper conceptualization of smart tourists, their characteristics, and their role within the smart tourism context [4,5]. Another group of researchers has also concurred with this notion, stating that the concept of smart tourists is currently being developed and they emphasize that the term is not just a temporary marketing buzzword [2,5].
Smart tourists are a subset of the broader concept of digital tourists. Thus, the smart tourist is not a new concept but rather an evolution of the digital tourist. This progress is in the same vein as how eTourism and eDestination have evolved to be smart tourism and smart destination, respectively [4]. The central force of both eTourism and smart tourism is the development of information and communication technologies. However, the smart iteration places more emphasis on the integration and utilization of the data derived from both infrastructure and user devices to offer more seamless and personalized tourism experiences [6]. In its basic form, the concept is to turn data into knowledge, then utilize the knowledge to improve tourism experiences. Richer data and more in-depth knowledge can help create more personalized experiences. Thus, more relevant experiences can be targeted to each individual or group of tourists [5,7]. In sum, smart tourism promises a more convenient, safe, exciting, and sustainable destination for both residents and tourists [5]. Moreover, at the heart of any smart tourism system lies the tourists themselves.
Among the emerging research on smart tourism and smart destinations, much research attention has been placed on either the technologies or on the theoretically new and improved tourism experiences [2,5,6,7,8]. However, advanced technologies that promise to turn existing destinations to smart tourism destinations do not necessarily help alleviate or eliminate existing issues of tourism and their impact on the environment. Despite the current downturn of the tourism industry due to the COVID-19 pandemic, the tourism industry is expected to eventually recover and continue growing [9]. Once recovered, the task of balancing negative consequences against desirable economic rewards will be back on the agenda again. The scientific research has always been adamant about insisting that the deterioration of environmental health is mainly caused by irresponsible human behaviors [9,10,11,12,13,14,15]. Hence, the focus of achieving environmental sustainability for any destination is still placed on the tourists themselves. Furthermore, researchers even assert that no definite solutions have been agreed upon and encourage the continued effort to understand eco-friendly tourist behaviors [16].
This present study aims to contribute to the emerging pool of research on smart tourism—specifically, the environmentally responsible behavior of smart tourists. Three research objectives have been designed to help achieve the research aim. The first objective is to adopt the norm-activation model (NAM) as the theoretical framework for this research. The NAM has been widely validated in past research to help explain pro-environmental behaviors [17,18,19,20,21]. However, no previous research has applied the NAM to the smart tourist context. Secondly, this study attempts to extend the NAM using two new constructs. Model extensions have been an approach to help improve the explanatory power of original models as well as to help shape the model to fit a different research context [22,23,24]. Lastly, the proposed study model is subjected to empirical validation among tourists that meet the defined characteristics of smart tourists [4,7].
2. Literature Review
2.1. Smart Tourists’ Environmentally Responsible Behavior
Although the concept and characteristics of a smart tourist have yet to be matured, the most comprehensive conceptualization hitherto has been by Femenia-Serra et al. [4]. They outline three main characteristics in their research as (1) a tourist who is open to sharing data, (2) a tourist who uses smart technologies, and (3) a tourist who interacts and co-creates the experience through smart technologies. In other words, a smart tourist is a technologically-savvy tourist who uses technologies for knowledge and is influenced by the information offered by smart devices for their tourism experiences. Additionally, these characteristics can be either at the attitudinal or behavioral level. Notably, one of the primary promises is that smart tourism destinations could achieve a more efficient, responsible, and sustainable use of tourism resources through the smart tourism paradigm [2]. This promise has been criticized for assuming that tourists would simply change their existing habits and actions just by using smart technologies—thus, ignoring the basic psychological theory of rational human action [8]. Especially in the context of environmentally responsible behavior, where the gap between knowledge and action has often been found [15,25,26,27].
Previous studies have found that smart tourists share similar characteristics among themselves at various stages of the tourism cycle, while still being distinctive when compared with other groups [2,6,7,28]. Notable behavioral characteristics of smart tourists when traveling distinguish the smart tourist segment from other groups in that: (1) smart tourists have more integrated use of smart devices throughout the entirety of their trip. (2) They use social media platforms to share experiences during the trip, such as live streaming and posting of real-time updates [29]. (3) They more frequently use hotel and destination websites and mobile applications to get the most up-to-date information before and during their trip [28]. (4) They have more familiarity with the host environment while suffering fewer language and mobility issues [30]. (5) Smart tourists also report having the highest level of additional consumption at a destination while reporting less income and lower spending budgets than other groups [31]. (6) Smart tourists are more susceptible to social media influence to be sustainable and responsible while traveling [2]. Yet, the pro-environmental behaviors of smart tourists have not received much research attention. Most contemporary research on smart tourists has focused mainly on the technological aspect in relation to the overall tourism experience. However, given the efficacy of technology in augmenting more information to tourists, it also has the potential to be used to help increase environmentally responsible behaviors.
A general definition of environmentally responsible behavior has been given as a ‘behavior that consciously seeks to minimize the negative impact of one’s action on the natural and built world’ (p. 240) [16]. However, the scope and range of behaviors that are considered environmentally responsible have never been universally agreed upon among researchers across different disciplines [14,15,16]. Some even argue that tourism itself is not ecologically friendly regardless of the behaviors or products consumed by the tourists [32,33]. Moreover, in the tourism context, the tourism environment consists not only of just the tangible elements but also the intangible elements. Specifically, the tourism environment is a blend of its nature, culture, history, tradition, cuisine, and people [34]. This perspective is often shared in most studies on tourism attributes, competitiveness, image, and other tourism experience related studies [35,36,37,38,39]. Given this perspective, the range of possible antecedents of environmentally responsible behaviors does not exclusively include just the tangible elements. In addition, the range and scope of responsible behaviors vary depending on individuals’ interpretations of their environment, personal characteristics, and varying demographic backgrounds [14,28,29,37]. An understanding of what precisely triggers or motivates pro-environmental behaviors is essential for strategic planning to influence the general public to conserve resources and prevent actions that may harm the environment [40].
Given the concept of smart tourists and the characteristics of the definition being relatively young, there is a lack of empirical research on environmentally responsible behaviors. Nevertheless, the three characteristics of smart tourists appropriately describe the travel characteristics of young travelers, as a study found that smart tourists are mostly made up of millennials [28]. Younger travelers tend to be involved more in the decision-making process, such as choosing destinations, activities, and restaurants [41,42]. Whereas, mature Korean travelers tend to opt for mass organized tours where all travel itineraries are prepared by tour operators [42]. Hence, young tourists tend to be more inclined to interact and co-create the experience. Furthermore, it is unsurprising to also note that smartphone use both during daily lives and travel are high among smart tourists [43,44]. Thirdly, studies on online privacy and sharing of personal data online among young people have found that compared to other groups, young adults tend to share more and are less sensitive about their privacy [45,46]. Furthermore, a study among young Japanese people found that they agreed with the importance of protecting their online privacy, but their behaviors do not necessarily reflect that attitude [47]. In sum, the characteristics of smart tourists are already present in many people in society today, especially among young adults.
Previous studies have found that more involvement in the planning process of a trip results in a positive relationship to a higher degree of attachment with the destination [41]. Then, according to place attachment studies, increased efforts in protecting the environment can be found with higher propensities toward personal bonds with the community [25]. Furthermore, a study found that young people tend to show a higher level of knowledge and awareness of environmental issues. However, compared to older groups of people, they are less inclined to behave pro-environmentally in day-to-day household activities [48]. Similar results are found among Europeans, in that young people exhibit more positive attitudes towards environmental issues than their older counterparts, but are also less willing to transpire these attitudes into actions [26]. In China, A study underlined that a high level of pro-environmental attitude is more likely to be found among young people, women, the highly educated, and those directly affected by the deterioration of their surrounding environment.
Interestingly, rural and older residents showed a lack of knowledge when asked about environmental issues even though they were suffering from environmental deterioration [15]. A study among young Finnish people found the sample group failed to consistently link the relationship between behaviors and consequences to nature. Though, most of the sample subjects recognized that something must be done if global environmental sustainability is to be achieved [49]. In contrast, responsible water consumption in Brazil tends to be found in older age groups with low levels of education. The authors explained that, in Brazil, highly educated people tend to put less emphasis on water consumption due to the relatively low water costs [27]. Given the empirical findings, it can be assumed that the generally well-informed smart tourists would exhibit a high level of knowledge and positive attitude towards environmentally friendly behaviors.
2.2. Norm-Activation Model
The NAM was introduced by Schwartz in 1997, and this theory has since become a dominant framework in predicting altruistic behaviors [17,18,19,20]. Altruism or pro-social motives are believed to be one of the primary drivers of environmentally responsible behaviors [32]. This is due to the general notion that the environment is a shared resource, and everyone has the responsibility to care for the environment [50]. Thus, other people and the society at large collectively benefit from a healthy environmental ecosystem [21,32,33]. Hence, the impactful role of altruism and pro-social values play a role in explaining pro-environmental attitudes. The NAM was developed on the altruism/pro-social paradigm and can be found in a vast variety of pro-environmental studies [51,52,53]. The model consists of four constructs, awareness of consequences (AC), ascription of responsibility (AR), personal norm (PN), and environmental responsible behavior intention (ERBI). AC refers to how one understands the connection between their own actions and the potential consequences on the environment [19]. AR is defined as feelings of responsibility to act pro-environmentally [21]. Then, PN is defined as a ‘moral obligation to perform or refrain from specific actions’ (p. 191) [54]. Subsequently, the PN then predicts ERBI or the environmental responsible behavioral intention [17].
The postulation of all four NAM variables has been interpreted in two variants [17,19]. The first variant is conceptualized to have only PN directly predicting ERBI, and the strength of the relationship is moderated by both AC and AR [20]. The second alternative is to treat all four constructs in a fully mediated model (AC → AR → PN → ERBI) [17,18,52]. A study conducted four different studies using the NAM in both interpretations and came to the empirical finding that the NAM is most efficient when all four variables are treated in a fully mediated model [19,20]. Subsequently, most studies have adopted the NAM as a fully mediated model [17,18,32]. Hence, the present study also operationalized the NAM in its mediated version. Therefore, the following hypotheses are proposed.
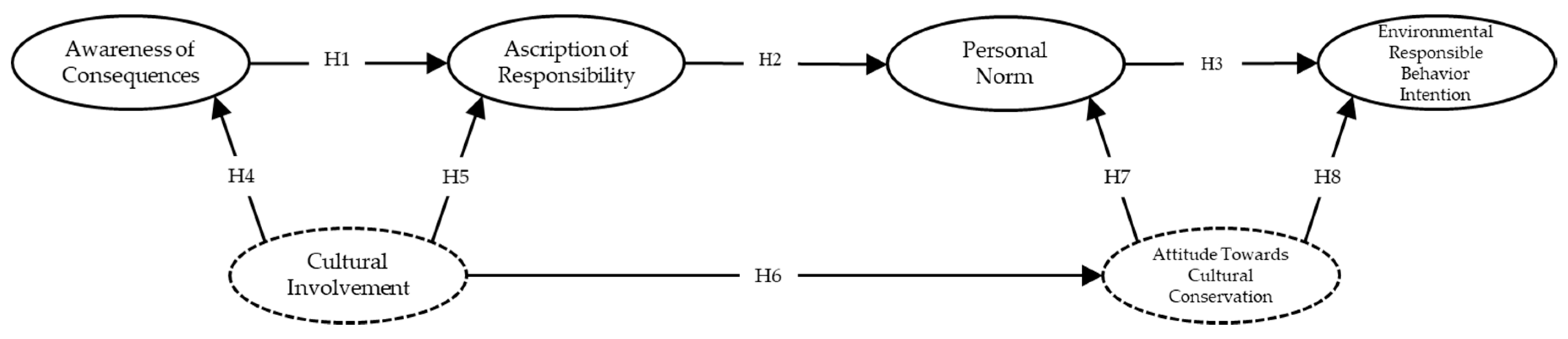
Hypothesis 1 (H1).
Awareness of consequences positively affects ascription of responsibility.
Hypothesis 2 (H2).
Ascription of responsibility positively affects personal norms.
Hypothesis 3 (H3).
Personal norms positively affect environmental responsible behavior intention.
2.3. Extension of the Norm-Activation Model
Researchers have attempted to expand the NAM over the years [17,18,21,51]. An extension can help improve the explanatory power of the original model [22]. It can also be seen as a necessary step when applying the original framework to a new or different context [32]. One of the most prominent extensions of the SEM was by incorporating Schwartz’s (2012) Personal Value Theory and the New Ecological Paradigm scale by Dunlap et al. (2000). The result was the Value-Belief-Norm theory [21]. Another extension focused on the personal norm, by deepening the norm dimension with cognitive evaluation, emotional, and social factors [9]. Emotional variables, such as anticipated price and anticipated guilt, were also added to the NAM [18]. The empirical results of both attempts show a higher explanation power of environmentally responsible behavior. Additionally, the NAM is a popular model among researchers who view pro-environmental behaviors as pro-socially motivated. In contrast, those who view self-interests to be the predominant motivators often adopted models such as the Theory of Planned Behavior by Ajzen (1985) [9,32,53]. Subsequently, attempts have been made to improve the NAM-based models by taking both perspectives. Results have shown promising results in terms of efficacy and fit [17,32]. Similarly, this present study attempts to further improve upon the effectiveness of the NAM framework by adding two new constructs specifically related to tourist cultural interests while traveling.
Culture has long been at the center of tourism from both tourists and the academic community [55,56,57,58]. Yet, due to its complexity and the ever-evolving scope, many researchers acknowledged that there are research gaps for continuous exploration [56]. In its most simplistic form, cultural tourism is driven by the “interest in the other” [58]. The scope of that interest covers values, morals, symbols, physical manifestation, and behaviors [58,59]. In addition, the same set of cultural elements can be from the past to living cultures and the habitus of today [55,57,59]. In other words, a culture encompasses the manifestation of the current society, the location of that society, and both tangible and intangible resources within that location. In a study of visitors to Hong Kong, the level of interest in various cultural attractions was measured to determine the level of involvement in the culture of the host country [56]. Involvement in culture then reflects the amount of understanding and recognition of a specific culture [60]. The level of involvement is often found to be correlated to the amount of knowledge a person has about a particular product, or in this context, knowledge about a culture [61,62]. Specific to the NAM framework, where AC is also interpreted as a construct measuring the level of knowledge a person has regarding their actions and the consequence those actions may have on the environment [50]. Furthermore, AR has always been empirically supported to be influenced by various types of knowledge-based constructs [17,32,53]. Thus, the following two hypotheses were introduced.
Hypothesis 4 (H4).
Cultural involvement positively affects awareness of consequences.
Hypothesis 5 (H5).
Cultural involvement positively affects ascription of responsibility.
The attitude construct has been universally agreed upon as one of the most prominent determinants of most human cognition before leading to action, especially in the context of consumer behaviors [23,50,63,64]. Attitude has been described as a tendency to act in either a favorable or unfavorable way towards an object based on the accumulated information about the said object [65,66]. In this regard, prior sources of information such as involvement and knowledge were found to significantly impact attitude [15,23,50]. The concept of place attachment also relies on the principle of involvement creates attachment and attachment, then encourages more pro-social behaviors [25,67]. Moreover, in the pro-environmental context, attitude was often found to play a critical role in predicting both norm and behavioral intention directly [17,52,53]. Among young Danish people, researchers found that their pro-environmental attitude directly influenced pro-environmental behavior. The authors also found that family norms and parents’ attitudes influence the formation of an individuals’ norm [68]. Another study also found evidence to suggest how a personal norm is a critical indicator of one’s environmentally desirable behavior [26]. Hypotheses 6, 7, and 8 were developed based on the above discussion. Additionally, Figure 1 illustrates the study model.
Figure 1.
Study model.
Hypothesis 6 (H6).
Cultural involvement positively affects attitude towards cultural conservation.
Hypothesis 7 (H7).
Attitude towards cultural conservation positively affects personal norm.
Hypothesis 8 (H8).
Attitude towards cultural conservation positively affects environmentally responsible behavior intention.
3. Methods
3.1. Measurement Items and Survey Development
The measurement items used in this study have been adopted from previously validated research. The final construct, environmentally responsible behavior intention, was measured using four items adapted from a paper by Kiatkawsin and Han (2017) [32]. The three antecedent constructs, as part of the norm-activation model, were measured using items previously used by Onwezen et al. (2013) and Han (2015) [18,53]. The constructs of awareness of consequences and ascription of consequences have three measurement items each. Personal norms were measured using four items. The measurement items used to measure cultural involvement and attitude towards cultural conservation were conceptualized from previous research by Howell (1994) and Leonidou et al. (2010) [69,70]. Minor adjustments have been made to make the statements suitable to the current research setting. All items have been measured using seven-point Likert type scales. The scale ranges from (1) extremely disagree to (7) extremely agree. Furthermore, questions on the participant’s demographic information were added in the questionnaire. A brief cover letter was also added to introduce the topic to the participants and ensure the anonymity of their participation.
After the questionnaire was finalized, a series of pre-tests were conducted amongst university students, industry professionals, and senior academics. According to their feedback, only minor adjustments were made. The first part of the two-step translation approach was performed from the English version of the questionnaire to Korean by a bilingual speaker of both languages. The second step of the translation was to back translate to English by another bilingual speaker. The results were deemed to be of a sufficient conformity in meaning to the original English version, and thereby achieved a successful translation.
3.2. Sampling and Data Collection
The research population for this present research project includes any travelers who fit into the smart tourist characteristics defined by Femenia-Serra et al. (2019) [4]. Specifically, they (1) are open to sharing data with stakeholders while traveling, (2) use smart technologies for an experience such as smartphones, and (3) interact and co-create their experience through smart tourism. Thus, to help sample the defined research population, a convenient sampling technique was deployed to collect data among university undergraduate students. The narrow focus on samples with a similar age group, education level, and cultural background help to increase the internal validity of the results. Furthermore, to ensure the samples also have a robust external validity, steps have been taken to ensure randomness in other demographic traits. More importantly, the data has been collected from eight different universities situated in various large metropolitan cities in South Korea. Furthermore, students of various departments were included to minimize bias based on educational influences. No extra incentives were given for their participation, and all participants completed the questionnaire voluntarily.
A total of 570 completed surveys were collected. The raw data were then screened for cases with large missing data, evidence of unengaged responses, and potential outliers. After data screening, a total of 554 responses were retained for further analysis. Cases with a small amount of missing data had those missing data replace using series mean. The normality of data has been tested, and no issue of normality was found. Among the observed variables, the skewness scores ranged from −0.733 to −0.188. The kurtosis scores ranged from −0.530 to 0.663. Both were below the recommended threshold for multivariate data normality of +/− 1 for skewness and +/− 2.2 for kurtosis [71]. Further examination of multivariate normality, linearity, and homoscedasticity showed no breach of the basic assumption.
3.3. Sample Profiles
Among the 554 respondents, all were undergraduate students. The majority (33%) studied in their second year during the time of data collection. The second-largest group was first-year students (28.4%), followed by third-year students (24.3%). Because the largest groups were first- and second-year students, age distribution has been reflected accordingly. The mean age is 20.89 years old. It should be noted that Koreans typically recognize one additional year of age compared to most Western cultures. In terms of nationality, 96.9% were Korean. Two other nationalities also took part, wherein 16 respondents came from China and one from Singapore. In terms of the program of study, 24 different majors of education are reported in the surveys. The largest groups are Hospitality and Tourism and International Tourism, with 33.6% and 31.6%, respectively. Other fields of study include Languages and Literature, Law, Finance, Economics, Fashion, Mathematics, Sociology, and more. The gender distribution is predominantly female, with 67.9%. This distribution could be explained by, first, the popularity of Hospitality and Tourism study among female Korean students, which are the two largest study disciplines among the samples. Secondly, one of the eight universities taking part in this study was a female-only university (6.1%).
4. Results
4.1. Confirmatory Factor Analysis
The data analysis follows Anderson and Gerbing’s (1988) two-step approach in structural equation modeling (SEM) analysis using IBM SPSS and IBM AMOS software version 23. The SEM analysis technique has been widely recommended for testing complex models with large numbers of variables, such as the one in this study [71,72]. In the first stage, confirmatory factor analysis (CFA), tests the general fit between the study model and the collected data, the reliability, and validity at the measurement model level. The second stage, the SEM analysis, then tests the structural model and the hypotheses.
The CFA was conducted using the maximum likelihood extraction method and Promax rotation. The results have suggested strong goodness-of-fit statistics: χ2 = 263.693, df = 152, p < 0.001, χ2/df = 1.735, RMSEA = 0.036, CFI = 0.982, IFI = 0.982. According to the generally accepted fit indices, the proposed model achieved all necessary minimum thresholds [73]. Considering the relatively large sample size of this study, the goodness-of-fit statistics can be considered greatly satisfactory [71,73]. Composite reliability (CR) scores were calculated to examine the consistency of the responses. CR scores of all constructs were well above the required threshold of 0.70 [73]. Specifically, the CR scores ranged from 0.800 to 0.891. Hence, the data displayed a satisfactory level of reliability. Evidence of convergence validity is also present with the average variance extracted (AVE) scores between 0.502 and 0.699. All AVE values were higher than the minimum requirement of 0.50 [74]. Lastly, the AVE values, when compared against the squared correlations between a pair of constructs, were all higher. Thus, evidence of discriminant validity also exists. A summary of the CFA results is presented in Table 1.
Table 1.
Summary of confirmatory factor analysis results.
4.2. Structural Equation Modeling
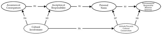
In the second stage, structural equation modeling was conducted. The goodness-of-fit statistics indicated that the proposed model also fits the data adequately (χ2 = 294.375, df = 159, χ2/df = 1.851, RMSEA = 0.039, CFI = 0.978, PNFI = 0.798, TLI = 0.973, NFI = 0.953, PGFI = 0.720). Hypotheses 1, 2, and 3 are based on the NAM constructs. As expected, all paths are significant. Specifically, AC significantly and positively affects AR (β = 0.627, p < 0.001). Subsequently, AR produced a significant and positive impact on PN (β = 0.451, p < 0.001). Then, PN also has a significant and positive impact on the last construct, ERBI (β = 0.386, p < 0.001). Cultural involvement (INV) significantly predicts both AC (β = 0.270, p < 0.001) and AR (β = 0.124, p < 0.01). Hence, hypothesis 4 and hypothesis 5 are both supported. Next, INV is found to also have a significant and positive impact on attitude towards cultural conversion (AT) (β = 0.696, p < 0.001). Thus, hypothesis 6 is supported by the data. Lastly, AT is found to be a significant predictor of PN (β = 0.468, p < 0.001) and ERBI (β = 0.463, p < 0.001). As a result, the last two hypotheses are also supported. In terms of total variance explained, the final construct, ERBI has 56.3% of its variance explained by all previous constructs. PN accounts for 50.9% of the total variance explained by its antecedents. The newly added construct, AT, is explained by 48.4% of the variance. AT is also found to produce the largest total impact on ERBI (0.643), followed by INV (0.499). The results imply that the two new constructs have a substantial impact on predicting the ERBI. In Table 2, a summary of the SEM results can be seen. In addition, a graphical illustration of the study model with the SEM results are displayed in Figure 2.
Table 2.
Summary of the structural equation modeling results.
Figure 2.
Study model and the results of structural equation modeling. Note = *** p < 0.001, ** p < 0.01.
4.3. Indirect-Impact Assessment
The indirect-impact assessment allows for further tests on the mediation effect among the variables within the proposed model. The assessment has shown that the indirect effect of INV on AR (β = 0.169, p < 0.001), PN (β = 0.458, p < 0.001), and ERBI (β = 0.499, p < 0.001) are all significant. The results imply that there are indeed significant mediation effects and the mediation effects are all partial. Next, the indirect effect of AC on PN and (β = 0.283, p < 0.001) and ERBI (β = 0.109, p < 0.001) are also significant. In other words, AR is a partial mediator between AC and PN. Furthermore, PN is a partial mediator between AC and ERBI. Lastly, the indirect effect of AR (β = 0.174, p < 0.001) and AT (β = 0.180, p < 0.001) are both significant on ERBI. Table 3 displays a summary of the indirect-impact assessment results.
Table 3.
Indirect-impact assessment results.
4.4. Model Comparison
The last stage of the data analysis compares the model fit indices and explanatory power of the proposed study model against the original NAM framework at the structural level. The goodness-of-fit indices of the NAM are also satisfactory (χ2 = 159.717, df = 159, χ2/df = 1.851, RMSEA = 0.039, CFI = 0.978, PNFI = 0.757, TLI = 0.973, NFI = 0.953, PGFI = 0.720). Notably, when compared to the NAM’s absolute fit indices against the study model, results showed the study model to have a superior fit. Despise having added two new constructs to the NAM’s original four, parsimony normed fit index (PNFI) of the proposed model also shows superior parsimony. In the incremental fit indices such as CFI, TLI, and NFI, the results are relatively comparable with a slightly better fit for the study model. Please note, all fit indices of both models are still well above the generally accepted thresholds. More importantly, comparing the R2 of ERBI scores show a significant improvement in the predictive ability of the study model. Lastly, the χ2 difference test revealed a statistically significant difference between the study model and the original NAM framework (Δχ2 = 134.658, Δdf = 87, p < 0.001). In other words, the two new constructs significantly improve the predictive power of the original NAM while retaining a superior model fit, despite having more variables. A summary of the model comparison can be seen in Table 4.
Table 4.
Results of the structural model comparisons.
5. Discussions
5.1. General Discussions
Consistent with the results of previous studies on environmental behaviors, the research sample of this present study is found to have a high level of knowledge about the environment and consistently displays positive attitudes toward the protection of the environment [15,68]. This phenomenon can be explained by how smart tourists generally have higher exposure to many public campaigns on environmental issues at relatively early stages in life [15]. Environmental issues have been a global concern over the last few decades, so young people growing up have always been aware of these concerns. However, the challenge remains the same in that the gap between knowledge and action exists [10,16]. In other words, tourists today are mostly aware of the consequences and have a good notion of responsible environmental behaviors, but a cognitive dissonance exists in many cases between awareness and action. The finding highlights that using technologies to reinforce knowledge or awareness of environmental issues can be ineffective, since the information is redundant but may not result in the desired change in behavior. Existing implementations of information technologies and smart devices have often focused on providing information and improving the ease of access to this information. In the environmental context, the same technologies can be used to provide useful information to tourists who are traveling at a destination foreign to their home environment and encourage behavioral change in addition to dissemination of environmentally responsible information.
The lack of knowledge and information about the environmental systems and infrastructure is cited as a key barrier for tourists to behave environmentally responsibly to the same degree as when they are at home [32]. On the other hand, researchers argue that passive behaviors such as not littering, not vandalizing with graffiti, and avoiding food waste do not need additional reinforcements. However, actions such as waste separation, excessive water and electricity consumption at hotels, and other actions that differ from the home environment while traveling still need further reinforcement [32,67]. Such behaviors that require additional information and instructions in a foreign environment may still benefit from the advanced technologies that smart destinations are deploying. Taking the suggestion proposed in previous research to nudge hotel guests to save electricity in combination with reducing travelers’ carbon footprints, smart technologies should be used to bring such concepts into practice [40,75]. Specifically, development of a system where guests have their carbon footprint tracked and calculated automatically and, compared to other users against a benchmark could provide not just an effective tool to nudge travelers’ eco-friendly behaviors but would also be interactive and engaging.
The research findings have also validated the scope that culture encompasses many aspects of a destination, including the environment. Involvement has proven to be a significant antecedent of AC and AR. The results are consistent with the value-belief-norm theory that adds two levels of antecedents to AC, namely personal values, and the new ecological paradigm [21,53]. The new ecological paradigm construct was a construct measuring the level of knowledge and awareness of the interactions between human behaviors and environmental health. The majority of travelers visit a new destination to experience all the various dimensions of experience, environmental condition is also an important attribute that constitutes the overall level of satisfaction [23,33,36]. The research found that European tourists find the poor environmental quality to be the most dissatisfying aspect of their holiday experience [11]. The fear of dissatisfaction when traveling can be used as a strong motivational message to protect the environment. Hence, smart technologies that are always carried by tourists present an avenue to provide persuasive messages to tourists.
One of the promises of smart technologies in the tourism sphere is the ability of tourists to co-create the tourism experience. Unlike the previous generation of technologies where the technologies and innovations were focused on assisting the tourist decision-making process at various stages of the tourism experience. Smart technologies were designed to be a part of the experience creation along with the tourists throughout the entirety of the trip. For example, social media was thought of as a platform to share past tourism experience. Helping the tourists to relive the experience and share their experience with friends and family. Smart devices and technologies can now connect friends and family to the experience during the trip. Furthermore, tourists still need to start planning their experience using a known keyword. However, artificial intelligence and advanced machine learning algorithms can now suggest activities, places to visit, and what to eat in real-time while being location-specific. Hence, the term co-creation of the experience through smart technologies encompasses this.
5.2. Implications
In general, the findings of this present research can be useful for not only businesses, but also destination management organizations. As technologies evolve and new applications of these technologies are being implemented across various industries, the tourism stakeholders are now facing increased pressure to stay competitive and differentiate themselves from the competition. Many tourism-related services today must cater to the rise of smart device usage. Airlines have now started to offer inflight internet connectivity, airports and hotels need to provide free Wi-Fi connection to guests, and most businesses are present on social media platforms. These services are driven mostly by the tourists’ changes in travel behaviors. Thus, understanding an emerging trend even at its infancy stage such as the smart tourism paradigm can provide managers and owners sufficient time to prepare and implement their services to suit the new wave of tourists.
In the context of environmentally responsible behaviors among smart tourists, the implications for industry practitioners may include the integration of eco-friendly behaviors while maximizing the tourism experience. In the past, tourists tend to associate eco-friendly behaviors while traveling as a constraint or barrier to fully enjoying a special opportunity to escape their daily lives. Hence, initiatives to ask tourists to manually calculate the carbon footprint of their trip did not reach the mainstream market. If smart technologies allow seamless integration and calculation of carbon footprints to the same interface as other common applications that smart tourists use during their trips, tourists may no longer feel that their effort to conserve energy and protect the environment would diminish their tourism experience. Nevertheless, the challenges of a successful implementation exist. Firstly, smart technologies rely heavily on tourists sharing their data, such as location and browsing history. Secondly, the development of advanced technologies requires specialized knowledge and extensive investment. Therefore, a smart tourism destination also relies on smart tourists. In addition, businesses would need to collaborate with not only other businesses but also the destination management organizations.
Theoretically, the results are consistent with many research projects where the NAM has been applied successfully in various pro-social and pro-environmental studies [17,18,19,20,51]. The results of this study have reaffirmed the efficacy of the NAM in explaining environmentally responsible behavioral intentions of smart tourists. Although the NAM is a well-rounded framework and has been applied in various settings, its predictive ability varies depending on the context and type of behavior. A previous study tested the NAM on five different types of behaviors (i.e., acceptability of energy policy, car-use reduction, emission reduction, demonstrations against the establishment of methadone point, and blood donations) [19]. The results of the study show different degrees of effectiveness in predicting different types of behaviors. For example, blood donation received the lowest total variance explained in the personal norm construct at 14%, while the intention to reduce car-use was 43%. Another study extended the NAM with anticipated pride and guilt, social norms, and attitude constructs. The extensions improved the total variance explained from 15% to 47.18%. The total variance explained produced by the study model is 56.3%, which compares favorably to previous studies. This present study also successfully extended the framework. Successful convergence of these new variables reaffirms the effectiveness of illustrating that the scope of environmental conservation must always be pro-social or strictly be influenced by biospheric concerns. Previous studies have also found that self-interest constructs have been effective in predicting pro-environmental behaviors. In this vein, tourists would naturally like to maximize the level of satisfaction while traveling. Potential harm to their travel experience may prompt their response to protect their self-interests. Statistically, the proposed model scores strongly on the parsimonious index, even with additional constructs.
5.3. Limitations and Recommendations for Future Research
Similar to many ethical and moral study topics, the results should be taken with caution. It is generally accepted that participants may feel ethical pressure when asking about socially sensitive issues such as the environment. Secondly, the scope of this research did not include domestic (at home) behaviors. The difference between intentions to behave pro-environmentally at home and while traveling can exist. Thus, a comparison could enhance studies of this field. Third, in regard to the study samples, the results may lack the ability to be applied to a broader spectrum of society. The study has only managed to sample a small fraction of the population. Future studies would benefit from expanding the research sample to include other members of the smart tourism ecosystem, both from the supply side and the demand side. Moreover, the conceptualization of smart tourists is still under development, and more refinements to the scope and characteristics are subject to further adjustments, specifically in regard to the segmentation of smart tourists in terms of their tourism experience and general behaviors. The current pool of available research on smart tourists has mostly focused on the use of smart technologies and personal data sharing. However, the creation of tourism experience is still fundamental to all tourists, regardless of the technology adoption. Hence, future research projects may decide to focus on the tourism experience itself and not just the technological aspect. Therefore, the generalizability of this research should not be overestimated. Furthermore, this present study has only sampled the Korean population, however, environmental behaviors differ across cultures. The proposed model has also only been validated within one context. Hence, future studies are encouraged to validate this framework across more cultural backgrounds. Future studies may also look to compare responsible environmental behaviors of smart tourists in their home environment against when they are traveling.
Author Contributions
Conceptualization, K.K.; methodology, K.K.; formal analysis, K.K., I.S.; data curation, K.K.; writing—original draft preparation, K.K.; writing—review and editing, I.S.; supervision, S.K.L. All authors have read and agreed to the published version of the manuscript.
Funding
This work was supported by the Ministry of Education of the Republic of Korea and the National Research Foundation of Korea (NRF-2019S1A3A2098438).
Conflicts of Interest
The authors declare no conflict of interest.
References
- Bramwell, B. Rural tourism and sustainable rural tourism. J. Sustain. Tour. 1994, 2, 1–6. [Google Scholar] [CrossRef]
- Shen, S.; Sotiriadis, M.; Zhou, Q. Could Smart Tourists Be Sustainable and Responsible as Well? The Contribution of Social Networking Sites to Improving Their Sustainable and Responsible Behavior. Sustainability 2020, 12, 1470. [Google Scholar] [CrossRef]
- Solís-Radilla, M.M.; Hernández-Lobato, L.; Callarisa-Fiol, L.J.; Pastor-Durán, H.T. The Importance of Sustainability in the Loyalty to a Tourist Destination through the Management of Expectations and Experiences. Sustainability 2019, 11, 4132. [Google Scholar] [CrossRef]
- Femenia-Serra, F.; Neuhofer, B.; Ivars-Baidal, J.A. Towards a conceptualisation of smart tourists and their role within the smart destination scenario. Serv. Ind. J. 2019, 39, 109–133. [Google Scholar] [CrossRef]
- Vargas-Sánchez, A. Exploring the concept of smart tourist destination. Enl. Tour. Pathmaking J. 2016, 6. [Google Scholar]
- Gretzel, U.; Sigala, M.; Xiang, Z.; Koo, C. Smart tourism: Foundations and developments. Electron. Mark. 2015, 25, 179–188. [Google Scholar] [CrossRef]
- Sotiriadis, M.; Shen, S.; Zhou, Q. Influence of Social Networks on Responsible Behaviour by Smart Tourists. In Proceedings of the Advances in Digital Marketing and eCommerce; Martínez-López, F.J., D’Alessandro, S., Eds.; Springer International Publishing: Cham, Switzerland, 2020; pp. 9–16. [Google Scholar]
- Weaver, D.B.; Moyle, B.D. ‘Tourist stupidity’ as a basic characteristic of ‘smart tourism’: Challenges for destination planning and management. Tour. Recreat. Res. 2019, 44, 387–391. [Google Scholar] [CrossRef]
- Bamberg, S.; Möser, G. Twenty years after Hines, Hungerford, and Tomera: A new meta-analysis of psycho-social determinants of pro-environmental behaviour. J. Environ. Psychol. 2007, 27, 14–25. [Google Scholar] [CrossRef]
- Blake, J. Overcoming the ‘value-action gap’in environmental policy: Tensions between national policy and local experience. Local Environ. 1999, 4, 257–278. [Google Scholar] [CrossRef]
- Budeanu, A. Sustainable tourist behaviour–a discussion of opportunities for change. Int. J. Consum. Stud. 2007, 31, 499–508. [Google Scholar] [CrossRef]
- Carlsson-Kanyama, A. Climate change and dietary choices—how can emissions of greenhouse gases from food consumption be reduced? Food Policy 1998, 23, 277–293. [Google Scholar] [CrossRef]
- Han, H.; Yoon, H.J. Hotel customers’ environmentally responsible behavioral intention: Impact of key constructs on decision in green consumerism. Int. J. Hosp. Manag. 2015, 45, 22–33. [Google Scholar] [CrossRef]
- Miller, D.; Merrilees, B.; Coghlan, A. Sustainable urban tourism: Understanding and developing visitor pro-environmental behaviours. J. Sustain. Tour. 2015, 23, 26–46. [Google Scholar] [CrossRef]
- Yu, X. Is environment ‘a city thing’in China? Rural–urban differences in environmental attitudes. J. Environ. Psychol. 2014, 38, 39–48. [Google Scholar] [CrossRef]
- Kollmuss, A.; Agyeman, J. Mind the gap: Why do people act environmentally and what are the barriers to pro-environmental behavior? Environ. Educ. Res. 2002, 8, 239–260. [Google Scholar] [CrossRef]
- Han, H. The norm activation model and theory-broadening: Individuals’ decision-making on environmentally-responsible convention attendance. J. Environ. Psychol. 2014, 40, 462–471. [Google Scholar] [CrossRef]
- Onwezen, M.C.; Antonides, G.; Bartels, J. The Norm Activation Model: An exploration of the functions of anticipated pride and guilt in pro-environmental behaviour. J. Econ. Psychol. 2013, 39, 141–153. [Google Scholar] [CrossRef]
- De Groot, J.I.; Steg, L. Morality and prosocial behavior: The role of awareness, responsibility, and norms in the norm activation model. J. Soc. Psychol. 2009, 149, 425–449. [Google Scholar] [CrossRef]
- Steg, L.; De Groot, J. Explaining prosocial intentions: Testing causal relationships in the norm activation model. Br. J. Soc. Psychol. 2010, 49, 725–743. [Google Scholar] [CrossRef]
- Stern, P.C.; Dietz, T.; Abel, T.; Guagnano, G.A.; Kalof, L. A value-belief-norm theory of support for social movements: The case of environmentalism. Hum. Ecol. Rev. 1999, 81–97. [Google Scholar]
- Perugini, M.; Bagozzi, R.P. The role of desires and anticipated emotions in goal-directed behaviours: Broadening and deepening the theory of planned behaviour. Br. J. Soc. Psychol. 2001, 40, 79–98. [Google Scholar] [CrossRef] [PubMed]
- Kiatkawsin, K.; Han, H. An alternative interpretation of attitude and extension of the value–attitude–behavior hierarchy: The destination attributes of Chiang Mai, Thailand. Asia Pac. J. Tour. Res. 2017, 22, 481–500. [Google Scholar] [CrossRef]
- Bui, N.A.; Kiatkawsin, K. Examining Vietnamese Hard-Adventure Tourists’ Visit Intention Using an Extended Model of Goal-Directed Behavior. Sustainability 2020, 12, 1747. [Google Scholar] [CrossRef]
- Ramkissoon, H.; Smith, L.D.G.; Weiler, B. Testing the dimensionality of place attachment and its relationships with place satisfaction and pro-environmental behaviours: A structural equation modelling approach. Tour. Manag. 2013, 36, 552–566. [Google Scholar] [CrossRef]
- Thogersen, J. The motivational roots of norms for environmentally responsible behavior. Basic Appl. Soc. Psychol. 2009, 31, 348–362. [Google Scholar] [CrossRef]
- Pinto, D.C.; Nique, W.M.; Añaña, E.D.; Herter, M.M. Green consumer values: How do personal values influence environmentally responsible water consumption? Int. J. Consum. Stud. 2011, 35, 122–131. [Google Scholar] [CrossRef]
- Gajdošík, T. Smart tourists as a profiling market segment: Implications for DMOs. Tour. Econ. 2019, 1354816619844368. [Google Scholar] [CrossRef]
- Choe, Y.; Kim, J.; Fesenmaier, D.R. Use of social media across the trip experience: An application of latent transition analysis. J. Travel Tour. Mark. 2017, 34, 431–443. [Google Scholar] [CrossRef]
- Buhalis, D.; Amaranggana, A. Smart tourism destinations enhancing tourism experience through personalisation of services. In Information and Communication Technologies in Tourism 2015; Springer: Berlin, Germany, 2015; pp. 377–389. [Google Scholar]
- Femenia-Serra, F.; Perles-Ribes, J.F.; Ivars-Baidal, J.A. Smart destinations and tech-savvy millennial tourists: Hype versus reality. Tour. Rev. 2019. [Google Scholar] [CrossRef]
- Kiatkawsin, K.; Han, H. Young travelers’ intention to behave pro-environmentally: Merging the value-belief-norm theory and the expectancy theory. Tour. Manag. 2017, 59, 76–88. [Google Scholar] [CrossRef]
- Chi, X.; Lee, S.K.; Ahn, Y.; Kiatkawsin, K. Tourist-Perceived Quality and Loyalty Intentions towards Rural Tourism in China. Sustainability 2020, 12, 3614. [Google Scholar] [CrossRef]
- Sarlat, E.M.; García, O.; Wood, P. Urban ethno-botanists, storytellers of our cities: An ecotourism initiative from Barcelona, Spain. J. Ecotourism 2013, 12, 189–196. [Google Scholar] [CrossRef]
- Beerli, A.; Martin, J.D. Factors influencing destination image. Ann. Tour. Res. 2004, 31, 657–681. [Google Scholar] [CrossRef]
- Crouch, G.I.; Ritchie, J.B. Tourism, competitiveness, and societal prosperity. J. Bus. Res. 1999, 44, 137–152. [Google Scholar] [CrossRef]
- del Bosque, I.R.; San Martín, H. Tourist satisfaction a cognitive-affective model. Ann. Tour. Res. 2008, 35, 551–573. [Google Scholar] [CrossRef]
- Dwyer, L.; Kim, C. Destination competitiveness: Determinants and indicators. Curr. Issues Tour. 2003, 6, 369–414. [Google Scholar] [CrossRef]
- Kim, J.-H. The antecedents of memorable tourism experiences: The development of a scale to measure the destination attributes associated with memorable experiences. Tour. Manag. 2014, 44, 34–45. [Google Scholar] [CrossRef]
- Chang, H.S.; Huh, C.; Lee, M.J. Would an Energy Conservation Nudge in Hotels Encourage Hotel Guests to Conserve? Cornell Hosp. Q. 2016, 57, 172–183. [Google Scholar] [CrossRef]
- Hunter-Jones, P.; Jeffs, A.; Smith, D. Backpacking your way into crisis: An exploratory study into perceived risk and tourist behaviour amongst young people. J. Travel Tour. Mark. 2008, 23, 237–247. [Google Scholar] [CrossRef]
- Lee, H.-J.; Wilkins, H.; Lee, Y.-S. Feeling ‘Protected’In Mass Organized Group Tours: -A South Korean case. Int. J. Tour. Sci. 2011, 11, 131–159. [Google Scholar]
- Konrad, K.; Wittowsky, D. Virtual mobility and travel behavior of young people – Connections of two dimensions of mobility. Res. Transp. Econ. 2018, 68, 11–17. [Google Scholar] [CrossRef]
- Fan, Y.; Chen, Q.; Liao, C.-F.; Douma, F. Smartphone-Based Travel Experience Sampling and Behavior Intervention among Young Adults; Intelligent Transportation Systems Institute, Center for Transportation Studies, University of Minnesota: Minneapolis, Minnesota, 2012. [Google Scholar]
- Bryce, J.; Klang, M. Young people, disclosure of personal information and online privacy: Control, choice and consequences. Inf. Secur. Tech. Rep. 2009, 14, 160–166. [Google Scholar] [CrossRef]
- Steeves, V.; Regan, P. Young people online and the social value of privacy. J. Inf. Commun. Ethics Soc. 2014. [Google Scholar] [CrossRef]
- Murata, K.; Orito, Y.; Fukuta, Y. Social attitudes of young people in japan towards online privacy. JL Inf. Sci. 2014, 23, 137. [Google Scholar]
- Johnson, C.Y.; Bowker, J.M.; Cordell, H.K. Ethnic variation in environmental belief and behavior: An examination of the new ecological paradigm in a social psychological context. Environ. Behav. 2004, 36, 157–186. [Google Scholar] [CrossRef]
- Autio, M.; Heinonen, V. To consume or not to consume? Young people’s environmentalism in the affluent Finnish society. Young 2004, 12, 137–153. [Google Scholar] [CrossRef]
- Dunlap, R.E.; Van Liere, K.D.; Mertig, A.G.; Jones, R.E. New trends in measuring environmental attitudes: Measuring endorsement of the new ecological paradigm: A revised NEP scale. J. Soc. Issues 2000, 56, 425–442. [Google Scholar] [CrossRef]
- Kaiser, F.G.; Hübner, G.; Bogner, F.X. Contrasting the Theory of Planned Behavior with the Value-Belief-Norm Model in Explaining Conservation Behavior 1. J. Appl. Soc. Psychol. 2005, 35, 2150–2170. [Google Scholar] [CrossRef]
- Oreg, S.; Katz-Gerro, T. Predicting proenvironmental behavior cross-nationally: Values, the theory of planned behavior, and value-belief-norm theory. Environ. Behav. 2006, 38, 462–483. [Google Scholar] [CrossRef]
- Han, H. Travelers’ pro-environmental behavior in a green lodging context: Converging value-belief-norm theory and the theory of planned behavior. Tour. Manag. 2015, 47, 164–177. [Google Scholar] [CrossRef]
- Schwartz, S.H. Normative influences on altruism. Adv. Exp. Soc. Psychol. 1977, 10, 221–279. [Google Scholar]
- McKercher, B.; Du Cros, H. Cultural Tourism: The Partnership between Tourism and Cultural Heritage Management; Routledge: Abingdon, UK, 2002. [Google Scholar]
- McKercher, B. Towards a classification of cultural tourists. Int. J. Tour. Res. 2002, 4, 29–38. [Google Scholar] [CrossRef]
- Smith, M.K. Issues in Cultural Tourism Studies; Routledge: Abingdon, UK, 2009. [Google Scholar]
- Gnoth, J.; Zins, A.H. Developing a tourism cultural contact scale. J. Bus. Res. 2013, 66, 738–744. [Google Scholar] [CrossRef]
- Gullestrup, H. Cultural Analysis: Towards Cross-Cultural Understanding; Copenhagen Business School Press DK: Frederiksberg, Denmark, 2006. [Google Scholar]
- Kiatkawsin, K.; Han, H. What drives customers’ willingness to pay price premiums for luxury gastronomic experiences at michelin-starred restaurants? Int. J. Hosp. Manag. 2019, 82, 209–219. [Google Scholar] [CrossRef]
- Park, C.-W.; Moon, B.-J. The relationship between product involvement and product knowledge: Moderating roles of product type and product knowledge type. Psychol. Mark. 2003, 20, 977–997. [Google Scholar] [CrossRef]
- Bian, X.; Moutinho, L. The role of product involvement, knowledge, and perceptions in explaining consumer purchase behaviour of counterfeits: Direct and indirect effects. Res. Memo. 2008, 77, 1–34. [Google Scholar]
- Aertsens, J.; Mondelaers, K.; Verbeke, W.; Buysse, J.; Van Huylenbroeck, G. The influence of subjective and objective knowledge on attitude, motivations and consumption of organic food. Br. Food J. 2011. [Google Scholar] [CrossRef]
- Ajzen, I.; Madden, T.J. Prediction of goal-directed behavior: Attitudes, intentions, and perceived behavioral control. J. Exp. Soc. Psychol. 1986, 22, 453–474. [Google Scholar] [CrossRef]
- Fishbein, M.; Ajzen, I. Belief, attitude, intention, and behavior: An introduction to theory and research; Addison-Wesley: Reading, MA, USA, 1977. [Google Scholar]
- Ajzen, I. From intentions to actions: A theory of planned behavior. In Action Control; Springer: Berlin, Germany, 1985; pp. 11–39. [Google Scholar]
- Ramkissoon, H.; Weiler, B.; Smith, L.D.G. Place attachment and pro-environmental behaviour in national parks: The development of a conceptual framework. J. Sustain. Tour. 2012, 20, 257–276. [Google Scholar] [CrossRef]
- Grønhøj, A.; Thøgersen, J. Action speaks louder than words: The effect of personal attitudes and family norms on adolescents’ pro-environmental behaviour. J. Econ. Psychol. 2012, 33, 292–302. [Google Scholar] [CrossRef]
- Leonidou, L.C.; Leonidou, C.N.; Kvasova, O. Antecedents and outcomes of consumer environmentally friendly attitudes and behaviour. J. Mark. Manag. 2010, 26, 1319–1344. [Google Scholar] [CrossRef]
- Howell, B.J. Weighing the risks and rewards of involvement in cultural conservation and heritage tourism. Hum. Organ. 1994, 150–159. [Google Scholar] [CrossRef]
- Hair, J.; Black, W.; Babin, B.; Anderson, R. Multivariate Data Analysis, 7th ed.; Pearson New International Edition; Pearson Education limited: Essex, UK, 2014. [Google Scholar]
- Nunkoo, R.; Ramkissoon, H.; Gursoy, D. Use of structural equation modeling in tourism research: Past, present, and future. J. Travel Res. 2013, 52, 759–771. [Google Scholar] [CrossRef]
- Bagozzi, R.P.; Yi, Y. Specification, evaluation, and interpretation of structural equation models. J. Acad. Mark. Sci. 2012, 40, 8–34. [Google Scholar] [CrossRef]
- Nunally, J.C.; Bernstein, I. Psychometric Theory; McGraw-Hill: New York, NY, USA, 1978. [Google Scholar]
- Scott, D.; Peeters, P.; Gössling, S. Can tourism deliver its “aspirational” greenhouse gas emission reduction targets? J. Sustain. Tour. 2010, 18, 393–408. [Google Scholar] [CrossRef]
© 2020 by the authors. Licensee MDPI, Basel, Switzerland. This article is an open access article distributed under the terms and conditions of the Creative Commons Attribution (CC BY) license (http://creativecommons.org/licenses/by/4.0/).

