Intense Cyclones in the Black Sea Region: Change, Variability, Predictability and Manifestations in the Storm Activity
Abstract
1. Introduction
2. Data and Methods
2.1. Deep, Intense and Extreme Cyclones
- –
- Comparison of seasonal and annual mean values;
- –
- Annual cycle of long-term monthly mean and dispersion of the frequency of deep cyclones;
- –
- Long-term variability of seasonal and annual frequency of deep cyclones and their anomalies normalized on standard deviation σ;
- –
- Linear trends and their p-value with contribution to dispersion (determination coefficient R2);
- –
- Variability of low-frequency (≥14 years) and high-frequency (˂14 years) components of seasonal and annual series with the assessments of contribution to dispersion;
- –
- Spectral Fourier analysis of high-frequency component (˂14 years) of seasonal and annual frequency of deep cyclones.
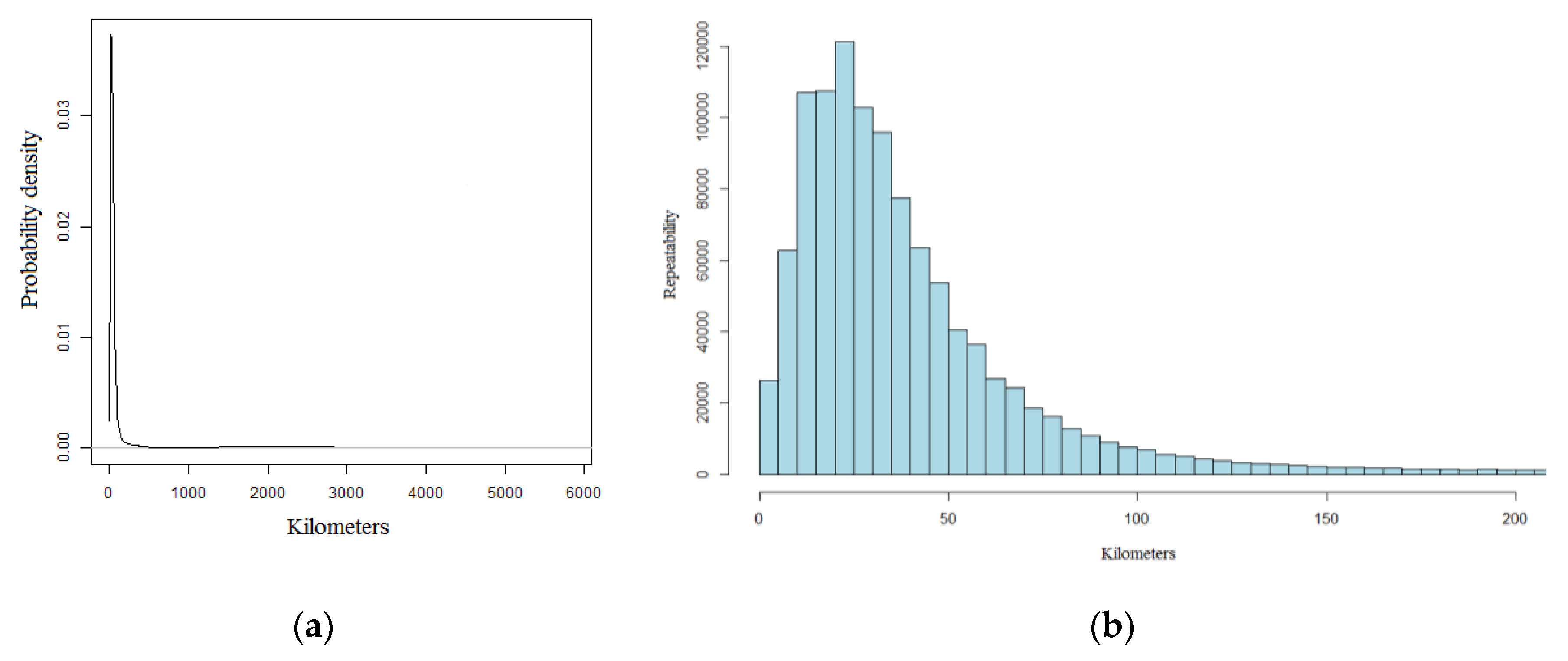
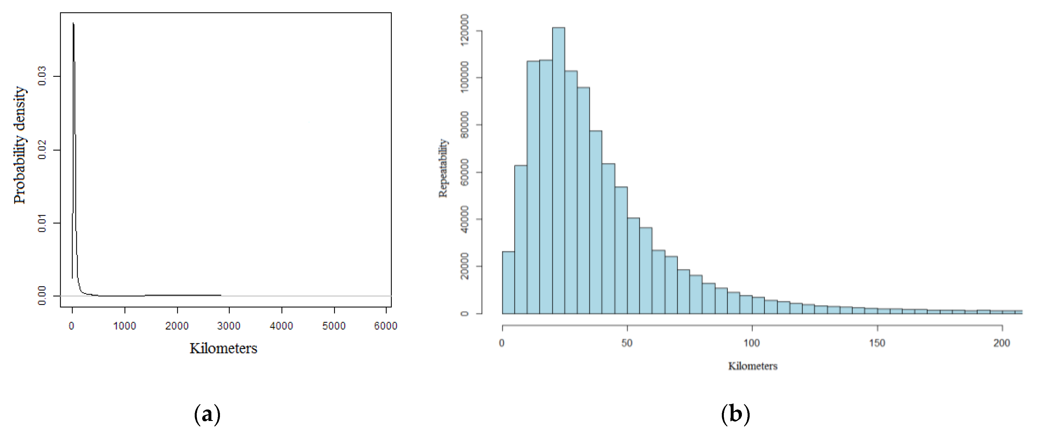
2.2. Additional Methodology and Intercomparison of Data Sets
2.3. Spectral Analysis
2.4. Neural Network Model
2.5. Material for Case Studies Involving the Types of Storms
- 1.
- Centers of cyclones in the days of storms based on data set #1 after [49];
- 2.
- Full storm tracks of cyclones based on data set #2 after [51], the centers of which were over the Black Sea region on the composite dates;
- 3–6.
- Sea level pressure; 1000 hPa and 500 hPa geopotential height; 1000 hPa wind vector.
3. Results and Discussion
3.1. Annual Cycle of Long-Term Mean Characteristics of the Frequency of Deep Cyclones
3.2. Variability, Trends and Anomalies of Seasonal and Annual Frequency of Deep Cyclones
3.3. Spectral Analysis of the High-Frequency Component of Deep Cyclones
- For the frequency of intense cyclones (Figure 6b), 7.4–8.3 in spring and autumn, 5.12–5.7 in winter and summer, from 3.4–3.5 in winter and spring to 3.8 in autumn, and also 2.7 in summer (notably, lower-frequency peaks in the winter-spring period and higher-frequency peaks in the summer-autumn period have higher energy).
- For the frequency of extreme cyclones (Figure 6c), 5.6, 6.3 and 7.7 in winter, spring and autumn, respectively, and from 3.4 in winter and autumn to 2.5 in spring (summer spectral peaks are insignificant due to the small number of extreme cyclones in this season).
3.4. Approach to Forecasting Intense Cyclones in the Black Sea Region Using the Neural Network Model
3.5. Case Studies of Regional Manifestations of Deep Cyclones in the Types of Storms in the Northern Black Sea Coast
4. Conclusions
- –
- The highest frequency of intense cyclones is from November to May, while for extreme cyclones this period is from November to March with the maximum in February for the both;
- –
- When characterizing the regime and variability of deep cyclones in the region, it is necessary to take into account significant linear trends for some seasons (which are responsible for up to 10% contribution to dispersion in winter), as well as the low-frequency component of variability (which makes up to half of the contribution to dispersion for extreme cyclones in winter and more than half of the contribution to dispersion for intense cyclones in winter and spring);
- –
- Typical periods of interannual variability of winter–spring deep cyclones are about 2.5–3.5 and 6–8 years, the same as for the North Atlantic Oscillation and El Nino–Southern Oscillation;
- –
- The neural network modeling for forecasting cyclones in the region is a promising approach and requires a separate study;
- –
- The plausible pattern of the distribution of deep cyclone centers associated with the types of storms on the northern Black Sea coast is shown.
Author Contributions
Funding
Acknowledgments
Conflicts of Interest
Appendix A
| Acronym | Meaning |
|---|---|
| NCEP/NCAR | A joint product from the National Centers for Environmental Prediction (NCEP) and the National Center for Atmospheric Research (NCAR) |
| ERA | European Centre for Medium-Range Weather Forecasts (ECMWF) reanalysis |
| JRA | The Japanese global atmospheric reanalysis by the Japan Meteorological Agency (JMA) |
| MERRA | Modern-era retrospective analysis for research and applications |
| 20CR | Twentieth century reanalysis project |
References
- Gopalakrishnan, T.; Hasan, M.K.; Haque, A.; Jayasinghe, S.L.; Kumar, L. Sustainability of Coastal Agriculture under Climate Change. Sustainability 2019, 11, 7200. [Google Scholar] [CrossRef]
- Kemp-Benedict, E.; Lamontagne, J.; Laing, T.; Drakes, C. Climate Impacts on Capital Accumulation in the Small Island State of Barbados. Sustainability 2019, 11, 3192. [Google Scholar] [CrossRef]
- Ahmed, B.; Kelman, I.; Fehr, H.K.; Saha, M. Community Resilience to Cyclone Disasters in Coastal Bangladesh. Sustainability 2016, 8, 805. [Google Scholar] [CrossRef]
- Fink, A.H.; Pohle, S.; Pinto, J.G.; Knippertz, P. Diagnosing the influence of diabatic processes on the explosive deepening of extratropical cyclones. Geophys. Res. Lett. 2012, 39. [Google Scholar] [CrossRef]
- Pirret, J.S.; Knippertz, P.; Trzeciak, T.M. Drivers for the deepening of severe European windstorms and their impacts on forecast quality. Q. J. R. Meteorol. Soc. 2017, 143, 309–320. [Google Scholar] [CrossRef]
- Zappa, G.; Shaffrey, L.C.; Hodges, K.I.; Sansom, P.G.; Stephenson, D.B. A Multimodel Assessment of Future Projections of North Atlantic and European Extratropical Cyclones in the CMIP5 Climate Models. J. Clim. 2013, 26, 5846–5862. [Google Scholar] [CrossRef]
- Akperov, M.; Bardin, M.Y.; Volodin, E.; Golitsyn, G.; Mokhov, I. Probability distributions for cyclones and anticyclones from the NCEP/NCAR reanalysis data and the INM RAS climate model. Izv. Atmos. Ocean. Phys. 2007, 43, 705–712. [Google Scholar] [CrossRef]
- Toptunova, O.; Aniskina, O. Cyclone regime in the Northern and Southern Hemisphere. In Proceedings of the International Scientific and Practical Conference World Science, Ajman, UAE, 22–23 November 2015; pp. 74–78. [Google Scholar]
- Baatsen, M.; Haarsma, R.J.; Van Delden, A.J.; de Vries, H. Severe Autumn storms in future Western Europe with a warmer Atlantic Ocean. Clim. Dyn. 2015, 45, 949–964. [Google Scholar] [CrossRef]
- Nesterov, E.S. Extreme Cyclones in the Atlantic-European Region; Hydrometeorological Center of Russia: Moscow, Russia, 2018; p. 104. [Google Scholar]
- Luksch, U.; Raible, C.C.; Blender, R.; Fraedrich, K. Decadal cyclone variability in the North Atlantic. Meteorol. Z. 2005, 14, 747–753. [Google Scholar] [CrossRef]
- Geng, Q.Z.; Sugi, M. Variability of the North Atlantic cyclone activity in winter analyzed from NCEP-NCAR reanalysis data. J. Clim. 2001, 14, 3863–3873. [Google Scholar] [CrossRef]
- Zolina, O.; Gulev, S.K. Improving the accuracy of mapping cyclone numbers and frequencies. Mon. Weather Rev. 2002, 130, 748–759. [Google Scholar] [CrossRef]
- Rudeva, I.; Gulev, S.K. Composite analysis of North Atlantic extratropical cyclones in NCEP-NCAR reanalysis data. Mon. Weather Rev. 2011, 139, 1419–1446. [Google Scholar] [CrossRef]
- Polonsky, A.; Evstigneev, V.; Naumova, V.; Voskresenskaya, E. Low-frequency variability of storms in the northern Black Sea and associated processes in the ocean-atmosphere system. Reg. Environ. Chang. 2014, 14, 1861–1871. [Google Scholar] [CrossRef]
- Baltaci, H.; Akkoyunlu, B.O.; Tayanc, M. Relationships between teleconnection patterns and Turkish climatic extremes. Theor. Appl. Climatol. 2018, 134, 1365–1386. [Google Scholar] [CrossRef]
- Khromov, S.P.; Mamontova, L.I. Meteorological Dictionary; Gidrometeoizdat: Leningrad, Russia, 1974. [Google Scholar]
- Barnston, A.G.; Livezey, R.E. Classification, seasonality and persistence of low-frequency atmospheric circulation patterns. Mon. Weather Rev. 1987, 115, 1083–1126. [Google Scholar] [CrossRef]
- Enfield, D.B.; Mestas-Nuñez, A.M. Multiscale variabilities in global sea surface temperatures and their relationships with tropospheric climate patterns. J. Clim. 1999, 12, 2719–2733. [Google Scholar] [CrossRef]
- Wang, X.L.L.; Wan, H.; Zwiers, F.W.; Swail, V.R.; Compo, G.P.; Allan, R.J.; Vose, R.S.; Jourdain, S.; Yin, X.G. Trends and low-frequency variability of storminess over western Europe, 1878–2007. Clim. Dyn. 2011, 37, 2355–2371. [Google Scholar] [CrossRef]
- Matulla, C.; Schoner, W.; Alexandersson, H.; von Storch, H.; Wang, X.L. European storminess: Late nineteenth century to present. Clim. Dyn. 2008, 31, 125–130. [Google Scholar] [CrossRef]
- Wang, X.L.L.; Zwiers, F.W.; Swail, V.R.; Feng, Y. Trends and variability of storminess in the Northeast Atlantic region, 1874–2007. Clim. Dyn. 2009, 33, 1179–1195. [Google Scholar] [CrossRef]
- Polonskii, A.B.; Bardin, M.Y.; Voskresenskaya, E.N. Statistical characteristics of cyclones and anticyclones over the Black Sea in the second half of the 20th century. Phys. Oceanogr. 2007. [Google Scholar] [CrossRef]
- Krasyuk, T.V.; Nesterov, E.S. Characteristics of deep cyclones and extreme waves in the North Atlantic from the ERA-Interim reanalysis data. Russ. Meteorol. Hydrol. 2015, 40, 191–198. [Google Scholar] [CrossRef]
- Nesterov, E.S. On the influence of North Atlantic and East Atlantic fluctuations on the formation of dangerous waves in the North Atlantic. Proc. Hydrometeorol. Res. Cent. Russ. Fed. 2016, 362, 83–91. [Google Scholar]
- Comas-Bru, L.; McDermott, F. Impacts of the EA and SCA patterns on the European twentieth century NAO-winter climate relationship. Q. J. R. Meteorol. Soc. 2014, 140, 354–363. [Google Scholar] [CrossRef]
- Nesterov, E.S. Variability of atmospheric and ocean characteristics in the Atlantic-European region during the El Niño and La Niña events. Russ. Meteorol. Hydrol. 2000, 74–83. [Google Scholar]
- Gushchina, D.; Dewitte, B. El Niño Southern Oscillation and Its Influence on the Ocean-Atmosphere Processes; State Oceanographic Institute Proceedings: Moscow, Russia, 2016; pp. 184–208. [Google Scholar]
- Zheleznova, I.V.; Gushchina, D.Y. Circulation anomalies in the atmospheric centers of action during the Eastern Pacific and Central Pacific El Niño. Russ. Meteorol. Hydrol. 2016, 41, 760–769. [Google Scholar] [CrossRef]
- Voskresenskaya, E.N.; Marchukova, O.V.; Maslova, V.N.; Lubkov, A.S. Interannual climate anomalies in the Atlantic-European region associated with La-Nina types. In Proceedings of the 3rd International Conference on Environment and Sustainable Development of Territories—Ecological Challenges of the 21st Century, Kazan, Russia, 27–29 September 2017. [Google Scholar]
- Voskresenskaya, E.N.; Polonskii, A.B. Trends and interannual variability of parameters of large-scale air-sea interaction in the North Atlantic. Oceanogr. Lit. Rev. 1995, 12, 1057. [Google Scholar]
- Tilinina, N.; Gulev, S.K.; Rudeva, I.; Koltermann, P. Comparing cyclone life cycle characteristics and their interannual variability in different reanalyses. J. Clim. 2013, 26, 6419–6438. [Google Scholar] [CrossRef]
- Rudeva, I.A. Life cycle of atmospheric extratropical cyclones of the Northern Hemisphere and its relationship with the processes of interaction between the ocean and the atmosphere. Izv. Atmos. Ocean. Phys. 2008, 44, 1–7. [Google Scholar]
- Sanders, F.; Gyakum, J.R. Synoptic-dynamic climatology of the “bomb”. Mon. Weather Rev. 1980, 108, 1589–1606. [Google Scholar] [CrossRef]
- Wirth, V.; Eichhorn, J. Long-lived Rossby wave trains as precursors to strong winter cyclones over Europe. Q. J. R. Meteorol. Soc. 2014, 140, 729–737. [Google Scholar] [CrossRef]
- Zimin, A.V.; Szunyogh, I.; Patil, D.J.; Hunt, B.R.; Ott, E. Extracting envelopes of Rossby wave packets. Mon. Weather Rev. 2003, 131, 1011–1017. [Google Scholar] [CrossRef]
- Mailier, P.J.; Stephenson, D.B.; Ferro, C.A.T.; Hodges, K.I. Serial clustering of extratropical cyclones. Mon. Weather Rev. 2006, 134, 2224–2240. [Google Scholar] [CrossRef]
- Pinto, J.G.; Bellenbaum, N.; Karremann, M.K.; Della-Marta, P.M. Serial clustering of extratropical cyclones over the North Atlantic and Europe under recent and future climate conditions. J. Geophys. Res. Atmos. 2013, 118, 12476–12485. [Google Scholar] [CrossRef]
- Vitolo, R.; Stephenson, D.B.; Cook, I.M.; Mitchell-Wallace, K. Serial clustering of intense European storms. Meteorol. Z. 2009, 18, 411–424. [Google Scholar] [CrossRef]
- Lopatukhin, L.; Bukhanovsky, A.; Chernysheva, E.; Kolesov, A. About the storm in the Black Sea in November 2007. In Russian River Register; Publishing Center “Academy”: St. Petersburg, Russia, 2009; p. 35. [Google Scholar]
- Trigo, I.F.; Bigg, G.R.; Davies, T.D. Climatology of cyclogenesis mechanisms in the Mediterranean. Mon. Weather Rev. 2002, 130, 549–569. [Google Scholar] [CrossRef]
- Maslova, V.; Voskresenskaya, E.; Bardin, M. Variability of the cyclone activity in the Mediterranean-Black Sea region. J. Environ. Prot. Ecol. 2010, 11, 1366–1372. [Google Scholar]
- Neu, U.; Akperov, M.G.; Bellenbaum, N.; Benestad, R.S.; Blender, R.; Caballero, R.; Cocozza, A.; Dacre, H.F.; Feng, Y.; Fraedrich, K.; et al. IMILAST: A Community Effort to Intercompare Extratropical Cyclone Detection and Tracking Algorithms. Bull. Am. Meteorol. Soc. 2013, 94, 529–547. [Google Scholar] [CrossRef]
- Alexandersson, H.; Tuomenvirta, H.; Schmith, T.; Iden, K. Trends of storms in NW Europe derived from an updated pressure data set. Clim. Res. 2000, 14, 71–73. [Google Scholar] [CrossRef]
- Krueger, O.; von Storch, H. Evaluation of an air pressure-based proxy for storm activity. J. Clim. 2011, 24, 2612–2619. [Google Scholar] [CrossRef][Green Version]
- Akperov, M.G.; Mokhov, I.I. A comparative analysis of the method of extratropical cyclone identification. Izv. Atmos. Ocean. Phys. 2010, 46, 620–637. [Google Scholar] [CrossRef]
- Lionello, P.; Trigo, I.F.; Gil, V.; Liberato, M.L.R.; Nissen, K.M.; Pinto, J.G.; Raible, C.C.; Reale, M.; Tanzarella, A.; Trigo, R.M.; et al. Objective climatology of cyclones in the Mediterranean region: A consensus view among methods with different system identification and tracking criteria. Tellus Ser. A-Dyn. Meteorol. Oceanogr. 2016, 68, 18. [Google Scholar] [CrossRef]
- Kalnay, E.; Kanamitsu, M.; Kistler, R.; Collins, W.; Deaven, D.; Gandin, L.; Iredell, M.; Saha, S.; White, G.; Woollen, J.; et al. The NCEP/NCAR 40-year reanalysis project. Bull. Am. Meteorol. Soc. 1996, 77, 437–471. [Google Scholar] [CrossRef]
- Bardin, M.Y. Variability of cyclonicity characteristics in the middle troposphere of temperate latitudes of the Northern Hemisphere. Russ. Meteorol. Hydrol. 1995, 11, 24–37. [Google Scholar]
- Haylock, M.R.; Goodess, C.M. Interannual variability of european extreme winter rainfall and links with mean large-scale circulation. Int. J. Climatol. 2004, 24, 759–776. [Google Scholar] [CrossRef]
- Zhuravsky, V.Y.; Voskresenskaya, E.N. Technology of cyclones sepaparion from global reanalyes data seta on meteorological fields. Monit. Syst. Environ. 2018. [Google Scholar] [CrossRef]
- Wahba, G. Spline interpolation and smoothing on the sphere. Siam J. Sci. Stat. Comput. 1981, 2, 5–16. [Google Scholar] [CrossRef]
- Howell, K.B. Principles of Fourier Analysis; CRC Press: Boca Raton, FL, USA, 2016. [Google Scholar]
- Parzen, E. On estimation of a probability density function and mode. Ann. Math. Stat. 1962, 33, 1065–1076. [Google Scholar] [CrossRef]
- Wallace, J.M.; Gutzler, D.S. Teleconnections in the geopotential height field during the northern hemisphere winter. Mon. Weather Rev. 1981, 109, 784–812. [Google Scholar] [CrossRef]
- Mo, K.C.; White, G.H. Teleconnections in the southern-hemisphere. Mon. Weather Rev. 1985, 113, 22–37. [Google Scholar] [CrossRef]
- Trenberth, K.E.; Caron, J.M. The Southern Oscillation revisited: Sea level pressures, surface temperatures, and precipitation. J. Clim. 2000, 13, 4358–4365. [Google Scholar] [CrossRef]
- Osovsky, S. Neural Networks for Data Processing; Finansy i statistika: Moscow, Russia, 2004; p. 344. [Google Scholar]
- Haykin, S. Neural Networks: A Comprehensive Foundation; Prentice Hall PTR: Upper Saddle River, NJ, USA, 1994. [Google Scholar]
- Lubkov, A.; Voskresenskaya, E.; Kukushkin, A. Method for reconstructing the monthly mean water transparencies for the northwestern part of the Black Sea as an example. Atmos. Ocean. Opt. 2016, 29, 457–464. [Google Scholar] [CrossRef]
- Lubkov, A.S.; Voskresenskaya, E.N.; Marchukova, O.V. Application of a neural network model to forecasting of El Niño and La Niña. In Proceedings of the IOP Conference Series: Earth and Environmental Science, Moscow, Russian, 27 May–6 June 2019; p. 012040. [Google Scholar]
- Katz, A.A. Seasonal Changes in General Atmospheric Circulation and Long-Term Forecasts; Gydrometeoizdat: Leningrad, Russia, 1960. [Google Scholar]
- Wangenheim, G.Y. On fluctuations in atmospheric circulation over the Northern Hemisphere. Izv. Acad. Sci. Ussr. Geogr. Geophys. Ser. 1946, 5, 405–416. [Google Scholar]
- Girs, A.A. On the issue of studying the basic forms of atmospheric circulation. Sov. Meteorol. Hydrol. 1948, 3, 9–21. [Google Scholar]
- Osuchowska-Klein, B. Katalog Typów Cyrkulacji Atmosferycznej, 1976–1990; IMGW: Warszawa, Poland, 1978. [Google Scholar]
- Baur, F.; Hess, P.; Nagel, H. Kalender der grosswetterlagen Europas 1881–1939. Bad Homburg, Germany, 1944; Volume 35. [Google Scholar]
- Hess, P.; Brezowsky, H. Katalog der Großwetterlagen Europas. Ber. Dt. Wetterd. 1969, 15, 56. [Google Scholar]
- Werner, P.C.; Gerstengarbe, F.W. Katalog der Großwetterlagen Europas. PIK Rep. 2010, 119, 140. [Google Scholar]
- Leckebusch, G.C.; Weimer, A.; Pinto, J.G.; Reyers, M.; Speth, P. Extreme wind storms over Europe in present and future climate: A cluster analysis approach. Meteorol. Z. 2008, 17, 67–82. [Google Scholar] [CrossRef]
- Voskresenskaya, E.N.; Maslova, V.N. Winter-spring cyclonic variability in the Mediterranean-Black Sea region associated with global processes in the ocean-atmosphere system. Adv. Sci. Res. 2011, 6, 237–243. [Google Scholar] [CrossRef]
- Novikova, A.; Polonskii, A. Inter-decadal variability of the Black Sea surface and cold intermediate layer temperature. Monit. Syst. Environ. 2018. [Google Scholar] [CrossRef]
- McCabe, G.J.; Clark, M.P.; Serreze, M.C. Trends in Northern Hemisphere surface cyclone frequency and intensity. J. Clim. 2001, 14, 2763–2768. [Google Scholar] [CrossRef]
- Polonsky, A.B.; Voskresenskaya, E.N.; Naumova, V.A. Climatic anomalies; Black Sea hurricanes and environmental conditions. Bull. Black Sea Comm. 2008, 14, 3–5. [Google Scholar] [CrossRef]
- Galabov, V.; Chervenkov, H. Study of the Western Black Sea storms with a focus on the storms caused by cyclones of North African origin. Pure Appl. Geophys. 2018, 175, 3779–3799. [Google Scholar] [CrossRef]
- Zainescu, F.; Vespremeanu-Stroe, A. Storm climate and morphological imprints on the Danube delta coast. In Landform Dynamics and Evolution in Romania; Radoane, M., VespremeanuStroe, A., Eds.; Springer International Publishing Ag: Cham, Switzerland, 2017; pp. 845–865. [Google Scholar] [CrossRef]
- Zainescu, F.I.; Tatui, F.; Valchev, N.N.; Vespremeanu-Stroe, A. Storm climate on the Danube delta coast: Evidence of recent storminess change and links with large-scale teleconnection patterns. Nat. Hazards 2017, 87, 599–621. [Google Scholar] [CrossRef]
- Efimov, V.; Anisimov, A. Climatic parameters of wind-field variability in the Black Sea region: Numerical reanalysis of regional atmospheric circulation. Izv. Atmos. Ocean. Phys. 2011, 47, 350–361. [Google Scholar] [CrossRef]
- Seip, K.L.; Gron, O. On the statistical nature of distinct cycles in global warming variables. Clim. Dyn. 2019, 52, 7329–7337. [Google Scholar] [CrossRef]
- Gamiz-Fortis, S.R.; Pozo-Vazquez, D.; Esteban-Parra, M.J.; Castro-Diez, Y. Spectral characteristics and predictability of the NAO assessed through Singular Spectral Analysis. J. Geophys. Res. Atmos. 2002, 107, 15. [Google Scholar] [CrossRef]
- Moron, V.; Ward, M.N. ENSO teleconnections with climate variability in the European and African sectors. Weather 1998, 53, 287–295. [Google Scholar] [CrossRef]
- Bronnimann, S. Impact of El Nino Southern Oscillation on European climate. Rev. Geophys. 2007, 45, 28. [Google Scholar] [CrossRef]
- Pozo-Vázquez, D.; Esteban-Parra, M.J.; Rodrigo, F.S.; Castro-Diez, Y. The association between ENSO and winter atmospheric circulation and temperature in the North Atlantic region. J. Clim. 2001, 14, 3408–3420. [Google Scholar] [CrossRef]
- Cassou, C.; Terray, L. Oceanic forcing of the wintertime low-frequency atmospheric variability in the North Atlantic European sector: A study with the ARPEGE model. J. Clim. 2001, 14, 4266–4291. [Google Scholar] [CrossRef]
- Chernyakova, A.P. Northeastern storms in the Black and Azov Seas during the movement of cyclones from Asia Minor to the southeast of the Black Sea. Collect. Sci. Pap. Ukr. Res. Hydrometeorol. Inst. 1958, 12, 123–132. [Google Scholar]
- Chernyakova, A.P. Typical Black Sea wind fields. Collect. Work. Basin Hydrometeorol. Obs. Black Azov Seas 1965, 3, 25–27. [Google Scholar]
- Surkova, G.V.; Koltermann, K.P.; Kislov, A.V. Method of forecasting storm conditions for the Black Sea under climate changes. Mosc. Univ. Bull. Ser.5 Geogr. 2012, 6, 25–31. [Google Scholar]










| Type 1b | Type 2a | Type 2b | Type 3 |
|---|---|---|---|
| (Western Type b) | Mixed Type a) | (Mixed Type b) | (Central Type) |
| 29.09.1959 | 18.10.1958 | 26.01.1964 | 06.01.1969 |
| 24.01.1961 | 20.01.1960 | 26.11.1964 | 10.03.1970 |
| 13.02.1962 | 21.11.1960 | 03.04.1965 | 18.11.1970 |
| 05.01.1965 | 15.02.1962 | 28.01.1967 | 05.02.1972 |
| 07.01.1965 | 21.02.1963 | 17.01.1968 | 29.08.2006 |
| 06.01.1966 | 12.01.1968 | 28.10.1969 | |
| 15.01.1966 | 14.07.1969 | 04.02.1970 | |
| 09.01.1967 | 18.12.1969 | 23.10.1971 | |
| 12.02.1967 | 24.05.1970 | 26.12.1971 | |
| 20.02.1979 | 20.09.1971 | 06.01.1976 | |
| 10.11.1981 | 06.08.1972 | ||
| 16.11.1981 | 27.02.1973 | ||
| 13.02.2011 | 01.12.1973 | ||
| 18.12.1981 | |||
| 03.03.1988 | |||
| 11.12.2007 | |||
| 27.12.2007 |
| Frequency Parameter | klin | p-Value | R2lin | R2≥14 | R2low = R2≥14 + R2lin | R2high = 100 − R2low |
|---|---|---|---|---|---|---|
| Ri75 | ||||||
| winter | −6.783 × 10−4 | 0.0105 | 9.61 | 51.84 | 61.45 | 38.55 |
| spring | −6.064 × 10−4 | 0.0145 | 9 | 43.56 | 52.56 | 47.44 |
| summer | +7.591 × 10−7 | 0.9903 | 0 | 15.21 | 15.21 | 84.79 |
| autumn | +8.299 × 10−5 | 0.5256 | 0.64 | 17.64 | 18.28 | 81.72 |
| annual | −3.058 × 10−4 | 0.0251 | 7.29 | 53.29 | 60.58 | 39.42 |
| Ri95 | ||||||
| winter | −1.990 × 10−4 | 0.0535 | 5.76 | 42.25 | 48.01 | 51.99 |
| spring | −3.893 × 10−5 | 0.4423 | 1 | 14.4 | 15.4 | 84.6 |
| summer | −1.627 × 10−6 | 0.9158 | 0.01 | 12.96 | 12.97 | 87.03 |
| autumn | −2.138 × 10−5 | 0.6546 | 0.36 | 9 | 9.36 | 90.64 |
| annual | −6.824 × 10−5 | 0.0758 | 4.84 | 33.64 | 38.48 | 61.52 |
© 2020 by the authors. Licensee MDPI, Basel, Switzerland. This article is an open access article distributed under the terms and conditions of the Creative Commons Attribution (CC BY) license (http://creativecommons.org/licenses/by/4.0/).
Share and Cite
Maslova, V.N.; Voskresenskaya, E.N.; Lubkov, A.S.; Yurovsky, A.V.; Zhuravskiy, V.Y.; Evstigneev, V.P. Intense Cyclones in the Black Sea Region: Change, Variability, Predictability and Manifestations in the Storm Activity. Sustainability 2020, 12, 4468. https://doi.org/10.3390/su12114468
Maslova VN, Voskresenskaya EN, Lubkov AS, Yurovsky AV, Zhuravskiy VY, Evstigneev VP. Intense Cyclones in the Black Sea Region: Change, Variability, Predictability and Manifestations in the Storm Activity. Sustainability. 2020; 12(11):4468. https://doi.org/10.3390/su12114468
Chicago/Turabian StyleMaslova, Veronika N., Elena N. Voskresenskaya, Andrey S. Lubkov, Aleksandr V. Yurovsky, Viktor Y. Zhuravskiy, and Vladislav P. Evstigneev. 2020. "Intense Cyclones in the Black Sea Region: Change, Variability, Predictability and Manifestations in the Storm Activity" Sustainability 12, no. 11: 4468. https://doi.org/10.3390/su12114468
APA StyleMaslova, V. N., Voskresenskaya, E. N., Lubkov, A. S., Yurovsky, A. V., Zhuravskiy, V. Y., & Evstigneev, V. P. (2020). Intense Cyclones in the Black Sea Region: Change, Variability, Predictability and Manifestations in the Storm Activity. Sustainability, 12(11), 4468. https://doi.org/10.3390/su12114468

