Effect of Ornamental Plants, Seasonality, and Filter Media Material in Fill-and-Drain Constructed Wetlands Treating Rural Community Wastewater
Abstract
1. Introduction
2. Materials and Methods
2.1. Study Area
2.2. Design FD-CWs Microcosm
2.3. Physical-Chemical Parameters and Plant Growth Measurement
2.4. Statistical Analysis
3. Results and Discussion
3.1. Plant Height and Biomass Changes
3.2. Nutrient Removal
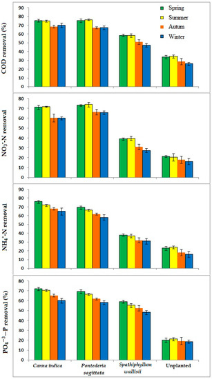
3.3. Climatic Conditions Effect
4. Conclusions
Author Contributions
Funding
Acknowledgments
Conflicts of Interest
References
- Vymazal, J. Constructed wetlands for treatment of industrial wastewaters: A review. Ecol. Eng. 2014, 73, 724–751. [Google Scholar] [CrossRef]
- Toro-Vélez, A.F.; Madera-Parra, C.A.; Peña-Varón, M.R.; Lee, W.Y.; Bezares-Cruz, J.C.; Walker, W.S.; Cárdenas-Henao, H.; Quesada-Calderón, S.; García-Hernández, H.; Lens, P.N.L. BPA and NP removal from municipal wastewater by tropical horizontal subsurface constructed wetlands. Sci. Total Environ. 2016, 542, 93–101. [Google Scholar] [CrossRef]
- Wu, S.; Carvalho, P.; Müller, J.; Remony, V.; Dong, R. Sanitation in constructed wetlands: A review on the removal of human pathogens and fecal indicators. Sci. Total Environ. 2016, 541, 8–22. [Google Scholar] [CrossRef] [PubMed]
- Olguín, E.J.; Sánchez-Galván, G.; González-Portela, R.; López-Vela, M. Constructed wetland mesocosms for the treatment of diluted sugarcane molasses stillage from ethanol production using Pontederia sagittata. Water Res. 2008, 42, 3659–3666. [Google Scholar] [CrossRef] [PubMed]
- Frazer-Williams, R. A review of the influence of design parameters on the performance of constructed wetlands. J. Chem. Eng. 2010, 25, 29–42. [Google Scholar] [CrossRef][Green Version]
- Sochacki, A.; Surmacz-Górska, J.; Guy, B.; Faure, O. Microcosm fill-and-drain constructed wetlands for the polishing of synthetic electroplanting wastewater. Chem. Eng. J. 2014, 251, 10–16. [Google Scholar] [CrossRef]
- Wang, C.; Zheng, S.; Wang, P.; Qian, J. Effect of vegetation on the removal of contaminants in aquatic environments: A review. J. Hydrodyn. 2014, 26, 497–511. [Google Scholar] [CrossRef]
- Vymazal, J. Plants used in constructed wetlands with horizontal subsurface flow: A review. Hydrobiologia 2011, 674, 133–156. [Google Scholar] [CrossRef]
- Belmont, M.; Cantellano, E.; Thompson, S.; Williamson, M.; Sánchez, A.; Metcalfe, C. Treatment of domestic wastewater in a pilot-scale natural treatment system in central Mexico. Ecol. Eng. 2004, 23, 299–311. [Google Scholar] [CrossRef]
- Zurita, F.; Anda, J.; Belmont, M. Performance of laboratory-scale wetlands planted with tropical ornamental plants to treat domestic wastewater. Water Qual. Res. J. Can. 2006, 41, 410–417. [Google Scholar] [CrossRef]
- Sandoval, L.; Zamora-Castro, S.A.; Vidal-Álvarez, M.; Marín-Muñiz, J.L. Role of Wetland Plants and Use of Ornamental Flowering Plants in Constructed Wetlands for Wastewater Treatment: A Review. Appl. Sci. 2019, 9, 685. [Google Scholar] [CrossRef]
- Ríos, C.; Gutiérrez, L.; Aizaki, M. A case study on the use of constructed wetlands for the treatment of wastewater as an alternative for petroleoum industry. Bistua 2007, 5, 25–41. [Google Scholar]
- Shuib, NK.; Baskaran, K.; Jegatheesan, V. Evaluating the performance of horizontal subsurface flow constructed wetlands using natural zeolite (escott). Int. J. Environ. Sci. Dev. 2011, 2, 311–315. [Google Scholar]
- Gray, S.; Kinross, J.; Read, P.; Marland, A. The nutrient assimilative capacity of maerl as a substrate in constructed wetland systems for waste treatment. Water Res. 2000, 34, 2183–2190. [Google Scholar] [CrossRef]
- Brooks, A.S.; Rozenwald, M.N.; Geohring, LD.; Lion, L.W.; Steenhuis, T.S. Phosphorus removal by wollastonite: A constructed wetland substrate. Ecol. Eng. 2000, 15, 121–132. [Google Scholar] [CrossRef]
- Drizo, A.; Frost, C.; Smith, K. Phosphate and ammonium distribution in a pilot-scale constructed wetland with horizontal subsurface flow using shale as a substrate. Water Res. 2000, 34, 2483–2490. [Google Scholar] [CrossRef]
- Akratos, C.; Tsihrintzis, V. Effect of temperature, HRT, vegetation and porous media on removal efficiency of pilot-scale horizontal subsurface flow constructed wetlands. Ecol. Eng. 2007, 29, 173–191. [Google Scholar] [CrossRef]
- APHA. Standard Methods for the Examination of Water and Wastewater, 21st ed.; American Public Health Association: Washington, DC, USA, 2005. [Google Scholar]
- Zhang, H.H.; Tian, J.S.; Zhang, Y.M.; Wu, Z.L.; Hu, Y.; Li, D.L. Removal of phosphorus and nitrogen from domestic wastewater using a mineralized refuse-based bioreactor. Environ. Technol. 2012, 33, 173–181. [Google Scholar] [CrossRef]
- Hernández, M.E.; Marín-Muñiz, J.L.; Olguín, E.J. Effect of flood frequency and nutrient addition on plant growth and Total Petroleum Hydrocarbons removal in mangrove microcosm. J. Water Res. Prot. 2014, 6, 1716–1730. [Google Scholar] [CrossRef][Green Version]
- Romero, J.A. Tratamiento de Aguas Residuales. Teoría y Principios de Diseño, 3rd ed.; Escuela Colombiana de Ingeniería: Bogota, Colombia, 2013. [Google Scholar]
- Kadlec, R.; Reddy, K.R. Temperature effects in treatment wetlands. Water Environ. Res. 2001, 73, 543–557. [Google Scholar] [CrossRef]
- Wang, Q.; Chen, J. Variation in photosynthetic characteristics and leaf area contributes to Spathiphyllum cultivar differences in biomass production. Photosynthetica 2003, 41, 443–447. [Google Scholar] [CrossRef]
- Conover, C.A. Foliage plants. In Introduction to Floriculture; Larson, R.A., Ed.; Academic Press: New York, NY, USA, 1992; pp. 569–601. [Google Scholar]
- Liu, X.; Huang, S.; Tang, T.; Liu, X.; Scholz, X.M. Growth characteristics and nutrient removal capability of plants in subsurface vertical flow constructed wetlands. Ecol. Eng. 2012, 44, 189–198. [Google Scholar] [CrossRef]
- Marín-Muñiz, J.L.; García-González, M.C.; Ruelas-Monjardín, L.C.; Moreno-Casasola, P. Influence of Different Porous Media and Ornamental Vegetation on Wastewater Pollutant Removal in Vertical Subsurface Flow Wetland Microcosms. Environ. Eng. Sci. 2018, 35, 88–94. [Google Scholar] [CrossRef]
- Sandoval, L.; Marín-Muñiz, J.L.; Zamora-Castro, S.A.; Sandoval-Salas, F.; Alvarado-Lassman, A. Evaluation of Wastewater Treatment by Microcosms of Vertical Subsurface Wetlands in Partially Saturated Conditions Planted with Ornamental Plants and Filled with Mineral and Plastic Substrates. Int. J. Environ. Res. Public Health 2019, 16, 167. [Google Scholar] [CrossRef]
- Rozema, E.; Gordon, R.; Zheng, Y. Harvesting plants in constructed wetlands to increase biomass production and Na+ and Cl− removal from recycled greenhouse nutrient solution. Water Air Soil Pollut. 2016, 227, 136. [Google Scholar] [CrossRef]
- Marín-Muñiz, J.L. Remoción de contaminantes de aguas residuales por medio de humedales artificiales establecidos en el municipio de Actopan, Veracruz, México. Rev. Mex. Ing. Quím. 2016, 15, 553–563. [Google Scholar]
- Jethwa, K.; Bajpai, S. Role of plants in constructed wetlands (CWS): A review. J. Chem. Pharm. Sci. 2016, 2, 4–10. [Google Scholar]
- Saeed, T.; Sun, G. A review on nitrogen and organics removal mechanisms in subsurface flow constructed wetlands: Dependency on environmental parameters, operating conditions and supporting media. J. Environ. Manag. 2012, 112, 429–448. [Google Scholar] [CrossRef] [PubMed]
- Mitsch, W.J.; Gosselink, J. Wetlands; John Wiley and Sons Inc.: New York, NY, USA, 2015; Volume 5, 456p. [Google Scholar]
- Rivas, A.; Barceló-Quintal, I.; Moeller, G.E. Pollutant removal in a multi-stage municipal wastewater treatment system comprised of constructed wetlands and a maturation pond, in a temperate climate. Water Sci. Technol. 2011, 64, 980–987. [Google Scholar] [CrossRef]
- Comisión Nacional del Agua (CONAGUA). Estadísticas del agua en México. Secretaría de Medio Ambiente y Recursos Naturales (SEMARNAT): México; p. 294. Available online: http://sina.conagua.gob.mx/publicaciones/EAM_2017.pdf (accessed on 2 April 2019).
- Chalheiros, C.; Rangel, A.; Castro, P. Constructed wetland systems vegetated with different plants applied to the treatment of tannery wastewater. Water Res. 2007, 41, 1790–1798. [Google Scholar] [CrossRef] [PubMed]
- Cui, L.; Ouyang, Y.; Lou, Q.; Yang, F.; Chen, Y.; Zhu, W.; Luo, S. Removal of nutrients from wastewater with Canna indica L. under different vertical-flow constructed wetland conditions. Ecol. Eng. 2010, 36, 1083–1088. [Google Scholar] [CrossRef]
- Macci, C.; Peruzzi, E.; Doni, S.; Iannelli, R.; Masciandaro, G. Ornamental plants for micropollutant removal in wetland systems. Environ. Sci. Pollutt. Res. 2015, 22, 2406–2415. [Google Scholar] [CrossRef] [PubMed]
- Langergraber, G. The role of plant uptake on the removal of organic matter and nutrients in subsurface flow constructed wetlands: A simulation study. Water Sci. Technol. 2005, 51, 213–223. [Google Scholar] [CrossRef] [PubMed]
- Hernández, M.E. Ornamental wetlands with community participation for treatment of municipal wastewater in Mexico. Rinderesu 2016, 1, 1–12. [Google Scholar]
- Casierra-Martínez, H.A.; Charris-Olmos, J.C.; Caselles-Osorio, A.; Parody-Muñoz, A.E. Organic matter and nutrients removal in tropical constructed wetlands using Cyperus ligularis (cyperaceae) and echinocloa colona (poaceae). Water Air Soil Pollut. 2017, 9, 228–338. [Google Scholar] [CrossRef]
- Nwajuaku, I.I.; Okey-Onyesolu, C.F. Efficiency of Cyperus esculentus as a biofilter in treatment of domestic waste water. Saudi J. Eng. Technol. 2017, 2, 159–170. [Google Scholar] [CrossRef]
- Abdelhakeem, S.; Aboulroos, S.; Kamel, M. Performance of a vertical subsurface flow constructed wetland under different operational conditions. J. Adv. Res. 2016, 7, 803–814. [Google Scholar] [CrossRef]
- Papaevangelou, V.; Gikas, G.; Tsihrintzis, V. Effect of operational and design parameters on performance of pilot-scale horizontal subsurface flow constructed wetlands treating university campus wastewater. Environ. Sci. Pollut. Res. 2016, 23, 19504–19519. [Google Scholar] [CrossRef]
- Stein, O.; Hook, P. Temperature, plants, and oxygen: How does season affect constructed wetland performance? J. Environ. Sci. Health Part A Toxic Hazard Subst. Environ. Eng. 2005, 40, 1331–1342. [Google Scholar] [CrossRef]
- Allen, W.C.; Hook, P.B.; Biederman, J.A.; Stein, O.R. Temperature and wetland plant species effects on wastewater treatment and root zone oxidation. J. Environ. Qual. 2002, 31, 1010–1016. [Google Scholar] [CrossRef]




| Parameter | Wetland Plants in Different Substrates | ||||||||
|---|---|---|---|---|---|---|---|---|---|
| Influent | Canna indica | Pontederia sagittata | Spathiphyllum wallisii | Control | |||||
| PR | TS | PR | TS | PR | TS | PR | TS | ||
| pH (pH units) | 7.6 ± 0.2 | 7.2 ± 0.4 | 7.1 ± 0.9 | 7.2 ± 0.1 | 7.2 ± 0.8 | 7.1 ± 0.9 | 6.9 ± 0.6 | 7.5 ± 0.1 | 7.4 ± 0.1 |
| DO (mg L−1) | 1.0 ± 0.2 | 4.2 ± 0.8 | 3.9 ± 0.7 | 4.2 ± 0.6 | 4.7 ± 0.8 | 4.8 ± 1.2 | 3.4 ± 0.9 | 1.5 ± 0.2 | 1.3 ± 0.2 |
| Temperature (°C) | 18.5 ± 0.7 | 19.1 ± 0.9 | 19.2 ± 1.8 | 19.4 ± 0.9 | 19.3 ± 0.7 | 18.2 ± 1.4 | 18.6 ± 0.8 | 19.7 ± 0.6 | 19.7 ± 0.4 |
| EC (µS/cm) | 1151 ± 143 | 1155 ± 101 | 1212 ± 139 | 1124 ± 161 | 1245 ± 67 | 1124.2 ± 98 | 1130.8 ± 110 | 1126 ± 130 | 1013.8 ± 77 |
| Eh to 0.10 m depth | ND | 318.6 ± 34 | 317.5 ± 43 | 356.6 ± 33 | 371.8 ± 24 | 309.6 ± 58 | 308.1 ± 26 | 222.5 ± 20 | 257.84 ± 18 |
| TSS (mg/L−1) | 211 ± 16 | 112 ± 19 | 117 ± 41 | 114 ± 36 | 118 ± 52 | 122 ± 38 | 112 ± 35 | 144 ± 42 | 153 ± 44 |
| Plant | Filter Media | Wilting Degree (Number of Plants) | Growth Characteristics Stems-Leaves-Flowers a | Diseases and Pests b | Number of Flowers during the Study |
|---|---|---|---|---|---|
| Canna indica | PR | 0 | - | - | 42 |
| TS | 0 | - | - | 39 | |
| Pontederia sagittata | PR | 0 | XX | X | 29 |
| TS | 0 | X | X | 31 | |
| Spathiphyllum wallisii | PR | 1 | - | - | 11 |
| TS | 2 | - | - | 9 |
| Parameter | Wetland Plants in Different Substrates | |||||||
|---|---|---|---|---|---|---|---|---|
| Canna indica | Pontederia sagittata | Spathiphyllum wallisii | Control | |||||
| PR | TS | PR | TS | PR | TS | PR | TS | |
| COD | ||||||||
| IC | 375 ± 72.8 | |||||||
| EC | 70.7 ± 19.8 | 67.9 ± 20.2 | 65.6 ± 16.9 | 62.7 ± 12.8 | 124.6 ± 12.8 | 110.3 ± 13.3 | 205.6 ± 21.9 | 209.4 ± 20.5 |
| Removal (%) | 81.1 ± 18.4 a | 81.9 ± 22.6 a | 82.5 ± 16.5 a | 83.3 ± 17.9 a | 66.8 ± 19.3 b | 70.6 ± 11.3 b | 45.2 ± 14.1 c | 44.2 ± 16.9 c |
| BOD5 | ||||||||
| IC | 298.3 ± 69.2 | |||||||
| EC | 82.2 ± 18.4 | 80.6 ± 20.1 | 82.6 ± 22.6 | 83.9 ± 31.2 | 104.8 ± 18.8 | 100.6 ± 21.9 | 200.6 ± 28.4 | 212.4 ± 29.6 |
| Removal (%) | 72.4 ± 22.6 a | 73.0 ± 32.2 a | 72.3 ± 26.3 a | 71.8 ± 12.9 a | 54.8 ± 16.6 b | 52.9 ± 12.5 b | 32.8 ± 16.4 c | 28.8 ± 18.1 c |
| TKN | ||||||||
| IC | 60.2 ± 09.7 | |||||||
| EC | 20.2 ± 06.8 | 19.5 ± 10.1 | 18.6 ± 12.3 | 23.1 ± 11.6 | 34.5 ± 09.7 | 32.6 ± 10.9 | 45.7 ± 08.4 | 48.7 ± 09.0 |
| Removal (%) | 66.4 ± 12.1 a | 67.6 ± 11.4 a | 69.1 ± 10.3 a | 61.6 ± 12.9 a | 42.7 ± 16.6 b | 45.8 ± 12.5 b | 24.1 ± 16.4 c | 19.1 ± 18.1 c |
| NO3−-N | ||||||||
| IC | 8.88 ± 0.24 | |||||||
| EC | 3.06 ± 0.61 | 2.85 ± 0.16 | 2.56 ± 0.92 | 2.82 ± 0.83 | 2.81 ± 0.64 | 5.78 ± 0.72 | 7.13 ± 0.33 | 7.23 ± 0.24 |
| Removal (%) | 65.5 ± 11.8 a | 67.9 ± 9.6 a | 71.2 ± 14.8 a | 68.2 ± 12.0 a | 34.6 ± 16.3 b | 34.9 ± 16.2 b | 19.7 ± 7.6 c | 18.5 ± 2.3 c |
| NH4+-N | ||||||||
| IC | 30.06 ± 0.64 | |||||||
| EC | 10.08 ± 0.17 | 10.14 ± 0.22 | 10.0 ± 0.32 | 10.06 ± 0.30 | 10.49 ± 0.29 | 10.54 ± 0.31 | 20.11 ± 0.31 | 20.04 ± 0.32 |
| Removal (%) | 64.7 ± 14.1 a | 62.7 ± 11.3 a | 67.6 ± 12.2 a | 65.4 ± 13.6 a | 51.3 ± 12.1 b | 49.7 ± 11.2b b | 31.0 ±04.1 c | 33.3 ± 03.5 c |
| PO4−3-P | ||||||||
| IC | 9.51 ± 0.97 | |||||||
| EC | 3.22 ± 0.19 | 3.01 ± 0.33 | 2.92 ± 0.22 | 3.06 ± 0.41 | 4.86 ± 0.67 | 4.26 ± 0.78 | 7.54 ± 0.48 | 7.74 ± 0.45 |
| Removal (%) | 66.1 ± 4.6 a | 68.3 ± 5.8 a | 69.3 ± 6.6 a | 67.8 ± 6.1 a | 48.9 ± 9.4 b | 55.2 ± 8.3 b | 20.9 ± 2.8 c | 18.8 ± 1.8 c |
| Plants | Parameters (Removal %) | Filter Media | Source | ||||
|---|---|---|---|---|---|---|---|
| BOD5 | COD | NH4+-N | NO3−-N | PO4−3-P | |||
| Canna indica, Iris pseudacoru, Typha latifolia, Phrgamites australis | 41–58 | 41–73 | - | - | 70 | expanded clay | [35] |
| Canna indica | - | - | 60 | - | 60 | coal burn, blast furnace and sand | [36] |
| Canna indica | - | - | 67.4 | - | 63.5 | Gravel | [37] |
| Cyperus ligularis | - | 69 | 38 | 58 | 26 | Gravel | [40] |
| Cyperus esculentus | - | 59 | 36 | 50 | 42 | [41] | |
| Typha sp. | 82 | - | - | 60 | 56 | PR | [25] |
| Phragmites australis | - | 75 | 26 | - | 17 | Gravel | [42] |
| Phragmites australis | 78 | 73 | 78 | 75 | 64 | Gravel | [43] |
| Typha latifolia | 81 | 84 | 69 | 71 | 71 | Gravel | [43] |
| Pontederia sagittata | 84.8 | 80.4 | 6.12 | 57.3 | 0 | Volcanic gravel | [4] |
| 33–67 | 54–70 | Gravel | |||||
| Canna indica | 72–73 | 81–82 | 62–65 | 65–68 | 66–68 | PR and TS | This study |
| Pontederia sagittata | 71–72 | 82–83 | 65–68 | 68–71 | 67–69 | PR and TS | This study |
| Spathiphyllum wallisii | 52–55 | 66–71 | 49–51 | 34–35 | 48–55 | PR and TS | This study |
© 2019 by the authors. Licensee MDPI, Basel, Switzerland. This article is an open access article distributed under the terms and conditions of the Creative Commons Attribution (CC BY) license (http://creativecommons.org/licenses/by/4.0/).
Share and Cite
Zamora-Castro, S.A.; Marín-Muñiz, J.L.; Sandoval, L.; Vidal-Álvarez, M.; Carrión-Delgado, J.M. Effect of Ornamental Plants, Seasonality, and Filter Media Material in Fill-and-Drain Constructed Wetlands Treating Rural Community Wastewater. Sustainability 2019, 11, 2350. https://doi.org/10.3390/su11082350
Zamora-Castro SA, Marín-Muñiz JL, Sandoval L, Vidal-Álvarez M, Carrión-Delgado JM. Effect of Ornamental Plants, Seasonality, and Filter Media Material in Fill-and-Drain Constructed Wetlands Treating Rural Community Wastewater. Sustainability. 2019; 11(8):2350. https://doi.org/10.3390/su11082350
Chicago/Turabian StyleZamora-Castro, Sergio A., José Luis Marín-Muñiz, Luis Sandoval, Monserrat Vidal-Álvarez, and Juan Manuel Carrión-Delgado. 2019. "Effect of Ornamental Plants, Seasonality, and Filter Media Material in Fill-and-Drain Constructed Wetlands Treating Rural Community Wastewater" Sustainability 11, no. 8: 2350. https://doi.org/10.3390/su11082350
APA StyleZamora-Castro, S. A., Marín-Muñiz, J. L., Sandoval, L., Vidal-Álvarez, M., & Carrión-Delgado, J. M. (2019). Effect of Ornamental Plants, Seasonality, and Filter Media Material in Fill-and-Drain Constructed Wetlands Treating Rural Community Wastewater. Sustainability, 11(8), 2350. https://doi.org/10.3390/su11082350
