Next Article in Journal
Inertia Provision and Small Signal Stability Analysis of a Wind-Power Generation System Using Phase-Locked Synchronized Equation
Previous Article in Journal
Changing Abundance and Distribution of the Wintering Swan Goose Anser cygnoides in the Middle and Lower Yangtze River Floodplain: An Investigation Combining a Field Survey with Satellite Telemetry
 
 
Font Type:
Arial Georgia Verdana
Font Size:
Aa Aa Aa
Line Spacing:
Column Width:
Background:
Article

Farmers’ Adoption of Low-Carbon Agriculture in China: An Extended Theory of the Planned Behavior Model

1
College of Economics and Management, Nanjing Agricultural University, Nanjing 210095, China
2
School of Philosophy and Public Administration, Jiangsu Normal University, Xuzhou 221116, China
*
Author to whom correspondence should be addressed.
Sustainability 2019, 11(5), 1399; https://doi.org/10.3390/su11051399
Submission received: 31 January 2019 / Revised: 1 March 2019 / Accepted: 4 March 2019 / Published: 6 March 2019
(This article belongs to the Section Sustainable Agriculture)

Abstract

Farmers’ adoption of low-carbon agriculture is conductive to addressing climate change and achieving sustainable development of agriculture. The purpose of this study is to explore farmers’ decision-making processes regarding low-carbon production and to provide a reference for the targeted support policies of low-carbon agriculture. The data was derived from a household survey of 442 rice farmers conducted in Jiangsu Province, China in 2017. Participants were interviewed face-to-face using questionnaires, and local interviewers were used in order to maximize the reliability of the results. The theoretical basis for our analysis was an extended theory of planned behavior (TPB). We applied a structural equation model (SEM) to investigate the correlations among farmers’ decision-making processes regarding low-carbon production and observable characteristics. Furthermore, we explored the differences in adoption decisions regarding low-carbon agriculture among different groups of farmers based on production scale and region, respectively. The results indicate that attitude, subjective norm, perceived behavioral control, and contract farming participation are significantly positively correlated with farmers’ intention toward low-carbon production, and that farmers’ low-carbon production intention and contract farming participation have significant positive correlations with their behavior regarding low-carbon production. A subsample analysis shows that the subjective norm for farmers with a small production scale is more strongly correlated with their adoption decisions regarding low-carbon agriculture than that it is for farmers with a large production scale. Additionally, in less developed regions, farmers’ attitude is more strongly correlated with their adoption decisions regarding low-carbon agriculture than it is for farmers in developed regions.

1. Introduction

Climate change is one of the most severe global environmental issues [1,2,3]. The coupling relationship between agricultural production and climate change has become distinct. On the one hand, global warming is increasing the fluctuation of crop yields and uncertainty about agricultural production [4,5,6]. In substantial areas of global breadbaskets, more than 60% of the yield variability can be explained by climate change, and climate change accounts for about a third of the observed yield variability globally [4]. For example, Parry et al. [5] analyzed the global consequences of linked socioeconomic and climate scenarios to crop yields, production, and risk of hunger, and found that the yields had decreased both regionally and globally with the dramatic increase in global temperatures. Moreover, Olesen et al. [6] observed an alarmingly high proportion of negative expectations about the impact of climate change on crops and crop production across Europe. If no measure is taken, climate change will decrease the yield of the main crops of China by as much as 37% in the late 21st century [7]. On the other hand, agricultural production has become a major source of greenhouse gas (GHG) emissions globally [8,9,10]. A report published by the Intergovernmental Panel on Climate Change (IPCC) for 2014 [3] indicated that GHG emissions from agriculture, forestry, and other land use accounted for 24% of total global GHG emissions, and that the main sources of GHG emissions included agricultural production, land management, livestock emissions, and so forth. Moreover, Bennetzen et al. [9] pointed out that the growth of global agricultural production was mainly delivered by developing and transitional countries, and this was also reflected in the increase in GHG emissions. They found approximately a quarter of GHG emissions were generated by human activities. Notably, agriculture can mitigate a substantial volume of GHG through changes in land use and crop management [11], and these measures are closely related to low-carbon agriculture. Low-carbon agriculture is the embodiment of the low-carbon economy in agriculture, and may help agriculture to manage climate change, cut GHG emissions, and realize sustainable development.
The principle of “common but differentiated responsibilities” has become a basic consensus, and China, as one of the countries with the highest carbon dioxide (CO2) emissions, is experiencing tremendous pressure to reduce carbon emissions. In China, the farmer household is the basic unit and main body of agricultural production, and the coupling relationship between the mode of agricultural production and climate change is embodied by hundreds of millions of farmer households. The farmer households’ decision-making in low-carbon production has a direct influence on the reduction of carbon emissions the sustainable development of agriculture. Approaches to realize low-carbon production for farmers specifically include, firstly, changing the traditional intensive farming practices. The traditional intensive farming practices are characterized by high tillage intensity and frequency and involve large input of various kinds of chemical products such as fertilizers, pesticides, and plastic films. This pattern can lead to a significant decrease in soil organic carbon content and an increase in GHG emissions [12]. The increase of soil organic carbon content can be achieved by changing traditional tillage methods [13]. Compared with intensive farming, the promotion of “protective cultivation” modes such as no-tillage, retention of crop residues, and crop rotation can increase the organic carbon content in soil and reduce CO2 emissions [14]. The second approach to realize low-carbon production for farmers is changing the mode of cropland use. Smith et al. [15] measured the carbon-sink capabilities of cropland under different modes of use, and observed that forestry and permanent grassland were an important carbon sink and that the conversion of cropland to forest was vital for the mitigation of atmospheric GHG. In contrast, deforestation and reclamation will increase a large amount of CO2 emissions. Converting grasslands, rainforests, and peatlands to food-crop-based biofuels releases 17 to 420 times more CO2 than the GHG reduction caused by these biofuels replacing fossil fuels [16]. The third approach is using new low-carbon techniques. Global warming and the need to reduce dependence on fossil fuels are forcing society to seek alternative sources for renewable energy production. Anaerobic digestion, biofuels, and renewable fertilizer can play an important role in energy scenarios, particularly in rural environments [17]. Thereinto, anaerobic digestion is one of the most valuable technologies for the management of fermentable organic wastes. This energy process can provide high-value products (e.g., fuel, biogas, and fertilizers) and lead to a significant reduction of GHG emissions [18]. For example, the implementation of the “Biogas Construction Program” by the Chinese government, and the promotion of the cyclic utilization of agricultural residues (e.g., manures and crop residues) can directly reduce CO2 emissions by more than 63 million tons each year [19]. Grass biomethane is a sustainable gaseous transport biofuel with a good energy balance and significant economic viability [20]. Moreover, reducing the use of chemical fertilizers and restoring the use of traditional manure fertilizers, in combination with protective cultivation practices, can increase the rate of carbon sequestration in soils as well as dramatically reduce emissions of methane (CH4) and nitrous oxide (N2O) [21]. Additionally, the adoption of climate-smart agriculture systems, which include water saving techniques, can significantly reduce emissions of CH4 while improving plant carbon sequestration; for example, alternate wetting and drying irrigation can increase the gas permeability of soils and hence change the conditions for producing and emitting GHGs [22].
Although farmers’ adoption of low-carbon agriculture is conducive to addressing climate change, the rate of adoption in developing countries is very low. Notably, in China, the national government has set the target of carbon intensity reduction, however most local governments do not have sufficient knowledge about the necessary actions to achieve the targets and do not know how to design and implement a targeted low-carbon development plan [23]. Farmers’ decision-making processes regarding low-carbon production are very complicated and may change at each stage as environment factors change. Under the realistic background for China of a large population with limited cropland area, an increasing demand for agricultural produce, and a tremendous pressure for energy saving and emission reduction, it is necessary to investigate the factors influencing farmers’ adoption of low-carbon agriculture and reveal the basic characteristics and inherent law of farmers’ decision-making processes. The aim of this study is to provide a reference for the targeted support policies of low-carbon agriculture.
The existing literature regarding farmers’ decisions regarding the adoption of low-carbon agriculture has mainly focused on the willingness to adopt, rather than on actual adoption behavior, and the main influencing factors are perceptions and household characteristics [24,25,26,27]. Moreover, most theoretical models have generally implied a hypothesis that the external environment of farmers is consistent and stable, lacking control over the influence of the external environment on farmers’ decision making (e.g., industrial chain organization). Additionally, many scholars view the object of research as a whole and do not consider the difference among farmer groups with different particular characteristics. Hence, it is more scientific and effective to expand the literature on farmers’ adoption of low-carbon agriculture by considering the influence of external environment and different characteristics of farmer groups.
In this paper, we make a theoretical analysis and empirical test of farmers’ decision-making in low-carbon production using rice farmers in Jiangsu Province, China as samples. Through the conceptual extension of a theoretical model known in literature as theory of planned behavior (TPB), we construct a model for farmers’ decision-making in the adoption of low-carbon agriculture. This model allows us to incorporate psychological factors and external factors into the same analysis framework. We apply structural equation modeling (SEM) to investigate the correlations among farmers’ decision-making processes regarding low-carbon production and observable characteristics. Notably, we further explore the behavioral differences of farmers’ decision-making through a multigroup analysis, using farmers’ production scale and region as moderator variables, respectively. This study aims to investigate farmers’ adoption of low-carbon agriculture and reveal the basic characteristics and inherent law of farmers’ decision-making processes. From the perspective of practice, the findings of this study could help the government to formulate effective policies to foster the involvement of smallholder farmers in low-carbon agriculture. The rest of this paper is organized as follows: Section 2 describes the data collection, questionnaire design, conceptual framework, and model specification; Section 3 discusses the empirical results; and Section 4 presents the conclusions, implications, and directions for future research.

2. Materials and Methods

2.1. Data Collection

The data used in this study was derived from a household survey on rice farmers conducted in Jiangsu Province, China in 2017. Paddy fields are regarded as a major global anthropogenic source of GHG, and China has the second largest area of rice cultivation in the world [28]. Jiangsu Province is the representative region of economic and social development in China. Along with rapid economic development, Jiangsu Province is facing increasingly severe agro-ecological environmental problems and great pressure to save energy and reduce emissions. A great amount of GHGs are emitted from the consumption of fossil fuels by the manufacture of agricultural materials, and a larger amount of emissions and ecological pollution result from their improper application, accounting for a considerable proportion of carbon emissions from agriculture [29]. Thus, the conversion of agricultural practices in Jiangsu Province is urgent and can set an example for other areas. Jiangsu Province is also the province with the biggest gap in regional economic development in China. There is a sharp contrast between southern Jiangsu (developed region) and northern Jiangsu (less developed region). This situation provides a diverse environment to research the differences in adoption decisions relating to low-carbon agriculture among different groups of farmers.
In this survey, we selected four counties in Jiangsu Province: Fengxian (N34°41′ E116°35′), Pizhou (N34°20′ E118°0′), Taicang (N31°27′ E121°08′), and Wujiang (N31°09′ E120°38′). The first two counties are located in the north of Jiangsu Province and the other two in the south of Jiangsu Province. In each county that was selected, we randomly picked two towns; in every town, we randomly picked two villages; and in each village, we used a stratified random sampling method to interview 30 rice-producing households. Considering that one of the core variables in this paper is contract farming participation, and that using the random sampling method it is difficult to ensure that a certain number of contracted farmers are included in the sample households, this survey took a certain ratio to randomly select contracted farmers and non-contracted farmers, respectively. Specifically, according to the list of rice farmers participating in contract farming provided by agribusiness firms or cooperatives and the list of rice farmers provided by local village committees, we used a 1:4 ratio to randomly select contracted farmers and non-contracted farmers, respectively. That is, of the 30 rice-producing households that were selected in each village, six households participated in contract farming. Participants were interviewed face-to-face using questionnaires, and local interviewers were used in order to maximize the reliability of the results.
Approximately 92% of the surveyed farmers completed the questionnaire; thus, this study’s sample comprised 442 usable observations. Notably, the sample size and response rate were sufficient for conducting statistical analysis.

2.2. Questionnaire Design

The questionnaire was designed to study farmers’ decision-making processes with respect to low-carbon production. The questionnaire was based on a literature review, related theories, peer review and revision, in combination with results of presurvey. Closed-ended questions were used in the questionnaire to ensure that it had a good content validity. The core part of questionnaire covered the main topic for this study and involved measurement items designed to access the different constructs of the extended TPB model towards low-carbon agriculture adoption decisions. These measurement items involved 22 measurable variables related to six latent variables. The latent variables were attitude (ATT), subjective norm (SN), perceived behavioral control (PBC), contract farming participation (CF), intention of low-carbon production (INT), and behavior of low-carbon production (BEH). The definition and description of measurable variables are shown in Table 1. The measurement items for the variables ATT, SN, PBC, and INT were measured on a five-point Likert scale, from 1 = strongly disagree to 5 = strongly agree (Partial measurement items for variable PBC, including education level of household head (PBC1), Family annual income (PBC2), and Village leader (PBC3), were not measured by the Likert scale. PBC1 and PBC2 were measured by continuous numerical value, and PB3 was measured by a discrete value of 1 or 0). The measurement items for the variables BEH and CF were indicated by a discrete value of 1 or 0. Notably, given the practical situation of low-carbon agricultural extension in rural areas of China, the behavior of low-carbon production in this study included adoption of straw-biogas production, soil testing for formulated fertilizer, and water saving irrigation.
The questionnaire also included socio-demographic and farm characteristics. Table 2 presents the demographic information of the study participants. In our sample, farmers aged 50 and above accounted for 54% of survey respondents. The education levels of respondents were relatively low, with an average of 83% of respondents having been educated to primary middle school level or below. A total of 60% of respondents had been engaged in agricultural production for more than 20 years. As for household characteristics, 54% of respondents had an average household size of four or less and 64% of respondents had an average annual household income of 80,000 Yuan or less. The average cropland area of respondents was 4 mu (1 hectare = 15 mu), and respondents whose cropland area was 4 mu or below accounted for 55% of respondents.
Notably, the survey results indicate that 33% of respondents (147 farmers) had never heard about low-carbon agriculture, 12% of respondents (53 farmers) had a very good understanding of low-carbon agriculture, and 55% of respondents (242 farmers) knew something about low-carbon agriculture (see Figure 1). Therefore, in general, the surveyed farmers lacked knowledge of low-carbon agriculture.

2.3. Conceptual Framework

The theory of planned behavior is a classical theory in social psychology for interpreting and predicting human behavior and is developed on the basis of theory of reasoned action (TRA) and multiattribute attitude theory. According to multiattribute attitude theory, attitude determines intention and is determined by the expectation and evaluation of an individual [30]. The TRA, which is proposed by Fishbein and Ajzen [31], suggests that behavioral intention determines actual behavior and is influenced by attitude and subjective norm together. As TRA has a limited explanatory power for behavior which is not under the complete control of an individual’s will, Ajzen [32] extended TRA by adding the element of perceived behavioral control, and formally proposed TPB. According to TPB, an individual’s intention determines his or her behavior and depends on his or her attitude, subjective norm, and perceived behavioral control. In this study, farmers’ decisions on the adoption of low-carbon agriculture is a planned behavior decision-making, and thus follows TPB. Moreover, TPB is a developmental model, which can be made more rigorous by introducing variables that have a significant influence on intention or behavior. The research reveals that farmers’ participation in contract farming (e.g., contracting with an agribusiness firm or farmer cooperative) plays an important role in their production intention as well as production behavior. Therefore, this paper introduces contract farming participation into the TPB model and, based on the literature, proposes the following factors influencing farmers’ adoption of low-carbon agriculture and related hypothesis:
(1) Attitude. Attitude is an individual’s favorable or unfavorable evaluation toward the performance of a specific behavior. A farmer’s attitude toward low-carbon agriculture reflects his or her perception of and propensity for low-carbon production. The deeper perception and more positive evaluation of low-carbon agriculture a farmer has, the more likely he or she will be to be engaged in low-carbon agriculture. On the contrary, a farmer is subjectively not willing to take low-carbon production actions if he or she does not accept the idea of low-carbon agriculture and has a negative evaluation of the low-carbon technology. Mi [25] studied the development of low-carbon agriculture and observed that rice farmers’ perception had a significant positive influence on their adoption of emission reduction techniques, as every additional unit of perception was associated with a 25.5% increase in the likelihood of adopting low-carbon techniques. Abdollahzadeh et al. [27] studied citrus farmers’ attitude towards biological control in Iran and found that farmers who believed in the efficacy of biological control as a pest management method tended to have a positive attitude towards biological control, and thus tended to adopt biological control. Liu et al. [33] studied the development status of low-carbon agriculture in China and found that the levels of farmers’ perceptions towards low-carbon production were generally low, and that this consequently could lead to increasing use of chemical fertilizers and pesticides. Montefrio [34] explored the willingness of Filipino smallholder farmers to participate in intensive production of biofuel crops and oil palm with state and private organizations. They observed that environmental attitude was primary determinant of farmers’ participation in low-carbon agro-industrial production contracts. Tereza et al. [35] also pointed out that farmers’ risk perception significantly influenced the adoption of sustainable practices by smallholders in the Republic of Moldova. We therefore hypothesize:
Hypothesis 1 (H1). 
Farmers’ attitude towards low-carbon agriculture has a positive effect on their intention to adopt low-carbon production.
(2) Subjective norm. Subjective norm is an individual’s perception of external social pressure in making decisions about a specific behavior. It reflects the influence of important persons, organizations, or systems on an individual’s decision. Specifically, a farmer’s subjective norm of low-carbon agriculture is the drive or pressure that he or she perceives when engaging in low-carbon production, e.g., constraints or incentives from regulatory systems, encouragement or opposition from family members, recognition or discrimination by neighbors, and support or resistance from related agricultural organizations. In his study on farmers in Shandong Province, China, Zhu [24] found that government propaganda regarding crop straw burning prohibition, straw incorporation subsidies, and governmental effort to investigate and punish violation of straw burning prohibition had a significant influence on farmers’ straw treatment methods. Bossange et al. [36] studied characteristics of farmers adopting conservation tillage and observed that researchers’ recommendations for conservation tillage could contribute to farmers’ adoption of conservation tillage practices. Ng et al. [37] studied the production management behavior of farmers in Illinois, USA, and found that those farmers who communicated frequently with other farmers were more willing to engage in new agricultural practices. Kragt et al. [38] conducted a survey of broad-acre farmers in the Western Australian wheat belt, and found that landholder buy-in to carbon farming could be greatly enhanced by achieving more continuity in Australian climate change policies and politics. We therefore hypothesize:
Hypothesis 2 (H2). 
Farmers’ subjective norm has a positive effect on their intention to adopt low-carbon production.
(3) Perceived behavioral control. Perceived behavioral control is associated with the difficulty and controllability perceived by an individual in performing a specific behavior. It reflects that an individual’s personal control over their behavior will be subject to realistic constraints of non-voluntary factors such as time, resources, and environment. Specifically, perceived behavior control of a farmer’ low-carbon production is his or her consideration of factors that facilitate or impede low-carbon production behavior, including family endowment resources, social resources, and past production experiences. Hou and Ying [26] made a comparison between farmers in Jiangsu Province and those in Henan Province, China, and observed that elderly farmers who were engaged in plantation primarily would depend on personal observation and experience to manage their farms; they also found that farmers with higher total household incomes were more likely to change their traditional production practices. Boz [39] surveyed farmers in the Eregli Reed Bed area of Turkey, and found that high income, better financial support, and better communication network were effective factors in enrollment in voluntary environmental programs. Zhang et al. [40] held that experiences had a direct impact on a farmers’ adoption of new agricultural information, and that a farmer would have a positive attitude toward low-carbon agriculture if he or she found an obvious price advantage of low-carbon produce based on his or her past experience. Wang and Zhang [41] pointed out that farmers had no way to obtain comprehensive market information by themselves, and that consequently they had to depend on observation and experience to make decisions and their production was generally based on delayed market information. We therefore hypothesize:
Hypothesis 3 (H3). 
Farmers’ perceived behavioral control has a positive effect on their intention to adopt low-carbon production.
(4) Contract farming participation. Contract farming is the dominant form of vertical coordination contributing to the transition to modern agriculture [42]. In China, ‘‘firm + smallholder” contracts and ‘‘firm + intermediary + smallholder” contracts are two organizational models that are used by agribusiness firms involved in contract farming [43]. The former is a centralized model in which an agribusiness firm directly contracts a large number of smallholders. The latter refers to an agribusiness firm contracting smallholders through an intermediary such as a farmer cooperative and middleman. Agribusiness firms engaged in contract farming often provide farmers with services such as inputs, loans, and mortgage services to help farmers reduce credit constraints, and thus promote investment and the adoption of new technology [44,45]. Moreover, farmers who participate in contract farming have more opportunities to receive training on low-carbon production and receive more information about low-carbon agricultural policies. Zhao et al. [46] studied Chinese farmers’ adoption of integrated pest management techniques, and found that farmers who had participated in contract farming were more willing to adopt physical, chemical, and biological preventive integrated pest management techniques. We therefore hypothesize:
Hypothesis 4 (H4). 
Contract farming participation has a positive effect on farmers’ intention to adopt low-carbon production and farmers’ behavior in low-carbon production.
(5) Intention of low-carbon production. Ajzen [32] pointed out that there was a high positive correlation between individuals’ behavioral intention and their behavior. Behavioral intention usually reflects the extent to which an individual is willing to make effort when he or she makes a behavioral decision. The stronger behavioral intention an individual has, the more likely he or she will be to take actual actions. We therefore hypothesize:
Hypothesis 5 (H5). 
Farmers’ intention to adopt low-carbon production has a positive effect on their low-carbon production behavior.
Based on the above analysis, we built a hypothetical model, as shown in Figure 2, to study farmers’ low-carbon production behavior and the main impact factors.

2.4. Model Specification

This paper employed a structural equation model (SEM) to investigate the inherent relationship between farmers’ adoption of low-carbon agriculture and the influencing factors. SEM is an analytical tool for the observation and treatment of the latent variables that are hard to observe directly. It can also take the measurement error into consideration. SEM is usually represented by three matrix equations:
η = B η + Γ ξ + ζ
y = Λ y η + ε
x = Λ x ξ + δ
where η is internal latent variable, ξ is external latent variable, x is the measurable variable of external latent variable, and y is the measurable variable of internal latent variable. Latent variables can be reflected by the measurable variables through measurement model. Equation (1) is a structural model and Equations (2) and (3) are measurement models.

3. Results

3.1. Reliability Test and Exploratory Factor Analysis (EFA)

To test the stability and reliability of the questionnaire, we used Cronbach’s alpha as an indicator to test the reliability of samples using the software of SPSS 25.0 (IBM, Armonk, NY, USA) (see Table 3). Generally, a Cronbach’s alpha coefficient higher than 0.7 denotes high reliability, whereas a coefficient lower than 0.35 denotes low reliability [47]. As shown in Table 3, we observed that the overall Cronbach’s alpha coefficient is 0.952, indicating that the questionnaire has a good internal consistency. The questionnaire includes 22 measurable variables with an attempt to cover all information about the latent variables. The use of too many variables might increase the complexity of analysis and difficulty of model fitting. Therefore, the exploratory factor analysis (EFA) method was used to extract measurable indicators. We conducted Kaiser–Meyer–Olkin (KMO) and Barlett’s tests before EFA (see Table 3). The results show that KMO values are all greater than 0.7, and that Barlett’s tests reject the null hypothesis at the 1% level, indicating that our data has common factors and thus is suitable for factor analysis.
We performed EFA on measurable variables underlying the six latent variables in the hypothetical models. Due to the existence of correlation between variables, oblimin rotation was employed to determine the number of each factor. The extraction criterion is that the factor loading of each measurement item is above 0.5. Moreover, the common factor that the number of measurement items is less than 2 should be deleted. Finally, in our study, there are 18 measurable variables and only one effective factor under each latent variable after screening. Table 4 presents the results of tests for reliability and validity of measurable variables remaining under each latent variable. As shown in Table 4, both factor loading and variance contribution rate exceed 0.5. Furthermore, reliability test of each latent variable shows that all Cronbach’s alpha coefficients exceed 0.7, suggesting that items on the questionnaire have a good reliability and validity. These results imply that the dimension structure of the hypothetical models is reasonable and the corresponding indicator variables are also confirmed.

3.2. Confirmatory Factor Analysis (CFA) and Evaluation of Fit

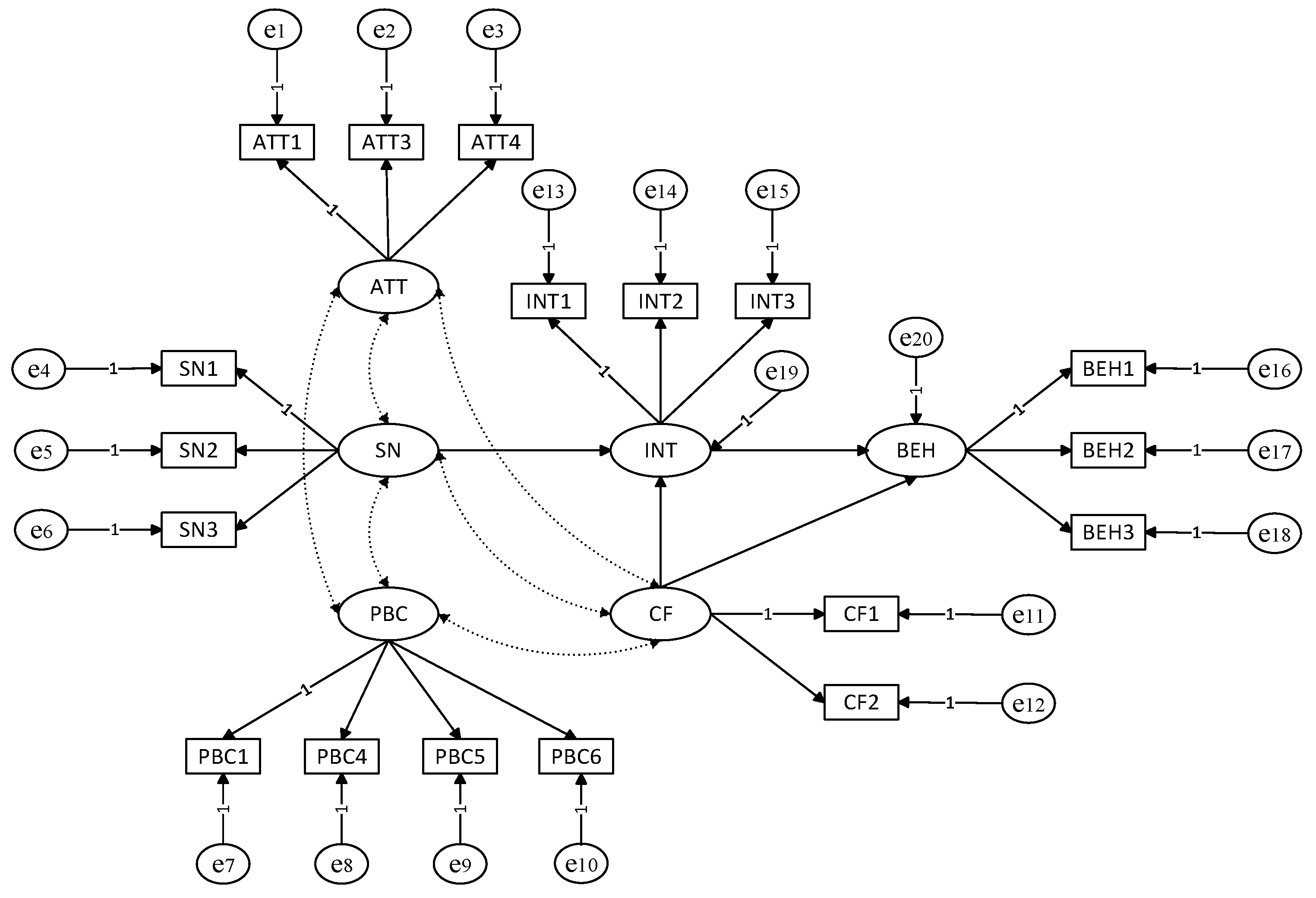
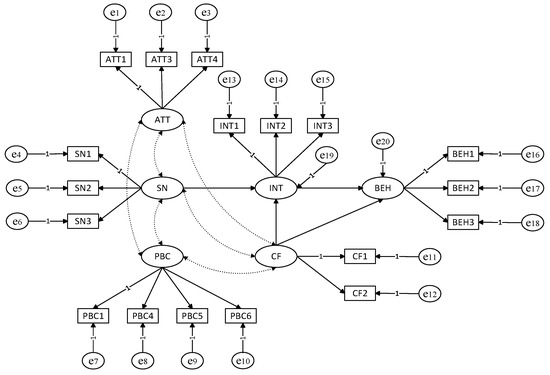
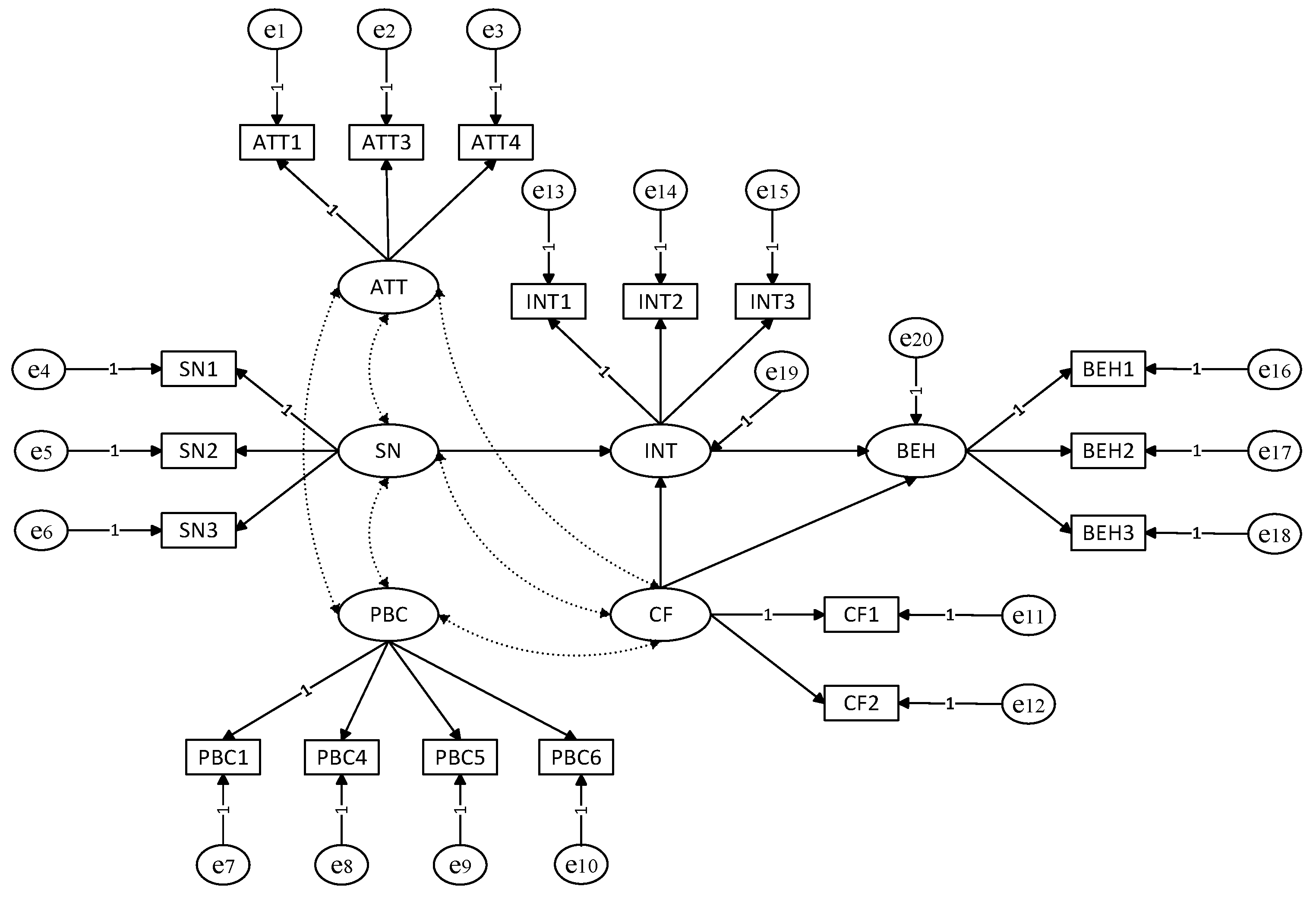
We conducted confirmatory factor analysis (CFA) using the software of Amos (IBM, Armonk, USA, 25.0). Table 5 presents the results of the test for overall goodness of fit. The results show that the evaluation indicators broadly achieve an ideal state, suggesting that the model has a satisfactory goodness of fit and the hypothetical model for path analysis is effective. Figure 3 presents the path diagram of structural model, and the results of the standardized path coefficients are shown in Table 6.
We focus first on the coefficient estimates among latent variables. According to the results of structural model in Table 6, we observe that three core variables in TPB, namely, attitude, subjective norm, and perceived behavioral control, are positively correlated with farmers’ intention to adopt low-carbon production. The standardized path coefficients of these three latent variables are 0.342, 0.510, and 0.544, respectively, and pass the significance test at the 5% level. This is in accordance with the studies of Clarke et al. [48] and Vermont and De Cara [49], and suggests that the more positive attitude, stronger perceived behavioral control, and more complete subjective norm a farmer has, the more obvious intention he or she will have to be engaged in low-carbon production. Moreover, the results show that the standardized path coefficients of the latent variable contract farming participation to farmers’ low-carbon production intention and behavior are 0.316 and 0.304, respectively, and pass the significance test at the 5% level. The result is consistent with the study of Zhao et al. [46], and indicates that farmers who have participated in contract farming are more likely to adopt low-carbon agriculture. Additionally, there is a significant positive correlation between farmers’ intention to adopt of low-carbon production and their low-carbon production behavior. The standardized path coefficient is 0.431 and passes the significance test at the 1% level, suggesting that the stronger intention toward adopting low-carbon production a farmer has, the more likely he or she will be to actually adopt low-carbon agriculture. This is highly similar to the conclusion of Josef [50] and has confirmed the effect of farmers’ production intention on their actual production behavior. In conclusion, the results are consistent with our hypotheses and prove the reasonableness of the hypothetical model used in this study.
Next, from Table 6 we analyze the relations between latent variables and measurable variables. The results of measurement model show that the measurement item concerning farmers’ willingness to receive information about low-carbon agriculture (INT1) is the most prominent feature of the latent variable intention of low-carbon production. This is consistent with the findings of Garbach et al. [51], indicating that farmers who are willing to engage in low-carbon production have a more urgent demand for information about low-carbon agriculture. The most prominent feature of the latent variable attitude is knowledge about the content of low-carbon agriculture (ATT4); that of the latent variable subjective norm is agricultural technician’s recommendation of low-carbon agriculture (SN3); and that of the latent variable perceived behavioral control is farmers’ experience about the price of high-value agricultural products (PBC6). These results imply that farmers’ perception of low-carbon agriculture, agricultural technician’s recommendation, and past experience are closely related to farmers’ behavioral intention to adopt low-carbon production. Moreover, the two measurable variables concerning farmers’ participation in the ‘‘firm + smallholder” contract model (CF1) and participation in the “firm + intermediary + smallholder” contract model (CF2), share equal status in reflecting the latent variable contract farming participation. Additionally, the most prominent feature of the latent variable behavior of low-carbon production is farmers’ adoption of low-carbon straw-biogas production (BEH2).

3.3. Multigroup Analysis

In this section, we further explored the difference in adoption decisions regarding low-carbon agriculture among different groups of farmers. Multigroup structural equation model analysis is used to evaluate whether a model for a certain sample is applicable for other different sample groups, i.e., whether the hypothetical model has equal results among different samples or not, or whether the estimated parameters are invariant or not. We employed the multigroup structural equation model and used farmers’ production scale (i.e., planting area) and region as moderating variables. According to the classification criteria of Qu and Huo [52] and our survey results, we classified farmers’ production scale into two categories: farmers whose planting area was greater than 4 mu were defined as large-scale farmers, and other farmers were defined as small-scale farmers. Region indicators were classified in accordance with economic development level: study counties in southern Jiangsu Province were regarded as economically developed regions, and others were defined as less developed regions.
In order to find out the fittest path model, various parameter restrictions were required to perform a multigroup analysis. Based on a comparison analysis on the fitness of outputs of the five models, i.e., default model, variance equation model, covariance equation model, model invariance, and path coefficient equation model, we finally chose default model (i.e., model without any parameter restriction) as our multigroup analysis model. The simulated fitting results show that the root mean and square error of approximation (RMSEA) values of the multigroup model range from 0.039 to 0.048, which are smaller than the standard critical value of 0.05, that comparative fit index (CFI) values and goodness of fit index (GFI) values are between 0.902 and 0.959, which are higher than the standard value of 0.9, and that the ratio between Chi-square and degree of freedom (χ2/df) statistics are less than 2. The above indicators reflect a good fitness of the multigroup analysis model with our sample data. Table 7 and Table 8 present the estimates of the multigroup structural equation models.
From Table 7 and Table 8, we observe that in all specifications, the latent variables perceived behavioral control and contract farming participation are positively correlated with farmers’ intention of low-carbon production, and that farmers’ intention to adopt low-carbon production and contract farming participation are positively correlated with farmers’ behavior of low-carbon production. This is consistent with our main results shown above. Notably, there are some differences in model outputs across sample groups.
With respect to the latent variable subjective norm, we observe a significantly positive correlation with small-scale farmers’ intention to adopt low-carbon production, however do not observe such a significant correlation with large-scale farmers’ intention. The results suggest that the demonstration role of model household and the government publicity of low-carbon agriculture have more influence on small-scale farmers than on large-scale farmers. One possible explanation for this result is that, compared with large-scale farmers, small-scale farmers are limited by their own endowments, and the ability of information acquisition and the adoption of new technologies is insufficient; thus, small-scale farmers’ acceptance of low-carbon technology extension services can marginally improve their ability to adopt low-carbon technology. On the contrary, large-scale farmers have strong endowment, and their ability to acquire information and adopt new technologies is strong; thus, the marginal promotion effect of large-scale farmers’ acceptance of low-carbon agricultural extension services on their ability to adopt low-carbon technology is limited.
Furthermore, the results show that the latent variable attitude is not significantly correlated with the intention of low-carbon production for farmers in developed regions, however does have a significantly positive correlation for farmers in less developed regions. This might be attributed to the difference in farmers’ perceptions of low-carbon agriculture resulting from the difference in the level of development of low-carbon agriculture. Generally, economically developed regions have a high level of low-carbon agriculture development. Moreover, based on the distribution of survey samples and information obtained from interviews, farmers in developed regions were found to have a stronger educational background than farmers in developed regions and, thus, have a clearer perception of low-carbon agriculture. However, in less developed regions, farmers’ education level and cognitive ability are uneven. Against this background, attitude will play a key role in low-carbon adoption decisions for farmers in less developed regions; that is, small-scale farmers who have more positive attitude and deeper perception of low-carbon agriculture are more likely to engage in low-carbon production.
In brief, our research results imply that farmers with different production scales or in different regions differ in their low-carbon production decision-making due to differences in their own resource endowment and external environment.

4. Conclusions

This paper studies farmers’ adoption decisions regarding low-carbon production with an extended TPB and multigroup structural equation model. Our study is based on an extended TPB and a household survey of 442 rice farmers conducted in four counties of Jiangsu Province, China. We focused on investigating the correlations between farmers’ decision-making processes related to low-carbon production and observable characteristics. The main results show that attitude, subjective norms, perceived behavioral control, and contract farming participation are significantly positively correlated with farmers’ intention to adopt low-carbon production and that farmers’ low-carbon production intention and contract farming participation have a significant positive correlation with their actual behavior regarding low-carbon production. Furthermore, we explored the differences in adoption decisions related to low-carbon agriculture among different groups of farmers based on production scale and region, respectively. The results show that the subjective norm for farmers with small production scale is more strongly correlated with the adoption of low-carbon agriculture than it is for farmers with a large production scale. Additionally, the attitude of farmers in less developed regions is more strongly correlated with the adoption of low-carbon agriculture than it is for farmers in developed regions.
The conclusions of this paper have implications for the targeted support policies of low-carbon agriculture. First, it is recommendable to publicize the idea of low-carbon agriculture through media platforms such as television, broadcasting, newspapers, and the internet so as to let low-carbon awareness take root in the hearts of farmers and thus improve farmers’ positive attitude toward low-carbon production. In particular, the government should pay more attention to the support and propaganda of low-carbon agriculture in less developed regions, so as to improve farmers’ awareness of low-carbon agriculture and change farmers’ traditional intensive farming practices. Second, given the significant role of contract farming participation in farmers’ adoption of low-carbon agriculture, it is also necessary to support the development of contract farming and encourage farmers sign a contract with agribusiness firm or farmer cooperative. With respect to the propaganda of low-carbon agriculture, the government shall make full use of the organizational characteristics of contract farming and promote contract farming as a medium of low-carbon awareness and low-carbon technology. Third, as initial achievements have been made in low-carbon agriculture, the government shall further make a further commitment to provide low-carbon agriculture and improve agricultural infrastructure. This is conducive to improving farmers’ capabilities regarding perceived behavioral control and further improve their intention toward adopting low-carbon agriculture. Finally, government shall strengthen the demonstrative role of low-carbon agriculture and popularize agricultural training and field guidance by agricultural technicians to promote the dissemination of low-carbon technology. Notably, our results may imply that the low-carbon technology extension services have a greater effect on small-scale farmers’ adoption of low-carbon agriculture. However, the current low-carbon technology extension services in China tend to serve large-scale farmers, and it is difficult for small-scale farmers to access new low-carbon technologies. For a long time to come, small-scale peasant households will still be the main part of the main body of agricultural management in China. Therefore, from the perspective of the transformation of low-carbon agriculture to promote agricultural development mode, future policy should balance the promotion efficiency and equity, and the service object of low-carbon agricultural technology promotion should be aimed at all farmers. That is, we should not overemphasize the scale of operation in the selection of promotion objects, and should pay more attention to small-scale farmers. This strategy may be conducive to promoting the adoption rate of low-carbon agriculture.
This study has limitations that may suggest future research directions. In this study, as SEM itself also has inevitable defects, such as an inability to analyze the causal relationship between variables, we only considered the correlation, rather than causal relationship, between farmers’ adoption decisions regarding low-carbon agriculture and observable characteristics. Future research could use regression models such as the multivariate probit model to study the influencing factors of low-carbon adoption. Moreover, this study only considered one external factor, namely contract farming participation. However, the cognitive activities of farmers are extremely complex and may be affected by many factors. For example, the introduction of social capital is conducive to the analysis of the external impact of farmers’ social network and trust on farmers’ low-carbon agricultural adoption decisions. More specifically, social network can promote the exchange and transmission of information among farmers, which will greatly reduce the information asymmetry and the cost of information collection of low-carbon agriculture and thus improve farmers’ adoption rate of low-carbon agriculture. Furthermore, trust plays a role in promoting cooperation and value identification, helping farmers form a consistent sense of collective identity and public value norms, and thus promoting the adoption rate of low-carbon agriculture. Therefore, future research could expand this study by considering the role of social capital to explore farmers’ adoption decisions relating to low-carbon agriculture more deeply.

Author Contributions

J.H. was the author for the original draft and was responsible for model building and data analysis. B.H. led the project, conceptualized the research, and reviewed the manuscript.

Acknowledgments

The authors thank two anonymous reviews sincerely for their insightful comments. This study was supported by the National Social Science Foundation of China [grant number 17CGL044].

Conflicts of Interest

The authors declare no conflict of interest.

Abbreviations

TPBTheory of planned behavior
SEMStructural equation model
GHGGreenhouse gases
IPCCIntergovernmental Panel on Climate Change
CO2Carbon dioxide
CH4Methane
N2ONitrous oxide
TRATheory of reasoned action
ATTAttitude
SNSubjective norm
PBCPerceived behavioral control
CFContract farming participation
INTIntent of low-carbon production
BEHBehavior of low-carbon production
ATT1Attitude 1: Understanding the role of low-carbon agriculture in environment
ATT2Attitude 2: Understanding the role of low-carbon agriculture in income
ATT3Attitude 3: Understanding the role of low-carbon agriculture in health
ATT4Attitude 4: Knowledge about the content of low-carbon agriculture
SN1Subjective norm 1: The positive impact of government propaganda on farmers’ decision-making of low-carbon production
SN2Subjective norm 2: The positive impact of model household’s recommendation on farmers’ decision-making of low-carbon production
SN3Subjective norm 3: The positive impact of agricultural technician’s recommendation on farmers’ decision-making of low-carbon production
SN4Subjective norm 4: The positive impact of low-carbon production behavior of relatives and friends on farmers’ decision-making of low-carbon production
PBC1Perceived behavioral control 1: Education level of household head
PBC2Perceived behavioral control 2: Family annual income
PBC3Perceived behavioral control 3: Village leader
PBC4Perceived behavioral control 4: Well-grounded infrastructure
PBC5Perceived behavioral control 5: Effective guidance for agricultural training
PBC6Perceived behavioral control 6: Experience about the price of high-value agricultural products
CF1Contract farming 1: Participation in the ‘‘firm + smallholder” contract model
CF2Contract farming 2: Participation in the “firm + intermediary + smallholder” contract model
INT2Intent of low-carbon production 2: Willingness to adopt low-carbon production
INT1Intent of low-carbon production 1: Willingness to receive information about low-carbon agriculture
INT3Intent of low-carbon production 3: Willingness to learn low-carbon technologies
BEH1Behavior of low-carbon production 1: Adoption of water saving irrigation
BEH2Behavior of low-carbon production 2: Adoption of straw-biogas production
BEH3Behavior of low-carbon production 3: Adoption of soil testing for formulated fertilizer
EFAExploratory factor analysis
KMOKaiser-Meyer-Olkin
CFAConfirmatory Factor Analysis
GFIGoodness of fit index
RMRRoot mean square residual
RMSEARoot mean square error of approximation
AGFIAdjust goodness of fit index
NFINormed fit index
IFIIncremental fit index
TLITucker - Lewis index
CFIComparative fit index
χ2/dfRatio between Chi-square to degree of freedom

References

  1. Kerr, R.A. Global warming is changing the world. Science 2007, 316, 188–190. [Google Scholar] [CrossRef] [PubMed]
  2. Ott, H.E. Climate change: An important foreign policy issue. Int. Aff. 2001, 77, 277–296. [Google Scholar] [CrossRef]
  3. IPCC. Climate Change 2014: Mitigation of Climate Change; Cambridge University Press: Cambridge, UK, 2014. [Google Scholar]
  4. Ray, D.K.; Gerber, J.S.; MacDonald, G.K.; West, P.C. Climate variation explains a third of global crop yield variability. Nat. Commun. 2015, 6, 5989. [Google Scholar] [CrossRef] [PubMed]
  5. Parry, M.L.; Rosenzweig, C.; Iglesia, A.; Livermore, M.; Fischer, G. Effects of climate change on global food production under SRES emissions and socio-economic scenarios. Glob. Environ. Chang. 2004, 14, 53–67. [Google Scholar] [CrossRef]
  6. Olesen, J.E.; Trnka, M.; Kersebaum, K.C.; Skjelvåg, A.O.; Seguin, B.; Peltonen-Sainio, P.; Rossi, F.; Kozyra, J.; Micalei, F. Impacts and adaptation of European crop production systems to climate change. Eur. J. Agron. 2011, 34, 96–112. [Google Scholar] [CrossRef]
  7. Committee of “China’s National Assessment Report on Climate Change”. China’s National Assessment Report on Climate Change; Science Press: Beijing, China, 2007. [Google Scholar]
  8. Beach, R.H.; DeAngelo, B.J.; Rose, S.; Li, C.; Salas, W.; DelGrosso, S.J. Mitigation potential and costs for global agricultural greenhouse gas emissions. Agric. Econ. 2008, 38, 109–115. [Google Scholar] [CrossRef]
  9. Bennetzen, E.H.; Smith, P.; Porter, J.R. Decoupling of greenhouse gas emissions from global agricultural production: 1970–2050. Glob. Chang. Biol. 2016, 22, 763–781. [Google Scholar] [CrossRef] [PubMed]
  10. Vetter, S.H.; Sapkota, T.B.; Hillier, J.; Stirling, C.M.; Macdiarmid, J.I.; Aleksandrowicz, L.; Green, R.; Joy, E.J.M.; Dangour, A.D.; Smith, P. Greenhouse gas emissions from agricultural food production to supply Indian diets: Implications for climate change mitigation. Agric. Ecosyst. Environ. 2017, 237, 234–241. [Google Scholar] [CrossRef] [PubMed]
  11. Schneider, U.A.; McCarl, B.A. Appraising agricultural greenhouse gas mitigation potentials: Effects of alternative assumptions. Agric. Econ. 2006, 35, 277–287. [Google Scholar] [CrossRef]
  12. Hutchinson, J.J.; Campbell, C.A.; Desjardins, R.L. Some perspectives on carbon sequestration in agriculture. Agric. For. Meteorol. 2007, 142, 288–302. [Google Scholar] [CrossRef]
  13. Fuentes, M.; Hidalgo, C.; Etchevers, J.; León, F.; Guerrero, A.; Dendooven, L.; Verhulst, N.; Govaerts, B. Conservation agriculture, increased organic carbon in the top-soil macro-aggregates and reduced soil CO emissions. Plant Soil 2012, 355, 183–197. [Google Scholar] [CrossRef]
  14. Camarotto, C.; Dal Ferro, N.; Piccoli, I.; Polese, R.; Furlan, L.; Chiarini, F.; Morari, F. Conservation agriculture and cover crop practices to regulate water, carbon and nitrogen cycles in the low-lying Venetian plain. Catena 2018, 167, 236–249. [Google Scholar] [CrossRef]
  15. Smith, P.; Bhogal, A.; Edgington, P. Consequences of feasible future agricultural land-use change on soil organic carbon stocks and greenhouse gas emissions in Great Britain. Soil Use Manag. 2010, 26, 381–398. [Google Scholar] [CrossRef]
  16. Fargione, J.; Hill, J.; Tilman, D.; Polasky, S.; Hawthorne, P. Land clearing and the biofuel carbon debt. Science 2008, 319, 1235–1238. [Google Scholar] [CrossRef] [PubMed]
  17. Mattioli, A.; Boscaro, D.; Dalla Venezia, F.; Correale Santacroce, F.; Pezzuolo, A.; Sartori, L.; Bolzonella, D. Biogas from residual grass: A territorial approach for sustainable bioenergy production. Waste Biomass Valoriz. 2017, 8, 2747–2756. [Google Scholar] [CrossRef]
  18. Chiumenti, A.; Boscaro, D.; Da Borso, F.; Sartori, L.; Pezzuolo, A. Biogas from fresh spring and summer grass: Effect of the harvesting period. Energies 2018, 11, 1466. [Google Scholar] [CrossRef]
  19. Development and Reform Commission’s Questions on the 13th Five-Year Plan for Nationwide Rural Biogas Development. 2017. Available online: http://www.gov.cn/xinwen/2017-02/16/content_5168559.htm#1 (accessed on 31 January 2019).
  20. Nizami, A.S.; Orozco, A.; Groom, E.; Dieterich, B.; Murphy, J.D. How much gas can we get from grass? Appl. Energy 2012, 92, 783–790. [Google Scholar] [CrossRef]
  21. Qiu, J.J.; Li, C.S.; Wang, L.G. Modeling impacts of carbon sequestration on net greenhouse gas emissions from agricultural soils in China. Glob. Biogeochem. Cycle 2009, 23, 288–296. [Google Scholar] [CrossRef]
  22. Zhu, H.; Tian, Z. Analysis on dilemma of low carbon agriculture technology in rice production. J. China Agric. Univ. (Soc. Sci. Ed.) 2012, 4, 153–160. [Google Scholar]
  23. Zhou, N.; Ohshita, S.; Price, L.; Zheng, N.N. A low carbon development guide for local government actions in China. Carbon Manag. 2011, 2, 455–469. [Google Scholar] [CrossRef][Green Version]
  24. Zhu, Q. Study on suburban farmers’ willingness of handling crop straw: An empirical analysis based on the survey data of Jinan city. Issues Agric. Econ. 2008, 5, 103–109. [Google Scholar]
  25. Mi, S. Study on China Low Carbon Modern Agriculture Development: From Views of Carbon Footprint Calculation and Applicable Mitigation Technology Application. Ph.D. Thesis, Zhejiang University, Hangzhou, China, 2013. [Google Scholar]
  26. Hou, B.; Ying, R. Inter-provincial comparative study on the scattered farmers’ perception of pesticide residues. Stat. Inf. Forum 2014, 2, 101–106. [Google Scholar]
  27. Abdollahzadeh, G.; Damalas, C.A.; Sharifzadeh, M.S.; Ahmadi-Gorgi, H. Attitude towards and intention to use biological control among citrus farmers in Iran. Crop Prot. 2018, 108, 95–101. [Google Scholar] [CrossRef]
  28. Wang, W.; Sardans, J.; Wang, C.; Zeng, C.; Tong, C.; Asensio, D.; Peñuelas, J. Relationships between the potential production of the greenhouse gases CO2, CH4 and N2O and soil concentrations of C, N and P across 26 paddy fields in southeastern China. Atmos. Environ. 2017, 164, 458–467. [Google Scholar] [CrossRef]
  29. Lou, X.F.; Nair, J. The impact of landfilling and composting on greenhouse gas emissions—A review. Bioresour. Technol. 2009, 100, 3792–3798. [Google Scholar] [CrossRef] [PubMed]
  30. Fishbein, M. An Investigation of the relationships between beliefs about an object and the attitude toward that object. Hum. Relat. 1963, 16, 233–239. [Google Scholar] [CrossRef]
  31. Fishbein, M.; Ajzen, I. Belief, Attitude, Intention and Behavior: An Introduction to Theory and Research; Addison-Welsey: Reading, MA, USA, 1975. [Google Scholar]
  32. Ajzen, I. The theory of planned behavior. Organ. Behav. Hum. Decis. Process. 1991, 2, 179–211. [Google Scholar] [CrossRef]
  33. Liu, Y.; Liang, Q.; Li, F.; Liu, Q.; Zhong, J.; Cai, L.; Ye, X. Current status of low-carbon agriculture in Guangxi and its development strategies. J. South. Agric. 2011, 4, 453–456. [Google Scholar]
  34. Montefrio, M.J.F.; Sonnenfeld, D.A.; Luzadis, V.A. Social construction of the environment and smallholder farmers’ participation in ‘low-carbon’, agro-industrial crop production contracts in the Philippines. Ecol. Econ. 2015, 116, 70–77. [Google Scholar] [CrossRef]
  35. Tereza, P.; Miroslava, B.; Alexander, K. Do farmer, household and farm characteristics influence the adoption of sustainable practices? The evidence from the Republic of Moldova. Int. J. Agric. Sustain. 2018, 16, 367–384. [Google Scholar]
  36. Bossange, A.V.; Knudson, K.M.; Shrestha, A.; Harben, R.; Mitchell, J.P. The potential for conservation tillage adoption in the San Joaquin Valley, California: A qualitative study of farmer perspectives and opportunities for extension. PLoS ONE 2016, 11, e0167612. [Google Scholar] [CrossRef] [PubMed]
  37. Ng, T.L.; Eheart, J.W.; Cai, X.M.; Braden, J.B. An agent-based model of farmer decision-making and water quality impacts at the watershed scale under markets for carbon allowances and a second-generation biofuel crop. Water Resour. Res. 2011, 47, 130–139. [Google Scholar] [CrossRef]
  38. Kragt, M.E.; Dumbrell, N.P.; Blackrnore, L. Motivations and barriers for Western Australian broad-acre farmers to adopt carbon farming. Environ. Sci. Policy 2017, 73, 115–123. [Google Scholar] [CrossRef]
  39. Boz, I. Determinants of farmers’ enrollment in voluntary environmental programs: Evidence from the Eregli Reed Bed area of Turkey. Environ. Dev. Sustain. 2018, 20, 2643–2661. [Google Scholar] [CrossRef]
  40. Zhang, J.J.; Zheng, X.P.; Zhang, X.S. Farmers’ information acceptance behavior in China. Afr. J. Agric. Res. 2010, 3, 217–221. [Google Scholar]
  41. Wang, S.; Zhang, G. The impact of off-farm employment on the agricultural carbon emission behavior of farmers. Resour. Sci. 2013, 9, 1855–1862. (In Chinese) [Google Scholar]
  42. Wang, H.H.; Wang, Y.; Delgado, M. The transition to modern agriculture: Contract farming in developing economies. Am. J. Agric. Econ. 2014, 96, 1257–1271. [Google Scholar] [CrossRef]
  43. Guo, H.; Jolly, R.W. Contractual arrangements and enforcements in transition agriculture: Theory and evidence from China. Food Policy 2008, 33, 570–575. [Google Scholar] [CrossRef]
  44. Boehlje, M.; Ray, J. Contract vs. independent pork production: Does financing matter? Agric. Financ. Rev. 1999, 59, 31–42. [Google Scholar]
  45. Nigel, K. Production contracts and farm business growth and survival. J. Agric. Appl. Econ. 2013, 45, 155–170. [Google Scholar]
  46. Zhao, L.; Cai, S. Farmers’ IPM technology adoption: Based on empirical analysis on Wuhu, Anhui province. Issues Agric. Econ. 2012, 3, 50–56. [Google Scholar]
  47. Guielford, J.P. Fundamental Statics in Psychology and Education; Mc Graw-Hill: New York, NY, USA, 1965. [Google Scholar]
  48. Clarke, C.L.; Shackleton, S.E.; Powell, M. Climate change perceptions, drought responses and views on carbon farming amongst commercial livestock and game farmers in the semiarid Great Fish River Valley, Eastern Cape province, South Africa. Afr. J. Range Forage Sci. 2012, 29, 12–23. [Google Scholar] [CrossRef]
  49. Vermont, B.; De Cara, S. How costly is mitigation of non-CO2 greenhouse gas emissions from agriculture?: A meta-analysis. Ecol. Econ. 2010, 69, 1373–1386. [Google Scholar] [CrossRef]
  50. Josef, M. Study on agriculture decision-makers behavior on sustainable energy utilization. J. Agric. Environ. 2013, 26, 679–689. [Google Scholar]
  51. Garbach, K.; Lubell, M.; DeClerck, F.A.J. Payment for ecosystem services: The roles of positive incentives and information sharing in stimulating adoption of silvopastoral conservation practices. Agric. Ecosyst. Environ. 2012, 156, 27–36. [Google Scholar] [CrossRef]
  52. Qu, X.; Huo, X. The impact of transaction cost on farmers’ behavior of agricultural products sales: Based on the survey data of 27 village fruit farmers in 6 counties of Shanxi province. China Rural Econ. 2007, 8, 35–46. [Google Scholar]
Figure 1. Understanding lever of low-carbon agriculture by interviewed farmers.
Figure 1. Understanding lever of low-carbon agriculture by interviewed farmers.
Sustainability 11 01399 g001
Figure 2. A hypothetical model for farmers’ decision-making regarding low-carbon production.
Figure 2. A hypothetical model for farmers’ decision-making regarding low-carbon production.
Sustainability 11 01399 g002
Figure 3. Path diagram of structural model.
Figure 3. Path diagram of structural model.
Sustainability 11 01399 g003
Table 1. Description and summary statistics of measurable variables.
Table 1. Description and summary statistics of measurable variables.
Latent VariableCodeMeasurement ItemMedianInterquartile Range
Attitude (ATT)ATT1Understanding the role of low-carbon agriculture in environment 23
ATT2Understanding the role of low-carbon agriculture in income 12
ATT3Understanding the role of low-carbon agriculture in health23
ATT4Knowledge about the content of low-carbon agriculture23
Subjective norm (SN)SN1The positive impact of government propaganda on farmers’ decision-making of low-carbon production23
SN2The positive impact of model household’s recommendation on farmers’ decision-making of low-carbon production23
SN3The positive impact of agricultural technician’s recommendation on farmers’ decision-making of low-carbon production23
SN4The positive impact of low-carbon production behavior of relatives and friends on farmers’ decision-making of low-carbon production32
Perceived behavioral control (PBC)PBC1Education level of household head (years)81
PBC2Family annual income (10,000 yuan)75
PBC3Village leader (1 = yes; 0 = no)00
PBC4Well-grounded infrastructure23
PBC5Effective guidance for agricultural training23
PBC6Experience about the price of high-value agricultural products23
Contract farming participation (CF)CF1Participation in the ‘‘firm + smallholder” contract model (1 = yes; 0 = no)00
CF2Participation in the “firm + intermediary + smallholder” contract model (1 = yes; 0 = no)00
Intent of low-carbon production (INT)INT2Willingness to adopt low-carbon production23
INT1Willingness to receive information about low-carbon agriculture23
INT3Willingness to learn low-carbon technologies23
Behavior of low-carbon production (BEH)BEH1Adoption of water saving irrigation00
BEH2Adoption of straw-biogas production00
BEH3Adoption of soil testing for formulated fertilizer00
Table 2. Demographic characteristics of respondents.
Table 2. Demographic characteristics of respondents.
CharacteristicsDistributionFrequencyPercentage
Ageunder 30 years old419.28%
30–49 years old16236.65%
50–69 years old22851.58%
70 years old and above112.49%
EducationNone122.71%
elementary school (1–6 years)9220.81%
middle school (7–9 years)26159.05%
high school (10–12 years)6815.38%
other (>12 years)92.04%
Years of rice planting10 years or under5612.67%
11–20 years11926.92%
21–30 years10223.08%
above 30 years16537.33%
Household size2 or under6614.93%
3–417339.14%
5–616136.43%
Above 6429.50%
Household annual income (including off-farm income)20,000 Yuan or under184.07%
20,001–50,000 Yuan13229.86%
50,001–80,000 Yuan13129.64%
80,001–100,000 Yuan8118.33%
above 100,000 Yuan8018.10%
Cropland area4 mu or under24354.98%
above 4 mu 19945.02%
Regionsouthern Jiangsu21448.42%
northern Jiangsu22851.58%
Note: 1 hectare = 15 mu.
Table 3. Reliability and validity tests of variables.
Table 3. Reliability and validity tests of variables.
Latent VariableCronbach’s αKMOBarlett’s Test
ATT0.8140.7511226.08 (p-value = 0.000)
SN0.7740.745849.30 (p-value = 0.000)
PBC0.7690.7961202.97 (p-value = 0.000)
CF0.9020.700493.66 (p-value = 0.000)
INT09240.7221081.37 (p-value = 0.000)
BEH0.9270.7791429.38 (p-value = 0.000)
Overall0.9520.9549703.52 (p-value = 0.000)
Table 4. Variable reliability and factor analysis after modification.
Table 4. Variable reliability and factor analysis after modification.
Latent VariableCodeCronbach’s αFactor LoadingVariance Contribution Rate
ATTATT10.9290.91387.55%
ATT30.971
ATT40.923
SNSN10.9030.89783.68%
SN20.918
SN30.929
PBCPBC10.8430.74475.16%
PBC40.909
PBC50.883
PBC60.920
CFCF10.9280.96693.33%
CF20.966
INTINT10.9240.90786.83%
INT20.929
INT30.959
BEHBEH10.9270.94387.29%
BEH20.937
BEH30.922
Table 5. Evaluation indicator system and fitting result of SEM overall model fit.
Table 5. Evaluation indicator system and fitting result of SEM overall model fit.
Statistic Tested QuantitiesDescriptionActual Fitting ValueStandardResult
GFIGoodness of fit index0.924>0.90ideal
RMRRoot mean square residual0.043<0.05ideal
RMSEARoot mean square error of approximation0.051<0.05close
AGFIAdjust goodness of fit index0.794>0.80close
NFINormed fit index0.928>0.90ideal
IFIIncremental fit index0.908>0.90ideal
TLITucker - Lewis index0.919>0.90ideal
CFIComparative fit index0.908>0.90ideal
χ2/dfRatio between Chi-square to degree of freedom1.774<2ideal
Table 6. SEM weighting factor regression between model variables.
Table 6. SEM weighting factor regression between model variables.
PathRegression WeightsS.E.Standardized Regression WeightsSignificance
Structural ModelINT <--- ATT0.383 **0.1620.342Significant
INT <--- SN0.637 ***0.1570.510Significant
INT <--- PBC0.572 ***0.1870.544Significant
INT <--- CF1.068 **0.4780.316Significant
BEH <--- CF0.253 ***0.0970.304Significant
BEH <--- INT0.127 ***0.0360.431Significant
Measurement ModelATT1 <--- ATT1.0000.887
ATT3 <--- ATT1.049 ***0.0500.899Significant
ATT4 <--- ATT1.129 ***0.0470.947Significant
SN1 <--- SN1.0000.809
SN2 <--- SN1.084 ***0.0680.872Significant
SN3 <--- SN1.167 ***0.0670.921Significant
PBC1 <--- PBC1.0000.553
PBC4 <--- PBC0.899 ***0.0980.872Significant
PBC5 <--- PBC0.864 ***0.0950.854Significant
PBC6 <--- PBC1.040 ***0.1090.947Significant
CF1 <--- CF1.0000.923
CF2 <--- CF1.001 ***0.0400.921Significant
INT1 <--- INT1.0000.931
INT2 <--- INT0.924 ***0.0380.898Significant
INT3 <--- INT0.888 ***0.0400.872Significant
BEH1 <--- BEH1.0000.921
BEH2 <--- BEH1.036 ***0.0380.947Significant
BEH3 <--- BEH1.023 ***0.0390.939Significant
Note: Asterisks: *, **, and *** denote statistical significance at 10%, 5%, and 1%, respectively. “—” indicates that it is the benchmark of SEM to estimate parameters.
Table 7. Multigroup analysis by production scale.
Table 7. Multigroup analysis by production scale.
PathFarmers with Small Production Scale (N = 243)Farmers with Large Production Scale (N = 199)
Regression WeightsS.E.Standardized Regression WeightsRegression WeightsS.E.Standardized Regression Weights
INT<---ATT0.482 *0.2570.3970.590 **0.2920.513
INT<---SN0.661 ***0.2330.5190.3730.2900.205
INT<---PBC0.542 **0.2690.5470.640 **0.2700.580
INT<---CF1.421 *0.7630.3671.038 *0.5830.357
BEH<---CF0.806 ***0.1160.9560.265 **0.1070.324
BEH<---INT0.168 **0.0670.6170.078 **0.0370.253
ATT1<---ATT1.0000.8591.0000.899
ATT3<---ATT1.044 ***0.0790.8671.073 ***0.0690.914
ATT4<---ATT1.235 ***0.0780.9441.089 ***0.0630.949
SN1<---SN1.0000.7691.0000.824
SN2<---SN1.055 ***0.1030.8411.122 ***0.0960.886
SN3<---SN1.193 ***0.1050.9111.176 ***0.0940.926
PBC1<---PBC1.0000.5321.0000.557
PBC4<---PBC0.801 ***0.1270.8500.992 ***0.1560.882
PBC5<---PBC0.740 ***0.1200.8110.967 ***0.1530.872
PBC6<---PBC0.971 ***0.1470.9411.108 ***0.1680.946
CF1<---CF1.0000.8801.0000.943
CF2<---CF1.033 ***0.0720.8780.997 ***0.0500.943
INT1<---INT1.0000.9201.0000.935
INT2<---INT0.852 ***0.0560.8610.981 ***0.0550.918
INT3<---INT0.846 ***0.0590.8420.896 ***0.0570.883
BEH1<---BEH1.0000.9111.0000.919
BEH2<---BEH1.053 ***0.0560.9431.029 ***0.0560.944
BEH3<---BEH1.004 ***0.0590.9151.033 ***0.0560.947
Note: Asterisks: *, **, and *** denote statistical significance at 10%, 5%, and 1%, respectively. “—” indicates that it is the benchmark of SEM to estimate parameters.
Table 8. Multigroup analysis by region.
Table 8. Multigroup analysis by region.
PathFarmers in Less Developed Regions
(N = 228)
Farmers in Developed Regions
(N = 214)
Regression WeightsS.E.Standardized Regression WeightsRegression WeightsS.E.Standardized Regression Weights
INT<---ATT0.286 *0.1580.2580.5860.4100.511
INT<---SN0.505 ***0.1760.4141.030 **0.4000.809
INT<---PBC0.417 **0.1850.4520.755 *0.3870.613
INT<---CF1.391 **0.6270.4180.933 *0.5520.809
BEH<---CF0.790 ***0.1100.9310.337 ***0.1270.422
BEH<---INT0.209 **0.0840.7280.118 **0.0520.390
ATT1<---ATT1.0000.8881.0000.885
ATT3<---ATT1.028 ***0.0700.8961.070 ***0.0710.902
ATT4<---ATT1.150 ***0.0670.9511.113 ***0.0650.945
SN1<---SN1.0000.8011.0000.833
SN2<---SN1.049 ***0.0950.8721.098 ***0.0920.870
SN3<---SN1.175 ***0.0950.9341.138 ***0.0880.905
PBC1<---PBC1.0000.5491.0000.565
PBC4<---PBC0.799 ***0.1270.8661.035 ***0.1530.881
PBC5<---PBC0.770 ***0.1230.8480.989 ***0.1490.858
PBC6<---PBC0.955 ***0.1440.9591.161 ***0.1670.937
CF1<---CF1.0000.9341.0000.911
CF2<---CF0.987 ***0.0580.9071.012 ***0.0570.929
INT1<---INT1.0000.9161.0000.955
INT2<---INT0.919 ***0.0570.8960.928 ***0.0490.908
INT3<---INT0.918 ***0.0610.8740.848 ***0.0520.867
BEH1<---BEH1.0000.9001.0000.946
BEH2<---BEH1.087 ***0.0610.9540.984 ***0.0470.938
BEH3<---BEH1.061 ***0.0630.9380.988 ***0.0460.942
Note: Asterisks: *, **, and *** denote statistical significance at 10%, 5%, and 1%, respectively. “—” indicates that it is the benchmark of SEM to estimate parameters.

Share and Cite

MDPI and ACS Style

Hou, J.; Hou, B. Farmers’ Adoption of Low-Carbon Agriculture in China: An Extended Theory of the Planned Behavior Model. Sustainability 2019, 11, 1399. https://doi.org/10.3390/su11051399

AMA Style

Hou J, Hou B. Farmers’ Adoption of Low-Carbon Agriculture in China: An Extended Theory of the Planned Behavior Model. Sustainability. 2019; 11(5):1399. https://doi.org/10.3390/su11051399

Chicago/Turabian Style

Hou, Jing, and Bo Hou. 2019. "Farmers’ Adoption of Low-Carbon Agriculture in China: An Extended Theory of the Planned Behavior Model" Sustainability 11, no. 5: 1399. https://doi.org/10.3390/su11051399

APA Style

Hou, J., & Hou, B. (2019). Farmers’ Adoption of Low-Carbon Agriculture in China: An Extended Theory of the Planned Behavior Model. Sustainability, 11(5), 1399. https://doi.org/10.3390/su11051399

Note that from the first issue of 2016, this journal uses article numbers instead of page numbers. See further details here.

Article Metrics

Back to TopTop