Value Perception of Green Products: An Exploratory Study Combining Conscious Answers and Unconscious Behavioral Aspects
Abstract
1. Introduction
- GPs require market success to fulfill sustainable objectives [7]. Indeed, a product that shows a low environmental impact, but it is not purchased, does not contribute to sustainable development [8]. In other words, truly sustainable products must be successful in the market [9] or, at least, avoid flops.
- Success enables GPs to replace alternative products with greater environmental impact [10]. Then, it is imperative to understand GPs’ strengths and weaknesses, as well as those of alternative products in a CVP perspective. This helps designers to develop products’ profiles that target both consumer satisfaction and the reduction of the environmental impact [11].
- Pro-environmental strategies adopted in the past have led to considerable confusion in today’s consumers [12]. On the one hand, GPs designed with the sole objective of reducing the environmental impact (without taking into account the CVP) have brought to market solutions with higher price, lower quality, and/or reduced performance [13]. This has discouraged the purchase of GPs, especially for consumers not particularly sensitive to environmental issues. On the other hand, the abuse or misuse of eco-labels for attracting more green consumers had negative implications for GPs, as these people have matured a sense of mistrust too. In this respect, extensive literature about the “greenwashing” phenomenon is available [14,15].
- Conflicting issues emerge in the marketing field of green consumerism. For instance, Chekima et al. [16] studied reproducible factors that trigger intention of green consumption, while Akenji [17] individuated fundamental limits to green consumerism, especially in terms of the key role attributed to customers’ sensitivity to environmental issues and following decisions. In any case, a recent review in the field [18] has stressed the different approaches required by traditional marketing and marketing of GPs—hence, it can be inferred that GPs give rise to distinct CVP phenomena to be studied separately.
- Does consumer perception of products depend on design efforts to improve their sustainable level?
- Does the environmental attitude of consumers affect the above relationship?
2. Studies in the Perception of Sustainable Products: A Critical State of the Art
3. Green Consumer Perceived Value and Its Relevant Dimensions
4. Rationale and Objectives
- It includes both people’s conscious evaluations and unconscious reactions (measured with biometric instruments) when they are exposed to sustainable triggers.
- It studies the CVP as a comprehensive phenomenon instead of single aspects. Besides, the concept of CVP, initially referred to the marketing field, is conceptualized as a transdisciplinary and multidimensional construct [45,67]. An overview of the phenomena ascribable to CVP is provided in Section 3, which serves as guide to identify the relevant factors to be observed.
- It conceals references to sustainability- and environment-related terms ascribable to GPs to limit bias towards sustainable aspects, as elicited by the attitude-behavior gap.
- An experiment is organized in which the product/industry domains are various and not limited to specific contexts.
5. Materials, Methods and Indicators Relevant for the Study
- Their availability for a large number of product categories.
- Practical reasons, e.g., money and space required for physical objects.
- Possibility to present the products in a consistent way with no need to hide other objects at the same time.
- Presentation of products in a similar fashion with respect to situations in which the participants behave as consumers.
- Possibility to display all the information participants required without forcing them to focus on specifically declared performance.
5.1. Participants
- The experiment consists in the evaluation of products with no additional specifications about the properties of these products.
- During the experiment, they must be equipped with instruments capable of measuring certain biometric parameters.
- The experiment takes place in two sessions lasting no more than 60 min each.
5.2. Products
- The products illustrated had to belong to the everyday life, such as in the fields of food and beverage, cleaning and personal hygiene, light and energy, furniture, transportation. On the one hand, it was supposed that participants could evaluate a large number of the proposed products. On the other hand, the variety of industrial fields aimed to minimize domain-dependent effects.
- Environmental-related features could be captured or inferred also through static pictures, i.e., sustainable advantages should not be enabled by dynamic effects.
- The pictures had to be large and in high definition and depicted with similar colors to ease the observation of the depicted products and avoid preferences depending on the image rather than on the product.
- Each PP consisted of products with the same brand (when present) to limit biases in terms of commercial preferences.
- Within each picture composing the PP, the same number of products should be presented.
5.3. Questionnaires
5.3.1. Preliminary Questionnaire
- To assess the level of consistency in the use of the Likert scale by each participant. In this respect, two antithetical affirmations are proposed, both concerning the participants’ reliance upon travel agencies to plan holidays. Inconsistencies were considered as a low understanding of the Likert scale; this aspect is monitored through the variable Check_Comparison (Table 1), while the outcomes are reported in Table A2.
- To define the participant’s environmental attitude while avoiding direct questions about this issue. Eight characterizing statements (4 in a positive and 4 in a negative form) concerning environmental issues were proposed. In the subsequent data elaboration, the answers to the 4 negative-form statements were reversed in their values to obtain 8 variables (shown in Table 1) potentially featuring people’s sensibility towards environmental problems (the higher the value of the variables the higher the sensibility). Additional details are provided in Table A2.
5.3.2. Product Evaluation Template
- Price_k: it refers to the distribution of estimated prices for a specific product, whose average and standard deviation were calculated. The indicator is the standardized value of the original normally distributed variable Estimated_price. Therefore, it stands for the dimensional distance between the Estimated_price of the participant in question for a specific product with respect to the distribution of prices estimated by all participants.
- Price_error: percentage error between the Estimated_price indicated by the participant and the actual price of the product. The prices of the products were found on the Internet when available; otherwise, 6 wholesalers and 6 retailers, considered as experts, were asked to estimate the price of four products and the average was considered as their actual price.
5.4. Biometric Instruments
- Tobii X2-60Hz Compact screen-based eye tracker.
- TEA Captiv T-Sens GSR.
5.5. Procedure
- 20 products must be shown (randomly 10 baseline and 10 sustainable products) in each session. The sequence of illustration within each session is reflected in the variable Order (numeric, values 1 to 20) assigned to each illustrated product.
- No products belonging to the same PP must be shown in the same session.
- Presentation sequences for each session and for each participant are random.
- Filling in the preliminary questionnaire and contextually learning the evaluation scale to be used throughout the experiment.
- Evaluating physical products, while they wear ET glasses (data ascribable to another experiment that does not relate to the present one).
- Evaluating products shown on the screen, while they wear a GSR sensor and a remote ET monitors their eyes’ behavior.
- All the material is available to the participant during the whole experiment phase.
- The participant can observe the product on the screen, the evaluation template, and the Supplementary Material whenever they want and in any sequence.
- The participant’s task is to fill in the template by evaluating each product (featured by the numbered corresponding row) according to all the statements and factors requested.
- The participant must click the mouse when the evaluation and observation of a product is completed; the subsequent product is visualized immediately afterwards.
- If the participant has no idea as what the product is, they must strike out the entire row corresponding to the product in the product evaluation template and to skip to the subsequent product.
- The experimenters are silent during this phase and the participant must avoid any interaction with them until the text “The End” appears on the screen, as this could affect GSR data.
6. From Biometric Measurements to Indicators Featuring Unconscious Aspects
- Participants’ approach for products’ observation and evaluation (Group A, Table 5).
- Eye movements in terms of fixations, saccades and blinks during products’ observation (Group B, Table 5).
- Pupillometry in terms of pupils’ size, dilations and constrictions (Group C, Table 5).
- Arousal in terms of the participant’s emotional involvement (Group D, Table 5).
6.1. Variables of Group A: Participants’ Approach to Perform the Assigned Task
- Exploring: the participant is looking at the product’s picture.
- Answering: the participant’s eyes are not detected for more than 1500 milliseconds. It means that the participant is not looking at the screen and they are probably filling the evaluation template or reflecting on how to fill it.
- Reflecting: the participant is looking at the screen (or close to the screen), but not at the product picture. Supposedly, the participant is reflecting or distracted.
6.2. Variables of Group B: Eye Movement
- Fixation: the keeping of the visual gaze on a single location.
- Saccade: the eye movement between two fixations.
- Blink: the phenomenon that includes the closing and reopening of the eyelids.
6.3. Variables of Group C: Pupillometry
6.4. Variables of Group D: Arousal
7. Statistical Elaboration of the Indicators and Results
7.1. Phenomena Involved in Products’ Observation and Evaluation
- Major reliability of the data, as some of them might be affected by measurement errors and further elaborations with different degrees of robustness.
- Reference to longer time intervals, e.g., indicators relevant to the whole process have been prioritized with respect to those concerning single situations as of Section 6.1.
- Greater capability of characterizing the phenomena involved in the interaction process and participants’ behavior.
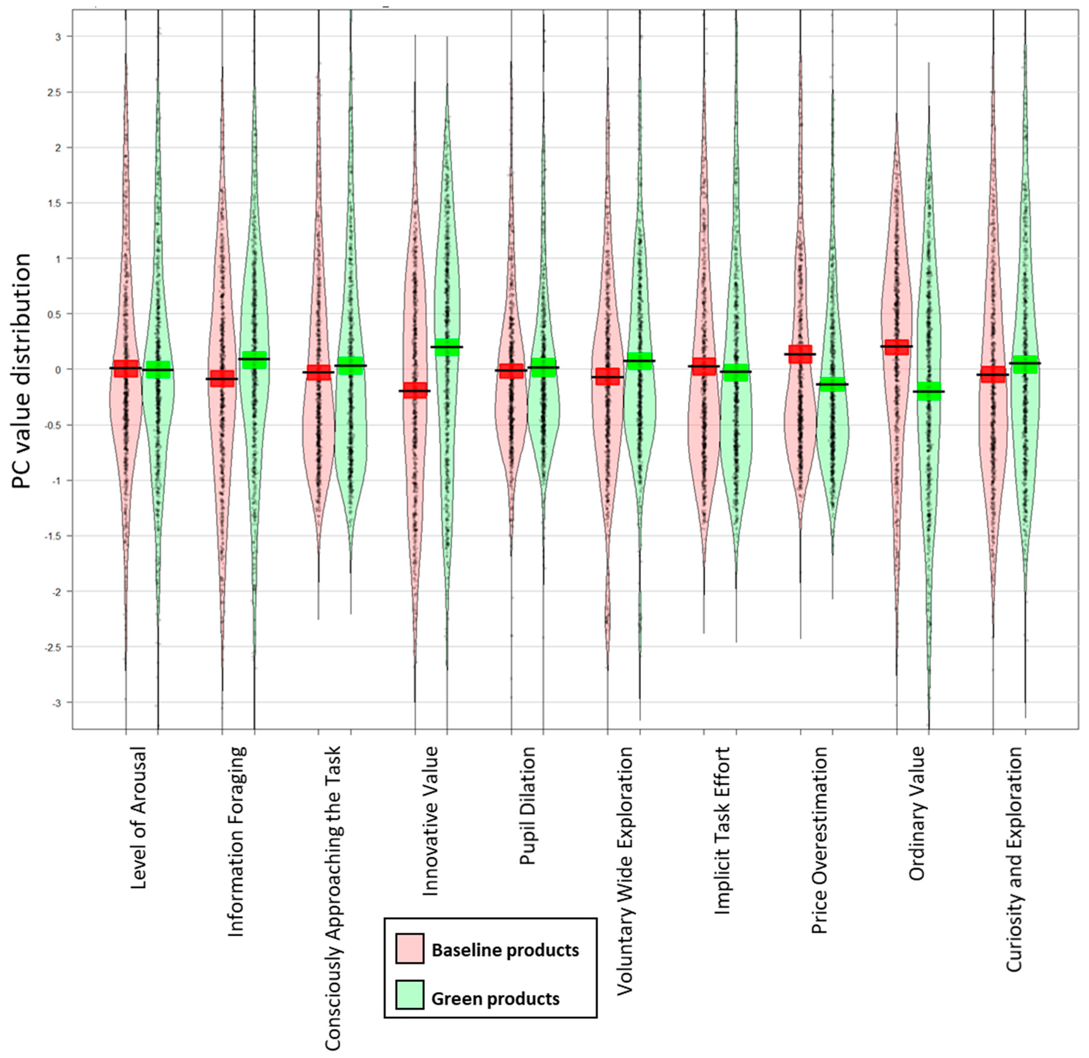
- PC1 was thought to relate to a voluntary wide exploration (VWE), given that the variables could explain the typical behavior occurring when eyes were pointing to different targets.
- PC2 identified innovative value (IV) of the products; beyond quality-related aspects and preferences, this component is characterized by the perceived presence of novel or creative aspects.
- PC3 was related to those processes occurring while consciously approaching the task (CAT).
- Curiosity- and exploration-related factors (CE) appear as determinants of PC4.
- PC5 described implicit task effort (ITE), being related to the activation of the autonomous nervous system.
- The phenomenon known as information foraging (IF) was thought to apply to PC6.
- PC7 was deemed as a descriptor of phenomena involving large pupil dilation (PD).
- PC8 was interpreted as ordinary value (OV), as opposed to PC2, which features the perceived values of products deemed original; here, indeed, knowledge and interest dimensions are fundamental dimensions for this component.
- Price overestimation (PO) was found as the main phenomenon describing PC9.
- The major factors affecting PC10 regard emotional arousal and, therefore this component was considered as Level of arousal (LA).
7.2. Addressing the First Research Question: Effects of Eco-design Efforts on Products’ Value Perception
- Sustainability_ID as a two-level factor (Sustainability_ID1 = more sustainable product, Sustainability_ID0 = baseline product).
- PC as a ten-level factor (the ten PCs found with the PCA).
- Sustainability_ID × PC interaction.
- IV: β = −0.394 ± 0.051; t = −7.745, p < 0.001)
- IF tended to the significance level: β = −0.176 ± 0.051; t = −3.452, p = 0.067
- PO (β = 0.271 ± 0.051; t = 5.321, p < 0.001)
- OV (β = 0.406 ± 0.051; t = 7.981, p < 0.001)
7.3. Addressing the Second Research Question: Impact of Participants’ Attitude Towards Sustainable Issues
8. Discussions
8.1. Answering the First Research Question: Comments, Interpretations, and Implications
- The present experiment failed to discern the emotions taking place during products’ observations. Indeed, the GSR meter enables to collect and elaborate data regarding emotional arousal but does not differentiate between pleasurable and painful emotions. In other terms, it was not possible to distinguish emotions associated with GPs and to more traditional products.
- The participants, irrespective of their orientation to sustainability issues (see the second mixed model), were not able to capture the eco-design efforts implemented in the illustrated GPs and this has prevented from strong emotional activations.
- The products were balanced in terms of complexity, interest, or familiarity.
- The analysis of GPs did not result in changing participants’ approach; the presence of (unexpected) sustainable features was not a “destabilizing” factor in participants’ task.
- Participants have engaged in larger explorations of the pictures featuring GPs, likely due to the need to search for relevant information, to connect different pieces of information and to make sense out of them for the scopes of the experiment. This is partially in line with [33] in relation to the need to have sustainability-related information quickly to make decisions.
- GPs are characterized by a more abundant information content. Although this does not result in an increased cognitive burden, as suggested by the absence of GPs’ effects on ITE and PD, the reduction of their presumable complexity might be worthwhile within CVP, especially in light of what is suggested by [24].
8.2. Answering the Second Research Question: Anything to Add to the Attitude-behavior Gap?
8.3. Limitations
9. Final Remarks, Implications, and Future Work
- The overall exploration of the interaction phenomenon with a particular focus on CVP.
- The understanding of the dimensions of the above phenomenon affected by the presentation of GPs.
- The understanding of the moderating role played by participants’ sensitivity to environmental issues on the above relationship.
- Products can be classified in different ways, e.g. based on their reference industry, price bracket or frequency of use, and different patterns of CVP can be identified accordingly.
- Different features of the displayed products, e.g., the presence of trademarks, written information, persuasive messages, might have affected the interaction with participants as well.
- The moderating role in the creation of CVP can be studied of pictures-related aspects, e.g., presence of other objects in the background, representation of the object as in a market shelf.
Supplementary Materials
Author Contributions
Funding
Acknowledgments
Conflicts of Interest
Appendix A
| Participant_ID | Gender | Year_of_Birth | Pro-km0 | Pro-Bio_Material | Pro-Recycling | Pro-Repair | Pro-Reuse | Pro-Rent | Pro-Public_Tansport | Pro-Pay-for_Efficiency | Family_Luence | Monthly_Expenses_for_Consumer_Goods | Monthly_Expenses_for_Transport | Check_Comparison |
|---|---|---|---|---|---|---|---|---|---|---|---|---|---|---|
| ID | M/F | Year | 0−5 | 0−5 | 0−5 | 0−5 | 0−5 | 0−5 | 0−5 | 0−5 | 0−5 | € | € | 0−5 |
| 1 | M | 1991 | 0 | 5 | 4 | 3 | 5 | 0 | 0 | 3 | 1 | 200 | 150 | 5 |
| 2 | M | 1989 | 4 | 1 | 4 | 2 | 4 | 2 | 4 | 5 | 2 | 500 | 200 | 5 |
| 3 | F | 1983 | 5 | 0 | 4 | 4 | 5 | 2 | 5 | 4 | 4 | 400 | 70 | 5 |
| 4 | M | 1992 | 5 | 5 | 5 | 3 | 5 | 2 | 5 | 5 | 3 | 400 | 30 | 4 |
| 5 | M | 1989 | 3 | 0 | 2 | 1 | 4 | 0 | 3 | 4 | 3 | 350 | 100 | 5 |
| 6 | F | 1983 | 0 | 4 | 1 | 2 | 1 | 1 | 3 | 4 | 5 | 200 | 50 | 5 |
| 7 | M | 1977 | 4 | 0 | 3 | 3 | 5 | 2 | 3 | 5 | 4 | 750 | 90 | 5 |
| 8 | F | 1990 | 4 | 1 | 4 | 2 | 4 | 1 | 3 | 4 | 2 | 300 | 150 | 5 |
| 9 | F | 1985 | 4 | 5 | 4 | 3 | 5 | 3 | 4 | 4 | 4 | 350 | 100 | 5 |
| 10 | M | 1977 | 3 | 1 | 4 | 4 | 4 | 1 | 1 | 4 | 4 | 300 | 250 | 4 |
| 11 | M | 1979 | 4 | 4 | 3 | 3 | 5 | 1 | 5 | 4 | 3 | 250 | 40 | 4 |
| 12 | F | 1992 | 2 | 1 | 5 | 3 | 5 | 3 | 4 | 5 | 5 | 300 | 100 | 5 |
| 13 | F | 1997 | 4 | 1 | 3 | 3 | 4 | 3 | 4 | 5 | 2 | 80 | 60 | 4 |
| 14 | M | 1995 | 4 | 0 | 1 | 4 | 5 | 0 | 5 | 4 | 3 | 100 | 45 | 4 |
| 15 | F | 1982 | 0 | 5 | 2 | 2 | 4 | 2 | 5 | 4 | 5 | 400 | 200 | 5 |
| 16 | F | 1985 | 3 | 5 | 5 | 1 | 4 | 4 | 3 | 5 | 5 | 450 | 300 | 4 |
| 17 | F | 1987 | 3 | 2 | 2 | 3 | 4 | 1 | 4 | 4 | 3 | 250 | 30 | 4 |
| 18 | M | 1982 | 2 | 4 | 3 | 4 | 4 | 1 | 1 | 4 | 5 | 200 | 70 | 5 |
| 19 | M | 1991 | 2 | 4 | 3 | 3 | 4 | 2 | 4 | 3 | 1 | 200 | 35 | 4 |
| 20 | M | 1987 | 2 | 2 | 4 | 2 | 4 | 2 | 4 | 4 | 2 | 550 | 150 | 4 |
| 21 | M | 1977 | 4 | 4 | 5 | 3 | 5 | 2 | 5 | 5 | 4 | 280 | 3 | 4 |
| 22 | M | 1992 | 4 | 4 | 4 | 3 | 4 | 3 | 5 | 4 | 3 | 300 | 200 | 5 |
| 23 | M | 1987 | 4 | 5 | 2 | 5 | 5 | 0 | 5 | 4 | 0 | 200 | 180 | 3 |
| 24 | M | 1996 | 5 | 0 | 5 | 4 | 5 | 3 | 4 | 5 | 5 | 60 | 20 | 5 |
| 25 | F | 1996 | 2 | 0 | 3 | 1 | 3 | 1 | 5 | 4 | 4 | 500 | 17 | 4 |
| 26 | M | 1992 | 5 | 0 | 4 | 2 | 5 | 5 | 4 | 5 | 4 | 100 | 50 | 4 |
| 27 | M | 1996 | 4 | 1 | 5 | 2 | 3 | 1 | 1 | 4 | 3 | 150 | 40 | 4 |
| 28 | F | 1991 | 5 | 4 | 5 | 4 | 5 | 1 | 5 | 5 | 2 | 250 | 50 | 5 |
| 29 | M | 1982 | 4 | 3 | 4 | 1 | 2 | 2 | 3 | 3 | 2 | 300 | 250 | 5 |
| 30 | M | 1995 | 5 | 2 | 5 | 4 | 5 | 2 | 4 | 5 | 4 | 350 | 50 | 5 |
| 31 | F | 1973 | 4 | 4 | 3 | 2 | 4 | 1 | 4 | 4 | 4 | 400 | 350 | 5 |
| 32 | M | 1989 | 3 | 3 | 3 | 3 | 3 | 3 | 5 | 3 | 1 | 250 | 150 | 5 |
| 33 | M | 1993 | 2 | 3 | 4 | 3 | 4 | 1 | 3 | 2 | 3 | 150 | 150 | 5 |
| 34 | F | 1988 | 3 | 0 | 3 | 4 | 5 | 1 | 5 | 3 | 5 | 500 | 40 | 5 |
| 35 | F | 1983 | 1 | 0 | 5 | 2 | 1 | 1 | 5 | 2 | 5 | 800 | 70 | 4 |
| 36 | M | 1988 | 2 | 2 | 4 | 2 | 2 | 1 | 4 | 3 | 4 | 400 | 110 | 5 |
| 37 | M | 1994 | 4 | 1 | 5 | 4 | 5 | 1 | 5 | 4 | 1 | 600 | 230 | 3 |
| 38 | F | 1998 | 1 | 1 | 4 | 2 | 5 | 5 | 4 | 5 | 1 | 50 | 15 | 5 |
| 39 | F | 1998 | 3 | 3 | 4 | 5 | 4 | 2 | 2 | 3 | 3 | 80 | 15 | 4 |
| 40 | F | 1994 | 5 | 3 | 4 | 4 | 3 | 0 | 3 | 2 | 4 | 320 | 50 | 3 |
| 41 | F | 1998 | 4 | 3 | 2 | 4 | 4 | 4 | 4 | 5 | 4 | 200 | 350 | 4 |
| 42 | F | 1998 | 4 | 0 | 2 | 3 | 5 | 3 | 5 | 4 | 5 | 225 | 15 | 3 |
| 43 | F | 1997 | 3 | 1 | 5 | 3 | 5 | 3 | 4 | 3 | 3 | 100 | 200 | 4 |
| Pair_ID | Sustainability_ID | Eco-Design Effort | |
|---|---|---|---|
| 0 | 1 | ||
| Baseline Products | Sustainable Products | ||
| A | ![]() | ![]() | The cap has been made with a less toxic and biodegradable material; its design avoids the use of an additional spoon (to be thrown away or washed). |
| Disposable single-server butter | Disposable single-server butter that includes a wooden spoon lid | ||
| B | ![]() | ![]() | With the “refill solution”, 78% less plastic for the packaging is used; the solution encourages to keep the “more robust” container previously purchased, thus fostering reuse and reducing waste |
| Washing-Up Liquid | Eco-Refill for Washing-Up Liquid | ||
| C | ![]() | ![]() | The solid detrgent can be contained in a biodegradable cardboard package instead of a plastic one. The shape of the right-hand side product optimizes transport and storage. It contains a concentrated detergent, which reduces the use of water. |
| Liquid laundry detergent in a plastic packaging | Concentrated washing powder in a cardboard packaging | ||
| D | ![]() | ![]() | The “excessive” packaging on the left-hand side shows an abundant use of material, especially in consideration of the amount of honey contained. This has been optimized in a more sustainable solution. |
| Honey gift box with “excessive” use of packaging | Honey gift box with “optimized” use of packaging | ||
| E | ![]() | ![]() | The solid printing toner does not require packaging |
| Liquid printing toners in plastic containers | Solid printing toners without containers | ||
| F | ![]() | ![]() | The absence of the cardboard tube reduces the amount of waste produced and material employed |
| Toilet paper | Toilet papers without cardboard tube | ||
| G | ![]() | ![]() | Since the only part of the razor subject to wear is the blade, the right-hand side solution makes it possible to replace the blades only. This results in the diminishment of waste. |
| Disposable Razors | Razor with interchangeable blades | ||
| H | ![]() | ![]() | The induction cooker determined an improvement in terms of toxic emissions inside the kitchen. |
| Gas cooker | Induction cooker | ||
| I | ![]() | ![]() | The edible product avoids waste at the end of its life and using energy and materials for washing cups. |
| Coffee cup | Edible coffee cup | ||
| L | ![]() | ![]() | Local products drastically reduce emissions for their transportation. |
| Milk produced more than 1000 km away from the place of the experiment | Milk produced locally | ||
| M | ![]() | ![]() | The “Washable handkerchiefs” solution enable reuse and reduction of waste. |
| Disposable handkerchiefs | Washable handkerchiefs | ||
| N | ![]() | ![]() | Rechargeable batteries drastically reduce the amount of toxic waste compared to disposable ones |
| Disposable batteries | Rechargeable batteries | ||
| O | ![]() | ![]() | The hand-powered torch does not require batteries and, therefore, it does not produce any toxic waste during its lifecycle. |
| Battery torch | Hand-powered torch | ||
| P | ![]() | ![]() | Since the only part of the toothbrush subject to wear is the bristles, the right-hand side solution makes it possible to replace the bristles only. This results in the diminishment of waste. |
| Toothbrush | Toothbrush with interchangeable bristles | ||
| Q | ![]() | ![]() | Electric mobility has advantages in terms of local toxic emissions |
| Gasoline car | Electric car | ||
| R | ![]() | ![]() | The space-saving water bottle is made entirely with the same non-toxic material. Since the occupied space (when empty) is about half of the classic ones, this leads to an optimization during the transportation phase, which reduces the environmental impact |
| Water bottle | Space-saving water bottle | ||
| S | ![]() | ![]() | Solid shampoo does not require plastic packaging. Its packaging is made of a biodegradable material |
| Liquid shampoo in a plastic container | Solid shampoo in a paper container | ||
| T | ![]() | ![]() | The inflatable couch minimizes the consumption of material because the padding is replaced with air. This leads to an optimization during the transportation phase, which reduces the environmental impact. The appropriate dimensioning leads to a comparable duration of the product. |
| Couch | Inflatable couch | ||
| U | ![]() | ![]() | The container shaped like a glass stimulates the user to reuse it (with a different function) instead of throwing it away. |
| Hazelnut chocolate | Hazelnut chocolate with packaging reusable as a glass | ||
| V | ![]() | ![]() | The cardboard packaging has evident advantages in terms of environmental sustainability compared to the plastic ones. |
| Eggs in plastic packaging | Eggs in cardboard packaging | ||
| Variables Investigated (Hidden in the Material Provided to Participants) with the Form of the Statement in Brackets (Where Applicable) | You Have to Answer by Marking the Level of Agreement that You Have with Each of the Following Statement | Disagreement | Agreement | ||||
|---|---|---|---|---|---|---|---|
| Pro-Repair (Negative) | I prefer to buy a new product rather than repairing it or having it repaired | 0 | 1 | 2 | 3 | 4 | 5 |
| Check_Comparison | I prefer to rely on a travel agency rather than organizing holidays myself | 0 | 1 | 2 | 3 | 4 | 5 |
| Pro-Pay-for_Efficiency (Positive) | I am in favor of paying a higher price to get a product with better energy efficiency | 0 | 1 | 2 | 3 | 4 | 5 |
| Misleading Statement | I am in favor of introducing a single ticket for transport, museums, and cinema | 0 | 1 | 2 | 3 | 4 | 5 |
| Pro-Bio_Material (Negative) | I am against paying a premium price for using biodegradable materials | 0 | 1 | 2 | 3 | 4 | 5 |
| Misleading Statement | I am against paying a premium price to choose a seat on the plane | 0 | 1 | 2 | 3 | 4 | 5 |
| Pro-Reuse (Positive) | I prefer washable and reusable products to disposable ones | 0 | 1 | 2 | 3 | 4 | 5 |
| Misleading Statement | I prefer to do the housework myself rather than entrusting someone else with doing it | 0 | 1 | 2 | 3 | 4 | 5 |
| Pro-Recycling (Negative) | I think it is frustrating to separate waste correctly | 0 | 1 | 2 | 3 | 4 | 5 |
| Misleading Statement | I think it is difficult to fully adapt to local ways of living when I visit a foreign country | 0 | 1 | 2 | 3 | 4 | 5 |
| Pro-Public_Tansport (Positive) | For my journeys, I gladly use public transport (train, bus) or alternative means of transportation (walking, cycling) instead of the car | 0 | 1 | 2 | 3 | 4 | 5 |
| Family_Influence | I contribute to the choice of products purchased by the family to a considerable extent | 0 | 1 | 2 | 3 | 4 | 5 |
| Pro-Rent (Negative) | I prefer to own a product rather than renting it, even when there is this possibility | 0 | 1 | 2 | 3 | 4 | 5 |
| Misleading Statement | I prefer to buy a product online rather than buying it in the store | 0 | 1 | 2 | 3 | 4 | 5 |
| Pro-km0 (Positive) | I prefer to use local products (even if more expensive) than those that come from other parts of the world (even if cheaper) | 0 | 1 | 2 | 3 | 4 | 5 |
| Misleading Statement | I prefer products of famous brands (even if more expensive) than unknown ones (even cheaper ones) | 0 | 1 | 2 | 3 | 4 | 5 |
| Check_Comparison | I prefer to organize my holidays autonomously without relying on agencies | 0 | 1 | 2 | 3 | 4 | 5 |
References
- Papista, E.; Krystallis, A. Investigating the types of value and cost of green brands: Proposition of a conceptual framework. J. Bus. Ethics 2013, 115, 75–92. [Google Scholar] [CrossRef]
- Sheth, J.N.; Newman, B.I.; Gross, B.L. Why we buy what we buy: A theory of consumption values. J. Bus. Res. 1991, 22, 159–170. [Google Scholar] [CrossRef]
- Boztepe, S. User value: Competing theories and models. Int. J. Des. 2007, 1, 55–63. [Google Scholar]
- Becattini, N.; Borgianni, Y.; Cascini, G.; Rotini, F. A TRIZ-based CAI framework to guide engineering students towards a broad-spectrum investigation of inventive technical problems. Int. J. Eng. Educ. 2013, 29, 318–333. [Google Scholar]
- Borgianni, Y.; Cardillo, A.; Cascini, G.; Rotini, F. Systematizing new value proposition through a TRIZ-based classification of functional features. Procedia Eng. 2011, 9, 103–118. [Google Scholar] [CrossRef]
- Yu, E. Designing for Value: Insights from the Emotional Appraisal Approach to Understanding User Value. Des. J. 2018, 21, 185–207. [Google Scholar] [CrossRef]
- Skerlos, S.J. Promoting effectiveness in sustainable design. Procedia CIRP 2015, 29, 13–18. [Google Scholar] [CrossRef]
- She, J. Designing Features that Influence Decisions about Sustainable Products. Ph.D. Thesis, Iowa State University, Ames, Iowa, 2013. [Google Scholar] [CrossRef]
- She, J.; MacDonald, E. Priming designers to communicate sustainability. J. Mech. Des. 2014, 136, 011001. [Google Scholar] [CrossRef]
- Boks, C.; McAloone, T.C. Transitions in sustainable product design research. Int. J. Prod. Dev. 2009, 9, 429–449. [Google Scholar] [CrossRef]
- Frank-Martin, B.; Peattie, K.J. Sustainability Marketing: A Global Perspective; Wiley: Chichester, UK, 2009. [Google Scholar]
- MacDonald, E.F.; She, J. Seven cognitive concepts for successful eco-design. J. Clean. Prod. 2015, 92, 23–36. [Google Scholar] [CrossRef]
- Olson, E.L. It’s not easy being green: The effects of attribute tradeoffs on green product preference and choice. J. Acad. Mark. Sci. 2013, 41, 171–184. [Google Scholar] [CrossRef]
- Lyon, T.P.; Montgomery, A.W. The means and end of greenwash. Organ. Environ. 2015, 28, 223–249. [Google Scholar] [CrossRef]
- Segev, S.; Fernandes, J.; Hong, C. Is your product really green? A content analysis to reassess green advertising. J. Advert. 2016, 45, 85–93. [Google Scholar] [CrossRef]
- Chekima, B.; Wafa, S.A.W.S.K.; Igau, O.A.; Chekima, S.; Sondoh, S.L., Jr. Examining green consumerism motivational drivers: Does premium price and demographics matter to green purchasing? J. Clean. Prod. 2016, 112, 3436–3450. [Google Scholar] [CrossRef]
- Akenji, L. Consumer scapegoatism and limits to green consumerism. J. Clean. Prod. 2014, 63, 13–23. [Google Scholar] [CrossRef]
- Groening, C.; Sarkis, J.; Zhu, Q. Green marketing consumer-level theory review: A compendium of applied theories and further research directions. J. Clean. Prod. 2018, 172, 1848–1866. [Google Scholar] [CrossRef]
- Hoffmann, E. User Integration in Sustainable Product Development: Organisational Learning through Boundary-Spanning Processes; Routledge: Abingdon, UK, 2017. [Google Scholar]
- Luchs, M.G.; Naylor, R.W.; Irwin, J.R.; Raghunathan, R. The sustainability liability: Potential negative effects of ethicality on product preference. J. Mark. 2010, 74, 18–31. [Google Scholar] [CrossRef]
- Luchs, M.G.; Brower, J.; Chitturi, R. Product choice and the importance of aesthetic design given the emotion-laden trade-off between sustainability and functional performance. J. Prod. Innov. Manag. 2012, 29, 903–916. [Google Scholar] [CrossRef]
- Goucher-Lambert, K.; Cagan, J. The impact of sustainability on consumer preference judgments of product attributes. J. Mech. Des. 2015, 137, 081401. [Google Scholar] [CrossRef]
- Petersen, M.; Brockhaus, S. Dancing in the dark: Challenges for product developers to improve and communicate product sustainability. J. Clean. Prod. 2017, 161, 345–354. [Google Scholar] [CrossRef]
- Cerri, J.; Testa, F.; Rizzi, F. The more I care, the less I will listen to you: How information, environmental concern and ethical production influence consumers’ attitudes and the purchasing of sustainable products. J. Clean. Prod. 2018, 175, 343–353. [Google Scholar] [CrossRef]
- Wang, J.; Wu, L. The impact of emotions on the intention of sustainable consumption choices: Evidence from a big city in an emerging country. J. Clean. Prod. 2016, 126, 325–336. [Google Scholar] [CrossRef]
- Steenis, N.D.; van Herpen, E.; van der Lans, I.A.; Ligthart, T.N.; van Trijp, H.C. Consumer response to packaging design: The role of packaging materials and graphics in sustainability perceptions and product evaluations. J. Clean. Prod. 2017, 162, 286–298. [Google Scholar] [CrossRef]
- Buerke, A.; Straatmann, T.; Lin-Hi, N.; Müller, K. Consumer awareness and sustainability-focused value orientation as motivating factors of responsible consumer behavior. Rev. Manag. Sci. 2017, 11, 959–991. [Google Scholar] [CrossRef]
- de Medeiros, J.F.; Ribeiro, J.L.D.; Cortimiglia, M.N. Influence of perceived value on purchasing decisions of green products in Brazil. J. Clean. Prod. 2016, 110, 158–169. [Google Scholar] [CrossRef]
- O’Rourke, D.; Ringer, A. The Impact of Sustainability Information on Consumer Decision Making. J. Ind. Ecol. 2016, 20, 882–892. [Google Scholar] [CrossRef]
- Young, W.; Hwang, K.; McDonald, S.; Oates, C.J. Sustainable consumption: Green consumer behaviour when purchasing products. Sustain. Dev. 2010, 18, 20–31. [Google Scholar] [CrossRef]
- Tseng, S.C.; Hung, S.W. A framework identifying the gaps between customers’ expectations and their perceptions in green products. J. Clean. Prod. 2013, 59, 174–184. [Google Scholar] [CrossRef]
- Lohmeyer, Q.; Meboldt, M. The Integration of Quantitative Biometric Measures and Experimental Design Research. In Experimental Design Research; Springer: Cham, Switzerland, 2016; pp. 97–112. [Google Scholar]
- Goucher-Lambert, K.; Moss, J.; Cagan, J. Inside the mind: Using neuroimaging to understand moral product preference judgments involving sustainability. J. Mech. Des. 2017, 139, 041103. [Google Scholar] [CrossRef]
- She, J.; MacDonald, E.F. Exploring the Effects of a Product’s Sustainability Triggers on Pro-environmental Decision-making. J. Mech. Des. 2018, 140, 011102. [Google Scholar] [CrossRef]
- Pérez-Belis, V.; Agost, M.J.; Vergara, M. Consumers’ visual attention and emotional perception of sustainable product information: Case study of furniture. In Proceedings of the 7th International Conference on Kansei Engineering and Emotion Research 2018; Springer: Singapore, 2018; pp. 239–248. [Google Scholar] [CrossRef]
- Royo, M.; Chulvi, V.; Mulet, E.; Galán, J. Users’ reactions captured by means of an EEG headset on viewing the presentation of sustainable designs using verbal narrative. Eur. J. Mark. 2018, 52, 159–181. [Google Scholar] [CrossRef]
- Nederhof, A.J. Methods of coping with social desirability bias: A review. Eur. J. Soc. Psychol. 1985, 15, 263–280. [Google Scholar] [CrossRef]
- Neher, A. Maslow’s theory of motivation: A critique. J. Humanist. Psychol. 1991, 31, 89–112. [Google Scholar] [CrossRef]
- Niedenthal, P.M.; Ric, F. Psychology of Emotion; Psychology Press: New York, NY, USA, 2017. [Google Scholar]
- He, A.Z.; Cai, T.; Deng, T.X.; Li, X. Factors affecting non-green consumer behaviour: An exploratory study among Chinese consumers. Int. J. Consum. Stud. 2016, 40, 345–356. [Google Scholar] [CrossRef]
- do Paço, A.; Shiel, C.; Alves, H. A new model for testing green consumer behaviour. J. Clean. Prod. 2019, 207, 998–1006. [Google Scholar] [CrossRef]
- Maniatis, P. Investigating factors influencing consumer decision-making while choosing green products. J. Clean. Prod. 2016, 132, 215–228. [Google Scholar] [CrossRef]
- Sánchez-Fernández, R.; Iniesta-Bonillo, M.Á. The concept of perceived value: A systematic review of the research. Mark. Theory 2007, 7, 427–451. [Google Scholar] [CrossRef]
- Kainth, J.S.; Verma, H.V. Consumer perceived value: Construct apprehension and its evolution. J. Adv. Soc. Res. 2011, 1, 20–57. [Google Scholar]
- Chang, C.; Dibb, S. Reviewing and conceptualising customer-perceived value. Mark. Rev. 2012, 12, 253–274. [Google Scholar] [CrossRef]
- Bruce, H.L. Customer Perceived Value: Reconceptualisation, Investigation and Measurement; Cranfield University: Bedford, UK, 2013. [Google Scholar]
- Morar, D.D. An overview of the consumer value literature-perceived value, desired value. In the Proceedings of the International Conference Marketing-from Information to Decision; Babes Bolyai University: Cluj-Napoca, Romania, 2013; p. 169. [Google Scholar]
- Paananen, A.; Seppänen, M. Reviewing customer value literature: Comparing and contrasting customer values perspectives. Intang. Cap. 2013, 9, 708–729. [Google Scholar] [CrossRef]
- Zauner, A.; Koller, M.; Hatak, I. Customer perceived value—Conceptualization and avenues for future research. Cogent Psychol. 2015, 2, 1061782. [Google Scholar] [CrossRef]
- Suryadi, N.; Suryana, Y.; Komaladewi, R.; Sari, D. Consumer, Customer and Perceived Value: Past and Present. Acad. Strateg. Manag. J. 2018, 17, 1–9. [Google Scholar]
- Swait, J.; Sweeney, J.C. Perceived value and its impact on choice behavior in a retail setting. J. Retail. Consum. Serv. 2000, 7, 77–88. [Google Scholar] [CrossRef]
- Sacharin, V.; Gonzalez, R.; Andersen, J.H. Object and user levels of analyses in design: The impact of emotion on implicit and explicit preference for ‘green’ products. J. Eng. Des. 2011, 22, 217–234. [Google Scholar] [CrossRef]
- Dodds, W.B.; Monroe, K.B. The effect of brand and price information on subjective product evaluations. Adv. North Am. Adv. 1985, 12, 85–90. [Google Scholar]
- Monroe, K.B.; Chapman, J.D. Framing effects on buyers’ subjective product evaluations. Adv. Consum. Res. 1987, 14, 193–197. [Google Scholar]
- Zeithaml, V.A. Consumer perceptions of price, quality, and value: A means-end model and synthesis of evidence. J. Mark. 1988, 2–22. [Google Scholar] [CrossRef]
- Woodall, T. Conceptualising ‘value for the customer’: An attributional, structural and dispositional analysis. Acad. Mark. Sci. Rev. 2003, 12, 1–42. [Google Scholar]
- Damm, R.; Pablos Heredero, C.D.; Rodríguez Monroy, C. A review and a conceptual framework of the key value drivers of mass customisation. Int. J. Technol. Mark. 2013, 8, 411–430. [Google Scholar] [CrossRef]
- Holbrook, M.B. Consumer Value: A Framework for Analysis and Research; Psychology Press: London, UK, 1999. [Google Scholar]
- Rao, A.R.; Monroe, K.B. The moderating effect of prior knowledge on cue utilization in product evaluations. J. Consum. Res. 1988, 15, 253–264. [Google Scholar] [CrossRef]
- Perry, R.B. General Theory of Value Its Meaning and Basic Principles Construed in Terms of Interest; Harvard University Press: Cambridge, MA, USA, 1926. [Google Scholar]
- Hollanders, H.; Van Cruysen, A. Design, Creativity and Innovation: A Scoreboard Approach; PRO INNO Europe, INNO Metrics: Maastricht, The Netherlands, 2009. [Google Scholar]
- Heunks, F.J. Innovation, creativity and success. Small Bus. Econ. 1998, 10, 263–272. [Google Scholar] [CrossRef]
- West, M.A. The Secrets of Successful Team Management: How to Lead a Team to Innovation, Creativity and Success; Duncan Baird Publishers: London, UK, 2004. [Google Scholar]
- Hsiao, S.W.; Chou, J.R. A creativity-based design process for innovative product design. Int. J. Ind. Ergon. 2004, 34, 421–443. [Google Scholar] [CrossRef]
- Borgianni, Y.; Cascini, G.; Pucillo, F.; Rotini, F. Supporting product design by anticipating the success chances of new value profiles. Comput. Ind. 2013, 64, 421–435. [Google Scholar] [CrossRef]
- Du, P.; MacDonald, E.F. Products’ Shared Visual Features Do Not Cancel in Consumer Decisions. J. Mech. Des. 2015, 137, 071409. [Google Scholar] [CrossRef]
- Den Ouden, E. Creating Meaningful Value Propositions. In Innovation Design; Springer: London, UK, 2012; pp. 97–141. [Google Scholar]
- Sweeney, J.C.; Soutar, G.N. Consumer perceived value: The development of a multiple item scale. J. Retail. 2001, 77, 203–220. [Google Scholar] [CrossRef]
- Captiv Software. Available online: http://teaergo.com/wp/product-category/captiv-software-solution-en/?lang=en (accessed on 28 December 2018).
- Tobii Studio User’s Manual. Available online: https://www.tobiipro.com/siteassets/tobii-pro/user-manuals/tobii-pro-studio-user-manual.pdf (accessed on 28 December 2018).
- Kroese, F.M.; Evers, C.; De Ridder, D.T. How chocolate keeps you slim. The effect of food temptations on weight watching goal importance, intentions, and eating behavior. Appetite 2009, 53, 430–433. [Google Scholar] [CrossRef] [PubMed]
- Glenberg, A.M.; Schroeder, J.L.; Robertson, D.A. Averting the gaze disengages the environment and facilitates remembering. Mem. Cogn. 1998, 26, 651–658. [Google Scholar] [CrossRef]
- Hoshi, Y.; Chen, S.J. Why do the eyes move during cognitive activity? Res. Clin. Cent. Child Dev. Annu. Rep. 2010, 30, 69–77. [Google Scholar]
- Evinger, C.; Manning, K.A.; Sibony, P.A. Eyelid movements. Mechanisms and normal data. Investig. Ophthalmol. Vis. Sci. 1991, 32, 387–400. [Google Scholar]
- Komogortsev, O.V.; Gobert, D.V.; Jayarathna, S.; Koh, D.H.; Gowda, S.M. Standardization of automated analyses of oculomotor fixation and saccadic behaviors. IEEE Trans. Biomed. Eng. 2010, 57, 2635–2645. [Google Scholar] [CrossRef] [PubMed]
- Carbon, C.C.; Hutzler, F.; Minge, M. Innovativeness in design investigated by eye movements and pupillometry. Psychol. Sci. 2006, 48, 173–186. [Google Scholar]
- Dogan, K.M.; Suzuki, H.; Gunpinar, E. Eye tracking for screening design parameters in adjective-based design of yacht hull. Ocean Eng. 2018, 166, 262–277. [Google Scholar] [CrossRef]
- Antes, J.R. The time course of picture viewing. J. Exp. Psychol. 1974, 103, 62–70. [Google Scholar] [CrossRef] [PubMed]
- Duchowski, A.T. Eye Tracking Methodology. Theory and Practice; Springer: London, UK, 2007; p. 328. [Google Scholar]
- Nakatani, C.; van Leeuwen, C. A pragmatic approach to multi-modality and non-normality in fixation duration studies of cognitive processes. J. Eye Mov. Res. 2008, 1. [Google Scholar] [CrossRef]
- Klingner, J.; Kumar, R.; Hanrahan, P. Measuring the task-evoked pupillary response with a remote eye tracker. In Proceedings of the 2008 Symposium on Eye Tracking Research & Applications, Savannah, Georgia, 26–28 March 2008; pp. 69–72. [Google Scholar]
- Smallwood, J.; Brown, K.S.; Tipper, C.; Giesbrecht, B.; Franklin, M.S.; Mrazek, M.D.; Carlson, J.M.; Schooler, J.W. Pupillometric evidence for the decoupling of attention from perceptual input during offline thought. PLoS ONE 2011, 6, e18298. [Google Scholar] [CrossRef] [PubMed]
- Sharma, M.; Kacker, S.; Sharma, M. A brief introduction and review on galvanic skin response. Int. J. Med Res. Prof. 2016, 2, 13–17. [Google Scholar] [CrossRef]
- Imotions Pocket Guide. 2016. Available online: https://imotions.com/guides/ (accessed on 29 December 2018).
- R Core Team. R: A Language and Environment for Statistical Computing; R Foundation for Statistical Computing: Vienna, Austria, 2016. Available online: https://www.R-project.org/ (accessed on 29 December 2018).
- Landis, J.R.; Koch, G.G. The measurement of observer agreement for categorical data. Biometrics 1977, 159–174. [Google Scholar] [CrossRef]
- Pinheiro, J.C.; Bates, D.M. Linear mixed-effects models: Basic concepts and examples. In Mixed-Effects Models in Sand S-PLUS. Statistics and Computing; Springer: New York, NY, USA, 2000; pp. 3–56. [Google Scholar]
- Bates, D.; Maechler, M.; Bolker, B.; Walker, S. lme4: Linear mixed-effects models using Eigen and S4. R Package Version 2014, 1, 1–23. [Google Scholar]
- Kaiser, F.G. A general measure of ecological behavior 1. J. Appl. Soc. Psychol. 1998, 28, 395–422. [Google Scholar] [CrossRef]
- Tapia-Fonllem, C.; Corral-Verdugo, V.; Fraijo-Sing, B.; Durón-Ramos, M.F. Assessing sustainable behavior and its correlates: A measure of pro-ecological, frugal, altruistic and equitable actions. Sustainability 2013, 5, 711–723. [Google Scholar] [CrossRef]
- Earl, P.E. Lifestyle changes and the lifestyle selection process. J. Bioecon. 2017, 19, 97–114. [Google Scholar] [CrossRef]
- Ribeiro, A.P.; Harmsen, R.; Carreón, J.R.; Worrell, E. What influences consumption? Consumers and beyond: Purposes, contexts, agents and history. J. Clean. Prod. 2018, 219, 200–215. [Google Scholar] [CrossRef]
- Maccioni, L.; Borgianni, Y.; Rotini, F. Sustainability as a Value-Adding Concept in the Early Design Phases? Insights from Stimulated Ideation Sessions. In Sustainable Design and Manufacturing 2017: Selected papers on Sustainable Design and Manufacturing; Springer: Cham, Switzerland, 2017; pp. 888–897. [Google Scholar]




| Variables | Meaning |
|---|---|
| Check_Comparison | Level of consistency in the use of the Likert scale |
| Family_Influence | Level of decision-power in the purchase of household goods |
| Pro-km0 | Willingness to pay a higher price to get a local product |
| Pro-Bio_Material | Willingness to pay a higher price to get a product made of biodegradable materials |
| Pro-Recycling | Favorable propensity towards sorting waste |
| Pro-Repair | Agreement with repairing a product rather than buying a new one |
| Pro-Reuse | Preference in using reusable products rather than disposable ones |
| Pro-Rent | Attitude towards renting a product as an alternative of buying it |
| Pro-Public_Tansport | Willingness to use a bicycle or public transportation rather than a private car |
| Pro-Pay-for_Efficiency | Willingness to pay a higher price to get a product with higher energy efficiency |
| Knowledge | Interest | Quality | Advantages | Disadvantages | Preference | Novelty_Creativity | Willingness_to_Pay | Estimated_price | |
|---|---|---|---|---|---|---|---|---|---|
| 0–5 | 0–5 | 0–5 | 0–5 | 0–5 | 0–5 | 0–5 | 0–5 | € | |
| Product 1 | |||||||||
| Product 2 | |||||||||
| ….. | |||||||||
| Product N |
| Variables | Meaning |
|---|---|
| Knowledge | Level of agreement of the participant in affirming that he/she knows this specific product, he/she uses it, he/she bought it and he/she knows similar products |
| Interest | Level of agreement of the participant in affirming that the aim of the product is relevant to his/her daily life, he/she is interested in this kind of products, he/she can benefit from it |
| Quality | Level of agreement of the participant in affirming that he/she believes that it the product is of high quality and is able to meet her/him expectations |
| Advantages | Level of agreement of the participant in affirming that the product has advantages if compared to similar products and it has valuable characteristics |
| Disadvantages (Absence_of_Disadvantages) | Level of agreement of the participant in affirming that the product has (not) disadvantages if compared to similar products |
| Preference | Level of agreement of the participant in affirming that the participant would likely choose this product instead of a similar one |
| Novelty_Creativity | Level of agreement of the participant in affirming that the product has novel or original characteristics and it proposes innovative or brilliant solutions |
| Willingness_to_Pay | Level of agreement of the participant in affirming that he/she considers appropriate that the depicted product is more expensive than the average in its branch of products |
| Estimated_price | The participant’s estimated price (€) of the product. If the picture showed more than one product, he/she was asked to specify how many products (or components) the indicated price refers to |
| ID | Biometrics Initial Variables | Meaning and Characteristics |
|---|---|---|
| 1 | RecordingTimestamp | Timestamp assigned starting from the beginning of the recording of each session (in milliseconds). |
| 2 | MediaName | The name of the picture shown on the screen as combination of Pair_ID and Sustainability_ID; for example, A0.JPG means that the Picture (saved in JPG format) has a Pair_ID=A and a Sustainability_ID=0. In addition, the test picture (a fork) is named Prova.JPG while the final picture is named THEEND.png |
| 3 | StudioEvent | Indicates the start (ImageStart) and the end (ImageEnd) of the period in which the picture of the product is exposed on screen. |
| 4 | GazeEventType | Type of eye-movement event classified by the applied Fixation filter, namely Fixation, Saccade, Unclassified (categorical). |
| 5 | FixationPointX_MCSpx (FixationPointY_MCSpx) | Horizontal (Vertical) coordinate of the fixation point on the picture (pixels in Media Coordinate System—MCSpx). The origin of the coordinate system is the top left of the product picture. |
| 6 | SaccadicAmplitude | Difference of eyes’ orientation between the previous fixation location and the current one (degrees). |
| 7 | GazePointLeftX_ADCSpx (GazePointLeftY_ADCSpx) | Horizontal (vertical) coordinate of the unprocessed gaze point for the left eye on the screen (Active Display Coordinate System pixels—ADCSpx). The origin of the coordinate system is the top left of the screen. |
| 8 | GazePointRightX_ADCSpx (GazePointRightY_ADCSpx) | Horizontal (vertical) coordinate of the unprocessed gaze point for the right eye on the screen (ADCSpx). |
| 9 | GazePointX_MCSpx (GazePointY_MCSpx) | Horizontal (vertical) coordinate of the averaged left and right eye gaze point on the media element (MCSpx). |
| 10 | PupilLeft (PupilRight) | Size of the left (right) eye pupil (millimeters). |
| 11 | ValidityLeft (ValidityRight) | Confidence level as that the left (right) eye has been correctly identified. The values range from 0 (high confidence) to 4 (eye not found). |
| 12 | GSR | Skin conductance (micro-Siemens) detected on the participant’s fingertips by the GSR sensor. |
| 13 | Emotion_5 | 5 levels of arousal (low, mid-, mid, mid+, high) obtained from the GSR data computed and provided by the Captiv software. |
| Group | Indicators | Unit of Measure | Meaning | ID of Initial Variables Exploited (as of Table 4) |
|---|---|---|---|---|
| A | Overall_involvment_time | ms | Duration of the time interval in which the picture of the product is exposed on screen | 1, 2, 3 |
| A | Exploring_num | no. | Number of times the participant looks at the product picture (Exploring situation) | 4, 9, 11 |
| A | Exploring_dur | ms | Total duration of all the Exploring situations | 1, 4, 9, 11 |
| A | Exploring_maxdur | ms | Maximum duration of an Exploring situation | 1, 4, 9, 11 |
| A | Answering_num | no. | Number of times the participant is in the Answering situation | 1, 4, 7, 8, 9, 11 |
| A | Answering_dur | ms | Total duration of all the Answering situations | 1, 4, 7, 8, 9, 11 |
| A | Answering_maxdur | ms | Maximum duration of an Answering situation | 1, 4, 7, 8, 9, 11 |
| A | Reflecting_num | no. | Number of times a Reflecting situation takes place | 4, 7, 8, 9 |
| A | Reflecting_dur | ms | Total duration of all the Reflecting situations | 1, 4, 7, 8, 9 |
| B | Fixationl_num | no. | Number of fixations | 4, 5, 9 |
| B | Fixation_dur | ms | Total duration of fixations | 1, 4, 5, 9 |
| B | Fixation_maxdur | ms | Maximum duration of a fixation | 1, 4, 5, 9 |
| B | Saccade_num | no. | Number of relevant saccades | 4, 9 |
| B | Saccade_dur | ms | Total duration of the saccades | 1, 4, 9 |
| B | Saccade_maxdur | ms | Maximum duration of a saccade | 1, 4, 9 |
| B | Saccade_avangle | deg | Average angle of the saccades | 1, 4, 6, 9 |
| B | Saccade_maxangle | deg | Maximum angle of a saccade | 1, 4, 6, 9 |
| B | Saccade_avespeed | deg/s | Average angular speed of the saccades | 1, 4, 6, 9 |
| B | Saccade_maxspeed | deg/s | Maximum angular speed of saccades | 1, 4, 6, 9 |
| B | Blink_num | no. | Number of blinks | 1, 4, 7, 8, 11 |
| B | Blink_dur | ms | Total duration of blinks | 1, 4, 7, 8, 11 |
| C | PD_aver | mm | Average diameter of the pupils | 9, 10 |
| C | PD_max | mm | Maximum diameter of the pupils | 9, 10 |
| C | PD_dilation_num | no. | Number of peaks observed in the time trajectories of the pupils’ diameter | 9, 10 |
| C | PD_constriction_num | no. | Number of valleys observed in the time trajectories of the pupils’ diameter | 9, 10 |
| C | PD_dilation_dur | ms | Total duration of the intervals in which the pupils’ diameter increases | 1, 9, 10 |
| C | PD_constriction_dur | ms | Total duration of the intervals in which the pupils’ diameter is decreases | 1, 9, 10 |
| C | PD_dilation_avespeed | mm/s | Average speed of the pupils’ dilation | 1, 9, 10 |
| C | PD_constriction_avespeed | mm/s | Average speed of the pupils’ constriction | 1, 9, 10 |
| C | PD_dilation_maxspeed | mm/s | Maximum speed recoded during the pupils’ dilation | 1, 9, 10 |
| C | PD_constriction_maxspeed | mm/s | Maximum speed recoded during the pupils’ constriction | 1, 9, 10 |
| D | GSR_E5_high_num | no. | Number of times a high level in Emotion_5 has been reached | 13 |
| D | GSR_E5_medplus_num | no. | Number of times a mid+ level in Emotion_5 has been reached | 13 |
| D | GSR_E5_med_num | no. | Number of times a mid level in Emotion_5 has been reached | 13 |
| D | GSR_E5_medless_num | no. | Number of times a mid- level in Emotion_5 has been reached | 13 |
| D | GSR_E5_low_num | no. | Number of times a low level in Emotion_5 has been reached | 13 |
| D | GSR_E5_high_dur | s | Total duration of the time intervals marked by a high level in Emotion_5 | 1, 13 |
| D | GSR_E5_medplus_dur | s | Total duration of the time intervals marked by a mid+ level in Emotion_5 | 1, 13 |
| D | GSR_E5_med_dur | s | Total duration of the time intervals marked by a mid level in Emotion_5 | 1, 13 |
| D | GSR_E5_medless_dur | s | Total duration of the time intervals marked by a mid- level in Emotion_5 | 1, 13 |
| D | GSR_E5_low_dur | s | Total duration of the time intervals marked by a low level in Emotion_5 | 1, 13 |
| D | GSR_E5_high_maxdur | s | Maximum duration of a time interval marked by a high level in Emotion_5 | 1, 13 |
| D | GSR_E5_medplus_maxdur | s | Maximum duration of a time interval marked by a mid+ level in Emotion_5 | 1, 13 |
| D | GSR_E5_med_maxdur | s | Maximum duration of a time interval marked by a mid level in Emotion_5 | 1, 13 |
| D | GSR_E5_medless_maxdur | s | Maximum duration of a time interval marked by a mid- level in Emotion_5 | 1, 13 |
| D | GSR_E5_low_maxdur | s | Maximum duration of a time interval marked by a low level in Emotion_5 | 1, 13 |
| D | GSR_Peaks_1plus | no. | Number of positive peaks in the phasic level of the GSR signal with standardized value of the original normally distributed variable higher than 1 | 12 |
| D | GSR_Peaks_1less | no. | Number of positive peaks in the phasic level of the GSR signal with standardized value of the original normally distributed variable lower than −1 | 12 |
| D | GSR_Peaks_2plus | no. | Number of positive peaks in the phasic level of the GSR signal with standardized value of the original normally distributed variable higher than 2 | 12 |
| D | GSR_Peaks_2less | no. | Number of positive peaks in the phasic level of the GSR signal with standardized value of the original normally distributed variable lower than −2 | 12 |
| D | GSR_Peaks_3plus | no. | Number of positive peaks in the phasic level of the GSR signal with standardized value of the original normally distributed variable higher than 3 | 12 |
| D | GSR_Peaks_3less | no. | Number of positive peaks in the phasic level of the GSR signal with standardized value of the original normally distributed variable lower than −3 | 12 |
| Names of Principal Components → | VWE | IV | CAT | CE | ITE | IF | PD | OV | PO | LA |
|---|---|---|---|---|---|---|---|---|---|---|
| Indicators ↓ | PC1 | PC2 | PC3 | PC4 | PC5 | PC6 | PC7 | PC8 | PC9 | PC10 |
| Saccade_avangle | 1 | |||||||||
| Saccade_avespeed | 0.95 | |||||||||
| Saccade_maxangle | 0.78 | |||||||||
| Saccade_maxspeed | 0.76 | |||||||||
| Willingness_to_Pay | 0.83 | |||||||||
| Advantages | 0.80 | |||||||||
| Preference | 0.80 | |||||||||
| Quality | 0.60 | 0.41 | ||||||||
| Exploring_num | 0.87 | |||||||||
| Reflecting_dur | 0.79 | |||||||||
| Blink_num | 0.74 | |||||||||
| Answering_maxdur | −0.71 | |||||||||
| Saccade_maxdur | 0.83 | |||||||||
| Saccade_dur | 0.71 | |||||||||
| PD_dilation_maxspeed | 0.68 | |||||||||
| PD_costriction_maxspeed | −0.56 | |||||||||
| GSR_Peaks_3plus | 0.83 | |||||||||
| GSR_Peaks_1plus | 0.77 | |||||||||
| GSR_E5_med_num | 0.53 | |||||||||
| GSR_E5_medless_num | 0.49 | 0.42 | ||||||||
| Overall_Involvment_time | 0.40 | |||||||||
| Fixation_num | 0.78 | |||||||||
| PD_dilation_avespeed | 0.58 | −0.70 | ||||||||
| Fixation_maxdur | 0.48 | 0.54 | ||||||||
| PD_aver | 0.82 | |||||||||
| PD_max | 0.75 | |||||||||
| Knowledge | 0.72 | |||||||||
| Novelty_Creativity | 0.56 | −0.63 | ||||||||
| Absence_of_disadvantages | 0.59 | |||||||||
| Interest | 0.53 | |||||||||
| Price_error | 0.88 | |||||||||
| Price_k | 0.87 | |||||||||
| GSR_E5_low_num | 0.65 | |||||||||
| GSR_E5_high_num | −0.54 | |||||||||
| GSR_E5_medplus_num | −0.49 | |||||||||
| Eigenvalues | 3.73 | 2.86 | 2.96 | 2.9 | 2.36 | 2.24 | 1.97 | 1.85 | 1.59 | 1.51 |
| Proportion of variance | 0.11 | 0.08 | 0.08 | 0.08 | 0.07 | 0.06 | 0.06 | 0.05 | 0.05 | 0.04 |
| Cumulative variance | 0.11 | 0.19 | 0.27 | 0.36 | 0.42 | 0.48 | 0.54 | 0.59 | 0.64 | 0.68 |
| Fixed Effect Parameters | β (SE) | T | p |
| Intercept: PC = LA, Sustainability_ID0 | 0.011 (0.073) | 0.151 | 0.889 |
| PC_IV | −0.203 (0.051) | −3.998 | <0.001 |
| PC_PO | 0.128 (0.051) | 2.52 | 0.012 |
| PC_OV | 0.195 (0.051) | 3.851 | <0.001 |
| PC_IF × Sustainability_ID1 | 0.189 (0.072) | 2.629 | 0.009 |
| PC_IV × Sustainability_ID1 | 0.408 (0.072) | 5.675 | <0.001 |
| PC_VWE × Sustainability_ID1 | 0.162 (0.072) | 2.248 | 0.025 |
| PC_PO × Sustainability_ID1 | −0.257 (0.072) | −3.577 | <0.001 |
| PC_OV × Sustainability_ID1 | −0.393 (0.072) | −5.467 | <0.001 |
| Random Effect Parameters | SD | ||
| Random effect of Participant (43) | 0.165 | ||
| Random effect of Pair (20) | 0.099 | ||
| Random effect of Order (20) | 0.016 | ||
| Random effect of Session (2) | 0.077 | ||
| Residuals | 0.975 |
| Variables | PC1 (Green) | PC2 | PC3 | PC4 | PC5 |
|---|---|---|---|---|---|
| Pro-km0 | 0.46 | 0.33 | |||
| Pro-Bio_Material | −0.32 | 0.48 | |||
| Pro-Recycling | 0.32 | −0.72 | |||
| Pro-Repair | 0.30 | −0.48 | |||
| Pro-Reuse | 0.52 | ||||
| Pro-Rent | 0.32 | 0.33 | 0.39 | −0.35 | |
| Pro-Public_Tansport | 0.60 | ||||
| Pro-Pay-for_Efficiency | 0.44 | ||||
| Family_Influence | 0.40 | ||||
| Monthly_Expenses_for_Consumer_Goods (transformed) | 0.46 | 0.56 | |||
| Monthly_Expenses_for_Transport (transformed) | 0.57 | 0.37 | |||
| Eigenvalues | 2.39 | 1.66 | 1.39 | 1.20 | 1.08 |
| Proportion of variance | 0.22 | 0.15 | 0.13 | 0.11 | 0.10 |
| Cumulative variance | 0.22 | 0.37 | 0.50 | 0.60 | 0.70 |
| Fixed Effect Parameters | β (SD) | t | p |
| Intercept: PC = LA, Sustainability_ID0, green | 0.011 (0.073) | 0.149 | 0.890 |
| green | 0.006 (0.029) | 0.219 | 0.827 |
| Sustainability_ID1 | −0.016 (0.051) | −0.314 | 0.754 |
| PC_IF | −0.094 (0.051) | −1.853 | 0.064 |
| PC_IV | −0.204 (0.051) | −4.031 | <0.001 |
| PC_VWE | −0.080 (0.051) | −1.584 | 0.113 |
| PC_PO | 0.128 (0.051) | 2.517 | 0.012 |
| PC_OV | 0.196 (0.051) | 3.87 | <0.001 |
| PC_IF × Sustainability_ID1 | 0.193 (0.072) | 2.681 | 0.007 |
| PC_IV × Sustainability_ID1 | 0.413 (0.072) | 5.746 | <0.001 |
| PC_VWE × Sustainability_ID1 | 0.162 (0.072) | 2.253 | 0.024 |
| PC_PO × Sustainability_ID1 | −0.253 (0.072) | −3.513 | <0.001 |
| PC_OV × Sustainability_ID1 | −0.389 (0.072) | −5.408 | <0.001 |
| green × PC_IV × Sustainability_ID1 | 0.095 (0.048) | 1.995 | 0.046 |
| Random Effect Parameters | SD | ||
| Random effect of Participant (43) | 0.166 | ||
| Random effect of Pair (20) | 0.099 | ||
| Random effect of Order (20) | 0.018 | ||
| Random effect of Session (2) | 0.077 | ||
| Residuals | 0.974 |
© 2019 by the authors. Licensee MDPI, Basel, Switzerland. This article is an open access article distributed under the terms and conditions of the Creative Commons Attribution (CC BY) license (http://creativecommons.org/licenses/by/4.0/).
Share and Cite
Maccioni, L.; Borgianni, Y.; Basso, D. Value Perception of Green Products: An Exploratory Study Combining Conscious Answers and Unconscious Behavioral Aspects. Sustainability 2019, 11, 1226. https://doi.org/10.3390/su11051226
Maccioni L, Borgianni Y, Basso D. Value Perception of Green Products: An Exploratory Study Combining Conscious Answers and Unconscious Behavioral Aspects. Sustainability. 2019; 11(5):1226. https://doi.org/10.3390/su11051226
Chicago/Turabian StyleMaccioni, Lorenzo, Yuri Borgianni, and Demis Basso. 2019. "Value Perception of Green Products: An Exploratory Study Combining Conscious Answers and Unconscious Behavioral Aspects" Sustainability 11, no. 5: 1226. https://doi.org/10.3390/su11051226
APA StyleMaccioni, L., Borgianni, Y., & Basso, D. (2019). Value Perception of Green Products: An Exploratory Study Combining Conscious Answers and Unconscious Behavioral Aspects. Sustainability, 11(5), 1226. https://doi.org/10.3390/su11051226








































