Biochemical Hydrogen Potential Tests Using Different Inocula †
Abstract
1. Introduction
2. Materials and Methods
2.1. Inocula
- IN1: activated sludge collected from the aerobic unit of a municipal wastewater treatment plant;
- IN2: digested sludge collected from an anaerobic reactor treating the organic fraction of municipal solid waste (OFMSW) and cattle manure;
- IN3: digested sludge collected from an anaerobic reactor treating agroindustrial residues;
- IN4: digested sludge collected from an anaerobic reactor of a municipal wastewater treatment plant.
2.2. Substrates
2.3. Biochemical Hydrogen Potential (BHP) Tests
2.3.1. Biochemical Hydrogen Potential (BHP) Tests without Automatic pH Control (BHP1)
2.3.2. Biochemical Hydrogen Potential (BHP) Tests with Automatic pH Control (BHP2)
2.3.3. Kinetic Model
- H(t): specific hydrogen production at time t (NL H2/kg TVSsub);
- Hmax: total amount of hydrogen produced (NL H2/kg TVSsub);
- r: maximum hydrogen production rate (NL H2/kg TVSsub h)
- λ: length of the lag phase (h).
2.3.4. Theoretical Hydrogen Production
2.4. Analytical Parameters
2.5. Statistical Analyses
3. Results and Discussion
3.1. Analytical Characterization of FW and Inocula
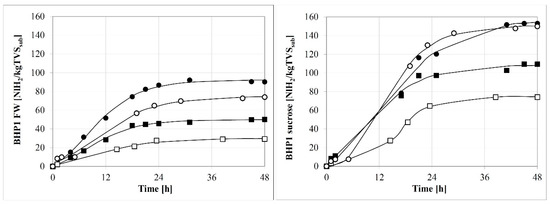
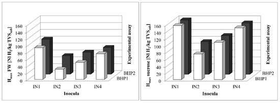
3.2. BHP Tests
4. Conclusions
Author Contributions
Funding
Conflicts of Interest
References
- IPCC. Climate Change 2014: Impacts, Adaptation and Vulnerability. Part A: Global and Sectoral Aspects. Contribution of Working Group II to the Fifth Assessment report of the Intergovernmental Panel on Climate Change; Field, C.B., Barros, V.R., Dokken, D.J., Mach, K.J., Mastrandrea, M.D., Bilir, T.E., Chatterjee, M., Ebi, K.L., Estrada, Y.O., Genova, R.C., et al., Eds.; Cambridge University Press: Cambridge, UK; New York, NY, USA, 2014; 1132p. [Google Scholar]
- European Commission. Report from the Commission to the European Parliament, the Council, the European Economic and Social Committee and the Committee of the Regions, Closing the Loop—An EU Action Plan for the Circular Economy, COM (2015); European Commission: Brussels, Belgium, 2015; 614 Final; pp. 1–21. [Google Scholar]
- Webster, K. What might we say about a circular economy? Some temptations to avoid if possible. J. Gen. Evol. 2013, 69, 542–554. [Google Scholar] [CrossRef]
- Heyer, K.-U.; Hupe, K.; Stegmann, R. Methane emissions from MBT landfills. Waste Manag. 2013, 33, 1853–1860. [Google Scholar] [CrossRef] [PubMed]
- Pecorini, I.; Baldi, F.; Bacchi, D.; Carnevale, E.A.; Corti, A. Leaching behaviour of hazardous waste under different ambient conditions. Waste Manag. 2017, 63, 96–106. [Google Scholar] [CrossRef] [PubMed]
- Alibardi, L.; Cossu, R. Effects of Carbohydrate, protein and lipid content of organic waste on hydrogen production and fermentation products. Waste Manag. 2016, 47, 69–77. [Google Scholar] [CrossRef] [PubMed]
- Sawatdeenarunat, C.; Nguyen, D.; Surendra, K.C.; Shrestha, S.; Rajendran, K.; Oechsner, H.; Xie, L.; Khanal, S.K. Anaerobic biorefinery: Current status, challenges, and opportunities. Bioresour. Technol. 2016, 215, 304–313. [Google Scholar] [CrossRef] [PubMed]
- Ghimire, A.; Frunzo, L.; Pirozzi, F.; Trably, E.; Escudie, R.; Lens, P.N.L.; Esposito, G. A review on dark fermentative biohydrogen production from organic biomass: Process parameters and use of by-products. Appl. Energy 2015, 144, 73–95. [Google Scholar] [CrossRef]
- De Gioannis, G.; Muntoni, A.; Polettini, A.; Pomi, R. A review of dark fermentative hydrogen production from biodegradable municipal waste fractions. Waste Manag. 2013, 33, 1345–1361. [Google Scholar] [CrossRef] [PubMed]
- Lee, Y.-W.; Chung, J. Bioproduction of hydrogen from food waste by pilot-scale combined hydrogen/methane fermentation. Int. J. Hydrog. Energy 2010, 35, 11746–11755. [Google Scholar] [CrossRef]
- Chinellato, G.; Cavinato, C.; Bolzonella, D.; Heaven, S.; Banks, C.J. Biohydrogen production from food waste in batch and semi-continuous conditions: Evaluations of a two-phase approach with digestate recirculation for pH control. Int. J. Hydrog. Energy 2013, 38, 4351–4360. [Google Scholar] [CrossRef]
- Yeshanew, M.M.; Frunzo, L.; Pirozzi, F.; Lens, P.N.L.; Esposito, G. Production of biohythane from food waste via an integrated system of continuously stirred tank and anaerobic fixed bed reactors. Bioresour. Technol. 2016, 220, 312–322. [Google Scholar] [CrossRef]
- Favaro, L.; Alibardi, L.; Lavagnolo, M.C.; Casella, S.; Basaglia, M. Effects of inoculum and indigenous microflora on hydrogen production from the organic fraction of municipal solid waste. Int. J. Hydrog. Energy 2013, 38, 11774–11779. [Google Scholar] [CrossRef]
- Alibardi, L.; Cossu, R. Composition variability of the organic fraction of municipal solid waste and effects on hydrogen and methane production potentials. Waste Manag. 2015, 36, 147–155. [Google Scholar] [CrossRef] [PubMed]
- Lavagnolo, M.C.; Girotto, F.; Rafieenia, R.; Danieli, L.; Alibardi, L. Two-stage anaerobic digestion of the organic fraction of municipal solid waste—Effects of process conditions during batch tests. Renew. Energy 2018, 126, 14–20. [Google Scholar] [CrossRef]
- Giordano, A.; Cantù, C.; Spagni, A. Monitorign the biochemical hydrogen and methane potential of the two-stage dark-fermentative process. Bioresour. Technol. 2011, 102, 4474–4479. [Google Scholar] [CrossRef]
- Argun, H.; Kargi, F.; Kapdan, I.K.; Oztekin, R. Biohydrogen production by dark fermentation of wheat powder solution: Effects of C/N and C/P ratio on hydrogen yield and formation rate. Int. J. Hydrog. Energy 2008, 33, 1813–1819. [Google Scholar] [CrossRef]
- Pan, J.; Zhang, R.; El-Mashad, R.H.; Sun, H.; Ying, Y. Effect of food to microorganism ratio on biohydrogen production from food waste via anaerobic fermentation. Int. J. Hydrog. Energy 2008, 33, 6968–6975. [Google Scholar] [CrossRef]
- Akhlagi, M.; Boni, M.R.; De Gioannis, G.; Muntoni, A.; Polettini, A.; Pomi, R.; Rossi, A.; Spiga, D. A parametric response surface study of fermentative hydrogen production from cheese whey. Bioresour. Technol. 2017, 244, 473–483. [Google Scholar] [CrossRef] [PubMed]
- De Gioannis, G.; Muntoni, A.; Polettini, A.; Pomi, R.; Spiga, D. Energy recovery from one- and two-stage anaerobic digestion of food waste. Waste Manag. 2017, 68, 595–602. [Google Scholar] [CrossRef] [PubMed]
- Cappai, G.; De Gioannis, G.; Friargiu, M.; Massi, E.; Muntoni, A.; Polettini, A.; Pomi, R.; Spiga, D. An experimental study on fermentative H2 production from food waste as affected by pH. Waste Manag. 2014, 34, 1510–1519. [Google Scholar] [CrossRef] [PubMed]
- Holliger, C.; Alves, M.; Andrade, D.; Angelidaki, I.; Astals, S.; Baier, U.; Bougrier, C.; Buffiére, P.; Carballa, M.; De wilde, V.; et al. Towards a standardisation of biomethane potential tests. Water Sci. Technol. 2016, 74. [Google Scholar] [CrossRef]
- Huang, Y.; Zong, W.; Yan, X.; Wang, R.; Hemme, C.L.; Zhou, J.; Zhou, Z. Succession of the bacterial community and dynamics of hydrogen producers in a hydrogen-producing bioreactor. Appl. Environ. Microbiol. 2010, 76, 3387–3390. [Google Scholar] [CrossRef] [PubMed]
- Wang, R.; Zong, W.; Qian, C.; Wei, Y.; Yu, R.; Zhou, Z. Isolation of Clostridium perfringens strain W11 and optimization of its biohydrogen production by genetic modification. Int. J. Hydrog. Energy 2011, 36, 12159–12167. [Google Scholar] [CrossRef]
- Wong, Y.M.; Wu, T.Y.; Ling, T.C.; Show, P.L.; Lee, S.Y.; Chang, J.-S.; Ibrahim, S.; Juan, J.C. Evaluating new bio-hydrogen producers. Clostridium perfringens strain JJC, Clostridium bifermentans strains WYM and Clostridium sp. strain Ade.TY. J. Biosci. Bioeng. 2018, 5, 590–598. [Google Scholar] [CrossRef] [PubMed]
- Sivagurunathan, P.; Sen, B.; Lin, C.-Y. Batch fermentative hydrogen production by enriched mixed culture: Combination strategy and their microbial composition. J. Biosci. Bioeng. 2014, 117, 222–228. [Google Scholar] [CrossRef] [PubMed]
- Jame, R.; Zelená, V.; Lakatoš, B.; Varečka, Ľ. Carbon source utilization and hydrogen production by isolated anaerobic bacteria. Acta Chim. Slov. 2016, 9, 62–67. [Google Scholar] [CrossRef]
- Zhi, Z.; Wang, H. White-rot fungal pretreatment of wheat straw with Phanerochaete chrysosporium for biohydrogen production: Simultanous saccharification and fermentation. Bioprocess Biosyst. Eng. 2014, 37, 1447–1458. [Google Scholar] [CrossRef] [PubMed]
- Xiao, L.; Deng, Z.; Fung, K.Y.; Ng, K.M. Biohydrogen generation from anaerobic digestion of food waste. Int. J. Hydrog. Energy 2013, 38, 13907–13913. [Google Scholar] [CrossRef]
- Park, W.; Jang, N.J.; Hyun, S.H.; Kim, I.S. Suppression of hydrogen consuming bacteria in anaerobic hydrogen fermentation. Environ. Eng. Res. 2005, 10, 181–190. [Google Scholar] [CrossRef]
- Zumar Bundhoo, M.A.; Mohee, R. Inhibition of dark fermentative bio-hydrogen production: A review. Int. J. Hydrog. Energy 2016, 41, 6713–6733. [Google Scholar] [CrossRef]
- Wang, J.; Wan, W. Factors influencing fermentative hydrogen production: A review. Int. J. Hydrog. Energy 2009, 34, 799–811. [Google Scholar] [CrossRef]
- Chen, W.-H.; Chen, S.-Y.; Khanal, S.K.; Sung, S. Kinetic study of biological hydrogen production by anaerobic fermentation. Int. J. Hydrog. Energy 2006, 31, 2170–2178. [Google Scholar] [CrossRef]
- Micolucci, F.; Gottardo, M.; Bolzonella, D.; Pavan, P. Automatic process control for stable bio-hythane production in two-phase thermophilic anaerobic digestion of food waste. Int. J. Hydrog. Energy 2014, 39, 17563–17572. [Google Scholar] [CrossRef]
- Pecorini, I.; Baldi, F.; Carnevale, E.A.; Corti, A. Biochemical methane potential tests of different autoclaved and microwaved lignocellulosic organic fractions of municipal solid waste. Waste Manag. 2016, 56, 143–150. [Google Scholar] [CrossRef] [PubMed]
- Lin, C.Y.; Lay, C.H. Carbon/nitrogen-ratio effect on fermentative hydrogen production by mixed microflora. Int. J. Hydrog. Energy 2004, 29, 41–45. [Google Scholar] [CrossRef]
- Dellosso Penteado, E.; Zampol Lazaro, C.; Kimiko Sakamoto, I.; Zaiat, M. Influence of seed sludge and pretreatment method on hydrogen production in packed-bed anaerobic reactors. Int. J. Hydrog. Energy 2013, 38, 6137–6145. [Google Scholar] [CrossRef]
- Pecorini, I.; Olivieri, T.; Bacchi, D.; Paradisi, A.; Lombardi, L.; Corti, A.; Carnevale, E. Evaluation of gas production in a industrial anaerobic digester by means of Biochemical Methane Potential of Organic Municipal Solid Waste Components. In Proceedings of the ECOS 2012, The 25th International Conference on Efficiency, Cost, Optimization, Simulation and Environmental Impact of Energy Systems, Perugia, Italy, 26–29 June 2012. [Google Scholar]
- Pecorini, I.; Akhlaghi, M.; Baldi, F.; Albini, E.; Rossi, A.; Bacchi, D.; Polettini, A.; Lombardi, L.; Pomi, R. Influence of pH and inoculum addition on biohydrogen production from the organic fraction of municipal waste. In Proceedings of the Sardinia Symposium 2017, 16th International Waste Management and Landfill Symposium, Forte Village/Santa Margherita di Pula (CA), Italy, 2–6 October 2017. [Google Scholar]
- Van Ginkel, S.; Oh, S.-E.; Logan, B.E. Biohydrogen gas production from food waste processing and domestic wastewaters. Int. J. Hydrog. Energy 2005, 30, 1535–1542. [Google Scholar] [CrossRef]
- Logan, B.E.; Oh, S.-E.; Van Ginkel, S. Biological hydrogen production measured in batch anaerobic respirometers. Environ. Sci. Technol. 2002, 36, 2530–2535. [Google Scholar] [CrossRef] [PubMed]
- APHA. Standard Methods for the Examination of Water and Wastewater, 18th ed.; American Public Health Association: Washington, DC, USA, 2006. [Google Scholar]
- European Commission. European Commission Regulation 2009/152/EC of 27 January 2009 laying down the methods of sampling and analysis for the official control of feed. Off. J. Eur. Union 2009, 1–54. [Google Scholar]
- Martillotti, F.; Antongiovanni, M.; Rizzi, L.; Santi, E.; Bittante, G. Metodi di analisi per gli alimenti d’impiego zootecnico. Quaderni metodologici n. 8; CNR-IPRA: Rome, Italy, 1987. [Google Scholar]
- AOAC. Official Methods of Analysis of Association of Official Analytical Chemists International, 17th ed.; Association of Analytical Communities: Gaithersburg, MD, USA, 2003. [Google Scholar]
- EN 15407. EN 15407:2011 Solid Recovered Fuels—Methods for the Determination of Carbon (C), Hydrogen (H) and Nitrogen (N) Content. 2011. Available online: http://store.uni.com/catalogo/index.php/en-15407-2011.html (accessed on 24 January 2019).
- EPA 6010 D. Inductively Coupled Plasma—Optical Emission Spectrometry. 2014. Available online: https://www.epa.gov/sites/production/files/2015-07/documents/epa-6010c.pdf (accessed on 24 January 2019).
- EN 13657. EN 13657:2004 Characterization of Waste—Digestion for Subsequent Determination of Aqua Regia Soluble Portion of Elements. 2004. Available online: http://store.uni.com/catalogo/index.php/en-13657-2002.html (accessed on 24 January 2019).
- EN ISO 13137. EN ISO 13137:2002 Characterization of Waste—Determination of Total Organic Carbon (TOC) in Waste, Sludges and Sediments. 2002. Available online: http://store.uni.com/catalogo/index.php/en-13137-2001.html (accessed on 24 January 2019).
- APHA. APHA 4500 NH3 B/C—Ammonia-Selective Electrode Method. 2012. Available online: https://www.edgeanalytical.com/wp-content/uploads/Waste_SM4500-NH3.pdf (accessed on 24 January 2019).
- US EPA. Method 8315A (SW-846): Determination of Carbonyl Compounds by High Performance Liquid Chromatography (HPLC), Revision 1; US EPA: Washington, DC, USA, 1996.
- Araujo, M.; Sueiro, R.A.; Gómez, M.J.; Garrido, M.J. Enumeration of Clostridium perfringens spores in groundwater samples: Comparison of six culture media. J. Microbiol. Methods 2004, 57, 175–180. [Google Scholar] [CrossRef]
- Junqueira, V.C.; Neto, R.C.; da Silva, N.; Terra, J.H. Comparison of methods for the enumeration of Clostridium perfringens spores in water. Water Sci. Technol. 2012, 65, 227–232. [Google Scholar] [CrossRef]
- Zhang, R.; El-Mashad, H.M.; Hartman, K.; Wang, F.; Liu, G.; Choate, C.; Gamble, P. Characterization of food waste as feedstock for anaerobic digestion. Bioresour. Technol. 2007, 98, 929–935. [Google Scholar] [CrossRef] [PubMed]
- Han, S.-K.; Shin, H.-S. Biohydrogen production by anaerobic fermentation of food waste. Int. J. Hydrog. Energy 2004, 29, 569–577. [Google Scholar] [CrossRef]
- Iacovidou, E.; Ohandja, D.; Voulvoulis, N. Food waste co-digestion with sewage sludge—Realising its potential in the UK. J. Environ. Manag. 2012, 112, 267–274. [Google Scholar] [CrossRef] [PubMed]
- Kayhanian, M. Ammonia inhibition in high-solids biogasification: An overview and practical solutions. Environ. Technol. 1999, 20, 355–365. [Google Scholar] [CrossRef]
- Sterling, M.C., Jr.; Lacey, R.E.; Engler, C.R.; Ricke, S.C. Effects of ammonia nitrogen on H2 and CH4 production during anaerobic digestion of dairy cattle manure. Bioresour. Technol. 2001, 77, 9–18. [Google Scholar] [CrossRef]
- Salerno, M.B.; Park, W.; Zuo, Y.; Logan, B.E. Inhibition of biohydrogen production by ammonia. Water Res. 2006, 40, 1167–1172. [Google Scholar] [CrossRef] [PubMed]
- Wilson, C.A.; Novak, J.T. Hydrolysis of macromolecular components of primary and secondary wastewater sludge by thermal hydrolytic pretreatment. Water Res. 2008, 43, 4489–4498. [Google Scholar] [CrossRef] [PubMed]
- Chu, C.-F.; Li, Y.-Y.; Xu, K.-Q.; Ebie, Y.; Inamori, Y.; Kong, H.-N. A pH- and temperature-phased two-stage process for hydrogen and methane production from food waste. Int. J. Hydrog. Energy 2008, 33, 4739–4746. [Google Scholar] [CrossRef]
- Srikanth, S.; Venkata Mohan, S. Regulatory function of divalent cations in controlling the acidogenic biohydrogen production process. RSC Adv. 2012, 2, 6576–6589. [Google Scholar] [CrossRef]
- Hao, X.; Zhou, M.; Yu, H.; Shen, Q.; Lei, L. Effect of sodium ion concentration on hydrogen production from sucrose by anaerobic hydrogen-producing granular sludge. Chin. J. Chem. Eng. 2006, 14, 511–517. [Google Scholar] [CrossRef]
- Kim, D.-H.; Kim, S.-H.; Shin, H.-S. Sodium inhibition of fermentative hydrogen production. Int. J. Hydrog. Energy 2009, 34, 3295–3304. [Google Scholar] [CrossRef]
- Cao, X.Y.; Zhao, Y.C. The influence of sodium on biohydrogen production from food waste by anaerobic fermentation. J. Mater. Cycles Waste Manag. 2009, 11, 244–250. [Google Scholar] [CrossRef]
- Elbeshbishy, E.; Dhar, B.R.; Nakhla, G.; Lee, H.-S. A critical review on inhibition of dark fermentation. Renew. Sustain. Energy Rev. 2017, 79, 656–668. [Google Scholar] [CrossRef]
- Lee, K.S.; Wu, J.F.; Lo, Y.S.; Lo, Y.C.; Lin, P.J.; Chang, J.S. Anaerobic hydrogen production with an efficient carrier-induced granular sludge bed bioreactor. Biotechnol. Bioeng. 2004, 87, 648–657. [Google Scholar] [CrossRef] [PubMed]
- Yuan, Z.; Yang, H.; Zhi, X.; Shen, J. Increased performance of continuous stirred tank reactor with calcium supplementation. Int. J. Hydrog. Energy 2010, 35, 2622–2626. [Google Scholar] [CrossRef]
- Chang, F.Y.; Lin, C.Y. Calcium effect on fermentative hydrogen production in an anaerobic up-flow sludge blanket system. Water Sci. Technol. 2006, 54, 105–112. [Google Scholar] [CrossRef] [PubMed]
- Pecorini, I.; Bacchi, D.; Albini, E.; Baldi, F.; Galoppi, G.; Rossi, P.; Paoli, P.; Ferrari, L.; Carnevale, E.A.; Peruzzini, M.; et al. The Bio2Energy project: Bioenergy, biofuels and bioproducts from municipal solid waste and sludge. In Proceedings of the EUBCE 2017 Proceedings, 25th Edition European Biomass Conference & Exhibition, Stockholm, Sweden, 12–15 June 2017. [Google Scholar]
- Van Ginkel, S.; Sung, S.; Lay, J.-J. Biohydrogen production as a function of pH and substrate concentration. Environ. Sci. Technol. 2001, 35, 4726–4730. [Google Scholar] [CrossRef]



| Parameters | IN1 | IN2 | IN3 | IN4 | FW |
|---|---|---|---|---|---|
| Origin | Activated sludge | Dig. sludge OFMSW and manure | Dig. sludge Agro-industrial | Dig. sludge WWTP | OFMSW kerbside system |
| pH | 7.1 ± 0.0 | 8.2 ± 0.1 | 7.8 ± 0.1 | 6.7 ± 0.1 | 3.8 ± 0.1 |
| TS (% w/w) | 2.1 ± 0.2 | 2.9 ± 0.1 | 3.2 ± 0.4 | 2.1 ± 0.0 | 5.6 ± 0.1 |
| TVS (% w/w) | 1.5 ± 0.1 | 1.8 ± 0.1 | 1.8 ± 0.3 | 1.7 ± 0.0 | 5.1 ± 0.1 |
| TOC (%C w/w) | 1.2 ± 0.2 | 1.0 ± 0.1 | 1.2 ± 0.2 | 0.6 ± 0.1 | 1.9 ± 0.2 |
| TKN (%N w/w) | 0.2 ± 0.0 | 0.2 ± 0.0 | 0.2 ± 0.0 | 0.1 ± 0.0 | 0.2 ± 0.0 |
| Ammonia (mgN/L) | 341 ± 47 | 2025 ± 304 | 1040 ± 82 | 980 ± 79 | 191 ± 5 |
| Acetic acid (mg/L) | 830 ± 120 | <25 | <20 | <20 | 958 ± 30 |
| Propionic acid (mg/L) | 390 ± 71 | <25 | <40 | <40 | <40 |
| C (%TS) | 58.9 ± 4.3 | 34.6 ± 5.2 | 50.8 ± 3.7 | 52.1 ± 3.8 | 36.0 ± 1.9 |
| H (%TS) | 6.4 ± 0.5 | 5.7 ± 0.8 | 3.9 ± 0.3 | 5.2 ± 0.4 | 5.8 ± 0.2 |
| N (%TS) | 7.5 ± 0.9 | 8.9 ± 1.4 | 8.0 ± 0.9 | 10.5 ± 1.2 | 2.9 ± 0.3 |
| S (%TS) | 0.9 ± 0.1 | 0.7 ± 0.1 | 0.6 ± 0.1 | 1.2 ± 0.2 | 0.2 ± 0.0 |
| P (%TS) | 0.4 ± 0.1 | 0.9 ± 0.1 | 0.4 ± 0.1 | 1.7 ± 0.2 | 0.4 ± 0.1 |
| O (%TS) | 27.9 | 49.2 | 36.3 | 29.3 | 54.6 |
| C: N | 7.9 | 3.9 | 6.3 | 4.9 | 12.4 |
| Ca (mg/L) | 703 ± 85 | 840 ± 74 | 1240 ± 140 | 617 ± 56 | 1120 ± 13 |
| Mg (mg/L) | 109 ± 25 | 154 ± 14 | 220 ± 44 | 103 ± 24 | 166 ± 34 |
| Na (mg/L) | 121 ± 27 | 769 ± 66 | 710 ± 140 | 173 ± 36 | 550 ± 110 |
| Proteins (% w/w) | 0.9 ± 0.1 | 0.6 ± 0.1 | 1.2 ± 0.1 | 0.8 ± 0.1 | 1.0 ± 0.1 |
| Lipids (% w/w) | <0.3 | <0.3 | <0.3 | <0.3 | 0.3 ± 0.1 |
| Carbohydrates (% w/w) | <0.1 | <0.1 | 0.1 | 0.1 | 2.0 |
| Cellulose (% w/w) | 0.1 ± 0.0 | 0.2 ± 0.0 | 0.1 ± 0.0 | <0.1 | 1.5 ± 0.1 |
| Lignin (% w/w) | 0.3 ± 0.0 | 0.3 ± 0.1 | 0.3 ± 0.0 | <0.3 | 0.3 ± 0.1 |
| Clostridium Perfringens spore (CFU/mg) | 150 | 13 | 50 | 110 | - |
| Sucrose (% w/w) | - | - | - | - | 0.4 ± 0.2 |
| Glucose (% w/w) | - | - | - | - | 1.1 ± 0.4 |
| Fructose (%w/w) | - | - | - | - | 0.2 ± 0.1 |
| BHP1 | BHP2 | BHP1 | BHP2 | BHP1 | BHP2 | ||
|---|---|---|---|---|---|---|---|
| Inoculum | Substrate | SHP | SHP | ηTVS | ηTVS | Em | Em |
| IN1 | FW | 90.2 ± 3.2 | 101.6 ± 2.5 | 24.1 ± 0.7% | 48.2 ± 1.2% | 27.0 ± 1.0% | 30.1 ± 0.7% |
| IN2 | FW | 29.3 ± 0.7 | 56.0 ± 2.5 | 14.3 ± 0.5% | 31.2 ± 1.5% | 14.9 ± 0.4% | 19.5 ± 0.9% |
| IN3 | FW | 50.2 ± 1.4 | 65.5 ± 2 | 14.8 ± 0.5% | 43.0 ± 1.7% | 7.2 ± 0.2% | 16.3 ± 0.5% |
| IN4 | FW | 74.0 ± 4.1 | 79.2 ± 2.6 | 23.5 ± 0.6% | 37.8 ± 0.8% | 20.2 ± 0.5% | 23.2 ± 0.8% |
| R2 | 0.94 | 0.27 | 0.96 | ||||
| p-value | 0.03 | >0.05 | 0.02 | ||||
| IN1 | Sucrose | 153.1 ± 2.1 | 155.3 ± 1.8 | 46.9 ± 1.0% | 58.2 ± 2.0% | 29.2 ± 0.4% | 29.6 ± 0.3% |
| IN2 | Sucrose | 74.6 ± 1.6 | 95.1 ± 2.1 | 34.6 ± 1.5% | 31.7 ± 1.4% | 20.9 ± 0.4% | 21.0 ± 0.5% |
| IN3 | Sucrose | 109.4 ± 1.0 | 110.2 ± 2.3 | 41.1 ± 1.1% | 46.3 ± 1.7% | 11.4 ± 0.1% | 17.7 ± 0.4% |
| IN4 | Sucrose | 149.9 ± 1.7 | 151.0 ± 2.5 | 44.8 ± 1.2% | 46.5 ± 1.5% | 28.6 ± 0.3% | 28.0 ± 0.5% |
| R2 | 0.97 | 0.90 | 0.94 | ||||
| p-value | 0.02 | 0.04 | 0.03 | ||||
| BHP1 | BHP2 | BHP1 | BHP2 | BHP1 | BHP2 | BHP1 | BHP2 | BHP1 | BHP2 | ||
|---|---|---|---|---|---|---|---|---|---|---|---|
| Inoculum | Substrate | Hmax | Hmax | r | r | λ | λ | t95 | t95 | R2(G) | R2(G) |
| IN1 | FW | 92.4 | 102.4 | 5.2 | 5.9 | 1.4 | 7.4 | 27.1 | 32.9 | 0.999 | 0.999 |
| IN2 | FW | 29.9 | 54.1 | 1.4 | 7.3 | 1.3 | 9.2 | 31.6 | 20.0 | 0.997 | 0.998 |
| IN3 | FW | 49.9 | 64.5 | 2.9 | 5.7 | 1.2 | 7.8 | 26.3 | 24.3 | 0.977 | 0.997 |
| IN4 | FW | 74.9 | 78.0 | 3.5 | 6.0 | 0.9 | 7.2 | 32.3 | 26.0 | 0.997 | 0.999 |
| R2 | 0.94 | 0.53 | 0.17 | 0.23 | |||||||
| p-value | 0.03 | >0.05 | >0.05 | >0.05 | |||||||
| IN1 | Sucrose | 157.5 | 158.8 | 6.4 | 10.1 | 3.4 | 10.9 | 39.4 | 34.0 | 0.998 | 0.998 |
| IN2 | Sucrose | 74.6 | 95.4 | 5.7 | 9.7 | 9.7 | 9.3 | 28.8 | 23.6 | 0.999 | 0.999 |
| IN3 | Sucrose | 108.5 | 113.1 | 5.4 | 8.8 | 0.7 | 12.0 | 30.2 | 30.7 | 0.996 | 0.997 |
| IN4 | Sucrose | 150.8 | 150.0 | 8.5 | 6.4 | 5.0 | 11.9 | 30.9 | 46.2 | 0.999 | 0.997 |
| R2 | 0.98 | 0.66 | 0.73 | 0.04 | |||||||
| p-value | 0.01 | >0.05 | >0.05 | >0.05 | |||||||
| FW | ||||||||
| Parameters | SHP | ηTVS | Clos. | Em | Hmax | r | λ | t95 |
| SHP | 1.00 | 0.67 | 0.92 | 0.83 | 1.00 | 0.58 | 0.26 | 0.20 |
| ηTVS | 0.67 | 1.00 | 0.39 | 0.61 | 0.64 | 0.77 | 0.82 | −0.10 |
| Clos. | 0.92 | 0.39 | 1.00 | 0.76 | 0.94 | 0.25 | −0.10 | 0.46 |
| Em | 0.83 | 0.61 | 0.76 | 1.00 | 0.84 | 0.55 | 0.32 | 0.26 |
| Hmax | 1.00 | 0.64 | 0.94 | 0.84 | 1.00 | 0.55 | 0.22 | 0.24 |
| r | 0.58 | 0.77 | 0.25 | 0.55 | 0.55 | 1.00 | 0.84 | −0.58 |
| λ | 0.26 | 0.82 | −0.10 | 0.32 | 0.22 | 0.84 | 1.00 | −0.52 |
| t95 | 0.20 | −0.10 | 0.46 | 0.26 | 0.24 | −0.58 | −0.52 | 1.00 |
| Sucrose | ||||||||
| Parameters | SHP | ηTVS | Clos. | Em | Hmax | r | λ | t95 |
| SHP | 1.00 | 0.80 | 0.96 | 0.73 | 1.00 | 0.20 | −0.09 | 0.70 |
| ηTVS | 0.80 | 1.00 | 0.85 | 0.51 | 0.82 | 0.29 | 0.14 | 0.56 |
| Clos. | 0.96 | 0.85 | 1.00 | 0.76 | 0.97 | 0.13 | −0.11 | 0.69 |
| Em | 0.73 | 0.51 | 0.76 | 1.00 | 0.74 | 0.31 | 0.26 | 0.53 |
| Hmax | 1.00 | 0.82 | 0.97 | 0.74 | 1.00 | 0.22 | −0.08 | 0.69 |
| r | 0.20 | 0.29 | 0.13 | 0.31 | 0.22 | 1.00 | 0.46 | −0.34 |
| λ | −0.09 | 0.14 | −0.11 | 0.26 | −0.08 | 0.46 | 1.00 | 0.11 |
| t95 | 0.70 | 0.56 | 0.69 | 0.53 | 0.69 | −0.34 | 0.11 | 1.00 |
© 2019 by the authors. Licensee MDPI, Basel, Switzerland. This article is an open access article distributed under the terms and conditions of the Creative Commons Attribution (CC BY) license (http://creativecommons.org/licenses/by/4.0/).
Share and Cite
Pecorini, I.; Baldi, F.; Iannelli, R. Biochemical Hydrogen Potential Tests Using Different Inocula. Sustainability 2019, 11, 622. https://doi.org/10.3390/su11030622
Pecorini I, Baldi F, Iannelli R. Biochemical Hydrogen Potential Tests Using Different Inocula. Sustainability. 2019; 11(3):622. https://doi.org/10.3390/su11030622
Chicago/Turabian StylePecorini, Isabella, Francesco Baldi, and Renato Iannelli. 2019. "Biochemical Hydrogen Potential Tests Using Different Inocula" Sustainability 11, no. 3: 622. https://doi.org/10.3390/su11030622
APA StylePecorini, I., Baldi, F., & Iannelli, R. (2019). Biochemical Hydrogen Potential Tests Using Different Inocula. Sustainability, 11(3), 622. https://doi.org/10.3390/su11030622

