Carbon Dioxide Human Gains—A New Approach of the Estimation
Abstract
1. Introduction
2. Theoretical CO2 Gains from People
3. Materials and Method
3.1. Method for Determination of CO2 Gains from People
3.2. Experimental Measurement Method
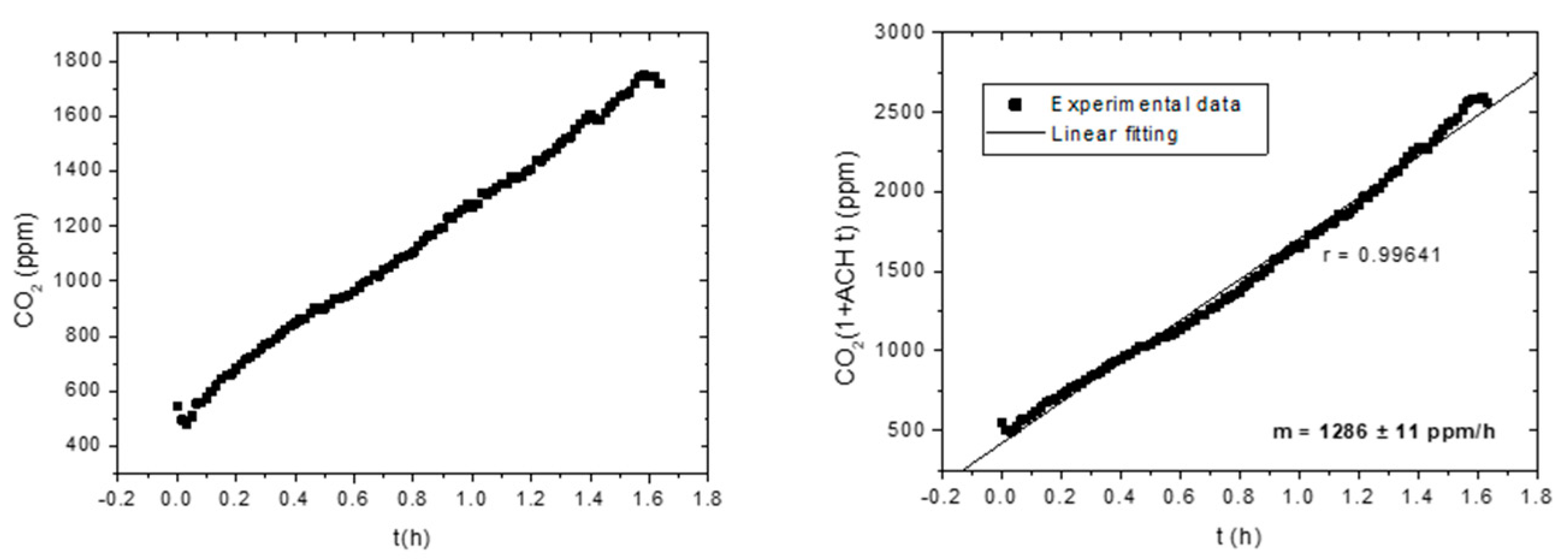
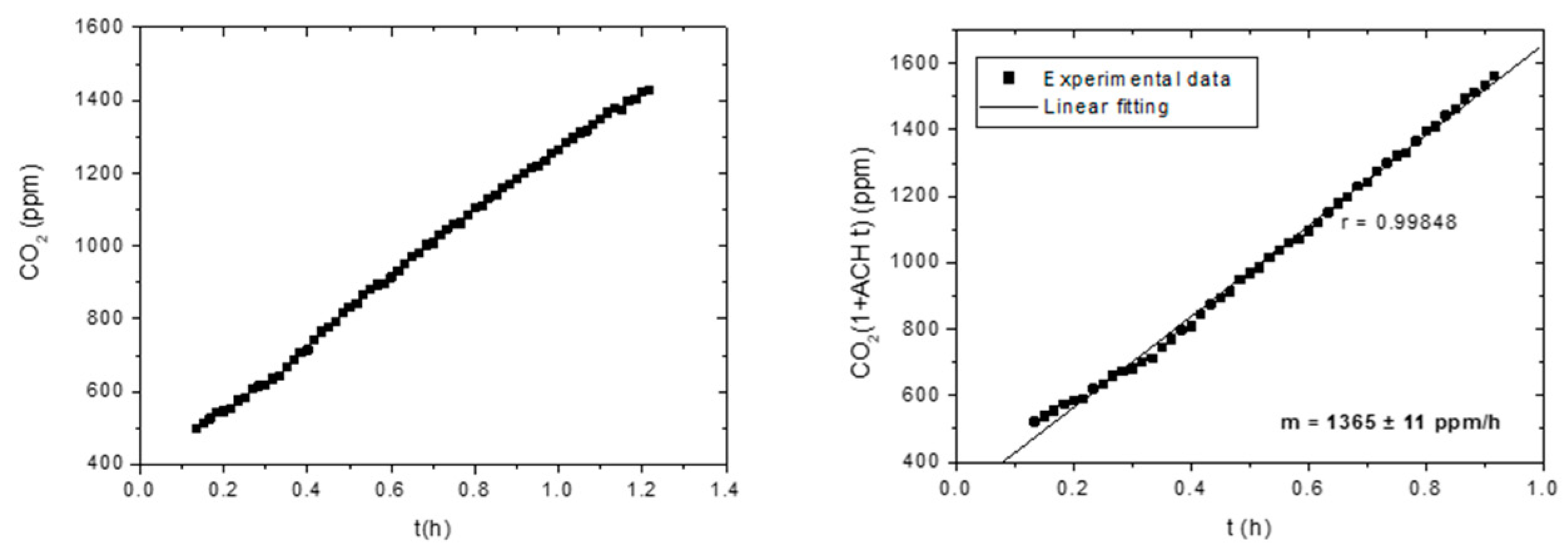
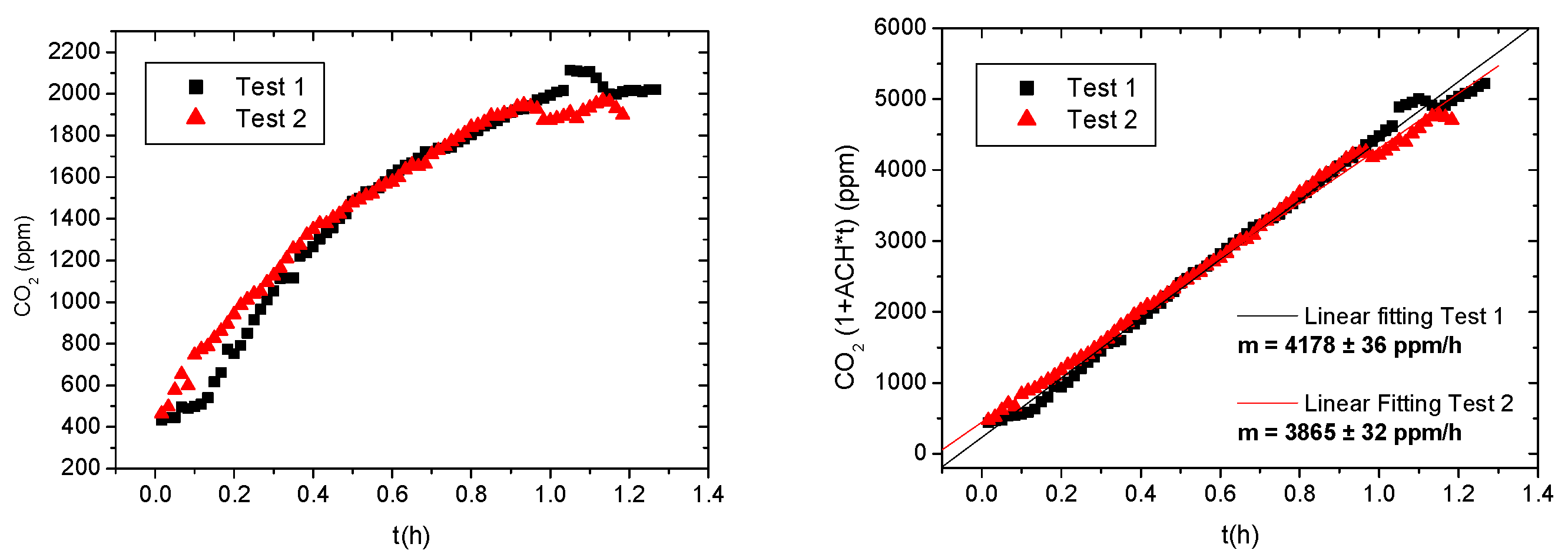
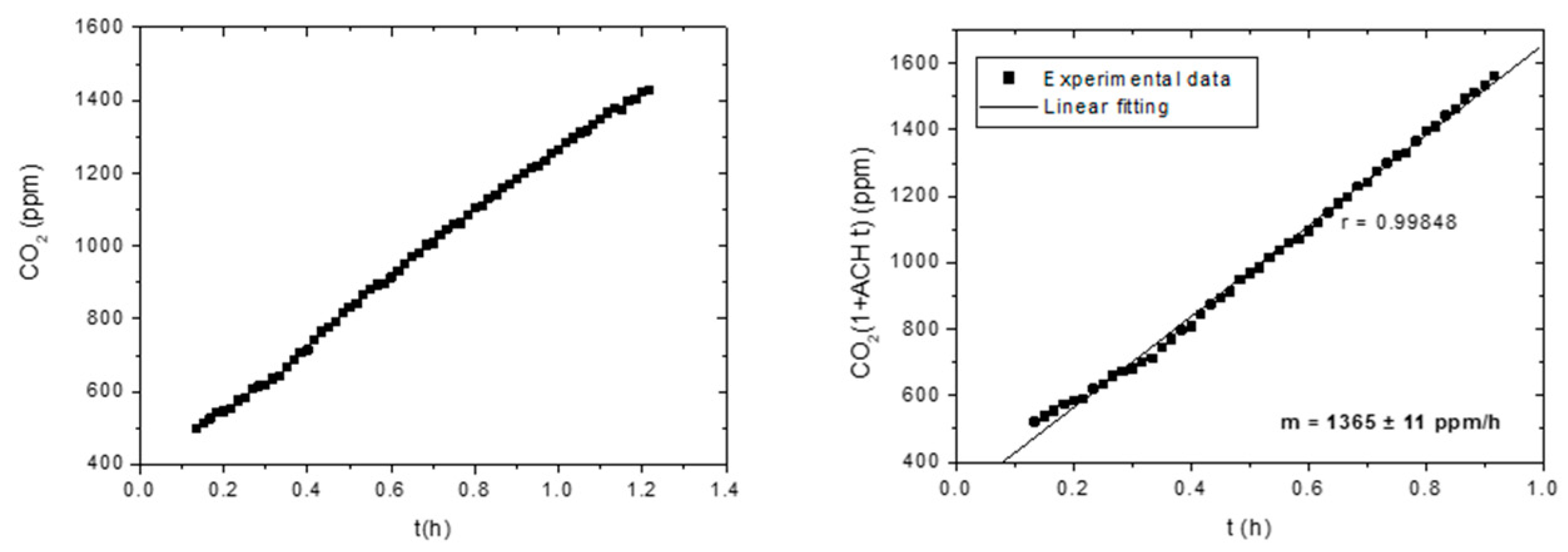
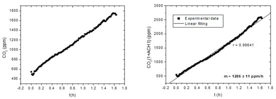
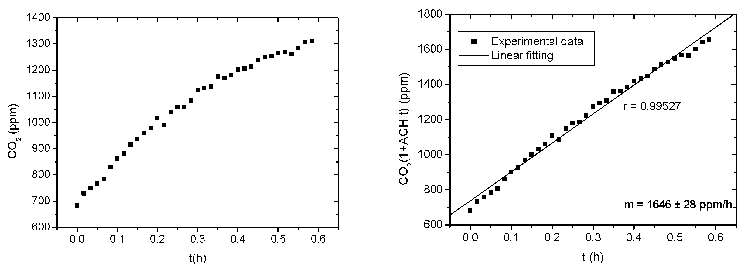
4. Results and Discussion
5. Conclusions
Author Contributions
Funding
Acknowledgments
Conflicts of Interest
References
- Risholt, B.; Time, B.; Hestnes, A.G. Sustainability assessment of nearly zero energy renovation of dwellings based on energy, economy and home quality indicators. Energy Build. 2013, 60, 217–224. [Google Scholar] [CrossRef]
- Jurado, S.R.; Bankoff, A.D.P.; Sanchez, A. Indoor Air Quality in Brazilian Universities. Int. J. Environ. Res. Public Health 2014, 11, 7081–7093. [Google Scholar] [CrossRef] [PubMed]
- Śmiełowska, M.; Marć, M.; Zabiegała, B. Indoor air quality in public utility environments-a review. Environ. Sci. Pollut. Res. Int. 2017, 24, 11166–11176. [Google Scholar] [CrossRef]
- Mainka, A.; Zajusz-Zubek, E. Indoor Air Quality in Urban and Rural Preschools in Upper Silesia, Poland: Particulate Matter and Carbon Dioxide. Int. J. Environ. Res. Public Health 2015, 12, 7697–7711. [Google Scholar] [CrossRef] [PubMed]
- Wong, L.-T.; Mui, K.-W.; Tsang, T.-W. Evaluation of Indoor Air Quality Screening Strategies: A Step-Wise Approach for IAQ Screening. Int. J. Environ. Res. Public Health 2016, 13, 1240. [Google Scholar] [CrossRef]
- Lu, C.-Y.; Lin, J.-M.; Chen, Y.-Y.; Chen, Y.-C. Building-Related Symptoms among Office Employees Associated with Indoor Carbon Dioxide and Total Volatile Organic Compounds. Int. J. Environ. Res. Public Health 2015, 12, 5833–5845. [Google Scholar] [CrossRef]
- Apte, M.G.; Fisk, W.J.; Daisey, J.M. Associations between indoor CO2 concentrations and sick building syndromes in U.S. office buildings: An analysis of the 1994–1996 BASE study data. Indoor Air 2000, 10, 246–257. [Google Scholar] [CrossRef]
- Johnsona, D.L.; Lynch, R.A.; Floyda, E.L.; Wang, J.; Bartels, J.N. Indoor air quality in classrooms: Environmental measures and effective ventilation rate modeling in urban elementary schools. Build. Environ. 2018, 136, 185–197. [Google Scholar] [CrossRef]
- Meciarova, L.; Vilcekova, S.; Burdova, E.K.; Kapalo, P.; Mihalova, N. The real and subjective indoor environmental quality in schools. Int. J. Environ. Res. Public Health 2018, 28, 102–123. [Google Scholar]
- Kapalo, P.; Meciarova, L.; Vilcekova, S.; Kridlova Burdova, E.; Domnita, F.; Bacotiu, C.; Peterfi, K.E. Investigation of CO2 production depending on physical activity of students. Int. J. Environ. Health Res. 2019, 29, 31–44. [Google Scholar] [CrossRef]
- Kapalo, P.; Domnita, F.; Bacotiu, C.; Podolak, M. The influence of occupants’ body mass on carbon dioxide mass flow rate inside a university classroom—case study. Int. J. Environ. Health Res. 2018, 28, 432–447. [Google Scholar] [CrossRef] [PubMed]
- Muscatiello, N.; McCarthy, A.; Kielb, C.; Hsu, W.-H.; Hwang, S.-A.; Lin, S. Classroom conditions and CO2 concentrations and teacher health symptom reporting in 10 New York State Schools. Indoor Air 2014, 25, 157–167. [Google Scholar] [CrossRef] [PubMed]
- Ruggieri, S.; Longo, V.; Perrino, C.; Canepari, S.; Drago, G.; L’Abbate, L.; Balzan, M.; Cuttitta, G.; Scaccianoce, G.; Minardi, R.; et al. Indoor air quality in schools of a highly polluted south Mediterranean area. Indoor Air 2019, 29, 276–290. [Google Scholar] [CrossRef] [PubMed]
- Fisk, W.J. The ventilation problem in schools: Literature review. Indoor Air 2017, 27, 1039–1051. [Google Scholar] [CrossRef] [PubMed]
- Azuma, K.; Kagi, N.; Yanagi, U.; Osawa, H. Effects of low-level inhalation exposure to carbon dioxide in indoor environments: A short review on human health and psychomotor performance. Environ. Int. 2018, 121 Pt 1, 51–56. [Google Scholar] [CrossRef]
- Kapalo, P.; Klymenko, H.; Zhelykh, V.; Adamski, M. Investigation of Indoor Air Quality in the Selected Ukraine Classroom—Case Study. Available online: https://link.springer.com/chapter/10.1007/978-3-030-27011-7_21 (accessed on 17 October 2019).
- Krawczyk, D.; Wądołowska, B. Analysis of indoor air parameters in an education building. Energy Procedia 2018, 147, 96–103. [Google Scholar] [CrossRef]
- Mainka, A.; Zajusz-Zubek, E. Keeping Doors Closed as One Reason for Fatigue in Teenagers—A Case Study. Appl. Sci. 2019, 9, 3533. [Google Scholar] [CrossRef]
- ASHRAE Standard 62-2001 Ventilation for Acceptable Indoor Air Quality. Available online: https://www.ashrae.org/File%20Library/Technical%20Resources/Standards%20and%20Guidelines/Standards%20Addenda/62-2001/62-2001_Addendum-n.pdf (accessed on 10 October 2019).
- Persily, A. Challenges in Developing Ventilation and Indoor Air Quality Standards: The Story of ASHRAE Standard 62. Build. Environ. 2015, 91, 61–69. [Google Scholar] [CrossRef]
- Gougha, H.L.; Luob, Z.; Haliosa, C.H.; Kingc, M.-F.; Noakesc, C.J.; Grimmonda, C.S.B.; Barlowa, J.F.; Hoxeyd, R.; Quinn, A.D. Field measurement of natural ventilation rate in an idealised full-scale building located in a staggered urban array: Comparison between tracer gas and pressure-based methods. Build. Environ. 2018, 137, 246–256. [Google Scholar] [CrossRef]
- Reminon, G.; Moujalled, B.; El Mankibi, M. Review of tracer gas-based methods for the characterization of natural ventilation performance: Comparative analysis of their accuracy. Build. Environ. 2019, 160. [Google Scholar] [CrossRef]
- Duarte, R.; Gomes, M.G.; Rodrigues, A.M. Estimating ventilation rates in a window-aired room using Kalman filtering and considering uncertain measurements of occupancy and CO2 concentration. Build. Environ. 2018, 143, 691–700. [Google Scholar] [CrossRef]
- Batterman, S. Review and Extension of CO2-Based Methods to Determine Ventilation Rates with Application to School Classrooms. Int. J. Environ. Res. Public Health 2017, 14, 145. [Google Scholar] [CrossRef] [PubMed]
- Luo, M.; Zhou, X.; Zhu, Y.; Sundell, J. Revisiting an overlooked parameter in thermal comfort studies, the metabolic rate. Energy Build. 2016, 118, 152–159. [Google Scholar] [CrossRef]
- Orava, J.; Nuutila, P.; Lidell, M.; Oikonen, V.; Noponen, T.; Viljanen, T.; Scheinin, M.; Taittonen, M.; Niemi, T.; Enerbäck, S.; et al. Different Metabolic Responses of Human Brown Adipose Tissue to Activation by Cold and Insulin. Cell Metab. 2011, 14, 272–279. [Google Scholar] [CrossRef] [PubMed]
- Persiliy, A.; de Jonge, L. Carbon dioxide generation rates for building occupants. Indoor Air 2017, 27, 868–879. [Google Scholar] [CrossRef] [PubMed]
- Ainsworth, B.E.; Haskell, W.L.; Whitt, M.C.; Irwin, M.L.; Swartz, A.M.; Strath, S.J.; O’Brien, W.L.; Bassett, D.R., Jr.; Schmitz, K.H.; Emplaincourt, P.O.; et al. The Compendium of Physical Activities Tracking Guide. Available online: https://sites.google.com/site/compendiumofphysicalactivities/ (accessed on 10 September 2019).
- Ainsworth, B.E.; Haskell, W.L.; Herrmann, S.D.; Meckes, N.; Bassett, D.R., Jr.; Tudor-Locke, C.; Greer, J.L.; Vezina, J.; Whitt-Glover, M.C.; Leon, A.S. Compendium of physical activities: A second update of codes and met values. Med. Sci. Sports Exerc. 2011, 43, 1575–1581. [Google Scholar] [CrossRef] [PubMed]
- Kozey, S.; Lyden, K.; Staudenmayer, J.; Freedson, P. Errors in MET estimates of physical activities using 3.5 ml kg−1 min−1 as the baseline oxygen consumption. J. Phys. Act. Health 2010, 7, 508–516. [Google Scholar] [CrossRef]
- Plowman, S.; Smith, D. Exercise Physiology for Health, Fitness, and Performance; Lippincott Williams & Wilkins: Philadelphia, PA, USA, 2014. [Google Scholar]
- Qi, M.W.; Li, X.F.; Weschler, L.B.; Sundell, J. CO2 generation rate in Chinese people. Indoor Air 2014, 24, 559–566. [Google Scholar] [CrossRef]
- Krawczyk, D.A.; Rodero, A.; Gładyszewska-Fiedoruk, K.; Gajewski, A. CO2 concentration in naturally ventilated classrooms located in different climates– measurements and simulations. Energy Build. 2016, 129, 491–498. [Google Scholar] [CrossRef]
- Rodero, A.; Krawczyk, D.A. Method for Estimation of CO2 Gains from Persons in Buildings. Multidiscip. Digit. Publ. Inst. Proc. 2018, 2, 1309. [Google Scholar] [CrossRef]
- VIPSKILLS project (Virtual and Intensive Course Developing Practical Skills of Future Engineers. Strategic Partnerships Erasmus +)—e-Laboratories. Available online: http://vipskills.pb.edu.pl/e-labs (accessed on 5 August 2019).
- Brulinska, A.; Popiolek, Z.; Brulinski, Z. Experimentally validated CFD analysis on sampling region determination of average indoor carbon dioxide concentration in occupied space. Build. Environ. 2014, 72, 319–331. [Google Scholar] [CrossRef]
- Oliveira, R.; Kämpf, J.; Vicente, R.; Almeida, R.; Figueiredo, A. CO2 experimental measurements towards the development of a predictive framework using user actions in smart buildings. J. Phys. Conf. Ser. 2019, 1343, 012061. [Google Scholar] [CrossRef]








| Age | 16–21 (y.o.) | 21–30 y.o. | 30–40 y.o. | 40–50 y.o. | 50–60 y.o |
|---|---|---|---|---|---|
| Male | BMR = 7.77 MJ/day g = 0.0049 L/s | BMR = 8.24 MJ/day g = 0.0052 L/s | BMR = 7.83 MJ/day g = 0.00495 L/s | BMR = 8.00 MJ/day g = 0.0050 L/s | BMR = 7.95 MJ/day g = 0.0050 L/s |
| Female | BMR = 6.12 MJ/day g = 0.0039 L/s | BMR = 6.49 MJ/day g = 0.0041 L/s | BMR = 6.08 MJ/day g = 0.0038 L/s | BMR = 6.16 MJ/day g = 0.0039 L/s | BMR = 6.17 MJ/day g = 0.0039 L/s |
| Similar Contribution (Male+Female) | g = 0.0044 L/s | g = 0.00465 L/s | g = 0.0044 L/s | g = 0.00445 L/s | g = 0.00445 L/s |
| ACH (h−1) | Volume (m3) | Number of People | Density of Occupants (m−3) | Percentage Male/Female (%) | Age of Occupants (Year Old) | |
|---|---|---|---|---|---|---|
| computer classroom 1 | 0.3 | 215 | 15 | 0.070 | 48 | 18–25 |
| computer classroom 2 | 0.33 | 212.6 | 14 | 0.066 | 53 | 18–25 |
| project room | 0.4 | 217 | 17 | 0.078 | 55 | 18–25 |
| meeting room | 0.55 | 308.8 | 55 | 0.178 | 60 | 30–65 |
| workshop classroom—two tests | 1.15 | 88.9 | 17 | 0.191 | 47 | 18–25 |
| Parameter | Range | Precision |
|---|---|---|
| Temperature | between −10 and +60 °C | ±0.1 °C |
| Carbon dioxide | between +0 and +5000 ppm | ±50 ppm (±3%) |
| Humidity | between 5% and 95% | ±3% |
| Pressure | between −3757 and +3757 Pa | ±1 hPa |
| Velocity | between 0.25 do 30 m/s | ±0.1 m/s |
| Outdoor Pressure (hPa) | Outdoor Temperature (K) | Outdoor CO2 Concentration (ppm) | Indoor Presure (hPa) | Indoor Temperture (K) | |
|---|---|---|---|---|---|
| computer classroom 1 | 1017 | 270 | 390 | 1017.5 | 298 |
| computer classroom 2 | 975 | 266 | 400 | 977 | 297 |
| project room | 976 | 264 | 400 | 976 | 297 |
| meeting room | 1020 | 269 | 390 | 1020 | 295 |
| workshop classroom—two tests | 976 | 271 | 404 | 976 | 298 |
| Slope m (ppm/h) | g (g/h) | g ACH (L/s) | |
|---|---|---|---|
| computer classroom 1 | 1286 ± 11 | 29.98 ± 0.28 | 0.00425 ± 0.00004 |
| computer classroom 2 | 1365 ± 11 | 32.16 ± 0.29 | 0.00455 ± 0.00004 |
| project room | 1646 ± 28 | 31.84 ± 0.61 | 0.00450 ± 0.00009 |
| meeting room | 3393 ± 18 | 32.45 ± 0.18 | 0.00459 ± 0.00003 |
| workshop room test 1 | 4178 ± 36 | 33.69 ± 0.33 | 0.00476 ± 0.00005 |
| workshop room test 2 | 3865 ± 32 | 30.79 ± 0.30 | 0.00435 ± 0.00004 |
| Slope m (ppm/h) | g (g/h) | g ACH (L/s) | |
|---|---|---|---|
| computer classroom 1 | 1338 ± 12 | 34.66 ± 0.31 | 0.00443 ± 0.00004 |
| computer classroom 2 | 1371 ± 11 | 36.26 ± 0.29 | 0.00457 ± 0.00003 |
| project room | 1617 ± 28 | 31.20 ± 0.61 | 0.00442 ± 0.00009 |
| meeting room | 3393 ± 18 | 34.44 ± 0.31 | 0.00453 ± 0.00007 |
| workshop room test 1 | 3967 ± 46 | 32.14 ± 0.43 | 0.00454 ± 0.00003 |
| workshop room test 2 | 3841 ± 32 | 30.9 ± 0.30 | 0.00435 ± 0.00004 |
© 2019 by the authors. Licensee MDPI, Basel, Switzerland. This article is an open access article distributed under the terms and conditions of the Creative Commons Attribution (CC BY) license (http://creativecommons.org/licenses/by/4.0/).
Share and Cite
Rodero, A.; Krawczyk, D.A. Carbon Dioxide Human Gains—A New Approach of the Estimation. Sustainability 2019, 11, 7128. https://doi.org/10.3390/su11247128
Rodero A, Krawczyk DA. Carbon Dioxide Human Gains—A New Approach of the Estimation. Sustainability. 2019; 11(24):7128. https://doi.org/10.3390/su11247128
Chicago/Turabian StyleRodero, Antonio, and Dorota Anna Krawczyk. 2019. "Carbon Dioxide Human Gains—A New Approach of the Estimation" Sustainability 11, no. 24: 7128. https://doi.org/10.3390/su11247128
APA StyleRodero, A., & Krawczyk, D. A. (2019). Carbon Dioxide Human Gains—A New Approach of the Estimation. Sustainability, 11(24), 7128. https://doi.org/10.3390/su11247128
