Communities’ Livelihood Vulnerability to Climate Variability in Ethiopia
Abstract
1. Introduction
1.1. Livelihood Vulnerability to Climate Change
1.2. The Ethiopian Context
1.3. Study Objectives
1.4. Significance of the Study
2. Materials and Methods
2.1. Study Area
2.2. Data and Sampling Procedures
2.3. Data Analysis
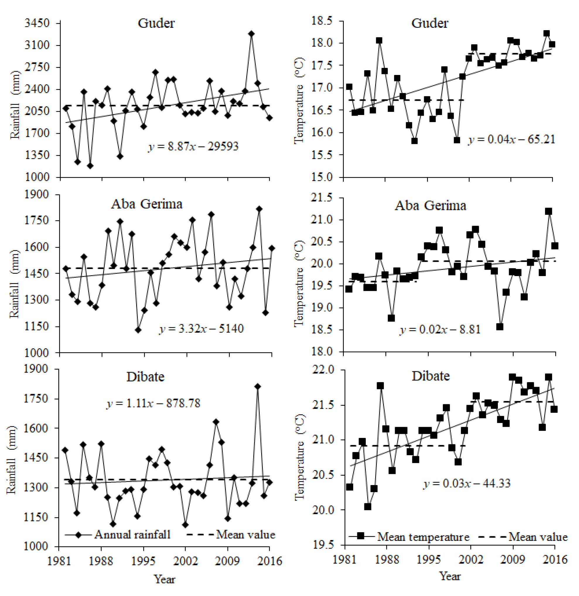
2.3.1. Meteorological Data Analysis
2.3.2. Measures of Livelihood Vulnerability
3. Results
3.1. Vulnerability Indicators
3.2. IPCC-Based Livelihood Vulnerability
3.2.1. Exposure to Climate Shocks
3.2.2. Sensitivity
3.2.3. Adaptive Capacity
3.3. Factors Obstructing Adaptive Capacity
4. Discussion
4.1. Livelihood Vulnerability Index
4.2. Exposure
4.3. Sensitivity
4.4. Adaptive Capacity
4.5. Obstruction Factors of Communities’ Adaptive Capacity
5. Conclusions and Implications
Supplementary Materials
Author Contributions
Funding
Acknowledgments
Conflicts of Interest
References
- Ellis, F. Household strategies and rural livelihood diversification. J. Dev. Stud. 1998, 35, 1–38. [Google Scholar] [CrossRef]
- Lowder, S.K.; Skoet, J.; Raney, T. The number, size, and distribution of farms, smallholder farms, and family farms worldwide. World Dev. 2016, 87, 16–29. [Google Scholar] [CrossRef]
- Griek, L.; Penikett, J.; Hougee, E. Bitter Harvest: Child Labour in the Cocoa Supply Chain. Sustainalytics. 2010. Available online: http://www. cocoainitiative. org/wp-content/uploads/2017/09/Bitter-Harvest-Child-Labour-in-the-Cocoa-Supply-Chain (accessed on 21 May 2019).
- UNEP. Smallholders, Food Security, and the Environment; International Fund for Agricultural Development (IFAD) and the United Nations Environment Programme (UNEP): Rome, Italy, 2013; pp. 1–54. [Google Scholar]
- IPCC. Climate Change 2007: Impacts, Adaptation and Vulnerability; IPCC: Genebra, Switzerland, 2007; pp. 1–23. [Google Scholar]
- Morton, J.F. The impact of climate change on smallholder and subsistence agriculture. Proc. Natl. Acad. Sci. USA 2007, 104, 19680–19685. [Google Scholar] [CrossRef] [PubMed]
- Cooper, S.J.; Wheeler, T. Rural household vulnerability to climate risk in Uganda. Reg. Environ. Chang. 2017, 17, 649–663. [Google Scholar] [CrossRef]
- Deressa, T.; Hassan, R.M.; Ringler, C. Measuring Ethiopian Farmers’ Vulnerability to Climate Change across Regional States; International Food Policy Research Institute: Washington, DC, USA, 2008. [Google Scholar]
- Mohammed, Y.; Yimer, F.; Tadesse, M.; Tesfaye, K. Meteorological drought assessment in north east highlands of Ethiopia. Int. J. Clim. Chang. Strateg. Manag. 2018, 10, 142–160. [Google Scholar] [CrossRef]
- Lobell, D.B.; Burke, M.B.; Tebaldi, C.; Mastrandrea, M.D.; Falcon, W.P.; Naylor, R.L. Prioritizing climate change adaptation needs for food security in 2030. Science 2008, 319, 607–610. [Google Scholar] [CrossRef]
- IPCC. Climate Change 2014Synthesis Report Summary for Policymakers; IPCC: Geneva, Switzerland, 2014; pp. 1–32. [Google Scholar]
- De Haan, L.; Zoomers, A. Exploring the frontier of livelihoods research. Dev. Chang. 2005, 36, 27–47. [Google Scholar] [CrossRef]
- Adger, W.N. Vulnerability. Glob. Environ. Chang. 2006, 16, 268–281. [Google Scholar] [CrossRef]
- Parry, M.; Parry, M.L.; Canziani, O.; Palutikof, J.; Van der Linden, P.; Hanson, C. Climate Change 2007-Impacts, Adaptation and Vulnerability: Working Group II Contribution to the Fourth Assessment Report of the IPCC. Cambridge University Press: Cambridge, UK, 2007; Volume 4. [Google Scholar]
- Gornall, J.; Betts, R.; Burke, E.; Clark, R.; Camp, J.; Willett, K.; Wiltshire, A. Implications of climate change for agricultural productivity in the early twenty-first century. Philos. Trans. R. Soc. B 2010, 365, 2973–2989. [Google Scholar] [CrossRef]
- Heltberg, R.; Siegel, P.B.; Jorgensen, S.L. Addressing human vulnerability to climate change: Toward a ‘no-regrets’ approach. Glob. Environ. Chang. 2009, 19, 89–99. [Google Scholar] [CrossRef]
- Hertel, T.W.; Rosch, S.D. Climate Change, Agriculture and Poverty; The World Bank: Washington, DC, USA, 2010. [Google Scholar]
- Snover, A.K.; Whitely Binder, L.C.; Lopez, J.; Willmott, E.; Kay, J.; Howell, D.; Simmonds, J. Preparing for Climate Change: A Guidebook for Local, Regional, and State Governments; The Climate Impacts Group, King County: Washington, DC, USA, 2007. [Google Scholar]
- Dzoga, M.; Simatele, D.; Munga, C. Assessment of ecological vulnerability to climate variability on coastal fishing communities: A study of Ungwana Bay and Lower Tana Estuary, Kenya. Ocean Coast. Manag. 2018, 163, 437–444. [Google Scholar] [CrossRef]
- Peng, L.; Xu, D.; Wang, X. Vulnerability of rural household livelihood to climate variability and adaptive strategies in landslide-threatened western mountainous regions of the Three Gorges Reservoir Area, China. Clim. Dev. 2018, 1–16. [Google Scholar] [CrossRef]
- Quandt, A. Measuring livelihood resilience: The household livelihood resilience approach (HLRA). World Dev. 2018, 107, 253–263. [Google Scholar] [CrossRef]
- Tjoe, Y. Measuring the livelihood vulnerability index of a dry region in Indonesia: A case study of three subsistence communities in West Timor. World J. Sci. Technol. Sustain. Dev. 2016, 13, 250–274. [Google Scholar] [CrossRef]
- Unks, R.R.; King, E.G.; Nelson, D.R.; Wachira, N.P.; German, L.A. Constraints, multiple stressors, and stratified adaptation: Pastoralist livelihood vulnerability in a semi-arid wildlife conservation context in Central Kenya. Glob. Environ. Chang. 2019, 54, 124–134. [Google Scholar] [CrossRef]
- Williams, P.A.; Crespo, O.; Abu, M. Assessing vulnerability of horticultural smallholders’ to climate variability in Ghana: Applying the livelihood vulnerability approach. Environ. Dev. Sustain. 2018, 19, 1–22. [Google Scholar] [CrossRef]
- Zhang, Q.; Zhao, X.; Tang, H. Vulnerability of communities to climate change: Application of the livelihood vulnerability index to an environmentally sensitive region of China. Clim. Dev. 2018, 11, 1–18. [Google Scholar] [CrossRef]
- Hahn, M.B.; Riederer, A.M.; Foster, S.O. The Livelihood Vulnerability Index: A pragmatic approach to assessing risks from climate variability and change—A case study in Mozambique. Glob. Environ. Chang. 2009, 19, 74–88. [Google Scholar] [CrossRef]
- Chambers, R.; Conway, G. Sustainable Rural Livelihoods: Practical Concepts for the 21st Century; Institute of Development Studies (UK): Brighton, UK, 1992. [Google Scholar]
- Adu, D.T.; Kuwornu, J.K.; Anim-Somuah, H.; Sasaki, N. Application of livelihood vulnerability index in assessing smallholder maize farming households’ vulnerability to climate change in Brong-Ahafo region of Ghana. Kasetsart J. Soc. Sci. 2018, 39, 22–32. [Google Scholar] [CrossRef]
- Gebrehiwot, T.; van der Veen, A. Climate change vulnerability in Ethiopia: Disaggregation of Tigray Region. J. East. Afr. Stud. 2013, 7, 607–629. [Google Scholar] [CrossRef]
- Huong, N.T.L.; Yao, S.; Fahad, S. Assessing household livelihood vulnerability to climate change: The case of Northwest Vietnam. Hum. Ecol. Risk Assess. 2018, 25, 1–19. [Google Scholar] [CrossRef]
- Simane, B.; Zaitchik, B.F.; Foltz, J.D. Agroecosystem specific climate vulnerability analysis: Application of the livelihood vulnerability index to a tropical highland region. Mitig. Adapt. Strateg. Glob. Chang. 2016, 21, 39–65. [Google Scholar] [CrossRef] [PubMed]
- Siraw, Z.; Adnew Degefu, M.; Bewket, W. The role of community-based watershed development in reducing farmers’ vulnerability to climate change and variability in the northwestern highlands of Ethiopia. Local Environ. 2018, 23, 1190–1206. [Google Scholar] [CrossRef]
- Sujakhu, N.M.; Ranjitkar, S.; Niraula, R.R.; Salim, M.A.; Nizami, A.; Schmidt-Vogt, D.; Xu, J. Determinants of livelihood vulnerability in farming communities in two sites in the Asian Highlands. Water Int. 2018, 43, 165–182. [Google Scholar] [CrossRef]
- Conway, D.; Schipper, E.L.F. Adaptation to climate change in Africa: Challenges and opportunities identified from Ethiopia. Glob. Environ. Chang. 2011, 21, 227–237. [Google Scholar] [CrossRef]
- USAID, Ethiopia. Climate change risk profile: Climate links. 2016. Available online: https://www.climatelinks.org/resources/climate-change-risk-profile-ethiopia (accessed on 21 May 2019).
- Thornton, P.K.; Jones, P.G.; Owiyo, T.; Kruska, R.L.; Herrero, M.; Orindi, V.; Bhadwal, S.; Kristjanson, P.; Notenbaert, A.; Bekele, N. Climate change and poverty in Africa: Mapping hotspots of vulnerability. Afr. J. Agric. Resour. Econ. 2008, 2, 24–s44. [Google Scholar]
- Spielman, D.J.; Byerlee, D.; Alemu, D.; Kelemework, D. Policies to promote cereal intensification in Ethiopia: The search for appropriate public and private roles. Food Policy 2010, 35, 185–194. [Google Scholar] [CrossRef]
- Gao, J.; Mills, B.F. Weather shocks, coping strategies, and consumption dynamics in rural Ethiopia. World Dev. 2018, 101, 268–283. [Google Scholar] [CrossRef]
- McSweeney, C.; New, M.; Lizcano, G.; Lu, X. The UNDP Climate Change Country Profiles: Improving the accessibility of observed and projected climate information for studies of climate change in developing countries. Bull. Am. Meteorol. Soc. 2010, 91, 157–166. [Google Scholar] [CrossRef]
- FDRE. Ethiopia’s Climate Resilient Green Economy: Green Economy Strategy; FDRE: Addis Ababa, Ethiopia, 2011. [Google Scholar]
- Salvati, L.; Carlucci, M. A composite index of sustainable development at the local scale: Italy as a case study. Ecol. Indic. 2014, 43, 162–171. [Google Scholar] [CrossRef]
- Williams, P.A.; Crespo, O.; Abu, M.; Simpson, N.P. A systematic review of how vulnerability of smallholder agricultural systems to changing climate is assessed in Africa. Environ. Res. Lett. 2018, 13, 103004. [Google Scholar] [CrossRef]
- Ferede, T.; Ayenew, A.B.; Hanjra, M.A.; Hanjra, M. Agroecology matters: Impacts of climate change on agriculture and its implications for food security in Ethiopia. Glob. Food Secur. 2013, 3, 71–112. [Google Scholar]
- Huang, X.; Huang, X.; He, Y.; Yang, X. Assessment of livelihood vulnerability of land-lost farmers in urban fringes: A case study of Xi’an, China. Habitat Int. 2017, 59, 1–9. [Google Scholar] [CrossRef]
- Hurni, H.; Berhe, W.; Chadhokar, P.; Daniel, D.; Gete, Z.; Grunder, M.; Kassaye, G. Soil and water conservation in Ethiopia: Guidelines for development agents. In Centre for Development and Environment (CDE); Bern Open Publishing (BOP): Bern, Switzerland, 2016. [Google Scholar]
- Nigussie, Z.; Tsunekawa, A.; Haregeweyn, N.; Adgo, E.; Nohmi, M.; Tsubo, M.; Aklog, D.; Meshesha, D.T.; Abele, S. Farmers’ perception about soil erosion in Ethiopia. Land Degrad. Dev. 2017, 28, 401–411. [Google Scholar] [CrossRef]
- Berihun, M.L.; Tsunekawa, A.; Haregeweyn, N.; Meshesha, D.T.; Adgo, E.; Tsubo, M.; Masunaga, T.; Fenta, A.A.; Sultan, D.; Yibeltal, M. Hydrological responses to land use/land cover change and climate variability in contrasting agro-ecological environments of the Upper Blue Nile basin, Ethiopia. Sci. Total Environ. 2019, 689, 347–365. [Google Scholar] [CrossRef]
- Abeje, M.T.; Tsunekawa, A.; Adgo, E.; Haregeweyn, N.; Nigussie, Z.; Ayalew, Z.; Elias, A.; Molla, D.; Berihun, D. Exploring Drivers of Livelihood Diversification and Its Effect on Adoption of Sustainable Land Management Practices in the Upper Blue Nile Basin, Ethiopia. Sustainability 2019, 11, 1–23. [Google Scholar]
- Nigussie, Z.; Tsunekawa, A.; Haregeweyn, N.; Adgo, E.; Nohmi, M.; Tsubo, M.; Aklog, D.; Meshesha, D.T.; Abele, S. Factors affecting small-scale farmers’ land allocation and tree density decisions in an acacia decurrens-based taungya system in Fagita Lekoma District, North-Western Ethiopia. Small-Scale For. 2017, 16, 219–233. [Google Scholar] [CrossRef]
- Cochran, W.G. Sampling Techniques; John Wiley & Sons: New York, NY, USA, 1977. [Google Scholar]
- Abdi, H. The Kendall rank correlation coefficient. In Encyclopedia of Measurement and Statistics; Sage: Thousand Oaks, CA, USA, 2007; pp. 508–510. [Google Scholar]
- Thomas, B.; McKee, N.J.D. The Relationship of Drought Frequency and Duration to Time Scale. In Proceedings of the 8th conference on Applied Climatology, Boston, MA, USA, January 1993; pp. 179–183. [Google Scholar]
- Tigkas, D.; Vangelis, H.; Tsakiris, G. DrinC: A software for drought analysis based on drought indices. Earth Sci. Inf. 2015, 8, 697–709. [Google Scholar] [CrossRef]
- DFID, U. Sustainable Livelihoods Guidance Sheets; DFID: London, UK, 1999. [Google Scholar]
- Beccari, B. A comparative analysis of disaster risk, vulnerability and resilience composite indicators. PLoS Curr. 2016, 8. [Google Scholar] [CrossRef]
- Miller, H.J.; Witlox, F.; Tribby, C.P. Developing context-sensitive livability indicators for transportation planning: A measurement framework. J. Transp. Geogr. 2013, 26, 51–64. [Google Scholar] [CrossRef]
- Yang, W.; Xu, K.; Lian, J.; Ma, C.; Bin, L. Integrated flood vulnerability assessment approach based on TOPSIS and Shannon entropy methods. Ecol. Indic. 2018, 89, 269–280. [Google Scholar] [CrossRef]
- Shen, P.; You, H.; Wu, C. A study on obstacle diagnosis and support system of sustainable urban land use of Huangshi city in Hubei Province. In Proceedings of the 18th international symposium on advancement of construction management and real estate, Berlin, Germany, May 2014; pp. 139–146. [Google Scholar]
- Nigussie, Z.; Tsunekawa, A.; Haregeweyn, N.; Adgo, E.; Nohmi, M.; Tsubo, M.; Aklog, D.; Meshesha, D.T.; Abele, S. Factors influencing small-scale farmers’ adoption of sustainable land management technologies in north-western Ethiopia. Land Use Policy 2017, 67, 57–64. [Google Scholar] [CrossRef]
- Grothmann, T.; Petzold, M.; Ndaki, P.; Kakembo, V.; Siebenhüner, B.; Kleyer, M.; Yanda, P.; Ndou, N. Vulnerability assessment in african villages under conditions of land use and climate change: Case studies from Mkomazi and Keiskamma. Sustainability 2017, 9, 976. [Google Scholar] [CrossRef]
- Fenta, A.A.; Yasuda, H.; Shimizu, K.; Haregeweyn, N.; Kawai, T.; Sultan, D.; Ebabu, K.; Belay, A.S. Spatial distribution and temporal trends of rainfall and erosivity in the Eastern Africa region. Hydrol. Process. 2017, 31, 4555–4567. [Google Scholar] [CrossRef]
- Teshome, M. Rural households’ agricultural land vulnerability to climate change in Dembia woreda, Northwest Ethiopia. Environ. Syst. Res. 2016, 5, 14. [Google Scholar] [CrossRef]
- Abebe, G. Long-term climate data description in Ethiopia. Data Brief 2017, 14, 371–392. [Google Scholar] [CrossRef]
- Alemayehu, A.; Bewket, W. Local spatiotemporal variability and trends in rainfall and temperature in the central highlands of Ethiopia. Geogr. Ann. 2017, 99, 85–101. [Google Scholar] [CrossRef]
- Samy, A.; Ibrahim, M.G.; Mahmod, W.E.; Fujii, M.; Eltawil, A.; Daoud, W. Statistical Assessment of Rainfall Characteristics in Upper Blue Nile Basin over the Period from 1953 to 2014. Water 2019, 11, 468. [Google Scholar] [CrossRef]
- Deressa, T.T.; Hassan, R.M.; Ringler, C. Perception of and adaptation to climate change by farmers in the Nile basin of Ethiopia. J. Agric. Sci. 2011, 149, 23–31. [Google Scholar] [CrossRef]
- Kasie, T.A.; Adgo, E.; Botella, A.G.; García, I.G. Measuring resilience properties of household livelihoods and food security outcomes in the risky environments of Ethiopia. Rev. Iberoam. Estud. Desarro. 2018, 7, 52–80. [Google Scholar] [CrossRef]
- Berihun, M.L.; Tsunekawa, A.; Haregeweyn, N.; Meshesha, D.T.; Adgo, E.; Tsubo, M.; Masunaga, T.; Fenta, A.A.; Sultan, D.; Yibeltal, M. Exploring land use/land cover changes, drivers and their implications in contrasting agro-ecological environments of Ethiopia. Land Use Policy 2019, 87, 104052. [Google Scholar] [CrossRef]
- Quandt, A.K.; Neufeldt, H.; McCabe, J.T. The role of agroforestry in building livelihood resilience to floods and drought in semiarid Kenya. Ecol. Soc. 2017, 22. [Google Scholar] [CrossRef]
- UNDP. Benishangul-Gumuz Regional State REDD+Design: A Regional Model for REDD+ under the UNFCCC Warsaw Framework; Center for International Forestry Research (CIFOR): Bogor, Indonesia, 2017; pp. 1–12. [Google Scholar]
- Rurinda, J.; Mapfumo, P.; Van Wijk, M.; Mtambanengwe, F.; Rufino, M.C.; Chikowo, R.; Giller, K.E. Sources of vulnerability to a variable and changing climate among smallholder households in Zimbabwe: A participatory analysis. Clim. Risk Manag. 2014, 3, 65–78. [Google Scholar] [CrossRef]
- Oo, A.T.; Van Huylenbroeck, G.; Speelman, S. Assessment of climate change vulnerability of farm households in Pyapon District, a delta region in Myanmar. Int. J. Disaster Risk Reduct. 2018, 28, 10–21. [Google Scholar] [CrossRef]
- Nega, F.; Mausch, K.; Rao, K.; Legesse, G. Scoping Study on Current Situation and Future Market Outlook of Groundnut in Ethiopia, Socioeconomics; Discussion Paper Series 38; International Crops Research Institute for the Semi-Arid Tropics (lCRISAT): Andhra Pradesh, India, 2015. [Google Scholar]
- Reddy, T.; Reddy, V.; Anbumozhi, V. Physiological responses of groundnut (Arachis hypogea L.) to drought stress and its amelioration: A critical review. Plant Growth Regul. 2003, 41, 75–88. [Google Scholar] [CrossRef]
- Ebabu, K.; Tsunekawa, A.; Haregeweyn, N.; Adgo, E.; Meshesha, D.T.; Aklog, D.; Masunaga, T.; Tsubo, M.; Sultan, D.; Fenta, A.A. Analyzing the variability of sediment yield: A case study from paired watersheds in the Upper Blue Nile basin, Ethiopia. Geomorphology 2018, 303, 446–455. [Google Scholar] [CrossRef]
- Keshavarz, M.; Maleksaeidi, H.; Karami, E. Livelihood vulnerability to drought: A case of rural Iran. Int. J. Disaster Risk Reduct. 2017, 21, 223–230. [Google Scholar] [CrossRef]
- Jamshed, A.; Rana, I.A.; Mirza, U.M.; Birkmann, J. Assessing relationship between vulnerability and capacity: An empirical study on rural flooding in Pakistan. Int. J. Disaster Risk Reduct. 2019, 36, 101109. [Google Scholar] [CrossRef]
- Nigussie, Z.; Tsunekawa, A.; Haregeweyn, N.; Adgo, E.; Cochrane, L.; Floquet, A.; Abele, S. Applying Ostrom’s institutional analysis and development framework to soil and water conservation activities in north-western Ethiopia. Land Use Policy 2018, 71, 1–10. [Google Scholar] [CrossRef]
- Lavers, T. Responding to land-based conflict in Ethiopia: The land rights of ethnic minorities under federalism. Afr. Aff. 2018, 117, 462–484. [Google Scholar] [CrossRef]
- Teklemariam, D.; Azadi, H.; Nyssen, J.; Haile, M.; Witlox, F. How sustainable is transnational farmland acquisition in Ethiopia? Lessons learned from the Benishangul-Gumuz Region. Sustainability 2016, 8, 213. [Google Scholar] [CrossRef]
- Kassie, B.T.; Hengsdijk, H.; Rötter, R.; Kahiluoto, H.; Asseng, S.; Van Ittersum, M. Adapting to climate variability and change: Experiences from cereal-based farming in the Central Rift and Kobo Valleys, Ethiopia. Environ. Manag. 2013, 52, 1115–1131. [Google Scholar] [CrossRef] [PubMed]
- Di Falco, S.; Veronesi, M.; Yesuf, M. Does adaptation to climate change provide food security? A micro-perspective from Ethiopia. Am. J. Agric. Econ. 2011, 93, 829–846. [Google Scholar] [CrossRef]
- Call, M.; Gray, C.; Jagger, P. Smallholder responses to climate anomalies in rural Uganda. World Dev. 2019, 115, 132–144. [Google Scholar] [CrossRef] [PubMed]
- Deressa, T.T.; Hassan, R.M.; Ringler, C.; Alemu, T.; Yesuf, M. Determinants of farmers’ choice of adaptation methods to climate change in the Nile Basin of Ethiopia. Glob. Environ. Chang. 2009, 19, 248–255. [Google Scholar] [CrossRef]
- Burton, I.; Soussan, J.; Hammill, A. Livelihoods and Climate Change: Combining Disaster Risk Reduction, Natural Resource Management and Climate Change Adaptation in a New Approach to the Reduction of Vulnerability and Poverty; International Inst. for Sustainable Development: Winnipeg, Canada, 2003. [Google Scholar]
- Adger, W.N. Social vulnerability to climate change and extremes in coastal Vietnam. World Dev. 1999, 27, 249–269. [Google Scholar] [CrossRef]
- Nabikolo, D.; Bashaasha, B.; Mangheni, M.; Majaliwa, J. Determinants of climate change adaptation among male and female headed farm households in eastern Uganda. Afr. Crop Sci. J. 2012, 20, 203–212. [Google Scholar]
- Alhassan, S.I.; Kuwornu, J.K.; Osei-Asare, Y.B. Gender dimension of vulnerability to climate change and variability: Empirical evidence of smallholder farming households in Ghana. Int. J. Clim. Chang. Strateg. Manag. 2019, 11, 195–214. [Google Scholar] [CrossRef]
- Sujakhu, N.M.; Ranjitkar, S.; He, J.; Schmidt-Vogt, D.; Su, Y.; Xu, J. Assessing the Livelihood Vulnerability of Rural Indigenous Households to Climate Changes in Central Nepal, Himalaya. Sustainability 2019, 11, 2977. [Google Scholar] [CrossRef]






| Dimensions | Components | Vulnerability Indicators | Summary Statistics | p-Values | References | ||
|---|---|---|---|---|---|---|---|
| Aba Gerima | Guder | Dibatie | |||||
| Exposure (Exp) | Climate | Mean standard deviation of monthly average rainfall (mm) | 44.8 | 87.1 | 43.4 | [31,57] | |
| Mean standard deviation of monthly average of average minimum daily temperature (°C) | 12.7 | 9.5 | 14.6 | a ** | [32] | ||
| Mean standard deviation of monthly average of average maximum daily temperature (°C) | 27.5 | 25.2 | 28.1 | a ** | [32] | ||
| Frequency of climate-related hazards (no.) | 2.9 | 2.3 | 3.6 | a ** | [32] | ||
| Access to warning information (%) | 55.4 | 44 | 91.5 | b *** | [57] | ||
| SPI for the wet season | 0.016 | 0.02 | 0.01 | [57,58] | |||
| Adaptive capacity (AdapCap) | Sociodemographic | Age of household head (years) | 48 | 53 | 45 | a ** | [32] |
| Dependency ratio (%) | 0.91 | 0.72 | 0.94 | a ** | [31] | ||
| Households with female heads (%) | 13 | 20 | 10 | b ** | [31] | ||
| Household heads who have not attended school (%) | 79.2 | 72.7 | 62.0 | b *** | [29,31] | ||
| Livelihood strategies | Households without members working outside the community (%) | 3.9 | 38.6 | 27.9 | b *** | [29,31] | |
| Households with no other source of income | 25.8 | 34.2 | 40.1 | b *** | [29,31] | ||
| Agricultural Livelihood Diversification Index | 0.29 | 0.29 | 0.26 | a *** | [29,31] | ||
| Livestock Diversification Index | 0.6 | 0.24 | 0.61 | a *** | [29,31] | ||
| Households who have not participated in natural resource management activities (%) | 30 | 16 | 65 | b *** | [31,58] | ||
| Social networks | Average receive-give ratio (%) | 1.06 | 1.27 | 1.07 | a *** | [29,58] | |
| Borrow-lend ratio (%) | 0.32 | 0.18 | 0.16 | a ** | [29,58] | ||
| Households are not members of community-based organizations (%) | 4 | 2 | 11 | b ** | [29,58] | ||
| Households are not members of farmer-based organizations (%) | 6.15 | 57.6 | 24.8 | b *** | [29,58] | ||
| Households who have not gone to local government (%) | 33.33 | 13.6 | 82.2 | b *** | [58] | ||
| Households who have no communication devices (%) | 52.31 | 39.4 | 20.2 | b *** | [58] | ||
| Sensitivity (Sen) | Health | Walking distance to health service (′) | 56.77 | 68.4 | 34.2 | a *** | [32] |
| Households who reported chronic illness (%) | 25.38 | 14.4 | 49.6 | b *** | [32] | ||
| Households where a member missed work/school due to illness (%) | 35.38 | 30.3 | 53.5 | b *** | [32] | ||
| Number of times where households were exposed to epidemics | 1.4 | 0.5 | 1.5 | a *** | [32] | ||
| Food | Households mainly dependent on family farm for food (%) | 95.4 | 74.2 | 91.5 | a *** | [31,58] | |
| Average number of months households struggle to get food (no.) | 0.2 | 1.3 | 0.3 | a *** | [32] | ||
| Households who did not save seed (%) | 37 | 34 | 25 | b * | [32] | ||
| Average crop diversification (index) | 0.24 | 0.39 | 0.37 | a *** | [29,58] | ||
| Households with plots with high soil erosion status (%) | 8 | 14 | 6 | b *** | [32] | ||
| Water | Households who reported water conflicts (%) | 12.3 | 3.0 | 9.3 | b ** | [31] | |
| Households who reported lack of consistent access to water (%) | 68.5 | 47 | 83.7 | b *** | [29,31] | ||
| Average walking time to water source (′) | 0.09 | 0.15 | 0.1 | a *** | [31] | ||
| Climate Variable | Watershed | Mann–Kendall Test | Pettitt’s Test | ||||
|---|---|---|---|---|---|---|---|
| Zc | p | K | p | ||||
| Rainfall | Guder | 1.30 | 0.20 | A | 134.00 | 0.20 | A |
| Aba Gerima | 0.90 | 0.30 | A | 108.00 | 0.60 | A | |
| Dibatie | 0.40 | 0.90 | A | 68.00 | 0.40 | A | |
| Temperature | Guder | 3.92 | <0.0001 | R | 272.00 | <0.0001 | R |
| Aba Gerima | 2.07 | 0.04 | R | 172.00 | 0.03 | R | |
| Dibatie | 4.55 | <0.0001 | R | 258.00 | <0.0001 | R | |
© 2019 by the authors. Licensee MDPI, Basel, Switzerland. This article is an open access article distributed under the terms and conditions of the Creative Commons Attribution (CC BY) license (http://creativecommons.org/licenses/by/4.0/).
Share and Cite
Abeje, M.T.; Tsunekawa, A.; Haregeweyn, N.; Nigussie, Z.; Adgo, E.; Ayalew, Z.; Tsubo, M.; Elias, A.; Berihun, D.; Quandt, A.; et al. Communities’ Livelihood Vulnerability to Climate Variability in Ethiopia. Sustainability 2019, 11, 6302. https://doi.org/10.3390/su11226302
Abeje MT, Tsunekawa A, Haregeweyn N, Nigussie Z, Adgo E, Ayalew Z, Tsubo M, Elias A, Berihun D, Quandt A, et al. Communities’ Livelihood Vulnerability to Climate Variability in Ethiopia. Sustainability. 2019; 11(22):6302. https://doi.org/10.3390/su11226302
Chicago/Turabian StyleAbeje, Misganaw Teshager, Atsushi Tsunekawa, Nigussie Haregeweyn, Zerihun Nigussie, Enyew Adgo, Zemen Ayalew, Mitsuru Tsubo, Asres Elias, Daregot Berihun, Amy Quandt, and et al. 2019. "Communities’ Livelihood Vulnerability to Climate Variability in Ethiopia" Sustainability 11, no. 22: 6302. https://doi.org/10.3390/su11226302
APA StyleAbeje, M. T., Tsunekawa, A., Haregeweyn, N., Nigussie, Z., Adgo, E., Ayalew, Z., Tsubo, M., Elias, A., Berihun, D., Quandt, A., Berihun, M. L., & Masunaga, T. (2019). Communities’ Livelihood Vulnerability to Climate Variability in Ethiopia. Sustainability, 11(22), 6302. https://doi.org/10.3390/su11226302

