Abstract
Loess is a typical collapsible soil, which is widely distributed in the upper and middle areas around the Yellow River of China. The stabilization of loess with lime provides a significant improvement in the physical and the mechanical characteristics of the loess and is therefore widely used in the pavement base and subgrade. Therefore, a systematic investigation of Mohr-Coulomb failure envelope of lime stabilized loess needs to be conducted. In this pursuit, the present research envisages the investigation of the effects of the lime content, porosity and curing time on the strength parameters (friction angle (φ) and cohesion (c)), using a series of triaxial tests performed on lime stabilized loess specimens. The experimental results revealed that the friction angle (φ) was independent of the lime content, the porosity and the curing time of the specimen for a given lime stabilized loess, while the factors mentioned above had a significant effect on the cohesion (c) of the lime stabilized loess. For a relatively short curing time (7 days), the change in the lime content did not present an obvious effect on the cohesion (c) of the stabilized loess. However, when the curing time (28, 90 and 180 days) was longer, the increase of the lime content significantly enhanced the cohesion of the stabilized loess. When the lime content was constant, the cohesion (c) of the stabilized loess increased linearly with the decrease in the void ratio. A power function equation was proposed to assess the comprehensive influences of the factors like the lime content, porosity and curing time on cohesion (c). Finally, the Mohr-Coulomb failure envelopes were drawn based on the triaxial test for 47 specimens with various curing time and confining pressure, and the shear strength parameters obtained by the proposed equation were also compared with the experimental results.
1. Introduction
The loess is mainly distributed in the upper and middle areas of China’s Yellow River and covers approximately 631,000 km2 of the mainland, which is over 6% of the territory of China [1]. The loess is mainly composed of clay particles, silt-sized mineral particles and quartz particles, and characterized by high porosity, metastable microstructure and water-sensitivity [2]. In an unsaturated state, it has a certain strength and stability due to the connection by bonding between the quartz particles inside the loess [3]. However, these bonds can break down after immersing in water or applying a greater stress, which can result in the collapse and deformation of the structure [4]. Furthermore, it may even lead to serious geotechnical disasters, such as uneven settlement of the foundation, landslides and ground fissures [5,6,7,8], and has thus attracted attention from scientists and engineers worldwide [9,10,11,12,13,14].
The stabilization of soil by cementitious agents such as lime, cement and fly ash to obtain excellent engineering performance [15,16,17], has developed into a mature technology around the world [18,19,20,21,22,23]. Lime is commonly applied to improve the fine-grained soils due to its technical efficiency and low cost [24,25]. The improvement was mainly attributed to the physicochemical effects of cation exchange, pozzolanic reactions and crystallization within the soil structure [26]. Generally, cation exchange results in aggregate formation, which leads to the improvement in plasticity, compaction characteristics and workability. During this process, the exchange of calcium ions with monovalent cations (e.g., Na+, K+ and H+) associated with the soil lattice results in a reduction in the thickness of the electrical double layer, which leads to a closer proximity for soil particles. Correspondingly, the increase of their mutual attraction causes the flocculation of soil particles [27,28,29,30,31]. After the short cation exchange processes, the pozzolanic reactions occur in the mixture. It induces the cementation of soil particles and fills with new cementitious materials within the voids of the flocculated fabric, which improves the mechanical properties of the soil such as strength, stiffness and stability [32]. Some research results also indicated that the application of lime in stabilized soil can enhance its durability, and reduce the compressibility and hydraulic conductivity [26,30,33].
To evaluate the influence of the lime content and porosity on tensile and compressive strength, numerous studies were performed by Consoli et al. [34] on lime stabilized soil, and the results indicated that an increase in lime content caused a linear growth in the tensile and the compressive strength, while the porosity showed the opposite trend. In addition, the void/lime ratio adjusted by a power coefficient has demonstrated to be an accurate parameter to assess the tensile and compressive strength of the lime stabilized soil. To date, the Coulomb criterion is generally used to establish a failure envelope for the stabilized soil with a specific amount of stabilization agent and porosity. However, the determination of parameters for the Mohr-Coulomb failure envelope of stabilized soils requires carrying out the triaxial test or direct shear test, which are complex and time-consuming [35].
In recent years, many researchers have contributed great efforts in the determination of parameters (friction angle (φ) and cohesion (c)) of the Mohr–Coulomb failure envelope of stabilized soil. Mitchell [36] investigated the Mohr–Coulomb failure envelope parameters of treated granular soils, and showed that the friction angle varied from 40° to 45°. Additionally, the relationship between cohesion (c) and unconfined compressive strength (qc) was also established by Mitchell, as: c = 0.225qc + 50 (in kPa) [36]. Subsequently, Brown [37] reported that the friction angle varied from 40° to 60° and the cohesion was approximately a few thousand kPa. Consoli et al. [38] conducted numerous splitting tensile tests and unconfined compressive tests on lime-fly ash treated soil. Their results indicated that the change in lime content, porosity and curing time can cause a significant effect on unconfined compressive strength or splitting tensile strength. However, the ratio of unconfined compressive strength to splitting tensile strength is independent of the above factors and tends to be a constant value, which is related to the friction angle of the treated soil. In other words, for a given treated soil, it has a constant friction angle, regardless of the lime content, porosity and curing time, and may be related to its particle size distribution. Furthermore, Consoli et al. established a function between the cohesion and splitting tensile strength (or unconfined compressive strength) of the treated soil [39,40]. An extensive amount of triaxial tests related to the loess have been carried out worldwide for the past several decades, and the research has mainly focused on the mechanical behavior and failure characteristics of loess. The relationship between the Mohr–Coulomb failure envelope parameters and the factors mentioned above (lime content, porosity and curing time) has not yet been sufficiently addressed.
In this paper, a functional relationship to evaluate the shear strength parameters was established by conducting a series of triaxial tests. The relationship was also successfully validated for stabilized loess with different lime content and porosity, considering 7, 28, 90 and 180 days of curing, based on which, shear strength parameters were obtained only by conducting simpler, less costly and time-consuming tests, such as the density test and specific gravity test.
2. Materials and Experimental
2.1. Materials
The loess was collected from an excavation site in Lanzhou city, China. To obtain a homogeneous state in its particle distribution, the collected loess was air-dried, and crushed with a rubber hammer, until the powdered loess passed through the sieve with a 0.5 mm aperture. Subsequently, the physical properties of the loess such as specific gravity and Atterberg limits were obtained by using the water pycnometer method described in ASTM D854 [41] and the fall cone test in accordance to the Chinese standard procedures GB/T50123 [42], respectively. The other physical properties were obtained by referring to the literature related to Lanzhou loess [43], and listed in Table 1.
Table 1.
Physical properties of loess.
Hydrated lime with a specific gravity of 2.49 was purchased from Hengwang Environmental Protection Company (China). The chemical composition of lime was obtained by X-ray diffraction and presented in Table 2.
Table 2.
Chemical compositions of lime.
2.2. Standard Compaction Test
The standard compaction test is generally performed to determine the maximum dry density, the optimum moisture content, and to achieve the target in-situ degree of compaction. In this study, standard compaction tests were carried out to estimate the optimum moisture contents and the corresponding maximum dry densities of the stabilized loess on all mix ratios following procedures described in ASTM D698 [44]. The results of the standard compaction test were used as the basis for the density and moisture content required to prepare the triaxial specimens. The preparation process of sample for the standard compaction test was similar to that of the triaxial compression test soil sample. During the compaction tests, the mixture was compacted in three layers into a cylindrical metal mold with a hammer (Figure 1a). The relationships of the dry density and water content of different stabilized loess (lime contents of 10%, 16% and 23%) are presented in Figure 2.
Figure 1.
Apparatus for compaction (a) and triaxial compression test (b) [14].
Figure 2.
Relationships of dry density and water content of different stabilized loess and the corresponding molding points.
The molding points for the triaxial compression tests are summarized in Table 3. Combining with the experimental procedure of Consoli et al. [34] and the results of the standard compaction test, 5 molding points (A, B, C, D and E) were set in this study. At points A, B and C, the loess was stabilized with a different content of lime. The lime percentages used were chosen based on the field experience of loess stabilization with lime. The obtained values for the maximum dry density were 1.71, 1.66, and 1.58 g/cm3 for stabilized loess with 10%, 16% and 23% lime, respectively (volumetric ratios of lime to loess were 2:8, 3:7 and 4:6, respectively). The corresponding optimum moisture content was 16.8, 17.97, and 19.4%, respectively. At point C, D, and E, the lime stabilized loess specimens contained the same moisture content (19.4%) and lime content (23%), but different dry density values in order to investigate the effect of porosity on its strength behavior. The dry density was controlled to be 1.58, 1.48, and 1.38 g/cm3 for the lime stabilized loess specimens at points C, D, and E. Moreover, the specimens at point D were prepared with three different lime percentages: 10%, 16% and 23% to investigate the effects of lime content on its strength behavior.
Table 3.
Characteristics of molding points.
2.3. Triaxial Compression Test
The specimens used in the triaxial compression tests were cylinders with a height of 125 mm and a diameter of 61.8 mm, and the height to diameter ratio was approximately 2. The requisite quantities of lime, loess and water were first pre-weighed. The dry mixture of lime and loess was mixed using a cement mortar mixer. The required amount of water was then added to the dry mixture, and rapidly mixed until a uniform mixture was obtained. Subsequently, the mixture was placed into a sealed plastic bag for 24 h under indoor temperature to achieve moisture equilibrium.
The mixture was compacted in five layers into a 125-mm-height and 61.8-mm-internal diameter cylindrical steel mold to acquire a homogeneous lime stabilized loess. After the molding process, the specimens were extracted from the mold, labelled and placed in a suitable container immediately to prevent a further loss of moisture. After the preparation of all 240 specimens, in which, there are 23 spare specimens, they were cured in a humid room at a controlled humidity of above 95% and temperature of 20 ± 2 °C for different time points of 7 days, 28 days, 90 days and 180 days. To obtain reliable experimental results, the curing condition of all specimens was consistent.
The static consolidated drained triaxial tests were conducted to obtain the failure envelope parameters of the lime stabilized loess samples in accordance with ASTM D7181 [45]. The apparatus for the triaxial compression test is presented in Figure 1b. The confining pressure was 50, 100, 150, 200, 250, 300 and 400 kPa for the specimens with 7days of curing time, and was 50, 100, 150, 200, 250, 300, 400 and 500 kPa for the specimens with 28, 90, 180 days of curing time. The stress-strain relation of the lime stabilized loess was constructed for each specimen from the history of axial stress and strain.
The determination of the failure envelope parameters of soil generally requires carrying out triaxial tests on more than three specimens under different minimum principal stress and maximum principal stress. After the laboratory tests, the corresponding Mohr Circles and common tangent are drawn, and the gradient and intercept of the common tangent are the tangent value of friction angle (φ) and cohesion (c) of the tested lime stabilized loess, respectively.
3. Results and Discussion
3.1. Effect of Lime Content, Porosity and Curing Time on the Friction Angle (φ)
Figure 3 depicts the deviatoric stress-axial strain curves for the drained triaxial compression tests on molding points A and C with 90 days of curing, and at molding point B with 7, 28, 90 and 180 days of curing. The confining pressures applied on the specimens with 28, 90 and 180 days of curing were 50, 100, 150, 200, 250, 300, 400 and 500 kPa, and the confining pressures applied on the specimens with 7 days of curing were 50, 100, 150, 200, 250, 300 and 400 kPa.
Figure 3.
Deviatoric stress-axial strain curves for the drained triaxial compression tests: (a) molding points B for 7 days of curing; (b) molding points B for 28 days of curing; (c) molding points B for 90 days of curing; (d) molding points B for 180 days of curing; (e) molding points A for 90 days of curing; (f) molding points C for 90 days of curing.
It can be observed from Figure 3 that the deviatoric stress-axial strain curves of the lime stabilized loess presents a strain-hardening characteristic up to a peak (the critical value of the transition from the plastic phase to the failure phase when the specimen is under loading process), which occurs at small strains, and then presents a softening behavior. The residual strength is much lower than the peak strength at low confining pressures. However, the difference between the peak strength and the residual strength decreases with an increase in the confining pressure, while the lime content and curing time showed the opposite trend. This indicates that the brittleness of the specimens decreases with an increase in the confining pressure, while the brittleness increases with an increase in the lime content and the curing time.
Figure 4 shows the friction angle of specimens with 10 to 23% lime contents and 1.38 to 1.71 g/cm3 dry density and cured for 7 days, 28 days, 90 days and 180 days, respectively. It can be readily seen that no correlation can be observed between the friction angle and the lime content or the dry density of lime stabilize loess specimens for all curing time.
Figure 4.
Effect of lime content and dry density on friction angles of specimens at all molding points with all curing time.
Table 4 shows the results of friction angle (φ) for the lime stabilized loess considering all scenarios with 7, 28, 90 and 180 days of curing. It can be seen from Table 4 that the friction angle φ of the lime stabilized loess ranges from 36.5° to 38°. The mean, median and standard deviation of the results obtained for the friction angle were 37.25, 37.25 and 0.37, respectively. The change in the amount of lime, the porosity and the time of curing did not lead to a significant effect on the friction angle φ. This indicates that the friction angle φ may be independent of the factors mentioned above for a given lime stabilized loess. This observation was consistent with the previous studies of Consoli et al. [39].
Table 4.
The friction angle for lime stabilized loess at curing time of 7, 28, 90 and 180 days.
Figure 5 depicts the shear failure planes of the representative lime stabilized loess specimens in the triaxial compression test, including the specimens on molding points A and C with 90 days of curing, and the specimens on point B with 7, 28, 90 days of curing. In order to further verify the reliability of the above test results, the shear failure angle between the shear failure plane and the major principal plane was determined for each specimen, and the shear failure plane was marked with a red line, as shown in Figure 5.
Figure 5.
Failure plane of specimens: (a) molding point B for 7 days of curing; (b) molding point B for 28 days of curing; (c) molding point B for 90 days of curing; (d) molding point A for 90 days of curing; (e) molding point C for 90 days of curing.
After curing for 180 days, most of the specimens were pressured into pieces when they were taken out of the rubber film, and thus the angle between the shear failure plane and the major principal plane could not be measured. The results listed in Table 5 show that the majority of the shear failure angles ranged from 63° to 68°. According to the Mohr-Coulomb theory, the shear failure angle has a good relation with the friction angle φ, which is known as (45° + φ/2). Combining with the measured shear failure angles, the estimated values of φ varied from 36° to 46°, the mean and median of which were 41.5° and 42°, respectively, and the percentage difference of mean and median of the friction angle obtained by these two approaches were 11.4% and 12.8%, respectively. It can be seen that the φ calculated from the shear failure angle is quite close to the measured values from the triaxial compression test. Furthermore, using the average (37.25°) of the measured friction angles, 45 + 37.25°/2 = 63.6°, the value obtained is closer to 63% (the lower limit of the 63–68° range).
Table 5.
The angle of shear plane to the horizontal of specimens for 7, 28, 90 and 180 days of curing.
3.2. Effect of Lime Content, Porosity and Curing Time on the Cohesion (c)
Figure 6 illustrates the experimentally determined cohesion c of the lime stabilized loess on molding point D for 7, 28, 90 and 180 days of curing. In addition, cohesion c was linearly fitted as a function of the lime content. For 7 days of curing, the cohesion c of the lime stabilized loess increased up to a lime content of 16%, but then showed a slightly decreasing trend when the lime content was increased to 23%, which led to a lower R2 value (0.221). After 28, 90 and 180 days of curing, the variations of cohesion c exhibited a continuously increasing trend with an increase in lime content for the stabilized loess. In general, the slope of the fitted line increased with the growth in the curing age. This indicates that an increase of curing days induces the increase of the growth rate of cohesion c for the lime stabilized loess.
Figure 6.
Effect of lime content and curing time on the c of specimens at molding point D.
The variations of cohesion c of the lime stabilized loess with various porosities for all curing times are illustrated in Figure 7. It can be seen that the cohesion c (for all curing time) can be fitted as a function of the porosity for the specimens with the same dry density and lime content. The coefficients of determination (R2) of the linear regression were higher than 0.88 and sometimes even close to 1.0. Overall, the cohesion c of the lime stabilized loess decreased linearly with an increase in the porosity.
Figure 7.
Variations of cohesion c with different porosity at molding points C, D and E.
The change in shear strength is mainly related to cohesion under the same total stress (σ). For a constant curing time, the variations of strength of stabilized soil were mainly related to the porosity and the content of stabilizing agent of the mixture [46]. In the related studies of Consoli et al. [34], the strength of the lime stabilized soil was determined as a function of the ratio of voids volume to lime volume (VV/VLi), and a power (ς) was applied on the parameter VLi to improve the prediction accuracy. Therefore, it was possible to establish a relation between the cohesion of the lime stabilized loess and the ratio of voids volume to lime volume (VV/VLi). A similar improvement by adding a power (ς) was also considered. The process of obtaining the power is very tedious. During the process, amounts of different values were used as the power (ς), and then regression fitting was performed by original software to obtain different correlation coefficients (R2). The value corresponding to the maximum correlation coefficient was selected as the power.
The ratio of voids volume to lime volume (VV/VLi) is defined by Equation (1). The lime volume (VLi) and voids volume (VV) are expressed by Equations (2) and (3), respectively [34].
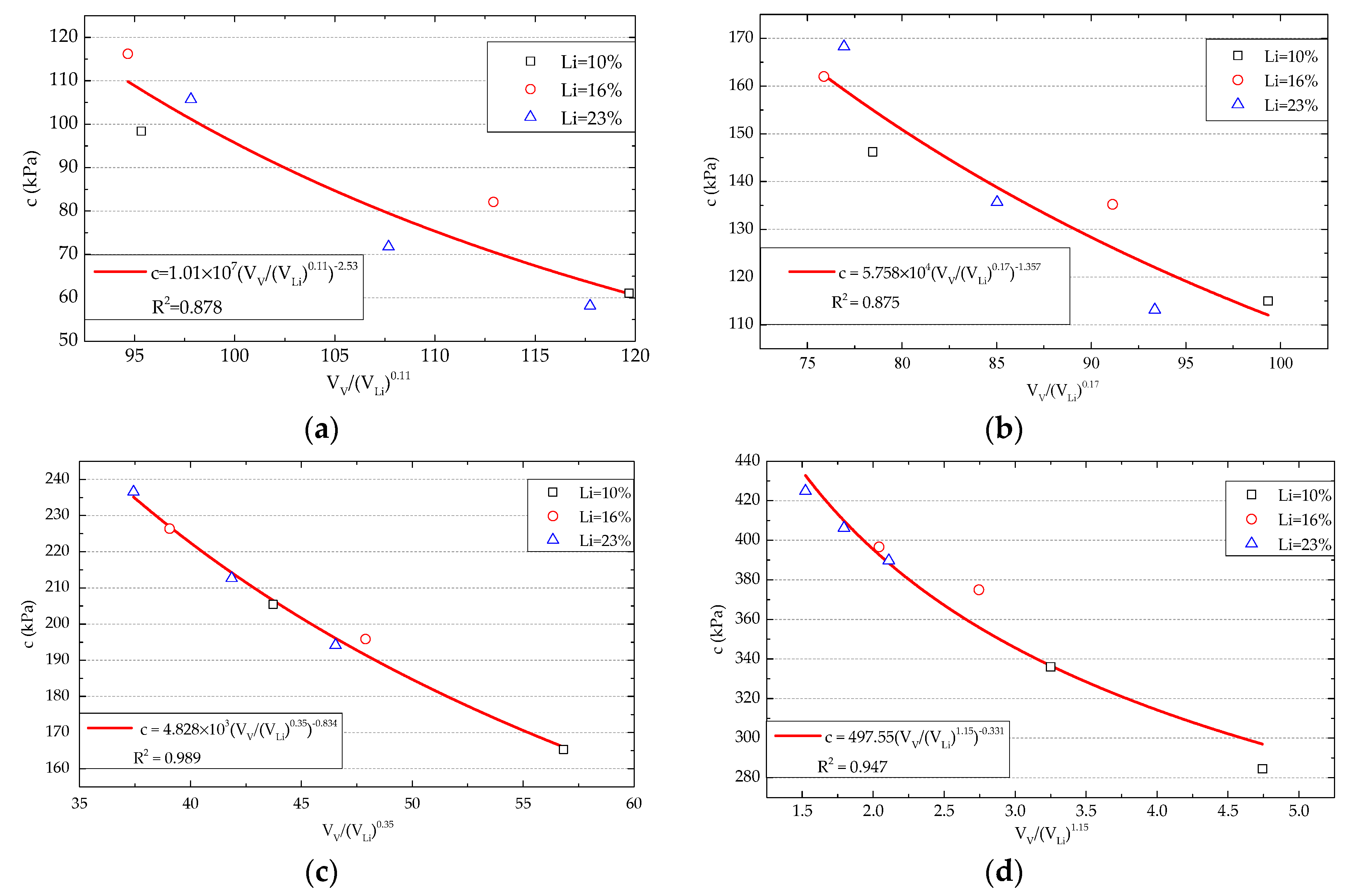
A good agreement of the experimental data of c was obtained as presented in Figure 8a–d. A good correlation between the c and Vv/(VLi)ς was achieved by using a power relationship for the lime stabilized loess with various curing periods (7 days, 28 days, 90 days and 180 days). The established relations are given by Equations (4)–(7), respectively. The nomenclatures for all the parameters are summarized in Appendix A.
Figure 8.
Variation of the cohesion c with Vv/(VLi)ς for different curing time: (a) 7 days; (b) 28 days; (c) 90 days; (d) 180 days.
It can be observed that the above formulas have evinced a higher correlation of coefficients R2, which are greater than 0.87. In addition, with an increase in curing time from 7days to 28 days, the power (ς) increased almost linearly from 0.11 to 1.15. The best fitting line is displayed in Figure 9. The correlation (R2 = 0.903) between the power (ς) and curing time could be represented by Equation (8).
Figure 9.
Variation of power (ς) for different curing time.
Furthermore, based on Equations (4)–(8), a unique relationship was obtained in the cohesion c with lime volume (VLi), voids volume (Vv), and curing time (t). Figure 10 shows that when all the points for all factors mentioned above were plotted together, a formula with a higher correlation of coefficients was still achieved between Vv/(VLi)0.00599t−0.01184 and the cohesion c of the lime stabilized loess (R2 = 0.967, see Equation (9)).
Figure 10.
Correlation of c with voids volume (VV), lime volume (VLi) and curing time (t).
The comparative analysis was conducted with the cohesion values obtained by applying Equation (9) and the values obtained from the triaxial test results for 28 groups of specimens studied. The results indicated that the percentage difference between the cohesion values obtained by the above two approaches ranged from −19% to 19.7% for 25 groups of specimens. There are specific statistical methods to validate similarity between the groups of values. This analysis can be completed in future work.
Therefore, the use of voids of compacted mixture divided by the volumetric lime content, adjusted by a power (the variation of this power is mainly controlled by the curing time) to assess the cohesion c in the lime stabilized loess studied is herein relatively accurate for all considered curing times.
Figure 11 presents the Mohr Circles of triaxial peak shear strength in a τ–σ stress space and the Mohr-Coulomb failure envelopes of the specimens studied in Figure 3. The Mohr-Coulomb failure envelopes were developed by the proposed methodology (Equation (9) and Table 4) and based on the triaxial compression test results, respectively. It can be seen that the Mohr-Coulomb failure envelopes drawn using φ = 3 6.5° to 38° and c = 6.4183 × 104[VV/(VLi)0.00599t−0.01184]0.00116+64641.32 provide a good representation of the tangent to the Mohr Circles drawn based on triaxial compression test of lime stabilized loess, by comparing the solid lines to the dash lines.
Figure 11.
Mohr–Coulomb failure envelopes of lime stabilized loess (using methodology developed in present research) (a) molding points B for 7 days of curing; (b) molding points B for 28 days of curing; (c) molding points B for 90 days of curing; (d) molding points B for 180 days of curing; (e) molding points A for 90 days of curing; (f) molding points C for 90 days of curing.
Therefore, the methodology proposed in this study is fairly reliable to access the failure envelope parameters of the lime stabilized loess and the computational process is effectively accomplished from some basic soil tests, thereby reducing the experimental cost and time to a great extent.
4. Conclusions
In pavement design, the engineers need to choose the appropriate lime content, the compaction effort and curing time to provide an optimum mixture. Therefore, the proposed formulas in this study provide a useful reference for a quick and reliable design.
The loess collected from Lanzhou city in northwest China was stabilized with different lime content, porosity and curing time, and its Mohr-Coulomb failure envelope parameters were investigated based on a series of triaxial tests. The following conclusions could be drawn:
- (1)
- The change in the amount of lime, porosity and curing time did not present an obvious effect on the friction angle of the lime stabilized loess.
- (2)
- A linear relationship was observed between the cohesion and lime content for the lime stabilized loess with different curing time.
- (3)
- A linear relationship was also established between the void ratio and the cohesion of the lime stabilized loess.
- (4)
- The relationship between the lime content, void ratio, curing time and cohesion was established by using the power function fitting regression of experimental data.
- (5)
- The specimens of the lime stabilized loess presented a brittle behavior, and the brittleness decreased with an increase in the confining pressure, while it increased with an increase in the lime content and curing period.
Author Contributions
The authors confirm their contributions to the paper as follows: L.J. and J.G. proposed the idea and wrote the paper; Y.J. and Y.F. revised the manuscript; Z.Z., S.M.L. and X.Z. reviewed the results and approved the final version of the manuscript.
Funding
This study was funded by the first-class subjects of Lanzhou University of Technology (grant number: 25-225209), National Natural Science Foundation of China (grant number: 51668018) and China Scholarship Council Foundation of China (grant number: 201809795003).
Acknowledgments
The Program of Study Abroad for Middle Age and Young Scholars supported by Lanzhou University of Technology is also acknowledged.
Conflicts of Interest
The authors declare no conflicts of interest.
Appendix A
Table A1.
Nomenclature and measure units.
Table A1.
Nomenclature and measure units.
| Li | Lime Content (%) | c | Cohesion (kPa) |
| φ | Friction Angle (°) | t | curing period (day) |
| VLi | Volume of Lime (mm3) | ρd | Dry Density (g/cm3) |
| Lo | loess content (%) | R2 | Coefficient of Determination |
| VS | Volume of Specimen (mm3) | ς | Exponential of Power Function |
| Vv | Volume of Voids (mm3) | ω | Water Content (%) |
| GsLi | Specific Gravity of Lime | GsLo | Specific Gravity of Loess |
References
- Lin, Z.; Liang, W. Distribution and engineering properties of loess and loesslike soils in China. Schematic map of engineering geological zoning. Bull. Int. Assoc. Eng. Geol. 1980, 21, 112–117. [Google Scholar] [CrossRef]
- Liu, Z.; Cai, C.S.; Liu, F.; Fan, F. Feasibility Study of Loess Stabilization with Fly Ash-Based Geopolymer. J. Mater. Civ. Eng. 2016, 28, 04016003. [Google Scholar] [CrossRef]
- Jefferson, I.; Rogers, C.; Evstatiev, D.; Karastanev, D. Treatment of Metastable Loess Soils: Lessons from Eastern Europe; Elsevier Geo-Engineering Book Series; Elsevier: Amsterdam, The Netherlands, 2005; Volume 3, pp. 723–762. [Google Scholar]
- Xie, W.; Li, P.; Zhang, M.; Cheng, T.; Wang, Y. Collapse behavior and microstructural evolution of loess soils from the Loess Plateau of China. J. Mt. Sci. 2018, 15, 1642–1657. [Google Scholar] [CrossRef]
- Peng, J.B.; Wang, F.Y.; Cheng, Y.X.; Lu, Q.Z. Characteristics and mechanism of Sanyuan ground fissures in the Weihe Basin, China. Eng. Geol. 2018, 247, 48–57. [Google Scholar] [CrossRef]
- Kruse, G.A.; Dijkstra, T.A.; Schokking, F. Effects of soil structure on soil behaviour: Illustrated with loess, glacially loaded clay and simulated flaser bedding examples. Eng. Geol. 2007, 91, 34–45. [Google Scholar] [CrossRef]
- Dijkstra, T.; Smalley, I.; Rogers, C. Particle packing in loess deposits and the problem of structure collapse and hydroconsolidation. Eng. Geol. 1995, 40, 49–64. [Google Scholar] [CrossRef]
- Derbyshire, E. Geological hazards in loess terrain, with particular reference to the loess regions of China. Earth Sci. Rev. 2001, 54, 231–260. [Google Scholar] [CrossRef]
- Zhang, F.; Wang, G. Effect of irrigation-induced densification on the post-failure behavior of loess flowslides occurring on the Heifangtai area, Gansu, China. Eng. Geol. 2018, 236, 111–118. [Google Scholar] [CrossRef]
- Feng, S.; Du, F.; Shi, Z.; Shui, W.; Tan, K. Field study on the reinforcement of collapsible loess using dynamic compaction. Eng. Geol. 2015, 185, 105–115. [Google Scholar] [CrossRef]
- Jiang, M.; Zhang, F.; Hu, H.; Cui, Y.; Peng, J. Structural characterization of natural loess and remolded loess under triaxial tests. Eng. Geol. 2014, 181, 249–260. [Google Scholar] [CrossRef]
- Liu, X.; Zhang, M.; Zhang, H.; Jia, Y.; Zhu, C.; Shan, H. Physical and mechanical properties of loess discharged from the Yellow River into the Bohai Sea, China. Eng. Geol. 2017, 227, 4–11. [Google Scholar] [CrossRef]
- Ma, F.; Yang, J.; Bai, X. Water sensitivity and microstructure of compacted loess. Transp. Geotech. 2017, 11, 41–56. [Google Scholar] [CrossRef]
- Jia, L.; Guo, J.; Zhou, Z.; Fu, Y.; Yao, K. Experimental investigation on strength development of lime stabilized loess. RSC Adv. 2019, 9, 19680–19689. [Google Scholar] [CrossRef]
- Yao, K.; Xiao, H.; Chen, D.-H.; Liu, Y. A direct assessment for the stiffness development of artificially cemented clay. Geotechnique 2019, 69, 741–747. [Google Scholar] [CrossRef]
- Yao, K.; Li, N.; Chen, D.-H.; Wang, W. Generalized hyperbolic formula capturing curing period effect on strength and stiffness of cemented clay. Constr. Build. Mater. 2019, 199, 63–71. [Google Scholar] [CrossRef]
- Yao, K.; Chen, Q.; Ho, J.; Xiao, H.; Lee, F.H. Strain-Dependent Shear Stiffness of Cement-Treated Marine Clay. J. Mater. Civ. Eng. 2018, 30, 04018255. [Google Scholar] [CrossRef]
- Pan, Y.; Yao, K.; Phoon, K.K.; Lee, F.H. Analysis of tunnelling through spatially-variable improved surrounding—A simplified approach. Tunn. Undergr. Space Technol. 2019, 93, 103102. [Google Scholar] [CrossRef]
- Pan, Y.T.; Liu, Y.; Xiao, H.W.; Lee, F.H.; Phoon, K.K. Effect of spatial variability on short- and long-term behaviour of axially-loaded cement-admixed marine clay column. Comput. Geotech. 2018, 94, 150–168. [Google Scholar] [CrossRef]
- Pan, Y.; Liu, Y.; Chen, E.J. Probabilistic investigation on defective jet-grouted cut-off wall with random geometric imperfections. Geotechnique 2019, 69, 420–433. [Google Scholar] [CrossRef]
- Corradi, M.; Sisti, R.; Borri, A. Effect of Thin Cement-Based Renders on the Structural Response of Masonry Wall Panels. Appl. Sci. 2018, 8, 98. [Google Scholar] [CrossRef]
- Yao, K.; Wang, W.; Li, N.; Zhang, C.; Wang, L. Investigation on strength and microstructure characteristics of nano-MgO admixed with cemented soft soil. Constr. Build. Mater. 2019, 206, 160–168. [Google Scholar] [CrossRef]
- Yao, K.; Pan, Y.; Jia, L.; Yi, J.T.; Hu, J.; Wu, C. Strength evaluation of marine clay stabilized by cementitious binder. Mar. Georesources Geotechnol. 2019. [Google Scholar] [CrossRef]
- Lemaire, K.; Deneele, D.; Bonnet, S.; Legret, M. Effects of lime and cement treatment on the physicochemical, microstructural and mechanical characteristics of a plastic silt. Eng. Geol. 2013, 166, 255–261. [Google Scholar] [CrossRef]
- Jia, L.; Zhang, L.; Guo, J.; Yao, K.; Lim, S.M.; Li, B.; Xu, H. Evaluation on Strength Properties of Lime–Slag Stabilized Loess as Pavement Base Material. Sustainability 2019, 11, 4099. [Google Scholar] [CrossRef]
- Gao, Y.; Qian, H.; Li, X.; Chen, J.; Jia, H. Effects of lime treatment on the hydraulic conductivity and microstructure of loess. Environ. Earth Sci. 2018, 77, 529. [Google Scholar] [CrossRef]
- Kavak, A.; Akyarlı, A. A field application for lime stabilization. Environ. Geol. 2007, 51, 987–997. [Google Scholar] [CrossRef]
- Singh, P.N.; Wallender, W.W. Effects of adsorbed water layer in predicting saturated hydraulic conductivity for clays with Kozeny-Carman equation. J. Geotech. Geoenviron. Eng. 2008, 134, 829–836. [Google Scholar] [CrossRef]
- Al-Mukhtar, M.; Lasledj, A.; Alcover, J.F. Behaviour and mineralogy changes in lime-treated expansive soil at 20 degrees C. Appl. Clay Sci. 2010, 50, 191–198. [Google Scholar] [CrossRef]
- Le Runigo, B.; Ferber, V.; Cui, Y.J.; Cuisinier, O.; Deneele, D. Performance of lime-treated silty soil under long-term hydraulic conditions. Eng. Geol. 2011, 118, 20–28. [Google Scholar] [CrossRef]
- Metelkova, Z.; Bohac, J.; Prikryl, R.; Sedlarova, I. Maturation of loess treated with variable lime admixture: Pore space textural evolution and related phase changes. Appl. Clay Sci. 2012, 61, 37–43. [Google Scholar] [CrossRef]
- Cuisinier, O.; Auriol, J.C.; Le Borgne, T.; Deneele, D. Microstructure and hydraulic conductivity of a compacted lime-treated soil. Eng. Geol. 2011, 123, 187–193. [Google Scholar] [CrossRef]
- Jha, A.K.; Sivapullaiah, P.V. Mechanism of improvement in the strength and volume change behavior of lime stabilized soil. Eng. Geol. 2015, 198, 53–64. [Google Scholar] [CrossRef]
- Consoli, N.C.; da Silva Lopes, L., Jr.; Heineck, K.S. Key Parameters for the Strength Control of Lime Stabilized Soils. J. Mater. Civ. Eng. 2009, 21, 210–216. [Google Scholar] [CrossRef]
- Consoli, N.C.; Prietto, P.D.M.; Carraro, J.A.H.; Heineck, K.S. Behavior of compacted soil-fly ash-carbide lime mixtures. J. Geotech. Geoenviron. Eng. 2001, 127, 774–782. [Google Scholar] [CrossRef]
- Mitchell, J.K. Soil improvement-state-of-the-art report. In Proceedings of the 10th International Conference on Soil Mechanics and Foundation Engineering, International Society of Soil Mechanics and Foundation Engineering, Stockholm, Sweden, 15–19 June 1981; pp. 509–565. [Google Scholar]
- Brown, R.W.; Brown, R. Practical Foundation Engineering Handbook; McGraw-Hill: New York, NY, USA, 2001. [Google Scholar]
- Consoli, N.C.; da Fonseca, A.V.; Cruz, R.C.; Heineck, K.S. Fundamental Parameters for the Stiffness and Strength Control of Artificially Cemented Sand. J. Geotech. Geoenviron. Eng. 2009, 135, 1347–1353. [Google Scholar] [CrossRef]
- Consoli, N.C. A method proposed for the assessment of failure envelopes of cemented sandy soils. Eng. Geol. 2014, 169, 61–68. [Google Scholar] [CrossRef]
- Consoli, N.C.; Festugato, L.; Consoli, B.S.; da Silva Lopes, L., Jr. Assessing failure envelopes of soil–fly ash–lime blends. J. Mater. Civ. Eng. 2014, 27, 04014174. [Google Scholar] [CrossRef]
- ASTM D854. Standard Test Methods for Specific Gravity of Soil Solids by Water Pycnometer; ASTM International: West Conshohocken, PA, USA, 2014. [Google Scholar]
- GB/T 50123-1999. Standard for Soil Test Method; Ministry of Construction P.R. China: Beijing, China, 1999. (In Chinese) [Google Scholar]
- Lv, Q.; Wang, S.; Wang, D.; Wu, Z. Water stability mechanism of silicification grouted loess. Bull. Eng. Geol. Environ. 2014, 73, 1025–1035. [Google Scholar] [CrossRef]
- ASTM D 698. Standard Test METHODS for Laboratory Compaction Characteristics of Soil Using Standard Effort [12,400 ft-lbf/ft3 (600 kN·m/m3)]; ASTM International: West Conshohocken, PA, USA, 2012. [Google Scholar]
- ASTM D7181. Method for Consolidated Drained Triaxial Compression Test for Soils; ASTM International: West Conshohocken, PA, USA, 2011. [Google Scholar]
- Consoli, N.C.; Festugato, L.; da Rocha, C.G.; Cruz, R.C. Key parameters for strength control of rammed sand-cement mixtures: Influence of types of portland cement. Constr. Build. Mater. 2013, 49, 591–597. [Google Scholar] [CrossRef]
© 2019 by the authors. Licensee MDPI, Basel, Switzerland. This article is an open access article distributed under the terms and conditions of the Creative Commons Attribution (CC BY) license (http://creativecommons.org/licenses/by/4.0/).










