Understanding Visual Engagement with Urban Street Edges along Non-Pedestrianised and Pedestrianised Streets Using Mobile Eye-Tracking
Abstract
1. Introduction
1.1. Visual Engagement with Street Edge Ground and Upper Floors
1.2. Visual Engagement with Street Edges on Different Sides of the Same Street
1.3. The Influence of Pedestrianisation upon Visual Engagement with Urban Street Edge Areas
2. Materials and Methods
2.1. Participants
2.2. Apparatus
2.3. Design
2.4. Procedure
2.5. Data Processing and Coding
3. Analysis and Results
3.1. Research Question 1a: Do People Visually Engage with Street Edge Ground Floors more than Upper Floors along (i) Non-Pedestrianised and (ii) Pedestrianised Streets?
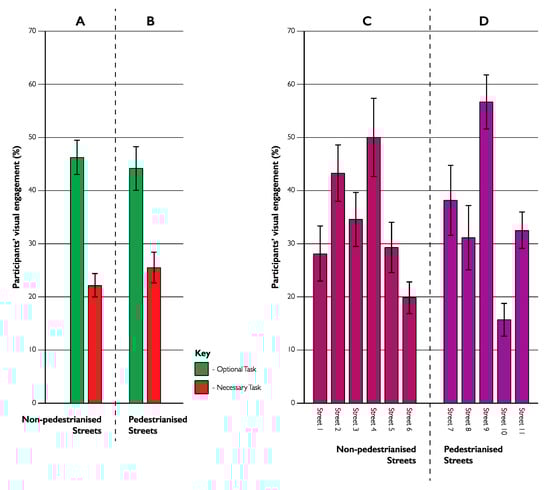
3.2. Research Question 1b: Do Different Everyday Activities and Streets Walked Influence the Amount of Visual Engagement upon Ground Floors along (i) Non-Pedestrianised and (ii) Pedestrianised Streets?
3.3. Research Question 2a: Are there Differences in the Amount of Visual Engagement upon Street Edges on Different Sides of the Street along (i) Non-Pedestrianised and (ii) Pedestrianised Streets?
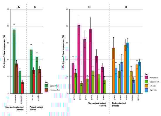
3.4. Research Question 2b: Do Different Everyday Activities and Streets Walked Influence the Amount of Visual Engagement upon Street Edges on Different Sides of the Street along (i) Non-Pedestrianised and (ii) Pedestrianised Streets?
3.5. Research Question 3: Are there Differences in the Amount of Visual Engagement upon (i) Street Edge Ground Floors between Non-Pedestrianised and Pedestrianised Streets and (ii) Street Edge Sides between Non-Pedestrianised and Pedestrianised Streets?
4. Discussion
4.1. The Focus of Visual Engagement upon Street Edge Ground Floors
4.2. Visual Engagement with Street Edges on Different Sides of a Street
4.3. The Influence of Pedestrianisation upon Street Edge Visual Engagement
4.4. Everyday Activities and Differing Streets Walked Influence Street Edge Visual Engagement
4.5. Study Limitations and Future Research
5. Conclusions
Author Contributions
Funding
Conflicts of Interest
References
- Gehl, J. Cities for People; Island Press: Washington, DC, USA, 2010. [Google Scholar]
- Glaser, M.; van ‘t Hoff, M.; Karssenberg, H.; Laven, J.; van Teeffelen, J. The City at Eye Level: Lessons for Street Plinths; Eburon: Delft, The Netherlands, 2012. [Google Scholar]
- Heffernan, E.; Heffernan, T.; Pan, W. The relationship between the quality of active frontages and public perceptions of public spaces. Urban Des. Int. 2014, 19, 92–102. [Google Scholar] [CrossRef]
- Griffiths, S.; Vaughan, L.; Haklay, M.; Jones, C.E. The Sustainable Suburban High Street: A Review of Themes and Approaches. Geogr. Compass 2008, 2, 1155–1188. [Google Scholar] [CrossRef]
- Carmona, M. London’s local high streets: The problems, potential and complexities of mixed street corridors. Prog. Plan. 2015, 100, 1–84. [Google Scholar] [CrossRef]
- Talen, E.; Jeong, H. Does the classic American main street still exist? An exploratory look. J. Urban Des. 2019, 24, 78–98. [Google Scholar] [CrossRef]
- Wrigley, N.; Guy, C.; Lowe, M. Urban Regeneration, Social Inclusion and Large Store Development: The Seacroft Development in Context. Urban Stud. 2002, 39, 2101–2114. [Google Scholar] [CrossRef]
- Simms, A.; Kjell, P.; Potts, R. Clone Town Britain: The Survey Results on the Bland State of the Nation; New Economics Foundation: London, UK, 2005. [Google Scholar]
- Ellard, C. Places of the Heart: The Psychogeography of Everyday Life; Bellevue Literary Press: New York, NY, USA, 2015. [Google Scholar]
- Montgomery, C. Happy City: Transforming Our Lives Through Urban Design; Penguin: London, UK, 2013. [Google Scholar]
- Romice, O.; Thwaites, K.; Porta, S.; Greaves, M.; Barbour, G.; Pasion, P. Urban design and quality of life. In The Handbook of Evironmental Psychology and Quality of Life Research; Fleury-Bahi, G., Pol, E., Navarrio, O., Eds.; Springer: New York, NY, USA, 2016. [Google Scholar]
- Goldhagen, S.W. Welcome to Your World: How the Built Environment Shapes Our Lives; Harper Collins: New York, NY, USA, 2017. [Google Scholar]
- Harvey, C.; Aultman-Hall, L. Measuring urban streetscapes for livability: A review of approaches. Prof. Geogr. 2016, 62, 149–158. [Google Scholar] [CrossRef]
- Simpson, J.; Freeth, M.; Simpson, K.J.; Thwaites, K. Visual engagement with urban street edges: Insights using mobile eye-tracking. J. Urban. 2019, 12, 259–278. [Google Scholar] [CrossRef]
- Burley, J.B. Visual and Ecological Environmental Quality Model for Transportation Planning and Design. Transp. Res. Rec. 1996, 1549, 54–60. [Google Scholar] [CrossRef]
- Nasar, J.L.; Hong, X. Visual Preferences in Urban Signscapes. Environ. Behav. 1999, 31, 671–691. [Google Scholar] [CrossRef]
- Loures, L.; Vargues, P.; Horta, D. Landscape aesthetic and visual analysis facing the challenge of development of sustainable landscapes—A case study of the post-industrial area to the left margin of the Arade River. Int. J. Des. Nat. Ecodynamics 2008, 3, 65–74. [Google Scholar] [CrossRef]
- Burley, J.; Deyoung, G.; Partin, S.; Rokos, J. Reinventing Detroit: Reclaiming Grayfields—New Metrics in Evaluating Urban Environments. Challenges 2011, 2, 45–54. [Google Scholar] [CrossRef]
- Mavros, P.; Austwick, M.Z.; Smith, A.H. Geo-EEG: Towards the Use of EEG in the Study of Urban Behaviour. Appl. Spat. Anal. Policy 2016, 9, 191–212. [Google Scholar] [CrossRef]
- Ladouce, S.; Donaldson, D.I.; Dudchenko, P.A.; Ietswaart, M. Understanding Minds in Real-World Environments: Toward a Mobile Cognition Approach. Front. Hum. Neurosci. 2017, 10, 694. [Google Scholar] [CrossRef] [PubMed]
- Uttley, J.; Simpson, J.; Qasem, H. Eye-Tracking in the Real World—insights About the Urban Environment. In Handbook of Research on Perception-Driven Approaches to Urban Assessment and Design; Aletta, F., Xiao, J., Eds.; IGI Global: Hershey, PA, USA, 2018. [Google Scholar]
- Gehl, J.; Svarre, B. How to Study Public Life; Island Press: Washington, DC, USA, 2013. [Google Scholar]
- Tang, J.; Long, Y. Measuring visual quality of street space and its temporal variation: Methodology and its application in the Hutong area in Beijing. Landsc. Urban Plan. 2018, 1–18. [Google Scholar] [CrossRef]
- Tuan, Y.F. Space and Place: The Perspective of Experience; University of Minnesota Press: Minneapolis, MN, USA, 1977. [Google Scholar]
- Kusenbach, M. Street phenomenology: The go-along as ethnographic research tool. Ethnography 2003, 4, 455–485. [Google Scholar] [CrossRef]
- Cuthbert, A.R. Urban design: Requiem for an era—Review and critique of the last 50 years. Urban Des. Int. 2007, 12, 177–223. [Google Scholar] [CrossRef]
- Marshall, S. Science, pseudo-science and urban design. Urban Des. Int. 2012, 17, 257–271. [Google Scholar] [CrossRef]
- Mallgrave, H.F. From Object to Experience: The New Culture of Architectural Design; Bloomsbury: London, UK, 2018. [Google Scholar]
- Holmqvist, K.; Nystrom, M.; Andersson, R.; Dewhurst, R.; Jarodzka, H.; van de Weijer, J. Eye Tracking: A Comprehensive Guide to Methods and Measures; Oxford University Press: Oxford, UK, 2011. [Google Scholar]
- Fotios, S.; Uttley, J.; Cheal, C.; Hara, N. Using eye- tracking to identify pedestrians’ critical visual tasks: Part 1, dual task approach. Lighting Res. Technol. 2015, 47, 133–148. [Google Scholar] [CrossRef]
- Noland, R.B.; Weiner, M.D.; Gao, D.; Cook, M.P.; Nelessen, A. Eye-tracking technology, visual preference surveys, and urban design: Preliminary evidence of an effective methodology. J. Urban. 2017, 10, 98–110. [Google Scholar] [CrossRef]
- Emo, B. Choice zones: Architecturally relevant areas of interest. Spat. Cogn. Comput. 2018, 18, 173–193. [Google Scholar] [CrossRef]
- Hollander, J.B.; Purdy, A.; Wiley, A.; Foster, V.; Jacob, R.J.; Taylor, H.A.; Brunyé, T.T. Seeing the city: Using eye-tracking technology to explore cognitive responses to the built environment. J. Urban. Int. Res. Placemaking Urban Sustain. 2018, 12, 156–171. [Google Scholar] [CrossRef]
- Gehl, J.; Kaefer, L.J.; Reigstad, S. Close encounters with buildings. Urban Des. Int. 2006, 11, 29–47. [Google Scholar] [CrossRef]
- Speck, J. Walkable City: How Downtown Can Save America, One Step at a Time; North Point Press: New York, NY, USA, 2012. [Google Scholar]
- Feliciotti, A.; Romice, O.; Porta, S. Design for change: Five proxies for resilience in urban form. Open House Int. 2016, 41, 1–14. [Google Scholar]
- Bobic, M. Between the Edges: Street-Building Transition as Urbanity Interface; Thorth Publishers: Bussum, The Netherlands, 2004. [Google Scholar]
- Mantho, R. The Urban Section: An Analytical Tool for Cities and Streets; Routledge: London, UK, 2014. [Google Scholar]
- Thwaites, K.; Simkins, I.; Mathers, A. Socially Restorative Urbanism: The Theory, Process and Practice of Experiemics; Routledge: London, UK, 2013. [Google Scholar]
- Mallgrave, H.F. Architecture and Embodiment: The Implications of the New Sciences and Humanities for Design; Routledge: London, UK, 2013. [Google Scholar]
- Jelić, A.; Tieri, G.; De Matteis, F.; Babiloni, F.; Vecchiato, G. The Enactive Approach to Architectural Experience: A Neurophysiological Perspective on Embodiment, Motivation, and Affordances. Front. Psychol. 2016, 7, 1–20. [Google Scholar] [CrossRef]
- National Association of City Transportation Officials (NACTO). Urban Street Design Guide; Island Press: Washington, DC, USA, 2013. [Google Scholar]
- Global Designing Cities Initiative (GDCI). Global Street Design Guide; Island Press: Washington, DC, USA, 2017. [Google Scholar]
- Kiefer, P.; Giannopoulos, I.; Raubal, M. Where Am I? Investigating Map Matching During Self-Localization with Mobile Eye Tracking in an Urban Environment. Trans. GIS 2013, 18, 660–686. [Google Scholar] [CrossRef]
- Davoudian, N.; Raynham, P. What do pedestrians look at at night? Lighting Res. Technol. 2012, 44, 438–448. [Google Scholar] [CrossRef]
- Foulsham, T.; Walker, E.; Kingstone, A. The where, what and when of gaze allocation in the lab and the natural environment. Vis. Res. 2011, 51, 1920–1931. [Google Scholar] [CrossRef]
- Vansteenkiste, P.; Cardon, G.; D’Hondt, E.; Philippaerts, R.; Lenoir, M. Measuring dwell time percentage from head-mounted eye-tracking data: Comparison of a frame-by-frame and fixation-by-fixation analysis. Ergonomics 2015, 58, 712–721. [Google Scholar] [CrossRef]
- Tomasi, M.; Pundik, S.; Bowers, A.R.; Peli, E.; Luo, G. Mobile gaze tracking systems for outdoor walking behavioural studies. J. Vision. 2016, 16, 1–15. [Google Scholar] [CrossRef]
- R Core Team. R: A Language and Environment for Statistical Computing; R Foundation for Statistical Computing: Vienna, Austria, 2013. [Google Scholar]
- Bates, D.; Maechler, M.; Bolker, B.; Walker, S. Lme4: Linear mixed-effects models using Eigen and S4. R Package Version 2014, 7, 1–23. [Google Scholar]
- Halekoh, U.; Højsgaard, S. A Kenward-Roger Approximation and Parametric Bootstrap Methods for Tests in Linear Mixed Models—The R Package pbkrtest. J. Stat. Softw. 2014, 59, 1–30. [Google Scholar] [CrossRef]
- Bartoń, K. MuMIn: Multi-Model Inference. R Package Version 2018, 40, 4. [Google Scholar]
- Habraken, J. Palladio’s Children: Essays on Everyday Environment and the Architect; Taylor Francis: New York, NY, USA, 2005. [Google Scholar]





| Street Type | Amount of Visual Engagement with Street Edge Ground and Upper Floors (Only Street Edge Visual Engagement) | Amount of Visual Engagement with Street Edge Ground and Upper Floors (Entire Street Visual Engagement) | ||||
|---|---|---|---|---|---|---|
| Ground Floor | Upper Floors | t-Test Results | Ground Floor | Upper Floors | t-Test Results | |
| Non-pedestrianised street | 90.1% ± 2.0% | 9.9% ± 2.0% | t (142) = 46.52, p < 0.001 | 34.2% ± 2.4% | 3.6% ± 0.5% | t (78.35) = 12.55, p < 0.001 |
| Pedestrianised street | 91.7% ± 2.5%, | 8.3% ± 2.5% | t (118) = 33.36, p < 0.001 | 34.8% ± 2.8% | 2.8% ± 0.5% | t (62.67) = 11.41, p < 0.001 |
| Street Type | Amount of Visual Engagement with Ground Floors when Undertaking Different Activities (Entire Street Visual Engagement) | Amount of Visual Engagement with Ground Floors along Different Streets (Entire Street Visual Engagement) | |||
|---|---|---|---|---|---|
| Optional Activity | Necessary Activity | LRT Result | Streets Walked (Range) | LRT Result | |
| Non-pedestrianised street | 46.2% ± 3.2% | 22.1% ± 2.2% | 46.49, p < 0.001 | 19.9% ± 3.0% 50.0% ± 7.4% | 35.02, p < 0.001 |
| Pedestrianised street | 44.2% ± 4.1% | 25.5% ± 2.9% | 23.87, p < 0.001 | 15.7% ± 3.1% 56.7% ± 5.1% | 40.15, p < 0.001 |
| (a) | ||||||
| Street Type | Amount of Visual Engagement with Different Sided Street Edges (Only Street Edge Visual Engagement) | Amount of Visual Engagement with Different Sided Street Edges (Entire Street Visual Engagement) | ||||
| Walked Side | Opposite Side | t-Test Result | Walked Side | Opposite Side | t-Test Result | |
| Non-pedestrianised street | 72.1% ± 3.5% | 27.9% ± 3.5% | t (142) = 15.14, p < 0.001 | 27.8% ± 2.2% | 10.0% ± 0.9% | t (96.13) = 7.45, p < 0.001 |
| (b) | ||||||
| Street Type | Amount of Visual Engagement with Different Sided Street Edges (Only Street Edge Visual Engagement) | Amount of Visual Engagement with Different Sided Street Edges (Entire Street Visual Engagement) | ||||
| Left Side | Right Side | t-Test Result | Left Side | Right Side | t-Test Result | |
| Pedestrianised street | 51.0% ± 4.2% | 49.0% ± 4.2% | t (118) = 0.49, p = 0.62 | 19.9% ± 1.9% | 18.0% ± 1.6% | t (114.61) = 0.75, p = 0.45 |
| Street Type and Street Edge Side | Amount of Visual Engagement with Street Edges on Different Sides of a Street when Undertaking Different Activities (Entire Street Visual Engagement) | Amount of Visual Engagement with Street Edges on Different Sides of a Street along Different Streets (Entire Street Visual Engagement) | |||
|---|---|---|---|---|---|
| Optional Activity | Necessary Activity | LRT Result | Streets Walked (Range) | LRT Result | |
| Walked side of non-pedestrianised street | 37.9% ± 3.2% | 17.7% ± 2.0% | 36.61, p < 0.001 | 15.6% ± 2.6% to 40.5% ± 5.6% | 34.05, p < 0.001 |
| Opposite side of non-pedestrianised street | 13.2% ± 1.5% | 6.8% ± 0.9% | 14.51, p < 0.001 | 6.0% ± 1.2% to 13.5% ± 2.8% | 9.43, p = 0.09 |
| Left side of pedestrianised street | 26.0% ± 3.1% | 13.8% ± 1.9% | 15.44, p < 0.001 | 13.2% ± 2.8% to 28.8% ± 3.5% | 20.18, p < 0.001 |
| Right side of pedestrianised street | 21.6% ± 2.6% | 14.4% ± 1.8% | 7.99, p = 0.05 | 7.8% ± 1.6% to 30.0% ± 2.8% | 26.72, p < 0.001 |
| Street Edge Area | Amount of Visual Engagement across Street Types (Only Street Edge Visual Engagement) | Amount of Visual Engagement across Street Types (Entire Street Visual Engagement) | ||||
|---|---|---|---|---|---|---|
| Non-Pedestrianised Street | Pedestrianised Street | t-Test Result | Non-Pedestrianised Street | Pedestrianised Street | t-Test Result | |
| Ground floor | 90.1% ± 2.0% | 91.7% ± 2.5% | t (108.24) = 0.72, p = 0.48 | 34.2% ± 2.4%, | 34.8% ± 2.8% | t (122.86) = 0.17, p = 0.86 |
| Difference in visual engagement between street edge sides | 46.8% ± 3.7% | 35.0% ± 3.6% | t (129.54) = 2.27, p = 0.02 | 18.7% ± 2.2% | 12.4% ± 1.7% | t (126.45) = 2.27, p = 0.03 |
© 2019 by the authors. Licensee MDPI, Basel, Switzerland. This article is an open access article distributed under the terms and conditions of the Creative Commons Attribution (CC BY) license (http://creativecommons.org/licenses/by/4.0/).
Share and Cite
Simpson, J.; Thwaites, K.; Freeth, M. Understanding Visual Engagement with Urban Street Edges along Non-Pedestrianised and Pedestrianised Streets Using Mobile Eye-Tracking. Sustainability 2019, 11, 4251. https://doi.org/10.3390/su11154251
Simpson J, Thwaites K, Freeth M. Understanding Visual Engagement with Urban Street Edges along Non-Pedestrianised and Pedestrianised Streets Using Mobile Eye-Tracking. Sustainability. 2019; 11(15):4251. https://doi.org/10.3390/su11154251
Chicago/Turabian StyleSimpson, James, Kevin Thwaites, and Megan Freeth. 2019. "Understanding Visual Engagement with Urban Street Edges along Non-Pedestrianised and Pedestrianised Streets Using Mobile Eye-Tracking" Sustainability 11, no. 15: 4251. https://doi.org/10.3390/su11154251
APA StyleSimpson, J., Thwaites, K., & Freeth, M. (2019). Understanding Visual Engagement with Urban Street Edges along Non-Pedestrianised and Pedestrianised Streets Using Mobile Eye-Tracking. Sustainability, 11(15), 4251. https://doi.org/10.3390/su11154251

