Statistical Assessment of Water Quality Issues in Hongze Lake, China, Related to the Operation of a Water Diversion Project
Abstract
1. Introduction
2. Materials and Methods
2.1. Study Area
2.2. Layout of Monitoring Sites and Sample Collection
2.3. Data Analysis
3. Results
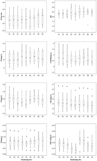
3.1. Water Quality in Eastern Hongze Lake
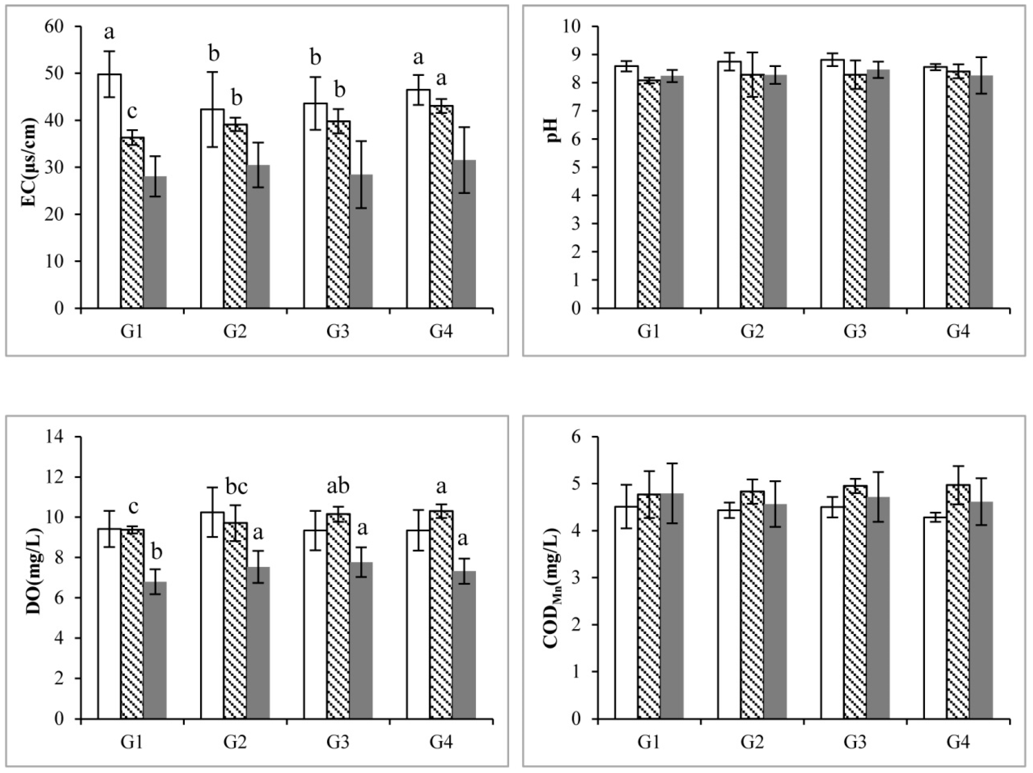
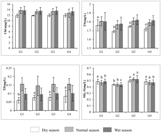
3.2. Temporal and Spatial Variations of Water Quality among Site Groups
3.3. The Correlation between Environmental Factors and Water Quality
4. Discussion
5. Conclusions
Author Contributions
Acknowledgments
Conflicts of Interest
References
- Paer, H. Assessing and managing nutrient enhanced eutrophication in estuarine and coastal waters: Interactive effects of human and climatic perturbations. Ecol. Eng. 2006, 26, 40–54. [Google Scholar] [CrossRef]
- Schindler, D. The dilemma of controlling cultural eutrophication of lakes. Proc. R. Soc. B 2012, 279, 4322–4333. [Google Scholar] [CrossRef] [PubMed]
- Min, P.; Lu, G. The influence of socio-economic development on water quality in the Dianchi Lake. Eng. Sci. 2010, 12, 117–122. [Google Scholar]
- Malsy, M.; Flörke, M.; Borchardt, D. What drives the water quality changes in the Selenga Basin: Climate change or socio-economic development? Reg. Environ. Chang. 2017, 17, 1977–1989. [Google Scholar] [CrossRef]
- Bhandari, S.; Sridhar, B.B.M.; Wilson, B.L. Effect of Land Cover Changes on the Sediment and Water Quality Characteristics of Brays Bayou Watershed. Water Air Soil Pollut. 2017, 228, 336. [Google Scholar] [CrossRef]
- Uwimana, A.; Van, D.A.; Gettel, G.; Bigirimana, B.; Irvine, K. Effects of river discharge and land use and land cover (LULC) on water quality dynamics in migina catchment, rwanda. Environ. Manag. 2017, 60, 496–512. [Google Scholar] [CrossRef] [PubMed]
- Zhang, Y.; Xia, J.; Liang, T.; Shao, Q. Impact of water projects on river flow regimes and water quality in huai river basin. Water Resour. Manag. 2010, 24, 889–908. [Google Scholar] [CrossRef]
- Liu, J.; Zang, C.; Tian, S.; Liu, J.; Yang, H.; Jia, S.; You, L.; Liu, B.; Zhang, M. Water conservancy projects in china: Achievements, challenges and way forward. Glob. Environ. Chang. 2013, 23, 633–643. [Google Scholar] [CrossRef]
- Zhang, X.; Zou, R.; Wang, Y.; Liu, Y.; Zhao, L.; Zhu, X.; Guo, H. Is water age a reliable indicator for evaluating water quality effectiveness of water diversion projects in eutrophic lakes. J. Hydrol. 2016, 542, 281–291. [Google Scholar] [CrossRef]
- Stolf, R.; Piedade, S.M.D.; Da Silva, J.R.; Da Silva, L.C.F.; Maniero, M.A. Water transfer from Sao Francisco River to semiarid northeast of Brazil: Technical data, environmental impacts, survey of option about the amount to be transferred. Eng. Agríc. 2012, 32, 998–1010. [Google Scholar] [CrossRef]
- Amano, Y.; Sakai, Y.; Sekiya, T.; Takeya, K.; Taki, K.; Machida, M. Effect of phosphorus fluctuation caused by river water dilution in eutrophic lake on competition between blue-green alga Microcystis aeruginosa and diatom Cyclotella sp. J. Environ. Sci. 2010, 22, 1666–1673. [Google Scholar] [CrossRef]
- Zou, R.; Zhang, X.; Liu, Y.; Chen, X.; Zhao, L.; Zhu, X.; He, B.; Guo, H. Uncertainty-based analysis on water quality response to water diversions for Lake Chenghai: A multiple-pattern inverse modeling approach. J. Hydrol. 2014, 514, 1–14. [Google Scholar] [CrossRef]
- Liu, Y.; Wang, Y.; Sheng, H.; Dong, F.; Zou, R.; Zhao, L.; Guo, H.; Zhu, X.; He, B. Quantitative evaluation of lake eutrophication responses under alternative water diversion scenarios: A water quality modeling based statistical analysis approach. Sci. Total Environ. 2014, 468, 219–227. [Google Scholar] [CrossRef] [PubMed]
- Hu, W.; Zhai, S.; Zhu, Z. Impacts of the Yangtze River water transfer on the restoration of Lake Taihu. Ecol. Eng. 2008, 34, 30–49. [Google Scholar] [CrossRef]
- Li, Y.; Acharya, K.; Yu, Z. Modeling impacts of Yangtze River water transfer on water ages in Lake Taihu, China. Ecol. Eng. 2011, 37, 325–334. [Google Scholar] [CrossRef]
- Lepono, T.; Du, P.H.; Thokoa, M. Monitoring of water transfer from Katse dam into the upper Vaal river system: Water utility’s perspective. Water Sci. Technol. 2003, 48, 97–102. [Google Scholar] [CrossRef] [PubMed]
- Xie, P.; Xu, B.; Xiao, C. Effects of the middle route of china’s south-to-north water transfer project on water environment in the middle-downstream of Hanjiang River. IAHS-AISH Publ. 2011, 350, 283–289. [Google Scholar]
- Li, S.; Guo, W.; Mitchell, B. Evaluation of water quality and management of Hongze Lake and Gaoyou Lake along the Grand Canal in Eastern China. Environ. Monit. Assess. 2011, 176, 373–384. [Google Scholar] [CrossRef] [PubMed]
- Jin, X.; Xu, Q.; Huang, C. Current status and future tendency of Lake Eutrophication in China. Sci. China Ser. C Life Sci. 2005, 48, 948–954. [Google Scholar]
- Huang, L.; Sun, K.; Ban, J.; Bi, J. Public perception of blue-algae bloom risk in Hongze Lake of China. Environ. Manag. 2010, 45, 1065–1075. [Google Scholar] [CrossRef] [PubMed]
- Cui, C.; Hua, W.; Yuan, G.; Jiao, X.; Lv, Y. Assessment and Trend Analysis on Water Quality in Hongze Lake. China Resour. Compr. Util. 2013, 31, 44–47. [Google Scholar]
- Ren, Y.; Pei, H.; Hu, W.; Tian, C.; Hao, D.; Wei, J.; Feng, Y. Spatiotemporal distribution pattern of cyanobacteria community and its relationship with the environmental factors in Hongze Lake, China. Environ. Monit. Assess. 2014, 186, 6919–6933. [Google Scholar] [CrossRef] [PubMed]
- Han, S.; Huang, J.; Zhang, L. Influence analysis of water level variation on water quality in Hongze Lake. Water Resour. Power. 2015, 33, 30–33. [Google Scholar]
- Ye, C.; Li, C.; Wang, B.; Zhang, J.; Zhang, L. Study on building scheme for a healthy aquatic ecosystem of Lake Hongze. J. Lake Sci. 2011, 23, 725–730. [Google Scholar]
- Sharma, M.; Kansal, A.; Jain, S.; Sharma, P. Application of multivariate statistical techniques in determining the spatial temporal water quality variation of Ganga and Yamuna rivers present in Uttarakhand state, India. Water Qual. Expo. Health 2015, 7, 567–581. [Google Scholar] [CrossRef]
- Li, D.; Huang, D.; Guo, C.; Guo, X. Multivariate statistical analysis of temporal–spatial variations in water quality of a constructed wetland purification system in a typical park in Beijing, China. Environ. Monit. Assess. 2015, 187, 4219. [Google Scholar] [CrossRef] [PubMed]
- Monica, N.; Choi, K. Temporal and spatial analysis of water quality in Saemangeum watershed using multivariate statistical techniques. Paddy Water Environ. 2016, 14, 3–17. [Google Scholar] [CrossRef]
- Kim, J.Y.; Bhatta, K.; Rastogi, G.; Muduli, P.R.; Do, Y.; Kim, D.K.; Pattnaik, A.K.; Joo, G.J. Application of multivariate analysis to determine spatial and temporal changes in water quality after new channel construction in the Chilika Lagoon. Ecol. Eng. 2016, 90, 314–319. [Google Scholar] [CrossRef]
- Pratt, B.; Chang, H. Effects of land cover, topography, and built structure on seasonal water quality at multiple spatial scales. J. Hazard. Mater. 2012, 209, 48–58. [Google Scholar] [CrossRef] [PubMed]
- Shrestha, S.; Kazama, F. Assessment of surface water quality using multivariate statistical techniques: A case study of the Fuji River Basin, Japan. Environ. Model. Softw. 2007, 22, 464–475. [Google Scholar] [CrossRef]
- Garnier, J.; Leporcq, B.; Sanchez, N.; Philippon, X. Biogeochemical mass-balance (C, N, P, Si) in three large reservoirs of the Seine Basin (France). Biogeochemistry 1999, 47, 119–146. [Google Scholar]
- El-Zeiny, A.; El-Kafrawy, S. Assessment of water pollution induced by human activities in Burullus Lake using Landsat 8 operational land imager and GIS. Egypt. J. Remote Sens. Space Sci. 2017, 20, S49–S56. [Google Scholar] [CrossRef]
- Liu, W.; Zhang, Q.; Liu, G. Lake eutrophication associated with geographic location, lake morphology and climate in china. Hydrobiologia 2010, 644, 289–299. [Google Scholar] [CrossRef]
- Şener, Ş.; Şener, E.; Davraz, A. Evaluation of water quality using water quality index (WQI) method and GIS in Aksu River (SW-Turkey). Sci. Total Environ. 2017, 584, 131–144. [Google Scholar] [CrossRef] [PubMed]
- Wang, Q.; Li, Z.; Lian, Y.; Du, X.; Zhang, S.; Yuan, J.; Liu, J.; De Silva, S.S. Farming system transformation yields significant reduction in nutrient loading: Case study of Hongze Lake, Yangtze River Basin, China. Aquaculture 2016, 457, 109–117. [Google Scholar] [CrossRef]
- Liyanage, C.P.; Yamada, K. Impact of Population Growth on the Water Quality of Natural Water Bodies. Sustainability 2017, 9, 1405. [Google Scholar] [CrossRef]
- Kragh, T.; Sand-Jensen, K.; Petersen, K.; Kristensen, E. Fast phosphorus loss by sediment resuspension in a re-established shallow lake on former agricultural fields. Ecol. Eng. 2017, 108, 2–9. [Google Scholar] [CrossRef]
- Ball, E.E.; Smith, D.E.; Anderson, E.J.; Skufca, J.D.; Twiss, M.R. Water velocity modeling can delineate nearshore and main channel plankton environments in a large river. Hydrobiologia 2018, 815, 125–140. [Google Scholar] [CrossRef]
- Estigoni, M.V.; Miranda, R.B.; Mauad, F.F. Hydropower reservoir sediment and water quality assessment. Manag. Environ. Qual. Int. J. 2017, 28, 43–56. [Google Scholar] [CrossRef]
- Dodds, W.K. The role of periphyton in phosphorus retention in shallow freshwater aquatic systems. J. Phycol. 2010, 39, 840–849. [Google Scholar] [CrossRef]
- Sánchez, M.L.; Pizarro, H.; Tell, G.; Izaguirre, I. Relative importance of periphyton and phytoplankton in turbid and clear vegetated shallow lakes from the Pampa Plain (Argentina): A comparative experimental study. Hydrobiologia 2010, 646, 271–280. [Google Scholar] [CrossRef]
- Kanyiginya, V.; Kansiime, F.; Kimwaga, R.; Mashauri, D.A. Assessment of nutrient retention by Natete wetland Kampala, Uganda. Phys. Chem. Earth Parts A/B/C 2010, 35, 657–664. [Google Scholar] [CrossRef]
- Calheiros, C.S.; Rangel, A.O.; Castro, P.M. Constructed wetland systems vegetated with different plants applied to the treatment of tannery wastewater. Water Res. 2007, 41, 1790–1798. [Google Scholar] [CrossRef] [PubMed]
- Srivastava, J.; Gupta, A.; Chandra, H. Managing water quality with aquatic macrophytes. Rev. Environ. Sci. Bio/Technol. 2008, 7, 255–266. [Google Scholar] [CrossRef]
- Vagnetti, R.; Miana, P.; Fabris, M.; Pavoni, B. Self-purification ability of a resurgence stream. Chemosphere 2003, 52, 1781–1795. [Google Scholar] [CrossRef]
- Zhou, W.; Guo, X.; Chen, W.; Hu, W.; Chen, K.; Zhang, S.; Sui, G.; Ren, B.; Wu, M. Prediction of effects of first stage project of eastern route south-to-north water transfer from the changjiang river on aquatic organism and ecological environment in hongze lake. J. Lake Sci. 1994, 6, 131–135. [Google Scholar]
- Gove, N.E.; Edwards, R.T.; Conquest, L.L. Effects of scale on land use and water quality relationships: A longitudinal basin-wide perspective. JAWRA J. Am. Water Resour. Assoc. 2010, 37, 1721–1734. [Google Scholar] [CrossRef]
- Bellinger, B.J.; Hoffman, J.C.; Angradi, T.R.; Bolgrien, D.W.; Starry, M.; Elonen, C.; Jicha, T.M.; Lehto, L.P.; Seifert-Monson, L.R.; Pearson, M.S.; et al. Water quality in the St. Louis River Area of Concern, Lake Superior: Historical and current conditions and delisting implications. J. Gt. Lakes Res. 2016, 42, 28–38. [Google Scholar] [CrossRef]
- Vuorenmaa, J.; Rekolainen, S.; Lepistö, A.; Kenttämies, K.; Kauppila, P. Losses of nitrogen and phosphorus from agricultural and forest areas in Finland during the 1980s and 1990s. Environ. Monit. Assess. 2002, 76, 213–248. [Google Scholar] [CrossRef] [PubMed]
- Xu, H.; Paerl, H.W.; Qin, B.; Zhu, G.; Gaoa, G. Nitrogen and phosphorus inputs control phytoplankton growth in eutrophic lake Taihu, China. Limnol. Oceanogr. 2010, 55, 420–432. [Google Scholar] [CrossRef]
- Yazdi, J.; Moridi, A. Interactive reservoir-watershed modeling framework for integrated water quality management. Water Resour. Manag. 2017, 31, 2105–2125. [Google Scholar] [CrossRef]





| Site Groups | Monitoring Sites | Location | Information | Land Use (LU) | Population (Pop) |
|---|---|---|---|---|---|
| G1 | S1, S2, S3 | the outlet of the Huai River | In the location, the water quality of Hongze Lake is affected by the upstream water [24]. | Flood plain | Second largest population (large town) |
| G2 | S4, S5 | the outlet of Hongze Lake | In the location, where the water from Hongze Lake to Yangtze River, eventually empty into the East Sea of China. | Residential area | Third largest population (small town) |
| G3 | S6, S7 | the outlet of SNWDP-ER | In the location, a new inlet has been built by the SNWDP-ER between the Yangze River and Honze Lake. | Farmland | The minimum population (village) |
| G4 | S8, S9 | the inlet of SNWDP-ER | In the location, the inlet of SNWDP-ER (S4). This is also the outlet to the Yellow Sea and the Subei Irrigation Channel. | Urban area | Largest population (urban) |
| Water Quality Parameters (Units) | Dry Season | Normal Season | Wet Season | Standard for Grade III |
|---|---|---|---|---|
| Mean ± S.D. | Mean ± S.D. | Mean ± S.D. | ||
| EC (μs/cm) | 45.99 ± 6.09 | 39.21 ± 5.78 | 29.44 ± 3.04 | |
| pH | 8.66 ± 0.23 | 8.24 ± 0.38 | 8.30 ± 0.45 | |
| DO (mg/L) | 9.57 ± 1.03 | 9.83 ± 0.77 | 7.29 ± 0.6 | ≥5.0 |
| CODMn (mg/L) | 4.44 ± 0.3 | 4.87 ± 0.55 | 4.69 ± 0.36 | ≤6.0 |
| Chl-a (μg/L) | 11.88 ± 0.5 | 13.31 ± 1.3 | 13.64 ± 1.14 | |
| TN (mg/L) | 1.73 ± 0.05 | 1.79 ± 0.08 | 1.81 ± 0.05 | ≤1.0 |
| TP (mg/L) | 0.07 ± 0.02 | 0.15 ± 0.04 | 0.10 ± 0.04 | ≤0.05 |
| NH3-N (mg/L) | 0.48 ± 0.04 | 0.47 ± 0.05 | 0.48 ± 0.04 | ≤1.0 |
| Axes and Variables | Dry Season | Normal Season | Wet Season | ||||||
|---|---|---|---|---|---|---|---|---|---|
| Explained Variation (%) | Pseudo-F | p Value | Explained Variation (%) | Pseudo-F | p Value | Explained Variation (%) | Pseudo-F | p Value | |
| Canonical axes | |||||||||
| First axis | 16.25 | 4.5 | 0.114 | 25.93 | 8.1 | 0.002 ** | 4.98 | 2.6 | 0.278 |
| Second axis | 2.4 | 0.7 | 0.774 | 2.55 | 0.8 | 0.802 | 2.9 | 1.6 | 0.442 |
| all axes | 19.73 | 1.9 | 0.102 | 28.61 | 3.1 | 0.002 ** | 8.19 | 1.5 | 0.518 |
| Explanatory variables | |||||||||
| LU | 8.8 | 2.5 | 0.092 | 21.4 | 6.8 | 0.002 ** | 4.6 | 2.5 | 0.072 |
| WD | 4.4 | 1.3 | 0.292 | 6.9 | 2.9 | 0.047 * | 1 | 0.5 | 0.628 |
| Pop | 6.6 | 1.8 | 0.16 | 0.3 | 0.1 | 0.99 | 2.6 | 1.4 | 0.204 |
| Wet Season | Normal Season | Dry Season | |||||||
|---|---|---|---|---|---|---|---|---|---|
| LU | WD | Pop | LU | WD | Pop | LU | WD | Pop | |
| EC | 0.25 | 0.00 | 0.13 | 0.75 ** | 0.63 ** | 0.20 | −0.33 | −0.26 | 0.38 |
| pH | 0.18 | 0.27 * | −0.01 | 0.22 | 0.29 | 0.26 | −0.06 | −0.04 | −0.46 * |
| DO | 0.32 * | 0.31 * | −0.25 | 0.57 ** | 0.61 ** | −0.05 | 0.07 | −0.17 | −0.05 |
| CODMn | −0.12 | 0.00 | −0.02 | 0.02 | 0.12 | 0.02 | −0.22 | −0.12 | −0.31 |
| Chl-a | −0.21 | −0.14 | −0.09 | −0.42 * | −0.34 * | −0.10 | 0.11 | 0.15 | −0.08 |
| TN | 0.01 | 0.22 | 0.02 | −0.24 | 0.08 | −0.07 | −0.50 ** | 0.12 | −0.07 |
| TP | 0.00 | 0.14 | 0.08 | −0.01 | 0.12 | 0.11 | 0.31 | 0.28 | −0.11 |
| NH3-N | −0.29 * | 0.27 | −0.15 | −0.14 | 0.48 ** | −0.26 | −0.31 | 0.32 | −0.02 |
© 2018 by the authors. Licensee MDPI, Basel, Switzerland. This article is an open access article distributed under the terms and conditions of the Creative Commons Attribution (CC BY) license (http://creativecommons.org/licenses/by/4.0/).
Share and Cite
Wu, Y.; Dai, R.; Xu, Y.; Han, J.; Li, P. Statistical Assessment of Water Quality Issues in Hongze Lake, China, Related to the Operation of a Water Diversion Project. Sustainability 2018, 10, 1885. https://doi.org/10.3390/su10061885
Wu Y, Dai R, Xu Y, Han J, Li P. Statistical Assessment of Water Quality Issues in Hongze Lake, China, Related to the Operation of a Water Diversion Project. Sustainability. 2018; 10(6):1885. https://doi.org/10.3390/su10061885
Chicago/Turabian StyleWu, Yi, Rong Dai, Yongfeng Xu, Jiangang Han, and Pingping Li. 2018. "Statistical Assessment of Water Quality Issues in Hongze Lake, China, Related to the Operation of a Water Diversion Project" Sustainability 10, no. 6: 1885. https://doi.org/10.3390/su10061885
APA StyleWu, Y., Dai, R., Xu, Y., Han, J., & Li, P. (2018). Statistical Assessment of Water Quality Issues in Hongze Lake, China, Related to the Operation of a Water Diversion Project. Sustainability, 10(6), 1885. https://doi.org/10.3390/su10061885
