Abstract
Nowadays the advance towards sustainability poses a global challenge for modern society as well as for companies. Professionals and academics continually redefine business processes and design management mechanisms in a more appropriate way in order to allow companies to balance economic activity with the environmental and social impact that they generate. Under this complex and dynamic scenario, creating a product, providing a service, or achieving a given result requires a different interpretation of the efficiency paradigm and an adequate socio-environmental intelligence. In the context of project management, sustainability-related knowledge, skills, and suitable tools are necessary to face this challenge. Moreover, its close relationship with stakeholder theory presents an alternative to approach that purpose. This article attempts a systematic review of the literature on stakeholder theory in project management during the past nine years, with the aim of providing a comprehensive view of this relationship, revealing its impact and influence on sustainability, and finding new research paths. We highlight the potential benefits derived from this relationship, either as an instrument for the promotion of corporate social responsibility and inclusive policies, as a means for the generation of shared value and technological innovation, or as a key factor in the strategy and business management of a given project.
1. Introduction
A complex, dynamic, and highly uncertain environment is the scenario currently faced by many projects. As a result, project management needs to rethink their execution mechanisms efficiently and effectively [1,2,3,4]. Attention to the processes and knowledge areas involved in project management addresses that need for change, which is reflected in the considerable number of research articles devoted to exploring these issues and which promote the permanent link between theory and practice [5].
These articles, which investigate a range of themes from the functionality of the systems to the human aspects that they involve, cover a diversity of areas and topics of application. Within these research areas of project management, the project stakeholders occupy a prominent place and are an essential part in the development of the project. To determine correctly which of them should be included, according to which attributes are being managed, is a concern that keeps the debate open and in force [6,7,8,9].
The remarkable interest raised by project stakeholder management among professionals and researchers drives their study in different directions. This dissemination of research lines is influencing the growing publication of research articles and the future development of new research perspectives [10,11,12,13].
Stakeholder management is currently a fundamental instrument for the direction of projects [14,15]. The complementarity of this link makes project management a stronger strategic competence for organizations and helps them link project outputs with difficult visibility to key business objectives [16,17,18], besides being an adequate tool to promote sustainable activities that generate value for all stakeholders [19,20].
The important value of this relationship is observed in the incorporation of elements of stakeholder theory in the main structure of project management [21,22,23,24,25]. This represents a new stage in the evolution of the management processes involved, where there is certainty of their impact on the success of the project by integrating stakeholder management as an additional criterion to the conventional ones of cost, time, and quality [26,27]. This helps to counteract the inherent complexity as well as the uncertainty of relationships with stakeholders, and to face the demands of the dynamism of the organizational environment [28,29,30,31,32].
In addition, relative uncertainty in certain aspects of the relationship with stakeholders can be a risk for the project that should be considered. Therefore, there is a presence of stakeholder theory in this important project knowledge area, which is fundamental in assessing project performances. The influence of stakeholder theory in project risk management can be observed in the study of structured mechanisms to assess the risks associated with stakeholder management, as well as to design risk prevention and mitigation strategies [33].
The attention given to the study of stakeholder management and their impact on project management increases significantly every year. Academics and professionals increasingly point out the potential benefits of this relationship for decision-making [9,10,34,35,36]. One of the most relevant recent aspects suggests that stakeholder management changes through time and provides a combination of interpersonal skills, social skills, communication skills, and emotional intelligence, which are necessary for the efficiency of project management and are difficult to achieve with traditional methods of management [37,38,39].
However, the role of sustainability has not yet been explored through the relationship between stakeholders and project management. The sustainability construct intrinsically incorporates the consideration of stakeholders as an essential aspect in its characterization, that is, it is not understood without it. In recent decades, stakeholder theory has been the fundamental theoretical support that facilitates the understanding of and ways to address these relationships from multiple perspectives, becoming increasingly important. The relationships between organizations and stakeholders are crucial to achieve the difficult balance between the economic, social, and environmental dimensions (the key ones among others) that implies the implementation of sustainability.
Project management, on the other hand, represented both by its standards of practical application and by the academic literature [40,41], also considers the relationship with stakeholders as one of the indispensable areas for the proper development of any project, where success is not understood without the satisfaction of the main stakeholders. However, project management considers stakeholders in a smaller sphere, not in a broader way that implies the deployment of sustainability, and generally does not consider what happens in the long term with a project, once it ends.
This shows that it is essential to follow the trail of existing research around the influence of stakeholder theory in the literature of project management. Therefore, in order to offer a perspective of new research and the different complex paths that its understanding is taking in theory and practice, this article presents an analysis, conducting a comprehensive review of the literature on the current state of the research that constitutes this relationship and its contribution to sustainability. The main justification of the article has to do with analyzing (in a novel way) this “symbiotic relationship”, identifying common aspects from both perspectives, and indicating how project management can be enriched by the main contributions provided by the different vision of stakeholder theory.
For this purpose, the first step is to systematically collect and analyze research articles that relate stakeholder theory to project management over a period of time. In addition, it is important to note that recently there have only been two publications related to this article, but with different objectives. In the first study, Achterkamp and Vos [10] analyzed 42 articles from two sources: International Journal of Project Management (IPMJ) and Project Management Journal (PMJ), between the years of 1995 and 2006. In the second study, Littau et al. [13] took into account 116 articles, from 1984 to 2009, from four sources of information: IPMJ, PMJ, International Journal of Managing Projects in Business (IJMPB), and International Journal of Project Organisation and Management (IJPOM).
With this in mind, the present study broadens the spectrum of information sources, gives continuity to the investigations initiated by these authors, and constructs an analysis by selecting, according to a specific methodological process, 354 articles between the years 2007 and 2016, from 16 specialized research journals. Thus, the main research questions addressed in this review are:
- RQ1: What is the current condition of the disclosure of stakeholder theory in the literature of project management?
- RQ2: What are the outstanding and emerging issues or research areas on project management that relate aspects of stakeholder theory and its application to sustainability?
- RQ3: What are the main guides that constitute the future development of research between sustainability, stakeholder theory, and project management?
The article is structured as follows. First, the research methodology followed in this article is explained in Section 2. Subsequently, Section 3 describes the findings and the discussion of each of the research contexts established, as well as the direction of the possible paths for future research linked to this relationship. Finally, Section 4 provides the conclusions derived from the whole process of this systematic literature review.
2. Research Method and Data
This study focuses its research on the current relationship of stakeholder theory within the literature of project management (as a first step to find the link between sustainability and project management), which involves the construction of a structured analysis of a wide range of research areas. To achieve this goal, we conducted a review of the literature on the state of the art, allowing us to establish those areas where research is concentrated and to highlight others where further investigation is necessary [42]. Effectively carrying out a literature review for this purpose is a task with several key elements, e.g., the amplitude and depth are critical to the quality of the review [43]. Further, the literature review should actively contribute to the theoretical and conceptual progress of the fields of study involved [44], bringing something new to the body of knowledge in general. With this in mind, this review proposes a methodological research design based on a basic process of three stages: (1) inputs definition, (2) processing data, and (3) outputs presentation [45]. Likewise, each stage consists of interconnected phases that support the process of the systematic review of the literature undertaken here [46,47,48].
Figure 1 schematically summarizes the research methodology followed in this review, illustrating the stages and phases, the tools and methods used in its development, as well as the corresponding sections in the article.
Figure 1.
Methodology procedure.
2.1. Inputs: Identifying Relevant Work
Prior to the identification of the relevant articles, we selected the sources of information used to carry out the search. The choice of academic journals was based on five classification criteria, as well as their indexation in the Journal Citation Reports (JCR). On this basis, we identified a large number of potentially related journals, which simplified the selection by constructing a central axis of journals. For this purpose, the background of similar literature reviews suggests two journals in particular and that we used as a starting point: IJPM and PMJ [10,13].
This choice indicated that the review of the literature would be conducted within the main core of information related to that central axis of journals. Therefore, we carried out a relational search as the first pre-selection filter, that is, by means of the relatedness factor (RF) [49], we established the list of journals indexed in the JCR report semantically related to the two journals of the central axis based on the citations made between them each year. Subsequently, with these data we create a percentage for pre-selecting the journals and elaborate an initial catalog of potential journals.
With the initial catalog of potential journals and using the JCR report, we compared the pre-selected journals taking into account the following criteria: total number of citations, maximum relatedness factor, journal immediacy index, eigenfactor score, and journal impact factor. Once the academic journals were selected, the next step involved the specific search of relevant peer-reviewed articles. For this process, we took into account three main elements: the electronic databases necessary for the search, the determination of the period to limit the search, and the criteria to execute the search. We choose as the search criterion the word "stakeholder" and publication within the period of 2007 to 2016. In principle, the editors of the selected journals provide electronic databases used to index this information, such as Wiley Online Library, Science Direct, APA PsycNET, Academy Management Review, SAGE Journals, IEEE Xplore Digital Library, Inzeko Ktu, Emerald Group Publishing, Palgrave Mcmillan, and Springer Link, as well as other scientific research databases such as ProQuest, EBSCO, ISI Web of Science, and Google Scholar.
We searched and selected the research articles on two levels. The first level involved choosing the articles that mention the word ‘stakeholder’ at least once on its title, abstract, or keywords. In this way, we attempted to ensure that one of the basic elements addressed in the article selected was related to stakeholder theory. Likewise, the second level considered the relationship that the selected article had with areas of knowledge related to project management. If the article did not meet the requirements established in these selection criteria, we dismissed it from the analysis.
2.2. Processing Data: Summarizing the Evidence
Once we had constituted the definitive sample of articles, the next stage was the processing of the data. Therefore, taking into account the volume of information, we simplified the evidence provided by the selected studies considering several methods of synthesis and information analysis. We carried out this process in two parts.
The first part aimed to obtain the necessary data for the description of aspects related to disclosure: the publication sources involved, the frequency of publication of this type of articles, the proportionality of articles contributed by each journal, and some elements of the origin of the articles (e.g., distribution by countries or authors). In this way, we created an initial descriptive profile that highlighted the relative importance of publications as they related to stakeholder theory on project management literature, which is a topic of research that has seen increasing attention in the recent past.
In the second part, we analyzed the information provided by the qualitative component. For this purpose, we established that, according to the characteristics of the information, the most appropriate method for the effective identification of recurring themes and structured data analysis within each topic is the thematic synthesis [50,51,52]. We processed the information with the help of the qualitative and mixed methods analysis software, QSR NVivo [53]. In their review, Thomas and Harden [54] pointed out the relevance of this computer tool for the extraction and coding of qualitative data.
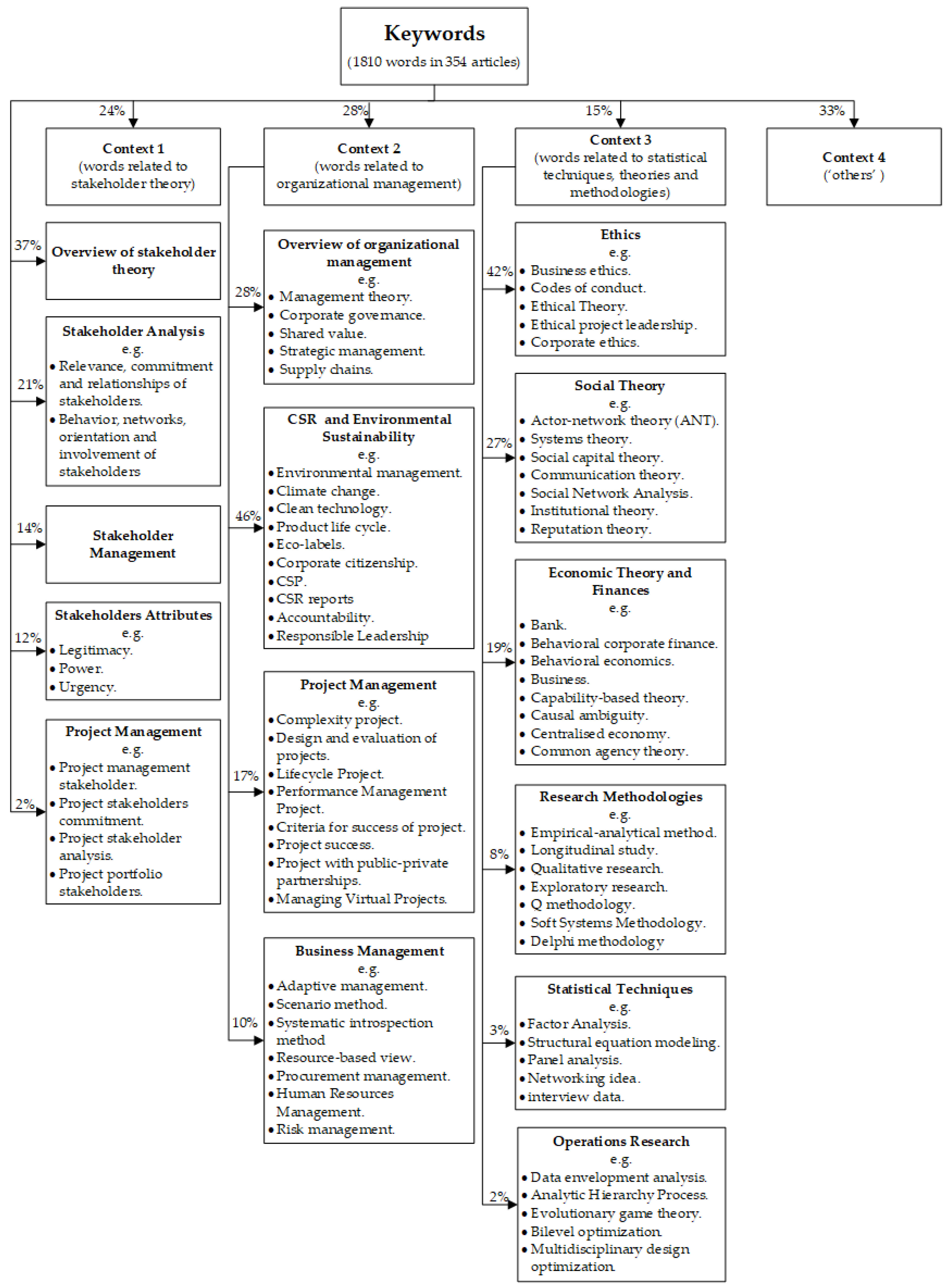
In Figure 2, the initial view of the thematic contexts of grouping based on the categorization of the keywords is shown. Each context is associated with potential research patterns, which indicate the existence of a global panorama made up of multiple approaches and give evidence of different common areas of knowledge, methodologies, and theories, among other elements, that are involved around the relationship between stakeholder theory and project management.
Figure 2.
Preliminary thematic classification of articles included in the literature review by keyword analysis.
From the article sample, we extracted around 1810 terms that we grouped in four main contexts and subsequently subdivided into more specific categories. The grouped descriptors indicate a first dimensioning of the content of the sample of selected articles. About 24% of the total (approximately 437 keywords) are directly related to stakeholder theory, and 28% of the total (approximately 507 keywords) indicate a thematic connection or affinity with organizational management at different levels. The latter also included terms related to the application of knowledge, skills, tools, and techniques of project management. Likewise, around 15% of the total (approximately 271 keywords) are associated with statistical techniques, theories, and/or methodologies, and the remaining 33% (approximately 597 keywords) are grouped in a context called ‘other’ for terms that do not fit into any of the categories or do not reflect a singular recurrence (see Figure 2).
Subsequently, we made new classifications based on the categorization provided by the keyword analysis, which finally led to the inductive elaboration of a conceptual map, which represents a related network of the different research patterns that follow the relationship between stakeholder theory and project management, and the number of articles linked to each line of research.
3. Interpreting the Findings and Discussion
The descriptive and qualitative analysis of the articles allowed us to recognize some strong connections between the results and provided an accurate picture of the trends that make up the relationships among sustainability, stakeholder theory, and project management.
3.1. Outputs: Descriptive Analysis of Findings
The preliminary search of articles offered 1120 results according to the first level of selection, all from the 16 journals considered (see Figure 3). In the same way, the application of the second level of selection reduced the total number of articles to 354. Therefore, these articles form the sample of this review, and their initial characteristics indicate to a certain extent the presence of stakeholder theory in different areas of knowledge of project management.

Figure 3.
Descriptive data: (a) Year of publication; (b) number of publications per database; (c) number of publications per journal; (d) number of articles published in IJPM and PMJ per year.
From the collected data, we established a descriptive profile of the sample of articles. With the characteristics of the information sources, we evaluated the proportionality of the articles according to the number of articles per year, journal, and database used (see Figure 3). In general, the results indicate that there is a progressive trend in the publication of articles related to the theory of interest groups and the direction of projects. This highlights the relative importance of the present review as this relationship continues to develop.
The extracted data established that during 2016, at least 62 related articles were published. This was 30 articles more with respect to the 30 articles referenced in 2007, representing an increase of nearly 98% in nine years (see Figure 3a). This suggests that the synergy between stakeholder theory and project management continues to strengthen without being limited to traditionally normative areas and interests of organizational management. This increase in articles is evidence of the evolution of this relationship over time, and it is an important indication that the ability to recognize and meet stakeholder demands is nowadays a strategic, transversal, and multidisciplinary concern.
A behavior that reinforces the aforementioned idea was found in the data collected for the journals of the central axis of this literature review (IJPM and PMJ). In this case, 23% (12 articles) of the total articles published in the last nine years were published in 2016, while the number of articles published in 2007 only reach 2% (two articles) of the total. Similarly, for the remaining journals, of the 241 articles selected, the greatest number of publications presented were put forth in 2015 and 2016, where 27% of the total potential articles are concentrated (see Figure 3a).
In terms of the number of publications per journal, IJPM contributed with 19% (68 articles) of the total of the selected publications, followed by Journal of Business Ethics (JBE) with 32% (115 articles), IJPM with 21% (74 articles), and PMJ with 11% of the total (39 articles). The remaining 36% of articles were distributed among the other 13 journals. Therefore, as shown in Figure 3b, the diversity among semantically related journals implies an important interdisciplinarity of the relationship between stakeholder theory and project management, which covers and combines different research fields. For example, JBE connects from the ethical and moral issues arising from stakeholder management at the business and strategic levels.
Likewise, as seen in Figure 3c, the proportionality between the number of articles and the databases consulted shows that Science Direct was in the first place, contributing 40% (144 articles) of the total of selected articles, followed by Springer Link with 16% (56 articles), Emerald Group Publishing with 15% (53 articles), and Wiley Online Library with 13% (45 articles).
Another relevant descriptive aspect is the historical behavior of the publication of project management articles that to relate stakeholder theory, specifically concerning the two main journals of research considered (IPMJ and PMJ). In Figure 3d, from the unification of the data reported by Littau et al. [13] in their study as well as the data compiled in this research, the frequency of publication from 1984 to 2016 is established.
The data suggest that, over the last 33 years, the journals of the central axis published around 107 articles—68 articles in IJPM and 39 articles in PMJ—with an estimated average of eight and four publications per year per journal. In addition, the unified behavior of articles published in both journals changed substantially over time, as the average publication for the first decade (1984 to 1994) was two articles per year, four articles per year for the next decade (1995 to 2005), and 12 articles per year for the last decade (2006 to 2016). These data indicate an increase in the contribution rate related, among other aspects, to the progressive interest generated by these research topics among professionals and academics.
Concept Map for Stakeholder Theory and Project Management
The preliminary classification by means a keywords analysis (Figure 2) indicated that the sample of selected articles has different approaches and thematic interrelations, which in some cases require a complementary level of detail for their identification. Figure 4 shows the concept map, which forms the thematic contextualization definitive and represents the discussion and main findings in a structured way. Its structure features a central core that represents the relationship analyzed between stakeholder theory and project management, from which four main groups emerge, each of them associated with different research streams. Each of the articles has a number of identification (cross-referenced with Supplementary Materials) and is related to at least one category (research stream); some of them appear in more than one category. The overlapping of articles in several contexts is an indicator of the polyvalence of the relationship studied. As such, we subdivided some of the main categories to explore more clearly the identified research patterns.
Figure 4.
Concept map of the stakeholder theory and project management literature review showing the different research streams.
Therefore, we built three main thematic contexts to understand the study of the relationship between stakeholder theory and project management from another point of view, as well as to identify the link with sustainability. The first cluster includes the research streams that integrate a vision of sustainability mixing elements of organizational management, stakeholder theory, and project management (1). Likewise, the second cluster contains the research streams related stakeholder theory and project management with the impact on the strategic plan and the direction of business operations (2). In the third context, this relationship is explored according to the sources of information and the industrial sector (3).
A first reading of the thematic contexts suggests that stakeholder theory continues to significant influence project management, enriching it at different levels and constituting an active part of its management processes in each phase of the project’s lifecycle. The diversity of the information sources present in this review, using the factor of the semantically related journals, has allowed us to consider a large volume of information. We believe that this provides an important benefit to the analysis and broadens the spectrum of research streams in which stakeholder theory and project management have influence. Therefore, this shows an evolution on research patterns that indicates that this relationship is developing streams on key aspects of society, environment and the economy. Such connections are essential for the survival of organizations, and may not be made visible when considering only uniform sources of information.
3.2. Stakeholder Theory and Project Management as a Behavior for Sustainability
Nowadays in the strategic vision of many organizations, temporary or project-based, there is an understanding that the generated economic activity entails an impact on society and the environment, in such a way that their role as agents of change is necessary to the collective construction of well-being, the generation of shared value and, ultimately, a particular contribution to sustainability. Likewise, the consideration of all types of stakeholders to which an organization relates directly or indirectly is essential in this approach, whether carried out from the perspective of stakeholder theory or project management.
Figure 4 reflects the listed articles related into this topic. To facilitate our analysis, the articles of this review were classified with respect to the different areas that the sustainability construct implies. Four main dimensions were considered: environmental, economic, political, and social. Moreover, two complementary subcategories—innovation and technology, and business ethics—were considered transversal to the aforementioned dimensions.
3.2.1. Social Dimension
The management of the impacts generated by the activity of the project on its stakeholders is a project management area in continuous evolution. However, the development of this field of research is irregular, representing a collection of approaches instead of a coherent theoretical grouping [55]. The lack of a unified approach to address social issues from a strategic and less altruistic point of view suggests that this area of research should continue [56,57,58], delving into the role carried out by the different stakeholders that directly and indirectly influence the project [59].
In recent years, more research streams focused on stakeholder theory have arisen to enrich project management from the social perspective, linking elements of this dimension of sustainability to management processes and the organization’s strategy. Firstly, it highlights the strong connection between stakeholder theory and the implementation and development of Corporate Social Responsibility (CSR) in organizations, where the consideration or not of specific stakeholders may represent an opportunity or risk for the project in the long term [60,61].
Also, the social dimension is investigated in terms of the importance of prioritizing stakeholders according to their real interest in the project and how the project manager should act in building solid relationships from this analysis [62,63,64]. Although the financial benefit resulting from this approach is difficult to estimate [65,66,67], this dimension helps to determine and quantify how a poor social performance derived from stakeholder management affects the project [63,68,69,70].
The third stream identified has to do with the potential benefits provided by the development of the social dimension in project management, highlighting for example the idea that social performance can be an indicator of efficiency for attracting capital and investing in sustainable organizations [71,72]. Moreover, organizations with these characteristics may be better prepared to address a greater diversity in demands and to face the risks of action coming from stakeholders [69]. For this reason, sustainable organizations face the challenge of incorporating social factors to improve the impact of their economic activity at different levels, such as in project management processes.
3.2.2. Environmental Dimension
The growing sensitization and awareness of different stakeholders about the environment has become a critical factor for the success of a project, as well as an essential aspect in the management of socially responsible organizations. Many projects are currently facing various environmental pressures, mainly from their external stakeholders [60], in a complex relationship environment [73,74]. This fact justifies the research stream whose main objective is to reduce uncertainty and increase governance over the risks associated with the actions that these stakeholders can take against the project [75,76,77].
In this context, project managers must understand that interactions with stakeholders are dynamic and that a fluctuating picture affects them in different ways [78]. Overall, they must adjust to the new circumstances [79]. Stakeholders such as consumers increasingly prefer, for example, products and services that are environmentally friendly [80,81], which forces organizations to constantly reinvent themselves, look for alternatives, new management strategies, and generalized consensus with stakeholders along the value chain [82,83]. These changes are a principle of opportunity for the generation of innovations and the development of new technologies [84], becoming a powerful mechanism for generating shared value and social acceptance of projects with high environmental impact [85,86].
Project managers must also acquire skills and appropriate strategies to manage the inevitable or unpredictable conflicts that arise from this framework of relationships [79], highlighting dialogue as a transcendental tool both to increase commitment and to resolve conflicts in project management [87,88].
Likewise, the dynamics of stakeholder management also highlights prevention and forecasting as opportune resources to avoid potential risks. In this sense, there is an important research stream that combines sustainability principles and different predictive methodologies to estimate uncertainty situations with stakeholders (modeling and simulation of scenarios, backcasting, forecasting, and so on). Thus, the final objective is to facilitate project manager anticipation and rapid decision-making in those situations that are desirable for the project [89,90,91]. Taking into account that stakeholders have a growing social awareness, access to information and a critical opinion about the performance of companies regarding the impact of their economic activity, elements that are essential to stakeholders’ participation in a project.
3.2.3. Economic Dimension
The balance between the social/environmental needs and financial benefits of an organization is difficult to achieve and involves a long background debate. In this context, research related to the economic dimension of sustainability is largely centered on the study of the principle of generating shared value [20,92]. This principle inspires organizations to use corporate resources in such a way that financial objectives can be achieved while developing social and environmental initiatives, promoting a greater competitive advantage [93,94] and innovation [95,96]. In this way, a roadmap is set where stakeholders share the benefit strategically as a way to solve the problems of the modern social and economic model.
In this regard, specific studies of the influence of the relationship with stakeholders on financial performance are highlighted [65] through different perspectives, such as the contingency methodology [64]. Similarly, this relationship has also been investigated from the project management perspective, understanding the value generated in the form of efficiency, legitimacy, power, and control, and ultimately recognizing the satisfaction of stakeholders as an essential aspect [97,98]. Moreover, this factor is considered fundamental to project success [99,100], and in the ability to continue creating value activities even after the project has been completed [101].
In order to achieve a balance between the economic dimension and the rest of the sustainability dimensions, it is not enough to satisfy stakeholders’ demands. It is necessary to promote integral project management models that involve stakeholders at different levels [102,103], creating healthy relationships [104], designing intersectoral alliances with interest groups (e.g., governments, Non-governmental organizations, universities) [105,106,107], or involving internal stakeholders (e.g., employees, shareholders, suppliers) in order to reinforce the organization’s commitment to labor relations [108].
Consequently, the contribution of the relationship between stakeholder theory and project management should be established at different levels in strategic planning. All of this, with a clear interest and support from academic literature centered around the investigation of the processes and activities that actually generate value, as well as those aspects of this relationship that are necessary to achieve the pre-set objectives.
3.2.4. Ethical Dimension
The challenge of transforming organizations towards achieving sustainability also calls attention to the values on which the organizational culture is based, with respect to the economic activity it develops. This change of consciousness is also visible and highlighted in the relationship with stakeholders [109,110]. Organizations understand that it is not enough to merely comply with the regulations and the current legislation in which they operate; it is also fundamental to commit to social, economic, and environmental problems in an ethical manner. The influence of stakeholders in this aspect can significantly affect corporate reputation, sales, or even completely paralyze ongoing projects [111].
The purpose of creating value for all stakeholders in the project involves the normative and descriptive components of business ethics [112,113]; accountability is an outstanding research trend in this context [114,115,116,117,118].
Other less explored research streams also highlighted in this subcategory are listed as follows:
- The deepening of new forms of interaction with the project stakeholders [119,120,121,122,123,124,125,126];
- The understanding of the change in consumption habits to understand stakeholder management [127];
- The acquisition of the ethical competences required to manage stakeholder relationships [128];
- The search for alternatives to unify management criteria based on the investigation of the role of stakeholders in the development process of standards and standards (e.g., ISO 26,000) [129];
- The study of the construction of trust with stakeholders [130].
These streams are clearly interconnected, but without a visible and predominant pattern that reveals the best way to address ethical dilemmas in project management. In this sense, the inclusion of normative and descriptive components is proposed [131], in such a way that they contribute to redefining business conduct, as well as the principles and values with stakeholders [132]. Thus, it is expected that the effect produced in this research context will promote the study of business ethics not only as a tool for project management but also as an end in itself [133]. This process must be led by project managers with the required skills, who are capable of modeling increasingly complex relationships with stakeholders in dynamic and global environments.
3.2.5. Innovation and Technology Dimension
Innovation and technology is present across the board in sustainability through the relationship between stakeholder theory and project management. This field of research reflects the exploration of the impact generated by the introduction of innovations and new technologies in stakeholders, as well as the conditions that favor or harm innovation up to it point of implementation as products, services, or processes.
The imperative of sustainability for an organization necessarily involves the design of new technologies and entrepreneurship. In this regard, there are research streams focused on the impact of innovations on stakeholders [134], as well as the influence of innovations on different organizational processes [135,136,137,138]. Similarly, research streams are disseminated in more specific areas, in order to understand the effect that this dimension has on the relationships with stakeholders, project success [139,140], the alignment of the organization’s strategy [141,142], the value chain of green products and services [83], and technological prediction [143,144,145,146,147].
Consequently, the exploration of the interactions among innovation and technology, stakeholder theory, and project management generates an additional and significant turning point in research patterns. This important area of research is a crucial tool for incorporating socioeconomic and environmental variables that affect stakeholder management processes, influencing project objectives and organization strategies.
3.3. Sources of Information and Industrial Sectors
Figure 4 also illustrates two other important research contexts. The first one relates to the articles selected according to the sources of information on which they are based. The second one relates to the industrial sector, on which stakeholder theory and project management research has been focused. This differentiation is based on the different characteristics of the used inputs (data) supporting each article and the possibility of finding an empirical application of such a relationship in industry.
Therefore, for the analysis of the sources of information, each article is classified according to three categories: reviews, case studies, and empirical data [13,148]. That is to say, 185 articles correspond to reviews or proposals based on knowledge, data, and insights drawn from academic or practitioner experience; 117 articles are case studies based on observation or detailed quantitative data; and 116 articles are cataloged as presentations and analyses of empirical data, or empirical analyses of secondary data, usually referring to some theoretical framework or analytical model. This means that the high rate of articles that are based on sources of information predominantly from reviews of practical experience and literature may be due to professionals who use their studies to test their ideas, compared with academics who prefer to follow formally structured approaches to investigation.
Likewise, for the second context, the articles are classified by industrial sector. However, not all articles, given their characteristics, can be classified in this context. This means that only 53 articles of the total of the sample are explicitly related to an industry sector. This may indicate that a greater empirical application is needed in order to offer a more concrete idea of how stakeholder theory enriches project management and involves sustainability according to each industrial sector. The information and communication technology sector covers an important part of the scope of application (36%; 20 articles), which stresses the role of IT systems, software project, ERP systems, e-government, R&D, e-commerce, etc., enabling stakeholders to interact with each other at different levels. The next most representative sector is construction (building, housing, civil engineering, urban design and planning, and maintenance), which traditionally stands out encouraging the development of stakeholder management and social responsibility. In smaller proportions, the energy sector (15%; eight articles), and others, such as the aerospace, textile, railways, automotive, and pharmaceutical sectors (49%; 25 articles), were represented.
3.4. Paths for Further Research
In the previous sections, we identified and discussed a series of research streams where evidence indicates that the influence of stakeholder theory has recently been concentrated on project management and its clear symbiotic link with sustainability. We also indicated other contexts where research is limited and there is a potential for future developments. This can be observed in detail in Figure 4, where the alignment of each of the articles with the corresponding thematic categories and subcategories is reflected.
In this section, the perception of these identified research lines is reinforced, presenting some research questions that can be considered fundamental and revealing a pattern for the future development of each of these streams, together the relationship between stakeholder theory and project management. This approach, according to Garza-Reyes [52], makes it possible to distinguish and highlight the different research paths available, directing the flow of information and attention to those relevant areas of knowledge with a need for clear research [149]. Table 1 presents some possible research questions that can be used to direct the pattern of future research in the research streams listed.
Table 1.
Research questions to guide further research.
The research streams established in this systematic review of the literature contribute to the understanding of the research potential existing in the relationship among stakeholder theory, project management, and sustainability. Furthermore, they are a starting point to establish the possible research gaps that need to be covered or further investigated.
The above research questions (Table 1) reveal a sample of the patterns that can guide future research on less studied aspects of the relationship among stakeholders, project management, and sustainability. An example of this is the need to collect more data and facts based on the experience and observation of stakeholders at all stages of a project (e.g., communication, project ending, creation of value, complexity of the organizational environment, sustainability factors, etc.).
Likewise, studies can be diversified according to different industrial sectors. For example, projects in the construction sector have received more attention and there is a need to validate the findings of these studies in other industries. Also, other areas of research with less dissemination, e.g., the study of project manager competencies, the management of social responsibility as a driver of sustainability in projects; or the creation of shared value between a project and less visible stakeholders.
For the future development of new lines of research, researchers should consider new ways to generate research questions. According to Alvesson and Sandberg [152], this construction process has commonly revolved around the research gaps identified in existing theories instead of questioning their basic assumptions. The effect of changing the focus of generating research questions would greatly help in the development of the relationship between sustainability, project management, and stakeholder theory, as well as in strengthening the structure on which it is currently based.
4. Conclusions
Sustainability is currently an imperative for the survival of organizations. This complex process of transformation implies that the desirable balance between the benefit and the impact of economic activity comes from an understanding that social, economic, and environmental factors are not simply restrictions, but part of a broader analytical framework that responds to stimuli and dynamic relationships with stakeholders at different organizational levels. In this way, assuming that the challenge of aligning the strategy with sustainability can be approached from different perspectives, this article explores the positive influence of the relationship between stakeholder theory and project management on achieving sustainable symbiosis.
Different aspects derived from this relationship have been studied in recent years. However, this research area still offers multiple opportunities for investigation and development, some of them being directly linked to sustainability. In this sense, this article offers a systematic review of the literature, identifying sources of information and relevant publications through a specific methodology that combines different techniques of data analysis. Likewise, using a defined a data processing framework, this review provides two main contexts and several thematic subcategories associated with research currents, from which the presented discussion is generated.
Hence, the evidence collected in this literature review suggests that there is a positive influence of the dissemination of stakeholder theory on project management, which is reflected in the increase in the relative frequency of the publication of articles that address this relationship in different ways. Also, this review revealed a greater diversification of the sources of information and industry sectors involved (RQ1).
First, this article presented a background of the evolution of stakeholder theory in project management as an active part of the sustainable transformation of organizations and their commitment to sustainability. It was found that there are different approaches, but not an obvious theory grouping. In addition, since there is no single way to address sustainability, each organization incorporates the factors that are required by the regulations and legislation that govern the industry sector in which they operate, leaving, however, multiple points outside the strategy. In this regard, three main dimensions (economic, social, and environmental) and two transversal dimensions (ethics, innovation and technology) of sustainability were explored. In addition the relationship between stakeholder theory and project management was found to play a relevant role and represent parts of the streams where research has concentrated during the last years (RQ2).
Therefore, it was concluded that through social and environment dimensions, this relationship has an important link with corporate social responsibility, used to promote sustainability. Likewise, the process of identification and prioritization of stakeholders continues to be urgent, in addition to the construction of solid relationships with stakeholders, the understanding of their complex dynamics, and the creation of a high capacity for adaptation, mechanisms for dialogue and conflict resolution, and assimilation and response to stakeholder pressures and environmental demands.
Second, the scope of this study was limited by focusing the discussion on the relationship between stakeholder theory and project management with sustainability. For this reason, for the thematic context that leads to the exploration of stakeholder theory through its impact on the strategic plan and the management of business operations of the project, the contexts were only indicated without in-depth discussion. In this regard, it was concluded that stakeholder theory mainly influences the processes of four areas of knowledge concerning project management: project stakeholders, project risk, project communications, and project integration management. This represents a wide presence of this relationship in the main structure of project management research, which indicates that stakeholder theory continues to be an important approach to address some of the needs of project management. Thus, this is also part of the global picture of this relationship, which shows outstanding research streams, emerging issues, and its linkage to sustainability (RQ2).
This change towards sustainability not only has repercussions in financial benefit, but also increases the social performance of an organization, which is associated with a greater competitive advantage, a better corporate reputation, or greater innovation and technological production. Likewise, it contributes to the improvement of corporate governance, influencing the minimization of risks, reinforcing the regulations of the codes of conduct that govern the operations of the organization, and assuming the principle of shared value with stakeholders as part of the purpose of social commitment. Thus, this article is important as it highlights patterns for future development between stakeholder theory on project management as a mechanism to enhance sustainability (RQ3).
Supplementary Materials
The following are available online at https://drive.google.com/file/d/1WVc5qP09NAIzIrVx1GufW22FSvNN_x0k/view, Data for Figure 3: Descriptive data: (a) Year of publication; (b) number of publications per database; (c) number of publications per journal; (d) number of articles published in IJPM and PMJ per year, Figure 4: Concept map of the stakeholder theory and project management literature review showing the different research streams.
Author Contributions
Diego F. Uribe reviewed the literature and created the conceptual map between stakeholders theory and project management, looking for the link with sustainability. Isabel Ortiz-Marcos, expert on the Project Management field, and Ángel Uruburu, expert on sustainability, headed the research team. Diego F. Uribe is doing his PhD under the supervision of Isabel Ortiz-Marcos and Ángel Uruburu, and this is a main contribution of his research.
Conflicts of Interest
The authors declare no conflict of interest.
References
- Cicmil, S.; Williams, T.; Thomas, J.; Hodgson, D. Rethinking project management: Researching the actuality of projects. Int. J. Proj. Manag. 2006, 24, 675–686. [Google Scholar] [CrossRef]
- Winter, M.; Smith, C.; Cooke-Davies, T.; Cicmil, S. The importance of ‘process’ in rethinking project management: The story of a UK government-funded research network. Int. J. Proj. Manag. 2006, 24, 650–662. [Google Scholar] [CrossRef]
- Blomquist, T.; Hällgren, M.; Nilsson, A.; Söderholm, A. Project-as-practice: In search of project management research that matters. Proj. Manag. J. 2010, 41, 5–16. [Google Scholar] [CrossRef]
- Svejvig, P.; Andersen, P. Rethinking project management: A structured literature review with a critical look at the brave new world. Int. J. Proj. Manag. 2015, 33, 278–290. [Google Scholar] [CrossRef]
- Pollack, J. The changing paradigms of project management. Int. J. Proj. Manag. 2007, 25, 266–274. [Google Scholar] [CrossRef]
- Freeman, R.E. The politics of stakeholder theory: Some future directions. Bus. Ethics Q. 1994, 4, 409–421. [Google Scholar] [CrossRef]
- Donaldson, T.; Preston, L. The stakeholder theory of the corporation: Concepts, evidence, and implications. Acad. Manag. Rev. 1995, 20, 65–91. [Google Scholar]
- Mitchell, R.; Agle, B.; Wood, D. Toward a Theory of Stakeholder Identification and Salience: Defining the Principle of Who and What Really Counts. Acad. Manag. Rev. 1997, 22, 853–886. [Google Scholar]
- Eskerod, P.; Huemann, M.; Ringhofer, C. Stakeholder Inclusiveness: Enriching Project Management with General Stakeholder Theory. Proj. Manag. J. 2015, 46, 42–53. [Google Scholar] [CrossRef]
- Achterkamp, M.C.; Vos, J.F. Investigating the use of the stakeholder notion in project management literature, a meta-analysis. Int. J. Proj. Manag. 2008, 26, 749–757. [Google Scholar] [CrossRef]
- Laplume, A.O.; Sonpar, K.; Litz, R.A. Stakeholder theory: Reviewing a theory that moves us. J. Manag. 2008, 34, 1152–1189. [Google Scholar] [CrossRef]
- Jepsen, A.L.; Eskerod, P. Stakeholder analysis in projects: Challenges in using current guidelines in the real world. Int. J. Proj. Manag. 2009, 27, 335–343. [Google Scholar] [CrossRef]
- Littau, P.; Jujagiri, N.J.; Adlbrecht, G. 25 years of stakeholder theory in project management literature (1984–2009). Proj. Manag. J. 2010, 41, 17–29. [Google Scholar] [CrossRef]
- Atkin, B.; Skitmore, M. Editorial: Stakeholder management in construction. Construct. Manag. Econ. 2008, 26, 549–552. [Google Scholar] [CrossRef]
- Eskerod, P.; Huemann, M.; Savage, G. Project stakeholder management—Past and present. Proj. Manag. J. 2015, 46, 6–14. [Google Scholar] [CrossRef]
- Freeman, R.E.; Martin, K.; Parmar, B. Stakeholder capitalism. J. Bus. Ethics 2007, 74, 303–314. [Google Scholar] [CrossRef]
- Freeman, R.E. Managing for stakeholders: Trade-offs or value creation. J. Bus. Ethics 2010, 96, 7–9. [Google Scholar] [CrossRef]
- Hung, H. Directors’ roles in corporate social responsibility: A stakeholder perspective. J. Bus. Ethics 2011, 103, 385–402. [Google Scholar] [CrossRef]
- Burke, L.; Logsdon, J.M. How corporate social responsibility pays off. Long Range Plan. 1996, 29, 495–502. [Google Scholar] [CrossRef]
- Porter, M.E.; Kramer, M.R. Creating shared value. In Managing Sustainable Business; Lenssen, G.G., Smith, N.C., Eds.; Springer: Dordrecht, The Netherlands, 2019; Volume 1, pp. 327–350. ISBN 978-94-024-1144-7. [Google Scholar]
- Lim, C.S.; Mohamed, M.Z. Criteria of project success: An exploratory re-examination. Int. J. Proj. Manag. 1999, 17, 243–248. [Google Scholar] [CrossRef]
- Crawford, L.; Pollack, J. Hard and soft projects: A framework for analysis. Int. J. Proj. Manag. 2004, 22, 645–653. [Google Scholar] [CrossRef]
- Davis, K. Different stakeholder groups and their perceptions of project success. Int. J. Proj. Manag. 2014, 32, 189–201. [Google Scholar] [CrossRef]
- Mazur, A.; Pisarski, A.; Chang, A.; Ashkanasy, N.M. Rating defence major project success: The role of personal attributes and stakeholder relationships. Int. J. Proj. Manag. 2014, 32, 944–957. [Google Scholar] [CrossRef]
- Mazur, A.K.; Pisarski, A. Major project managers’ internal and external stakeholder relationships: The development and validation of measurement scales. Int. J. Proj. Manag. 2015, 33, 1680–1691. [Google Scholar] [CrossRef]
- Atkinson, R. Project management: Cost, time and quality, two best guesses and a phenomenon, its time to accept other success criteria. Int. J. Proj. Manag. 1999, 17, 337–342. [Google Scholar] [CrossRef]
- Maylor, H. Beyond the Gantt chart: Project management moving on. Eur. Manag. J. 2001, 19, 92–100. [Google Scholar] [CrossRef]
- Nicholas, J.M. Successful project management: A force-field analysis. J. Syst. Manag. 1989, 40, 24. [Google Scholar]
- Larson, E.W.; Gobeli, D.H. Significance of project management structure on development success. IEEE Trans. Eng. Manag. 1989, 36, 119–125. [Google Scholar] [CrossRef]
- Deutsch, M.S. An exploratory analysis relating the software project management process to project success. IEEE Trans. Eng. Manag. 1991, 38, 365–375. [Google Scholar] [CrossRef]
- Neumann, F.E.; Glockner, P.W.; Hite, J.R.; Taylor, G.L. Generating a’golden glow’. Res. Technol. Manag. 1993, 36, 12. [Google Scholar] [CrossRef]
- Tukel, O.I.; Walter, O.; Rom, W.O. An empirical investigation of project evaluation criteria. Int. J. Oper. Prod. Manag. 2001, 21, 400–416. [Google Scholar] [CrossRef]
- Muriana, C.; Vizzini, G. Project risk management: A deterministic quantitative technique for assessment and mitigation. Int. J. Proj. Manag. 2017, 35, 320–340. [Google Scholar] [CrossRef]
- Edward Freeman, R.; Phillips, R. Stakeholder Theory: A Libertarian Defense. Bus. Ethics Q. 2002, 12, 331–349. [Google Scholar] [CrossRef]
- Dervitsiotis, N.K. Beyond stakeholder satisfaction: Aiming for a new frontier of sustainable stakeholder trust. Total Qual. Manag. Bus. Excell. 2003, 14, 515–528. [Google Scholar] [CrossRef]
- Eskerod, P.; Vaagaasar, A.L. Stakeholder Management Strategies and Practices during a Project Course. Proj. Manag. J. 2014, 45, 71–85. [Google Scholar] [CrossRef]
- Walker, D.H.; Bourne, L.M.; Shelley, A. Influence, stakeholder mapping and visualization. Construct. Manag. Econ. 2008, 26, 645–658. [Google Scholar] [CrossRef]
- Azim, S.; Gale, A.; Lawlor-Wright, T.; Kirkham, R.; Khan, A.; Alam, M. The importance of soft skills in complex projects. Int. J. Manag. Proj. Bus. 2010, 3, 387–401. [Google Scholar] [CrossRef]
- Carvalho, M.M.D.; Rabechini Junior, R. Impact of risk management on project performance: The importance of soft skills. Int. J. Prod. Res. 2015, 53, 321–340. [Google Scholar] [CrossRef]
- Karlsen, J.T. Project stakeholder management. Eng. Manag. J. 2002, 14, 19–24. [Google Scholar] [CrossRef]
- Eskerod, P.; Huemann, M. Sustainable development and project stakeholder management: What standards say. Int. J. Manag. Proj. Bus. 2013, 6, 36–50. [Google Scholar] [CrossRef]
- Webster, J.; Richard, T.W. Analyzing the Past to Prepare for the Future: Writing a Literature Review. MIS Q. 2002, 26, xiii–xxiii. [Google Scholar]
- Hart, C. Doing a Literature Review: Releasing the Social Science Research Imagination; Sage Publications: London, UK, 1998; pp. 1–26. ISBN 9781526450371. [Google Scholar]
- Shaw, J. A schema approach to the formal literature review in engineering theses. System 1995, 23, 325–335. [Google Scholar] [CrossRef]
- Levy, Y.; Ellis, T.J. A systems approach to conduct an effective literature review in support of information systems research. Inf. Sci. Int. J. Emerg. Transdiscip. 2006, 9, 181–212. [Google Scholar] [CrossRef]
- Khan, K.S.; Kunz, R.; Kleijnen, J.; Antes, G. Five steps to conducting a systematic review. J. R. Soc. Med. 2003, 96, 118–121. [Google Scholar] [CrossRef] [PubMed]
- Denyer, D.; Tranfield, D. Producing a systematic review. In The Sage Handbook of Organizational Research Methods; Buchanan, D., Bryman, A., Eds.; Sage Publications Ltd.: London, UK, 2009; pp. 671–689. [Google Scholar]
- Saunders, M.N.; Lewis, F.; Thornhill, A. Research Methods for Business Students, 5th ed.; Pearson Education India: London, UK, 2011; ISBN 978-0-273-71686-0. [Google Scholar]
- Pudovkin, A.I.; Garfield, E. Algorithmic procedure for finding semantically related journals. J. Am. Soc. Inf. Sci. Technol. 2002, 53, 1113–1119. [Google Scholar] [CrossRef]
- Thorpe, R.; Holt, R.; Macpherson, A.; Pittaway, L. Using knowledge within small and medium-sized firms: A systematic review of the evidence. Int. J. Manag. Rev. 2005, 7, 257–281. [Google Scholar] [CrossRef]
- Ritchie, J.; Lewis, J.; Nicholls, C.M.; Ormston, R. Qualitative Research Practice: A Guide for Social Science Students and Researchers; Sage Publications Ltd.: London, UK, 2013; pp. 269–290. ISBN 978-1-4462-0911-0. [Google Scholar]
- Garza-Reyes, J.A. Lean and green—A systematic review of the state of the art literature. J. Clean. Prod. 2015, 102, 18–29. [Google Scholar] [CrossRef]
- QSR International, 2016. About QSR. Available online: http://www.qsrinternational.com/aboutqsr (accessed on 27 June 2017).
- Thomas, J.; Harden, A. Methods for the thematic synthesis of qualitative research in systematic reviews. BMC Med. Res. Methodol. 2008, 8, 45. [Google Scholar] [CrossRef] [PubMed]
- Jones, T.M.; Wicks, A.C.; Freeman, R.E. Stakeholder theory: The state of the art. In The Blackwell Guide to Business Ethics; Blackwell Publishing Ltd.: Hoboken, NJ, USA, 2002; pp. 17–37. [Google Scholar]
- Greenwood, M. Stakeholder engagement: Beyond the myth of corporate responsibility. J. Bus. Ethics 2007, 74, 315–327. [Google Scholar] [CrossRef]
- Belal, A.R.; Roberts, R.W. Stakeholders’ perceptions of corporate social reporting in Bangladesh. J. Bus. Ethics 2010, 97, 311–324. [Google Scholar] [CrossRef]
- Dagiliene, L.; Leitoniene, S.; Grencikova, A. Increasing business transparency by corporate social reporting: Development and problems in Lithuania. Eng. Econ. 2014, 25, 54–61. [Google Scholar] [CrossRef]
- Aguinis, H.; Glavas, A. What we know and don’t know about corporate social responsibility: A review and research agenda. J. Manag. 2012, 38, 932–968. [Google Scholar] [CrossRef]
- Susnienė, D.; Vanagas, P. Means for satisfaction of stakeholders’ needs and interests. Eng. Econ. 2007, 55, 24–28. [Google Scholar]
- Zeng, S.X.; Ma, H.Y.; Lin, H.; Zeng, R.C.; Tam, V.W. Social responsibility of major infrastructure projects in China. Int. J. Proj. Manag. 2015, 33, 537–548. [Google Scholar] [CrossRef]
- Phillips, R.A.; Reichart, J. The environment as a stakeholder? A fairness-based approach. J. Bus. Ethics 2000, 23, 185–197. [Google Scholar] [CrossRef]
- Brower, J.; Mahajan, V. Driven to be good: A stakeholder theory perspective on the drivers of corporate social performance. J. Bus. Ethics 2013, 117, 313–331. [Google Scholar] [CrossRef]
- Ahn, S.Y.; Park, D.J. Corporate social responsibility and corporate longevity: The mediating role of social capital and moral legitimacy in Korea. J. Bus. Ethics 2016, 1–18. [Google Scholar] [CrossRef]
- Barnett, M.L. Stakeholder influence capacity and the variability of financial returns to corporate social responsibility. Acad. Manag. Rev. 2007, 32, 794–816. [Google Scholar] [CrossRef]
- Peloza, J. The challenge of measuring financial impacts from investments in corporate social performance. J. Manag. 2009, 35, 1518–1541. [Google Scholar] [CrossRef]
- Wood, D.J.; Jones, R.E. Stakeholder mismatching: A theoretical problem in empirical research on corporate social performance. Int. J. Organ. Anal. 1995, 3, 229–267. [Google Scholar] [CrossRef]
- Neville, B.A.; Bell, S.J.; Whitwell, G.J. Stakeholder salience revisited: Refining, redefining, and refueling an underdeveloped conceptual tool. J. Bus. Ethics 2011, 102, 357–378. [Google Scholar] [CrossRef]
- Jia, M.; Zhang, Z. Managerial ownership and corporate social performance: Evidence from privately owned Chinese firms’ response to the Sichuan earthquake. Corp. Soc. Responsib. Environ. Manag. 2013, 20, 257–274. [Google Scholar] [CrossRef]
- Wolf, J. The relationship between sustainable supply chain management, stakeholder pressure and corporate sustainability performance. J. Bus. Ethics 2014, 119, 317–328. [Google Scholar] [CrossRef]
- Benlemlih, M.; Bitar, M. Corporate social responsibility and investment efficiency. J. Bus. Ethics 2016, 1–25. [Google Scholar]
- Hasan, I.; Kobeissi, N.; Liu, L.; Wang, H. Corporate social responsibility and firm financial performance: The mediating role of productivity. J. Bus. Ethics 2016, 1–18. [Google Scholar] [CrossRef]
- Susniene, D.; Sargunas, G. Prerequisites of stakeholder management in an organization. Eng. Econ. 2009, 62, 58–64. [Google Scholar]
- Clifton, D.; Amran, A. The stakeholder approach: A sustainability perspective. J. Bus. Ethics 2011, 98, 121–136. [Google Scholar] [CrossRef]
- Aaltonen, K. Project stakeholder analysis as an environmental interpretation process. Int. J. Proj. Manag. 2011, 29, 165–183. [Google Scholar] [CrossRef]
- Cuppen, E.; Bosch-Rekveldt, M.G.; Pikaar, E.; Mehos, D.C. Stakeholder engagement in large-scale energy infrastructure projects: Revealing perspectives using Q methodology. Int. J. Proj. Manag. 2016, 34, 1347–1359. [Google Scholar] [CrossRef]
- Yang, R.J.; Zou, P.X.; Wang, J. Modelling stakeholder-associated risk networks in green building projects. Int. J. Proj. Manag. 2016, 34, 66–81. [Google Scholar] [CrossRef]
- Magness, V. Who are the stakeholders now? An empirical examination of the Mitchell, Agle, and Wood theory of stakeholder salience. J. Bus. Ethics 2008, 83, 177–192. [Google Scholar] [CrossRef]
- Elias, A.A. Analysing the stakes of stakeholders in research and development project management: A systems approach. R&D Manag. 2016, 46, 749–760. [Google Scholar]
- Rusinko, C. Green manufacturing: An evaluation of environmentally sustainable manufacturing practices and their impact on competitive outcomes. IEEE Trans. Eng. Manag. 2007, 54, 445–454. [Google Scholar] [CrossRef]
- Banyte, J.; Brazioniene, L.; Gadeikiene, A. Expression of green marketing developing the conception of corporate social responsibility. Eng. Econ. 2010, 21, 550–560. [Google Scholar]
- Driessen, P.H.; Hillebrand, B. Integrating multiple stakeholder issues in new product development: An exploration. J. Prod. Innov. Manag. 2013, 30, 364–379. [Google Scholar] [CrossRef]
- Olson, E.L. Perspective: The green innovation value chain: A tool for evaluating the diffusion prospects of green products. J. Prod. Innov. Manag. 2013, 30, 782–793. [Google Scholar] [CrossRef]
- Du, W.; Pan, S.L.; Zuo, M. How to balance sustainability and profitability in technology organizations: An ambidextrous perspective. IEEE Trans. Eng. Manag. 2013, 60, 366–385. [Google Scholar] [CrossRef]
- Raven, R.P.; Jolivet, E.; Mourik, R.M.; Feenstra, Y.C. ESTEEM: Managing societal acceptance in new energy projects: A toolbox method for project managers. Technol. Forecast. Soc. Chang. 2009, 76, 963–977. [Google Scholar] [CrossRef]
- Juscius, V.; Jonikas, D. Integration of CSR into value creation chain: Conceptual framework. Eng. Econ. 2013, 24, 63–70. [Google Scholar] [CrossRef]
- Cuppen, E. A quasi-experimental evaluation of learning in a stakeholder dialogue on bio-energy. Res. Policy 2012, 41, 624–637. [Google Scholar] [CrossRef]
- Hayibor, S.; Collins, C. Motivators of mobilization. J. Bus. Ethics 2016, 139, 351–374. [Google Scholar] [CrossRef]
- Kunsch, P.L.; Kavathatzopoulos, I.; Rauschmayer, F. Modelling complex ethical decision problems with operations research. Omega 2009, 37, 1100–1108. [Google Scholar] [CrossRef]
- Kok, K.; van Vliet, M.; Bärlund, I.; Dubel, A.; Sendzimir, J. Combining participative backcasting and exploratory scenario development: Experiences from the SCENES project. Technol. Forecast. Soc. Chang. 2011, 78, 835–851. [Google Scholar] [CrossRef]
- Svenfelt, Å.; Engström, R.; Svane, Ö. Decreasing energy use in buildings by 50% by 2050—A backcasting study using stakeholder groups. Technol. Forecast. Soc. Chang. 2011, 2078, 785–796. [Google Scholar] [CrossRef]
- Porter, M.; Kramer, M. Estrategia y sociedad. Harv. Bus. Rev. 2006, 84, 42–56. [Google Scholar]
- Juščius, V.; Snieška, V. Influence of corporate social responsibility on competitive abilities of corporations. Eng. Econ. 2008, 58, 34–44. [Google Scholar]
- Roveda, C.; Vecchiato, R. Foresight and innovation in the context of industrial clusters: The case of some Italian districts. Technol. Forecast. Soc. Chang. 2008, 75, 817–833. [Google Scholar] [CrossRef]
- Garriga, E. Beyond stakeholder utility function: Stakeholder capability in the value creation process. J. Bus. Ethics 2014, 120, 489–507. [Google Scholar] [CrossRef]
- Strand, R.; Freeman, R.E. Scandinavian cooperative advantage: The theory and practice of stakeholder engagement in Scandinavia. J. Bus. Ethics 2015, 127, 65–85. [Google Scholar] [CrossRef]
- Eskerod, P.; Riis, E. Project management models as value creators. Proj. Manag. J. 2009, 40, 4–18. [Google Scholar] [CrossRef]
- Browning, T.R. A quantitative framework for managing project value, risk, and opportunity. IEEE Trans. Eng. Manag. 2014, 61, 583–598. [Google Scholar] [CrossRef]
- Chang, A.; Chih, Y.Y.; Chew, E.; Pisarski, A. Reconceptualising mega project success in Australian Defence: Recognising the importance of value co-creation. Int. J. Proj. Manag. 2013, 31, 1139–1153. [Google Scholar] [CrossRef]
- Andersen, E.S. Value creation using the mission breakdown structure. Int. J. Proj. Manag. 2014, 32, 885–892. [Google Scholar] [CrossRef]
- Artto, K.; Ahola, T.; Vartiainen, V. From the front end of projects to the back end of operations: Managing projects for value creation throughout the system lifecycle. Int. J. Proj. Manag. 2016, 34, 258–270. [Google Scholar] [CrossRef]
- Fassin, Y. A dynamic perspective in Freeman’s stakeholder model. J. Bus. Ethics 2010, 96, 39. [Google Scholar] [CrossRef]
- Savage, G.T.; Bunn, M.D.; Gray, B.; Xiao, Q.; Wang, S.; Wilson, E.J.; Williams, E.S. Stakeholder collaboration: Implications for stakeholder theory and practice. J. Bus. Ethics 2010, 96, 21–26. [Google Scholar] [CrossRef]
- Bridoux, F.; Stoelhorst, J.W. Stakeholder relationships and social welfare: A behavioral theory of contributions to joint value creation. Acad. Manag. Rev. 2016, 41, 229–251. [Google Scholar] [CrossRef]
- Kivleniece, I.; Quelin, B.V. Creating and capturing value in public-private ties: A private actor’s perspective. Acad. Manag. Rev. 2012, 37, 272–299. [Google Scholar] [CrossRef]
- De Lange, D.E. How do universities make progress? Stakeholder-related mechanisms affecting adoption of sustainability in university curricula. J. Bus. Ethics 2013, 118, 103–116. [Google Scholar] [CrossRef]
- Miller, K.; McAdam, M.; McAdam, R. The changing university business model: A stakeholder perspective. R&D Manag. 2014, 44, 265–287. [Google Scholar]
- Cobb, J.A. How firms shape income inequality: Stakeholder power, executive decision making, and the structuring of employment relationships. Acad. Manag. Rev. 2016, 41, 324–348. [Google Scholar] [CrossRef]
- Kaptein, M. Developing a measure of unethical behavior in the workplace: A stakeholder perspective. J. Manag. 2008, 34, 978–1008. [Google Scholar] [CrossRef]
- Sandbu, M.E. Stakeholder duties: On the moral responsibility of corporate investors. J. Bus. Ethics 2012, 109, 97–107. [Google Scholar] [CrossRef]
- Matuleviciene, M.; Stravinskiene, J. The importance of stakeholders for corporate reputation. Eng. Econ. 2015, 26, 75–83. [Google Scholar] [CrossRef]
- Fassin, Y. The stakeholder model refined. J. Bus. Ethics 2009, 84, 113–135. [Google Scholar] [CrossRef]
- Lee, W.E.; Sweeney, J.T. Use of discretionary environmental accounting narratives to influence stakeholders: The case of jurors’ award assessments. J. Bus. Ethics 2015, 129, 673–688. [Google Scholar] [CrossRef]
- Evans, J.D.; Hefner, F. Business ethics and the decision to adopt golden parachute contracts: Empirical evidence of concern for all stakeholders. J. Bus. Ethics 2009, 86, 65–79. [Google Scholar] [CrossRef]
- Signori, S.; Rusconi, G. Ethical thinking in traditional Italian Economia Aziendale and the stakeholder management theory: The search for possible interactions. J. Bus. Ethics 2009, 89, 303–318. [Google Scholar] [CrossRef]
- Fassin, Y.; Gosselin, D. The collapse of a European bank in the financial crisis: An analysis from stakeholder and ethical perspectives. J. Bus. Ethics 2011, 102, 169–191. [Google Scholar] [CrossRef]
- McCarthy, D.J.; Puffer, S.M.; Dunlap, D.R.L.; Jaeger, A.M. A stakeholder approach to the ethicality of BRIC-firm managers’ use of favors. J. Bus. Ethics 2012, 109, 27–38. [Google Scholar] [CrossRef]
- Fernandez-Feijoo, B.; Romero, S.; Ruiz, S. Effect of stakeholders’ pressure on transparency of sustainability reports within the GRI framework. J. Bus. Ethics 2014, 122, 53–63. [Google Scholar] [CrossRef]
- De Madariaga, J.G.; Valor, C. Stakeholders management systems: Empirical insights from relationship marketing and market orientation perspectives. J. Bus. Ethics 2007, 71, 425–439. [Google Scholar] [CrossRef]
- Francés-Gómez, P.; Del Rio, A. Stakeholder’s preference and rational compliance: A comment on Sacconi’s “CSR as a model for extended corporate governance II: Compliance, reputation and reciprocity”. J. Bus. Ethics 2008, 82, 59–76. [Google Scholar] [CrossRef]
- Derry, R. Reclaiming marginalized stakeholders. J. Bus. Ethics 2012, 111, 253–264. [Google Scholar] [CrossRef]
- Fassin, Y. Stakeholder management, reciprocity and stakeholder responsibility. J. Bus. Ethics 2012, 109, 83–96. [Google Scholar] [CrossRef]
- Kujala, J.; Heikkinen, A.; Lehtimäki, H. Understanding the nature of stakeholder relationships: An empirical examination of a conflict situation. J. Bus. Ethics 2012, 109, 53–65. [Google Scholar] [CrossRef]
- Silver, D. Citizens as contractualist stakeholders. J. Bus. Ethics 2012, 109, 3–13. [Google Scholar] [CrossRef]
- Wang, J.; Xu, Y.; Li, Z. Research on project selection system of pre-evaluation of engineering design project bidding. Int. J. Proj. Manag. 2009, 27, 584–599. [Google Scholar] [CrossRef]
- Jensen, T.; Sandström, J. In defence of stakeholder pragmatism. J. Bus. Ethics 2013, 114, 225–237. [Google Scholar] [CrossRef]
- Lee, M.R. E-ethical leadership for virtual project teams. Int. J. Proj. Manag. 2009, 27, 456–463. [Google Scholar] [CrossRef]
- Jones, T.M.; Felps, W.; Bigley, G.A. Ethical theory and stakeholder-related decisions: The role of stakeholder culture. Acad. Manag. Rev. 2007, 32, 137–155. [Google Scholar] [CrossRef]
- Balzarova, M.A.; Castka, P. Stakeholders’ influence and contribution to social standards development: The case of multiple stakeholder approach to ISO 26000 development. J. Bus. Ethics 2012, 111, 265–279. [Google Scholar] [CrossRef]
- Greenwood, M.; Van Buren III, H.J. Trust and stakeholder theory: Trustworthiness in the organisation–stakeholder relationship. J. Bus. Ethics 2010, 95, 425–438. [Google Scholar] [CrossRef]
- McKinney, J.A.; Emerson, T.L.; Neubert, M.J. The effects of ethical codes on ethical perceptions of actions toward stakeholders. J. Bus. Ethics 2010, 97, 505–516. [Google Scholar] [CrossRef]
- Arenas, D.; Rodrigo, P. On firms and the next generations: Difficulties and possibilities for business ethics inquiry. J. Bus. Ethics 2016, 133, 165–178. [Google Scholar] [CrossRef]
- Minoja, M. Stakeholder management theory, firm strategy, and ambidexterity. J. Bus. Ethics 2012, 109, 67–82. [Google Scholar] [CrossRef]
- Dew, N.; Sarasvathy, S.D. Innovations, stakeholders & entrepreneurship. J. Bus. Ethics 2007, 74, 267–283. [Google Scholar]
- Gil, N.; Miozzo, M.; Massini, S. The innovation potential of new infrastructure development: An empirical study of Heathrow airport’s T5 project. Res. Policy 2012, 41, 452–466. [Google Scholar] [CrossRef]
- Rodríguez, H.; Fisher, E.; Schuurbiers, D. Integrating science and society in European Framework Programmes: Trends in project-level solicitations. Res. Policy 2013, 42, 1126–1137. [Google Scholar] [CrossRef]
- Lehoux, P.; Daudelin, G.; Williams-Jones, B.; Denis, J.L.; Longo, C. How do business model and health technology design influence each other? Insights from a longitudinal case study of three academic spin-offs. Res. Policy 2014, 43, 1025–1038. [Google Scholar] [CrossRef]
- Gao, X. A latecomer’s strategy to promote a technology standard: The case of Datang and TD-SCDMA. Res. Policy 2014, 43, 597–607. [Google Scholar] [CrossRef]
- Bygstad, B.; Lanestedt, G. ICT based service innovation–A challenge for project management. Int. J. Proj. Manag. 2009, 27, 234–242. [Google Scholar] [CrossRef]
- Mishra, A.; Mishra, D. Applications of stakeholder theory in information systems and technology. Eng. Econ. 2013, 24, 254–266. [Google Scholar] [CrossRef]
- Müller, R.; Glückler, J.; Aubry, M. A relational typology of project management offices. Proj. Manag. J. 2013, 44, 59–76. [Google Scholar] [CrossRef]
- Ben Mahmoud-Jouini, S.; Midler, C.; Silberzahn, P. Contributions of design thinking to project management in an innovation context. Proj. Manag. J. 2016, 47, 144–156. [Google Scholar] [CrossRef]
- Lo, C.C.; Wang, C.H.; Huang, C.C. The national innovation system in the Taiwanese photovoltaic industry: A multiple stakeholder perspective. Technol. Forecast. Soc. Chang. 2013, 80, 893–906. [Google Scholar] [CrossRef]
- Markmann, C.; Darkow, I.L.; von der Gracht, H. A Delphi-based risk analysis—Identifying and assessing future challenges for supply chain security in a multi-stakeholder environment. Technol. Forecast. Soc. Chang. 2013, 80, 1815–1833. [Google Scholar] [CrossRef]
- Breukers, S.; Hisschemöller, M.; Cuppen, E.; Suurs, R. Analysing the past and exploring the future of sustainable biomass. Participatory stakeholder dialogue and technological innovation systems research. Technol. Forecast. Soc. Chang. 2014, 81, 227–235. [Google Scholar] [CrossRef]
- Fortes, P.; Alvarenga, A.; Seixas, J.; Rodrigues, S. Long-term energy scenarios: Bridging the gap between socio-economic storylines and energy modeling. Technol. Forecast. Soc. Chang. 2015, 91, 161–178. [Google Scholar] [CrossRef]
- Tavella, E. How to make Participatory Technology Assessment in agriculture more “participatory”: The case of genetically modified plants. Technol. Forecast. Soc. Chang. 2016, 103, 119–126. [Google Scholar] [CrossRef]
- Betts, M.; Lansley, P. International Journal of Project Management: A review of the first ten years. Int. J. Proj. Manag. 1995, 13, 207–217. [Google Scholar] [CrossRef]
- Bryman, A.; Bell, E. Business Research Methods; Oxford University Press: New York, NY, USA, 2015; pp. 560–594. ISBN 9780199668649. [Google Scholar]
- Aaltonen, K.; Kujala, J. A project lifecycle perspective on stakeholder influence strategies in global projects. Scand. J. Manag. 2010, 26, 381–397. [Google Scholar] [CrossRef]
- Aaltonen, K.; Jaakko, K.; Tuomas, O. Stakeholder salience in global projects. Int. J. Proj. Manag. 2008, 26, 509–516. [Google Scholar] [CrossRef]
- Alvesson, M.; Sandberg, J. Generating research questions through problematization. Acad. Manag. Rev. 2011, 36, 247–271. [Google Scholar]
© 2018 by the authors. Licensee MDPI, Basel, Switzerland. This article is an open access article distributed under the terms and conditions of the Creative Commons Attribution (CC BY) license (http://creativecommons.org/licenses/by/4.0/).




