Using Certification as a Tool to Develop Sustainability in Project Management
Abstract
:1. Introduction
1.1. Sustainability in PM
1.2. Project Success
1.3. Sustainability, Management Systems and Project Success
2. Materials and Methods
2.1. Management Systems as Tools for Sustainability in PM
2.2. Correspondence between Management System Standards and Sustainability Variables
2.3. Sustainability as a Success Factor in a Project (an Empirical Analysis)
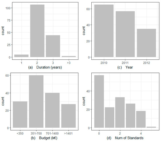
2.3.1. Sample Description
- Year of the financial grant (between 2010 and 2012);
- Area: two possible values: IDI (R&D&I projects) and LBC (CDTI’s bank credit line);
- Typology: this concept refers to the IDI area, and can be AEI (Technology Cooperation between SMESs), CID (Cooperation projects on R&D), CIE (Cooperation between International Enterprises), CIEN (Strategic Consortium Program on National Corporate Research), EEA (Financial mechanism of the European Economic Space), ID (Individual R&D projects), NE (Neotec), NE2 (Neotec 2), LIC (Direct Innovation Line), LIG (Global Innovation Line), PI (Integrated projects);
- Budget: projects are classified in four ranges: less than €350,000, between €350,000 and €700,000, between €700,000 and €1.4 M and more than €1.4 M,
- Duration: which ranges from 0 to 5 years;
- State: projects can be cancelled (overridden by the company after the Administrative Council’s approval), virtually finished (already finished in financial terms, even if it is not physically completed), delayed (the project has suffered delays in the initial planning), normal development (the project develops normally), charges (reimbursement of the money is ongoing), finished (the project is completed and the money reimbursed), or consultancy (the company is currently in legal advice);
- Sector: energy.
- Success. As has already been said, the concept of success is ambiguous, and not always defined in the same way [25]. In this case, success is considered and analyzed by CDTI after the information provided by companies regarding their financial performance. This information is translated into a “state” value, again by CDTI independent assessors. Then, the “success” variable has been created by the authors directly from the state of the project. For the purpose of this research, projects in the “cancelled” or “consultancy” state have been considered as unsuccessful. These states correspond to projects that were terminated once the funding had been awarded (“cancelled”) and to projects that are subject to legal proceedings after experiencing economic problems during the life cycle (“consultancy”). On the other hand, the remaining states correspond to projects that are performing as planned, even when they may be in different phases of progress in the time of the study. This definition of success has two implications. First one is that it is guaranteed that the success assessment, has been done by impartial agents (CDTI assessors), who are independent from the companies and apply an agreed criteria for all the projects under study. Second relevant implication to be recognized is that assessment of the success is partial. The evaluation of the success of a project is a complex question, and many factors/dimensions/constructs can be taken into account, as we describe in the literature review (Section 1.2). Moreover, some project success criteria (long-term criteria) can only be evaluated time after the project is closed, and require additional data. Unfortunately, these data are not available at the moment and are out of the scope of this research. This is identified as a limitation of the results in Section 4.
- Management system certifications. For each of the companies involved in the energy sector projects, the standards for which they were certified have been identified. This information has been collected by means of two methods: searching the companies’ websites (as a first approach) and personal calls (as a second approach). The complexity and cost of compiling this information has been one of the reasons why the study has been restricted to the energy sector. The standards considered are ISO 9001, ISO 14001, OHSAS 18001, UNE 166002, ISO 500001, and regulations related to the specific activity of the company (for example, ISO 3834-2, for fusion welding). The fact that a company has a certification in one of these standards means that management system requirements are met and also that it is supervised and supported by an external auditor. Since information that has been added to the database regarding management systems corresponds to certifications by competent and recognized companies, there is a guarantee that it is true and impartial.
2.3.2. Statistical Research Method
3. Results
4. Discussion and Conclusions
Author Contributions
Acknowledgments
Conflicts of Interest
Appendix A
| Economic Sustainability Variables | ISO 9001:2015 | UNE 166002:2014 |
|---|---|---|
| Econ01 Financial and economic performance | 8.5 Production and service provision | |
| Econ02 Financial benefits from good social and environmental practices | 9.1.3 Analysis and evaluation | |
| Econ03 Cost management | 7.1.5 Monitoring and measuring resources | |
| Econ04 Customer relationship management | 5.1.2 Customer focus 6.1 Actions to address risks and opportunities 8.2 Requirements for products and services 9.1.2 Customer satisfaction | |
| Econ05 Participation and involvement of stakeholders | 4.2 Understanding the needs and expectations of interested parties | 4.2 Interested parties approach |
| Econ06 Business ethics | ||
| Econ07 Innovation management | 4.1 Organization and its context approach 4.3 R&D&I management system | |
| Econ08 Organizational culture management | Econ08 Organizational culture management |
| Environmental Sustainability Variables | ISO 14001:2015 | ISO 50001:2011 |
|---|---|---|
| Environ01 Natural resources | Leadership 5.2 Environmental policy 6 Planning 6.1 Actions to address risks and opportunities 6.2 Environmental objectives and planning to achieve them | |
| Environ02 Water | 6 Planning 6.1 Actions to address risks and opportunities | |
| Environ03 Energy | 6 Planning 6.1 Actions to address risks and opportunities | |
| Environ04 Air | 6 Planning 6.1 Actions to address risks and opportunities | |
| Environ05 Eco-efficiency | 6 Planning 6.1 Actions to address risks and opportunities | |
| Environ06 Management of environmental impacts | 4.4 Environmental management system 6 Planning 6.1 Actions to address risks and opportunities 6.2 Environmental objectives and planning to achieve them | 4 Energy management system requirements 4.5 Implementation and operation |
| Environ07 Environmental policy management | 4.4 Environmental management system 5.2 Environmental policy 6 Planning 6.1 Actions to address risks and opportunities 6.2 Environmental objectives and planning to achieve them | 4 Energy management system requirements 4.3 Energy policy 4.4 Energy planning |
| Environ08 Environmental commitment and responsibility | 4.4 Environmental management system 6 Planning 6.1 Actions to address risks and opportunities 6.2 Environmental objectives and planning to achieve them 7.3 Awareness | 4 Energy management system requirements 4.2 Management responsibility |
| Social Sustainability Variables | ISO 9001:2015 | UNE 166002:2014 | OHSAS 18001:2007 |
|---|---|---|---|
| Social01 Labor practices | 7.1.4 Environment for the operation of processes 7.1.6 Organizational knowledge 7.2 Competence | 4 OH&S management system requirements 4.2 OH&S policy 4.4 Implementation and operation | |
| Social02 Relationships with the local community | 4.2 OH&S policy | ||
| Social03 Management of human rights | 7.1.2 People | ||
| Social04 Stakeholder engagement | 7.3 Awareness | ||
| Social05 Relationships with society | 4.1 Organization and its context approach 5.4 Innovation culture | ||
| Social06 Responsibility with products and services | 9.1 Monitoring, measurements, analysis and evaluation 10. Improvement | 4.3 Planning 4.3.1 Hazard identification, risk assessment and determining controls | |
| Social07 Relationships with suppliers and contractors | 8.4 Control of externally provided processes, products and services |
Appendix B
- Count: number of real projects, those are the projects that the database shows as successfully accomplished or not.
- Expected count: number of theoretical projects, which means that the statistical software establishes the relationship between the final percentage of all the successful projects and not successful projects and the real percentage in each case (if comply with the standard or not). From this relationship of percentages, the software establishes how many projects should theoretically be successfully implemented.
- % within (standard): percentage of real projects over the total number of real projects.
- Residual: difference between the number of real project and theoretical projects.
Appendix B1. ISO 9001
| Success | Total | ||||
|---|---|---|---|---|---|
| NO | YES | ||||
| ISO-9001 | No | Count | 22 | 37 | 59 |
| Expected Count | 16.2 | 42.8 | 59.0 | ||
| % within ISO-9001 | 37.3% | 62.7% | 100.0% | ||
| Residual | 5.8 | −5.8 | |||
| Yes | Count | 21 | 77 | 98 | |
| Expected Count | 26.8 | 71.2 | 98.0 | ||
| % within ISO-9001 | 21.4% | 78.6% | 100.0% | ||
| Residual | −5.8 | 5.8 | |||
| Total | Count | 43 | 114 | 157 | |
| Expected Count | 43.0 | 114.0 | 157.0 | ||
| % within ISO-9001 | 27.4% | 72.6% | 100.0% | ||
Appendix B2. ISO 14001
| Success | Total | ||||
|---|---|---|---|---|---|
| NO | YES | ||||
| ISO-14001 | No | Count | 32 | 46 | 78 |
| Expected Count | 21.4 | 56.6 | 78.0 | ||
| % within ISO-14001 | 41.0% | 59.0% | 100.0% | ||
| Residual | 10.6 | −10.6 | |||
| Yes | Count | 11 | 68 | 79 | |
| Expected Count | 21.6 | 57.4 | 79.0 | ||
| % within ISO-14001 | 13.9% | 86.1% | 100.0% | ||
| Residual | −10.6 | 10.6 | |||
| Total | Count | 43 | 114 | 157 | |
| Expected Count | 43.0 | 114.0 | 157.0 | ||
| % within ISO-14001 | 27.4% | 72.6% | 100.0% | ||
Appendix B3. ISO 50001
| Success | Total | ||||
|---|---|---|---|---|---|
| NO | YES | ||||
| ISO 50001 | No | Count | 42 | 105 | 147 |
| Expected Count | 40.3 | 106.7 | 147.0 | ||
| % within ISO 50001 | 28.6% | 71.4% | 100.0% | ||
| Residual | 1.7 | −1.7 | |||
| Yes | Count | 1 | 9 | 10 | |
| Expected Count | 2.7 | 7.3 | 10.0 | ||
| % within ISO 50001 | 10.0% | 90.0% | 100.0% | ||
| Residual | −1.7 | 1.7 | |||
| Total | Count | 43 | 114 | 157 | |
| Expected Count | 43.0 | 114.0 | 157.0 | ||
| % within ISO 50001 | 27.4% | 72.6% | 100.0% | ||
Appendix B4. UNE 166002
| Success | Total | ||||
|---|---|---|---|---|---|
| NO | YES | ||||
| UNE 166002 | No | Count | 41 | 100 | 141 |
| Expected Count | 38.6 | 102.4 | 141.0 | ||
| % within UNE 166002 | 29.1% | 70.9% | 100.0% | ||
| Residual | 2.4 | −2.4 | |||
| Yes | Count | 2 | 14 | 16 | |
| Expected Count | 4.4 | 11.6 | 16.0 | ||
| % within UNE 166002 | 12.5% | 87.5% | 100.0% | ||
| Residual | −2.4 | 2.4 | |||
| Total | Count | 43 | 114 | 157 | |
| Expected Count | 43.0 | 114.0 | 157.0 | ||
| % within UNE 166002 | 27.4% | 72.6% | 100.0% | ||
Appendix B5. OHSAS 18001
| Success | Total | ||||
|---|---|---|---|---|---|
| NO | YES | ||||
| OHSAS-18001 | No | Count | 38 | 79 | 117 |
| Expected Count | 32.0 | 85.0 | 117.0 | ||
| % within OHSAS-18001 | 32.5% | 67.5% | 100.0% | ||
| Residual | 6.0 | −6.0 | |||
| Yes | Count | 5 | 35 | 40 | |
| Expected Count | 11.0 | 29.0 | 40.0 | ||
| % within OHSAS-18001 | 12.5% | 87.5% | 100.0% | ||
| Residual | −6.0 | 6.0 | |||
| Total | Count | 43 | 114 | 157 | |
| Expected Count | 43.0 | 114.0 | 157.0 | ||
| % within OHSAS-18001 | 27.4% | 72.6% | 100.0% | ||
References
- Elkington, J. Cannibals with Forks: The Triple Bottom Line of 21st Century Business; Capstone: Oxford, UK, 1997; 402p, ISBN 1-900961-27-X. [Google Scholar]
- Adams, W.M. The Future of Sustainability: Re-Thinking Environment and Development in the Twenty-First Century. Report IUCN. 2006. Available online: http://cmsdata.iucn.org/downloads/iucn_future_of_sustanability.pdf (accessed on 11 February 2018).
- Van den Brink, J.; Silvius, G.; Köhler, A. The impact of sustainability on PM. In Anonymous; Monash University Publishing: Clayton, Australia, 2012; pp. 183–200. [Google Scholar]
- Tharp, J. PM and global sustainability. In Proceedings of the PMI® Global Congress 2012—EMEA, Marseilles, France, 7–9 May 2012; PM Institute: Newtown Square, PA, USA, 2012. [Google Scholar]
- Okland, A. Gap Analysis for Incorporating Sustainability in Project Management. Proced. Comput. Sci. 2015, 64, 103–109. [Google Scholar] [CrossRef]
- IPMA Research Conferences. Available online: http://www.ipma.world/research/ipma-research-conferences/ (accessed on 11 February 2018).
- 2017 IPMA Research Conference. Available online: http://www.ipma-research-conference.world/ (accessed on 11 February 2018).
- International Project Management Association. IPMA “Project Excellence Baseline” Version 4.0; International Project Management Association: Amsterdam, The Netherlands, 2016. [Google Scholar]
- Silvius, G. Sustainability as a New School of Thought in PM. J. Clean. Prod. 2017, 166, 1479–1493. [Google Scholar] [CrossRef]
- International Project Management Association. IPMA “Individual Competence Baseline” Version 1.0; International Project Management Association: Amsterdam, The Netherlands, 2015; ISBN (pdf) 978-94-92338-01-3 ISBN (print) 978-94-92338-00-6. [Google Scholar]
- Gareis, R.; Huemann, M.; Martinuzzi, A. Relating sustainable development and PM: A conceptual model. In Proceedings of the PMI® Research Conference 2010: Defining the Future of PM, Washington, DC, USA, 11–14 July 2010; PM Institute: Newtown Square, PA, USA, 2010. [Google Scholar]
- El-Haram, M.; Walton, J.; Horner, M.; Hardcastle, C.; Price, A.; Bebbington, J.; Thomson, C.; Atkin-Wright, T. Development of an Integrated Sustainability Assessment Toolkit. In Proceedings of the International Conference on Whole Life Urban Sustainability and its Assessment, Glasgow, UK, 27–29 June 2007; pp. 30–44. [Google Scholar]
- Singh, R.K.; Murty, H.R.; Gupta, S.K.; Dikshit, A.K. An Overview of Sustainability Assessment Methodologies. Ecol. Ind. 2012, 15, 281–299. [Google Scholar] [CrossRef]
- Aarseth, W.; Ahola, T.; Aaltonen, K.; Okland, A.; Andersen, B. Project Sustainability Strategies: A Systematic Literature Review. Int. J. Proj. Manag. 2017, 35, 1071–1083. [Google Scholar] [CrossRef]
- Fernandez-Sanchez, G.; Rodriguez-Lopez, F. A Methodology to Identify Sustainability Indicators in Construction PM-Application to Infrastructure Projects in Spain. Ecol. Ind. 2010, 10, 1193–1201. [Google Scholar] [CrossRef]
- Banihashemi, S.; Hosseini, M.R.; Golizadeh, H.; Sankaran, S. Critical Success Factors (CSFs) for Integration of Sustainability into Construction PM Practices in Developing Countries. Int. J. Proj. Manag. 2017, 35, 1103–1119. [Google Scholar] [CrossRef]
- Worrall, R.; Neil, D.; Brereton, D.; Mulligan, D. Towards a Sustainability Criteria and Indicators Framework for Legacy Mine Land. J. Clean. Prod. 2009, 17, 1426–1434. [Google Scholar] [CrossRef]
- Azapagic, A. Developing a Framework for Sustainable Development Indicators for the Mining and Minerals Industry. J. Clean. Prod. 2004, 12, 639–662. [Google Scholar] [CrossRef]
- Laurence, D. Establishing a Sustainable Mining Operation: An Overview. J. Clean. Prod. 2011, 19, 278–284. [Google Scholar] [CrossRef]
- Solomon, F.; Katz, E.; Lovel, R. Social Dimensions of Mining: Research, Policy and Practice Challenges for the Minerals Industry in Australia. Resour. Policy 2008, 33, 142–149. [Google Scholar] [CrossRef]
- Silvius, A.J.G.; Schipper, R. A Conceptual Model for Exploring the Relationship between Sustainability and Project Success. Proced. Comput. Sci. 2015, 64, 334–342. [Google Scholar] [CrossRef]
- Martens, M.L.; Carvalho, M.M. Sustainability and Success Variables in the PM Context: An Expert Panel. Proj. Manag. J. 2016, 47, 24–43. [Google Scholar]
- Martens, M.L.; Carvalho, M.M. Key Factors of Sustainability in PM Context: A Survey Exploring the Project Managers’ Perspective. Int. J. Project Manage. 2017, 35, 1084–1102. [Google Scholar] [CrossRef]
- Rodriguez-Segura, E.; Ortiz-Marcos, I.; Javier Romero, J.; Tafur-Segura, J. Critical Success Factors in Large Projects in the Aerospace and Defense Sectors. J. Bus. Res. 2016, 69, 5419–5425. [Google Scholar] [CrossRef]
- Ika, L.A. Project Success as a Topic in PM Journals. Proj. Manag. J. 2009, 40, 6–19. [Google Scholar] [CrossRef]
- Shenhar, A.J.; Dvir, D.; Levy, O.; Maltz, A.C. Project Success: A Multidimensional Strategic Concept. Long Range Plan. 2001, 34, 699–725. [Google Scholar] [CrossRef]
- Pheng, L.S.; Chuan, Q.T. Environmental Factors and Work Performance of Project Managers in the Construction Industry. Int. J. Proj. Manag. 2006, 24, 24–37. [Google Scholar] [CrossRef]
- Jugdev, K.; Müller, R. A retrospective look at our evolving understanding of project success. Proj. Manag. J. 2005, 36, 19–31. [Google Scholar] [CrossRef]
- Morris, P.W.G.; Hough, G.H. The Anatomy of Major Projects—A Study of the Reality of PM; John Wiley & Sons Ltd.: Chichester, UK, 1987. [Google Scholar]
- Wateridge, J. How can IS/IT projects be measured for success? Int. J. Proj. Manag. 1998, 16, 59–63. [Google Scholar] [CrossRef]
- Müller, R.; Turner, R. The Influence of Project Managers on Project Success Criteria and Project Success by Type of Project. Eur. Manag. J. 2007, 25, 298–309. [Google Scholar]
- Westerveld, E. The Project Excellence Model ®: Linking success criteria and critical success factors. Int. J. Manag. 2003, 21, 411–418. [Google Scholar] [CrossRef]
- Sauser, B.J.; Reilly, R.R.; Shenhar, A.J. Why Projects Fail? How Contingency Theory can Provide New Insights—A Comparative Analysis of NASA's Mars Climate Orbiter Loss. Int. J. Proj. Manag. 2009, 27, 665–679. [Google Scholar] [CrossRef]
- De Carvalho, M.M.; Patah, L.A.; de Souza Bido, D. Project Management and its Effects on Project Success: Cross-Country and Cross-Industry Comparisons. Int. J. Proj. Manag. 2015, 33, 1509–1522. [Google Scholar] [CrossRef]
- Serrador, P.; Turner, R. The Relationship between Project Success and Project Efficiency. Proj. Manag. J. 2015, 46, 30–39. [Google Scholar] [CrossRef]
- Turner, R.; Zolin, R. Forecasting Success on Large Projects: Developing Reliable Scales to Predict Multiple Perspectives by Multiple Stakeholders over Multiple Time Frames. Proj. Manag. J. 2012, 43, 87–99. [Google Scholar] [CrossRef]
- Ika, L.A.; Diallo, A.; Thuillier, D. Critical Success Factors for World Bank Projects: An Empirical Investigation. Int. J. Proj. Manag. 2012, 30, 105–116. [Google Scholar] [CrossRef]
- Carvalho, M.M.; Rabechini Junior, R. Impact of Risk Management on Project Performance: The Importance of Soft Skills. Int. J. Prod. Res. 2015, 53, 321–340. [Google Scholar] [CrossRef]
- Mir, F.A.; Pinnington, A.H. Exploring the Value of PM: Linking PM Performance and Project Success. Int. J. Proj. Manag. 2014, 32, 202–217. [Google Scholar] [CrossRef]
- Shenhar, A.J.; Dvir, D. Reinventing PM: The Diamond Approach to Successful Growth and Innovation. Res. Technol. Manag. 2007, 50, 68–69. [Google Scholar]
- International Organization for Standardization. ISO 9001:2015 Quality Management Systems—Requirements; ISO: Geneva, Switzerland, 2015. [Google Scholar]
- International Organization for Standardization. ISO 14001:2015 Environmental Management Systems—Requirements with Guidance for Use; ISO: Geneva, Switzerland, 2015. [Google Scholar]
- International Organization for Standardization. ISO 50001:2011 Energy Management Systems—Requirements with Guidance for Use; ISO: Geneva, Switzerland, 2015. [Google Scholar]
- Asociación Española de Normalización y Certificación. UNE 166002:2014 Gestión de la I+D+i: Requisitos del Sistema de Gestión de la I+D+i; AENOR: Madrid, Spain, 2014. [Google Scholar]
- OHSAS Project Group. OHSAS 18001: 2007 Occupational Health and Safety Management Systems—Requirements; OHSAS Project Group: Geneva, Switzerland, 2014. [Google Scholar]
- Project Management Institute. A guide to the Project Management Body of Knowledge. In PMBOK Guide, 6th ed.; Project Management Institute: Newtown Square, PA, USA, 2017. [Google Scholar]
- Agresti, A. An Introduction to Categorical Data Analysis; John Wiley & Sons: Hoboken, NJ, USA, 2007. [Google Scholar]


| Sustainability Variables | ISO 9001:2015 | ISO 14001:2015 | ISO 50001:2011 | UNE 166002:2014 | OHSAS 18001:2007 | |
|---|---|---|---|---|---|---|
| Economic | Financial and economic performance | O | ||||
| Financial benefits | O | |||||
| Cost management | O | |||||
| Customer relationship management | O | |||||
| Involvement of stakeholders | O | O | ||||
| Business ethics | ||||||
| Innovation management | O | |||||
| Organizational culture management | O | |||||
| Environment | Natural resources | O | ||||
| Water | O | |||||
| Energy | O | |||||
| Air | O | |||||
| Eco-efficiency | O | |||||
| Management of environ. impacts | O | O | ||||
| Environmental policy management | O | O | ||||
| Env. commitment and responsibility | O | O | ||||
| Social | Labor practices | O | O | |||
| Relationships with the local community | O | |||||
| Management of human rights | O | |||||
| Stakeholder engagement | O | |||||
| Relationships with society | O | |||||
| Responsibility with products and services | O | O | ||||
| Relationships with suppliers and Contract | O |
| Duration Interval (Months) | Budget Intervals (k€) | |||
|---|---|---|---|---|
| 0–350 | 351–700 | 701–1400 | >1401 | |
| 0–12 | 5 | 0 | 0 | 0 |
| 13–24 | 19 | 49 | 30 | 8 |
| 25–36 | 6 | 10 | 10 | 18 |
| >36 | 0 | 1 | 0 | 1 |
| Standard | No Certified | Certified | p-Value |
|---|---|---|---|
| ISO 9001 | 37.4% | 21.4% | 0.03 |
| ISO 14001 | 41.0% | 13.9% | 0.000 |
| ISO 50001 | 28.6% | 10.0% | 0.203 |
| UNE 166002 | 29.1% | 12.5% | 0.203 |
| OHSAS 18001 | 32.5% | 12.5% | 0.014 |
© 2018 by the authors. Licensee MDPI, Basel, Switzerland. This article is an open access article distributed under the terms and conditions of the Creative Commons Attribution (CC BY) license (http://creativecommons.org/licenses/by/4.0/).
Share and Cite
Martínez-Perales, S.; Ortiz-Marcos, I.; Juan Ruiz, J.; Lázaro, F.J. Using Certification as a Tool to Develop Sustainability in Project Management. Sustainability 2018, 10, 1408. https://doi.org/10.3390/su10051408
Martínez-Perales S, Ortiz-Marcos I, Juan Ruiz J, Lázaro FJ. Using Certification as a Tool to Develop Sustainability in Project Management. Sustainability. 2018; 10(5):1408. https://doi.org/10.3390/su10051408
Chicago/Turabian StyleMartínez-Perales, Silvia, Isabel Ortiz-Marcos, Jesús Juan Ruiz, and Francisco Javier Lázaro. 2018. "Using Certification as a Tool to Develop Sustainability in Project Management" Sustainability 10, no. 5: 1408. https://doi.org/10.3390/su10051408
APA StyleMartínez-Perales, S., Ortiz-Marcos, I., Juan Ruiz, J., & Lázaro, F. J. (2018). Using Certification as a Tool to Develop Sustainability in Project Management. Sustainability, 10(5), 1408. https://doi.org/10.3390/su10051408

