Next Article in Journal
Solar and Shading Potential of Different Configurations of Building Integrated Photovoltaics Used as Shading Devices Considering Hot Climatic Conditions
Previous Article in Journal
Is It Correct to Use the Internal Rate of Return to Evaluate the Sustainability of Investment Decisions in Public Private Partnership Projects?
 
 
Font Type:
Arial Georgia Verdana
Font Size:
Aa Aa Aa
Line Spacing:
Column Width:
Background:
Article

The Role of Social Media in Promoting Information Disclosure on Environmental Incidents: An Evolutionary Game Theory Perspective

1
School of Public Administration, Central South University, Hunan 410083, China
2
Jieyang Party Institute of C.P.C and Jieyang Administration Institute, Jieyang 522000, China
*
Author to whom correspondence should be addressed.
Sustainability 2018, 10(12), 4372; https://doi.org/10.3390/su10124372
Submission received: 17 September 2018 / Revised: 14 November 2018 / Accepted: 15 November 2018 / Published: 23 November 2018

Abstract

:
In recent years, social media has had a crucial role in promoting governments to act more responsibly. However, few studies have investigated whether social media use actually leads to increased disclosure during environmental incidents, or how social media influences regional governments’ information disclosure, even though delayed and insufficient disclosure on relevant incidents is often widespread in China. In this article, we model information disclosure during environmental incidents as an evolutionary game process between the central government and local governments, and examine the role of social media on game participants’ strategy selections in the information disclosure game. The results indicate that social media plays an active role in promoting the regional government to proactively disclose information during environmental incidents through two mechanisms: the top–down intervention mechanism, and the bottom–up reputation mechanism. More specifically, social media can provide efficient information channels for the central government to supervise local officials’ limited disclosure during environmental incidents, essentially sharing the central government’s supervision costs, and thus improving its supervision and intervention efficiency. Social media helps focus the public’s attention on the limited disclosure of local officials in environmental incidents, and actively mobilizes citizens to protest to maintain their interests, placing considerable pressure on the reputation of local governments.

1. Introduction

China has witnessed numerous environmental incidents that have caused huge challenges for social stability and economic development. The latest data from the Ministry of Ecology and Environment Protection (MEEP) of China revealed that 302 environmental incidents occurred in 2017 [1]. In the face of frequent environmental incidents, empirical research has shown that the extent of information disclosure during the stages of accident investigation, handing, response, and disposal can determine the quality and results of an environmental emergency to a large extent [2,3]. This means that government agencies at all levels should take the initiative to disclose information to the public during environmental incidents under the Environmental Protection Law (EPL), but the practice of information disclosure by the government is still severely limited [4,5]. Government officials, especially at the local level, prefer to provide information to the public in a reluctant, superficial, delayed, or selective manner—for brevity, we define this as “limited disclosure” [6]—rather than proactively responding to the public’s information demands (similarly, we define this as “full disclosure”), especially for information related to the possibility of threats to public health and living conditions. For example, the hazards from the Songhua River pollution incident endured a concealment of nine days. An earlier official statement informed the public that only water and carbon dioxide had been ejected from a chemical plant explosion, and that no pollutants entered the river system. Finally, the pollutants drifted to Russia and caused a diplomatic conflict [6,7]. Similarly, such limited information disclosure occurred in the “8/12 Tianjin explosion” and the “4/11 Lanzhou drinking water incident” [8,9]. As a consequence, widespread public panic often occurs, which can lead to secondary risk events, such as public protests, rumors, etc. Therefore, we think that it is important to examine the internal mechanisms of the government’s information disclosure during the progress of environmental incidents.
Previous literature has provided various theoretical frameworks to investigate the internal mechanisms of information disclosure in the public sector, including neoinstitutional, legitimacy, stakeholder, and agent theories [10,11,12,13]. The first two theories focus on the macro levels of analysis. Neoinstitutional theory explains that the government’s information disclosure is mainly motivated by external pressure and innovative trends [14], and legitimacy theory suggests that government agencies respond to legitimacy threats to maintain the government’s credibility and image in unforeseen crises by adopting a proactive disclosure strategy [15]. Both theories mainly emphasize that practices related to the government’s full disclosure are influenced by the characteristics of the environment and the particular structure of each organization, mainly including technological development, political commitment among voters, corruption levels, and the demand for legal information [5], and ignore the roles of stakeholders at the micro level. Accordingly, stakeholder theory is often used as a mainstream theory to explore the internal mechanisms of information disclosure by the government [16,17]. For example, Li et al. showed that the level of information disclosure is significantly affected by stakeholders’ demands, including governments, social media, and environmental organizations [17]. However, during environmental incidents, especially in China, it is usually up to local governments to decide whether or not to disclose the information, which means that stakeholder theory may fail to serve as a cornerstone to explain the phenomena [6]. China has been labeled as a typical authoritarian state for a long time, where policies are largely created by the central government and implementation depends on the local governments [4]. In this regard, agency theory could be an appropriate theoretical tool to explain why regional governments and their officials tend to adopt limited disclosure for environmental incidents. This explains that limited disclosure by local governments is essentially rooted in the information asymmetry between the central government (principal) and local governments (agents) [18,19]. The central government, as the principal, often adopts various measures to encourage the local governments and their officials to proactively disclose information during environmental incidents. For instance, the top–down supervision system is an essential tool that incentivizes local governments and their officials to act more responsibly, which means that the central government punishes local officials once they are involved in limited disclosure during environmental incidents. However, the main official information source for top–down supervision is a bottom–up reporting system of incident information; this information is then reported through administrative channels, level by level, all the way to the central government, which makes it difficult to determine whether limited disclosure by regional officials is occurring during environmental incidents [20]. Thus, regional governments’ limited disclosure often occurs as they think that the potential consequences, including top–down accountability and reputation loss, can be avoided by their disclosure-avoidance behaviors [21]. In this case, information disclosure in environmental incidents is facing the “Prisoners’ Dilemma” of game theory: the central government tends to choose the unsupervised strategy, and local governments and their officials adopt limited disclosure as their optimal choice.
To address the dilemma, some studies have argued for a social supervision role for social media in the public sector [22,23,24,25], which could be seen as an important supplement to the top–down supervision system, and could help push local governments to act more responsibly [26,27]. For example, authors such as Chen have shown that criticism of the local governments and their officials by the media would help the central government ensure local compliance and create a favorable public opinion. More importantly, such media criticism can often correct recalcitrance [26]. Egorov et al. took a similar view; they stated that social media has the advantage of providing an information channel for the dictator to learn the efforts of lower-level officials, and can be considered an important tool to keep citizens informed about the daily administration of the local government [27]. In addition, social media can improve the public’s access to government information by actively reporting local affairs, thus significantly lowering the barriers to the public’s participation in critical public issues and facilitating citizens’ monitoring of functionary activities [28,29,30]. For example, Dong et al. indicated the role of social media in the supervision of the government, judiciary, and other public powers; the maintenance of justice and protection of disadvantaged groups; and in attracting the government’s attention, urging the government to publicize information and investigate the event, and promoting social management innovation and institutional change [22]. Other authors such as Cuadrado-Ballesteros et al. provided a similar viewpoint: social media can improve the government’s effectiveness [31]. This means that social media can improve citizens’ accessibility to information, which in turn would make it more difficult for politicians and public servants to cover up or hide corrupt behavior. Eom et al. indicated that social media essentially provides a communication platform between local governments and the public, and thus enhances the government’s responsiveness [32]. However, despite the expectation that social media use in the public sector will push local governments to act more responsibly, few studies have examined whether social media supervision leads to more disclosure in practice, and how social media influences local governments’ information disclosure.
China has been considered an information-poor environment for a long time, where government agencies at all levels are in strong control of not only the economy, but also information [33]. The public used to receive virtually all government information through conventional information institutions, such as television, newspapers, and the radio. However, with the rapid development of information and communication technology, social media has undermined the control of government agencies on information provision and dissemination, and most scholars agree that social media can be seen as a powerful tool to push regional governments to fully disclose information [34,35,36]. For example, Cuadrado- Ballesteros showed that local governments tend to release less strategic and socioeconomic information when subjected to strong media pressure, because social media focuses on unusual and negative news [35]. During elections, this author indicated that more media pressure may trigger a low level of information disclosure due to the fear of losing the support of voters [36]. In terms of government financial information disclosure, Zhang et al. [37] showed that the public has rapid internet access to information released by the government, and they can express their views on current affairs freely on micro blogs, blogs, or forums. The public can even criticize government actions on social media, which has greatly expanded the provision of public opinion feedback to the government. However, the focus of this study was to examine the role of social media in improving citizens’ access to government information. That China is a decentralized state implies that a structural difference exists between the government’s information disclosure at the central and regional levels [20,38]. Therefore, it is important to investigate how social media influences information disclosure by local governments within the framework of central–local government relations. Related literature has tended to investigate the role of social media in influencing information disclosure by the government in a social stability context, which indicated the factors that exert the greatest influence on information disclosure behavior are information-related factors such as the difficulty of processing, the purpose of the request, favorability to agency, and so on [39]. Few studies have examined the role of social media in governmental information disclosure within the public crisis context, although limited disclosure during environmental incidents is widespread in China. Unlike the social stability context, blame avoidance is the main motivation that affects local government’ decisions regarding whether or not to disclose information within the public crisis context.
The existing literature on media supervision is concentrated in the field of capital markets, where theoretical and empirical explorations have shown that social media performs the roles of social supervision through information intermediaries [40,41] and governance [42,43]. Social media is highly persuasive in focusing public attention on certain events and topics, such as the negative messages of enterprises, by extensive, continuous, and widespread coverage, which can greatly affect an enterprise’s reputation [42]. Social media can also provide an efficient information channel for government agencies to supervise enterprise malpractice, easily triggering government intervention [43]. However, despite the abundant research on media supervision in capital markets, insufficient attention has been paid to the role of social media in the public sector. Empirical research has shown that social media can play a similar role in promoting local governments to fully disclose information when an environmental incident occurs. Social media provides an efficient information channel for the central government to supervise local governments and their officials by reporting local affairs, and thus can improve its supervision and intervention efficiency. The central government, in turn, allows and even actively stimulates social media, such as micro blogs and blogs, to expose incidents of malpractice by local officials, ranging from incompetence to corruption, before the relevant officials are investigated or convicted, often with the idea of building countervailing power against the distortion of information between the central government and local authorities [4,26]. For example, President Xi Jinping, who came to power in late 2012, appealed for the creation of “conditions for people to criticize and oversee the government, giving full play to the oversight role of social media, and let power be exercised in the sunshine” [44]. In addition, social media can put a great deal of social pressure on local government reputations by creating public opinion once local officials have become involved in malpractice, thus encouraging government officials to act more responsibly in their responses to social media enquiries.
Some deficiencies still exist in current studies on information disclosure by governments. Information disclosure is an interactive process among stakeholders, such as enterprises, governments, social media, environmental organizations, and individuals [17,21,45]. Therefore, we can model the interactions among these stakeholders as a dynamic game of information disclosure using game theory. For example, Eiichi and Toshizumi used a game model between a government agency and the public to investigate the progress of risk information disclosure [21], but this study mainly considered the game relationship between government agencies and the public, and ignored the conflict between the central government and local governments. When an environmental incident occurs, local governments usually decide whether or not to fully disclose information [4]. However, regional governments often have an incentive to not proactively report the obtained information in order to avoid top–down accountability. The central government, as the principal, often adopts various measures to simulate local governments and their officials to fully disclose information. Therefore, information disclosure in environmental incidents can be seen as a dynamic game between the central government and local governments.
Motivated by the above discussion, we aimed to examine whether social media leads to more disclosure during environmental incidents and how social media influences regional government information disclosure. We recommend collective strategies to promote proactive information disclosure by local governments to the public. To achieve this goal, firstly, we reconsider government information disclosure during environmental incidents within the social media context. Secondly, an evolutionary game model between the central government and regional governments is built to model the progress of information disclosure. Finally, we provide an operational framework to simulate the role of social media on game participants’ strategy selections in the information disclosure game by using simulations, as well as analyzing the internal mechanism through which social media influences information disclosure by local governments during environmental incidents.

2. Methodology

In traditional game theory, it is often assumed that as the game progresses, the participants are completely rational in pursing their own best interests, and that all of the participants operate under a complete information condition. However, both conditions are difficult to achieve in real economic situations. For example, as the game of information disclosure progresses during an environmental incident, both regional governments and the central government are not completely rational, and are not operating under complete information conditions due to having limited knowledge and information as well as operating under a complex environment. Perfect strategy combinations are often expected in game theory. That is, local governments select to fully disclose, and the central government selects to supervise. However, in practice, these adjustments cannot be achieved immediately, and the participants must adjust their strategies to achieve optimal results with the changing environment. Thus, an evolutionary game model is used to analyze the process of a government’s information disclosure during environmental incidents. This study applies evolutionary game theory as an approach for two reasons. (1) Unlike the traditional game theory, evolutionary game theory can explain why and how game participants reach a stable state through the dynamic analysis of the evolutionary process. (2) The evolution of groups has a certain inertia that can be explained by the mutation process.
In this section, we first explain the relationship between the central government and local governments during the process of information disclosure during environmental incidents, and we discuss the role of social media in the information disclosure game. Thereafter, an evolutionary game model between the central government and local governments is built to investigate the process of information disclosure, and this model is solved based on the replication dynamics mechanism. Finally, we use the Jacobian matrix to analyze the stability of each equilibrium point.

2.1. Theoretical Framing Analysis

Before establishing the evolutionary game model, it is necessary to explain the relationship between the central government and local governments during environmental incidents, and discuss the role of social media in the information disclosure game, as shown in Figure 1. In China’s authoritarian system, the relationship between the central government and local governments in the process of information disclosure is essentially the principal-agent one. This means that as the principal, the central government should adopt effective incentives to push regional governments and their officials to act more responsively, and a top–down supervision system is often used to stimulate local governments and their officials to proactively disclose information during environmental incidents. This means that the central government punishes local officials once they become involved in malpractice. The punishment of local officials includes two parts: a fine, which equals the central government’s revenue under its supervision, and an implicit punishment, such as personal reputation loss, political future, etc. The benefit that local officials obtain when they adopt full disclosure in dealing with environmental incidents includes social benefits and personal benefits. Social benefits refer to a government’s reputation generated by full disclosure, and personal revenue mainly includes commendation and promotion from the central government. However, in practice, the main official information source for use in top–down supervision is a bottom–up reporting system; this information is then reported through administrative channels, level by level, all the way to the central government, which makes it difficult to determine whether limited disclosure by local officials is occurring during environmental incidents. In this case, the central government tends to choose not to supervise, and thus may suffer from administration authority loss as it fails to strictly supervise local officials’ malpractice.
With the rapid development of information and communication technology, social media has the advantage of having a good “input–output” effect in terms of harmonizing social relations, allocating social resources, and holding the government accountable. Therefore, social media, as an important part of the social supervision system, is introduced to the information disclosure game between the central government and the regional government, which is expected to change participants’ strategies from “negative” to “positive”. That is, the central government tends to choose to supervise, and local governments select full disclosure as their optimal choice. Two mechanisms, the intervention mechanism and reputation mechanism, can help social media adopt the role of social supervision. Social media can provide an efficient information channel for the central government to supervise local officials, which can improve its supervision efficiency to some extent. This means that the central government can easily determine what is happening in local affairs through social media, especially regarding local officials’ malpractice. Social media also plays an important role in focusing the public’s attention on certain events and topics, especially regarding government malpractice at both the regional and central levels. So, when local governments and their officials do not proactively disclose information during environmental incidents, social media can help citizens form opinions on regional officials’ malpractice by extensive, continuous, and widespread reports, and thus significantly damage local governments’ reputations. Similarly, social media also puts social pressure on the central government’s reputation once it fails to actively supervise local officials’ limited disclosure.

2.2. Evolutionary Game Model

2.2.1. Game Payment Function

(1) Participants in the game: The two participants in the evolutionary game of information disclosure during environmental incidents are the central government and local government, and both of them have bounded rationality.
(2) Participants’ behavior strategies: Local governments have two strategies: limited and full disclosure. A limited disclosure strategy means that local governments and their officials tend to adopt a reluctant, superficial, selective, or delayed disclosure manner to tackle environmental incidents [4]. The full disclosure strategy indicates that an organization “breaks the news about its own crisis before the crisis is discovered by the media or other interested parties” [46], which means that local governments and their officials tend to proactively disclose information to the public before environmental incidents occur. At the same time, the central government supervises regional governments’ information disclosure during environmental incidents. There are two strategies for the central government: to supervise or not supervise whether local officials proactively disclose information during environmental incidents. Whether local governments proactively disclose information during environmental incidents or not can be considered a result of the game between the central government and local governments.
(3) Probabilities of behavioral strategy: In the initial stage of the game between the central government and local governments, we assume that the probability of regional governments choosing the full disclosure strategy is α ( 0 α 1 ) , and the probability of selecting the limited disclosure strategy is 1 α . The probability of the central government choosing supervision is β ( 0 β 1 ) , and the probability of choosing no supervision is 1 β .
The corresponding parameters C 1 , R 1 , p , C s , C f and C 2 , R 2 , R 3 , ε , F , C r for the central governments and local governments, respectively, and parameters v , x 0 for social media are described in Table 1.
(4) Game payment functions: The pay-off matrix between regional governments and the central government is shown in Table 2. The payment functions of each strategy on the game players are as follows.
π 1 represents the revenues of local governments when they fully disclose information and the central government supervises during environmental incidents. The income includes two parts. The first part is the reputation and extra benefits that local governments gain when they take the initiative to disclose information during environmental incidents, including commendation and promotion from the central government. The expenditure costs refer to the sum of the full disclosure costs, such as information searching, gathering, saving, reporting, and publishing costs. π 2 represents the local governments’ revenues when they select the full disclosure strategy and the central government chooses the no-supervision strategy during environmental incidents. In this case, local governments can obtain the net benefit R 2 C 2 . π 3 represents the revenues of local governments when they do not fully disclose information and the central government supervises during environmental incidents. The income is the potential benefits of local governments and their officials when adopting the limited disclosure strategy, including local interests or profits from corruption. The expenditure costs include two parts. The first is the fine, which is ( p + ( 1 p ) v ) F . If the central government finds out that local officials have provided limited disclosure with probability p , then local governments pay a fine of p F . Instead, local governments still pay an extra fine ( 1 p ) v F under media exposure. Since social media can provide an efficient information channel for the central government to supervise local officials’ limited disclosure, this improves its supervision efficiency. The other part is the potential reputation loss of local governments after social media exposure once they become involved in malpractice. π 4 represents the local governments’ revenues when they do not fully disclose information and the central government does not supervise. Without central supervision, local governments do not need to pay the fines ( p + ( 1 p ) v ) F . Instead, they obtain potential benefits from limited disclosure, but have to pay in terms of reputation loss after social media exposure. u 1 is the revenue of the central government when full disclosure and supervision are the optimal strategies of the regional governments and the central government, respectively. The revenue represents the benefits that the central government obtains from local government full disclosure during environmental disclosure, such as central authority. The expenditure is the costs paid by the central government during supervision. u 2 is the central government’s revenue when regional governments fully disclose information and the central government chooses not to supervise. The income refers to reputation promotion, and the expenditure is the administration authority’s loss. u 3 is the central government’s revenue when regional governments select limited disclosure and the central government chooses the supervision strategy during environmental incidents. The income is equal to the penalty paid by local governments when adopting the limited disclosure strategy, and the expenditure represents the supervision costs. u 4 represents the revenue of the central government when local governments do not fully disclose information and the central government does not choose to supervise, which leads to the reputation loss of local governments after social media exposure.

2.2.2. Replicated Dynamic Equations of the Information Disclosure Game

According to the basic principles of replicator dynamics, strategies that are better than average are gradually adopted in a game group with bounded rationality, which produces changing strategy proportions over time [47,48]. In the following text, we denote U 1 , U 2 , V 1 , and V 2 as the expected benefits of the central and local governments under different strategies, respectively. We first analyze local governments. The expect benefits when adopting a full disclosure strategy ( U 1 ) or a limited disclosure strategy ( U 2 ) can be computed as:
U 1 = β π 1 + ( 1 β ) π 2 = β ( R 2 C 2 + ε ) + ( 1 β ) ( R 2 C 2 ) = R 2 C 2 + β ε
U 2 = β π 3 + ( 1 β ) π 4 = β ( R 3 ( p + ( 1 p ) v ) F v x 0 C r ) + ( 1 β ) ( R 3 v x 0 C r ) = R 3 β ( p + ( 1 p ) v ) F v x 0 C r
Then, we can obtain the replicated dynamic equation for local governments:
Z ( α , β ) = d α dt = α ( U 1 U ¯ ) = α ( 1 α ) ( U 1 U 2 ) = α ( 1 α ) ( R 2 C 2 + β ε R 3 + β ( p + ( 1 p ) v ) F + v x 0 C r )
where U ¯ = α U 1 + ( 1 α ) U 2 is the local governments’ average expected benefits, and t in Equation (3) refers to the timing of the strategy changes in the evolutionary system.
Similarly, the expected benefits ( V 1 ) when adopting supervision, and the expected benefits ( V 2 ) when adopting the no-supervision strategy, are calculated as:
V 1 = α u 1 + ( 1 α ) u 3 = α ( R 1 C 1 ) + ( 1 α ) ( ( p + ( 1 p ) v ) F C 1 )
V 2 = α u 2 + ( 1 α ) u 4 = α ( R 1 C f ) ( 1 α ) v x 0 C s
Thus, the replicated dynamic equation of the central government’s evolutionary strategy is:
D ( α , β ) = d β dt = β ( V 1 V ¯ ) = β ( 1 β ) ( V 1 V 2 ) = β ( 1 β ) ( C 1 + α C f + ( 1 α ) ( p + ( 1 p ) v ) F + ( 1 α ) v x 0 C s
where V ¯ = α V 1 + ( 1 α ) V 2 is the central government’s average expected benefits, and t in Equation (6) refers to the timing of strategy changes in the evolutionary system.
The two-dimensional dynamic autonomy system consists of Equations (3) and (6), and can be expressed as:
{ Z ( α , β ) = d α dt = α ( U 1 U ¯ ) = α ( 1 α ) ( R 2 C 2 + β ε R 3 + β ( p + ( 1 p ) v ) F + v x 0 C r ) D ( α , β ) = d β dt = β ( V 1 V ¯ ) = β ( 1 β ) ( C 1 + α C f + ( 1 α ) ( p + ( 1 p ) v ) F + ( 1 α ) v x 0 C s )

2.2.3. Evolutionary Game Equilibrium Analyses

According to the stability theorem of evolutionary dynamic equations [47], if and only if 0 α * , β * 1 , we can obtain five local equilibrium points of the system by setting its first derivative equal to zero, Z ( α , β ) = D ( α , β ) = 0 . The equilibrium points of the system above are (0,0), (0,1), (1,0), (1,1), and ( α * , β * ) . Among them:
{ α * = [ C 1 + ( p + ( 1 p ) v ) F + v x 0 C s ] / [ C f + ( p + ( 1 p ) v ) F + v x 0 C s ] β * = [ ( R 3 v x 0 C r ) ( R 2 C 2 ) ] / [ ε + ( p + ( 1 p ) v ) F ]
The equilibrium points may not be evolutionary stable strategies (ESS); thus, the level of local stability needs to be determined. According to the method proposed by Friedman [48], we can adopt the Jacobian method to analyze the stability of the equilibrium points. Firstly, the Jacobian matrix (J) of the game is:
J = ( Z α Z β D α D β ) = ( a 11 a 12 a 21 a 22 )
where a 11 = ( 1 2 α ) ( R 2 C 2 + β ε R 3 + β F ( p + ( 1 p ) v ) + v x 0 C r ) , a 12 = ( 1 α ) α [ ( p + ( 1 p ) v ) F + ε ] , a 21 = ( 1 β ) β ( C f ( p + ( 1 p ) v ) F v x 0 C s ) , and a 22 = ( 1 2 β ) ( C 1 + α C f + ( 1 α ) ( p + ( 1 p ) v ) F + ( 1 α ) v x 0 C s ) .
Second, we can determine whether the equilibrium points represent an ESS by computing the sign of the trace Tr(J) and the determinants Det(J) of the matrix, which are calculated by Equation (10):
D e t ( J ) = F ( X ) X F ( Y ) Y F ( X ) Y F ( Y ) X = a 11 a 22 a 21 a 12 > 0 T r ( J ) = F ( X ) X + F ( Y ) Y = a 11 + a 22 < 0
In this section, we only consider the equilibrium points E 1 = ( 0 , 0 ) , E 2 = ( 0 , 1 ) and E 4 = ( 1 , 1 ) because the equilibrium resolutions of group evolutionary game theory are a strict Nash equilibrium. Thus, there are three possible scenarios in the information disclosure game according to the size relationships between the costs and benefits of the players (Table 3).
According to the above discussion, three propositions are presented as follows:
Proposition A1: When the system satisfies R 2 C 2 < R 3 x 0 v C r and C 1 > ( p + ( 1 p ) v ) F + x 0 v C s , the equilibrium point E 1 = ( 0 , 0 ) is the ESS.
Remark A1. In this scenario, neither the central government nor local governments have the motivation to fulfill their duties. From an overview viewpoint, parameters v , F , p , x 0 , and C s can be viewed as the negative factors for the central government choosing the supervision strategy, and C 1 can be viewed as the positive factor. Similar to regional governments, parameters C 2 , R 3 can be viewed as the positive factors for regional governments and their officials choosing the limited disclosure strategy, and R 2 , v , x 0 , C r can be viewed as the negative factors. Thus, the practical significance of Proposition A1 can be summarized as follows: when the supervision costs are high, the central government tends to choose the no-supervision strategy. Local governments choose to not proactively disclose information under the condition that the cost of full disclosure or the potential benefits from limited disclosure are great. Social media, as a negative factor (parameters v , x 0 ), to some extent, can hinder the central government in performing the no-supervision strategy, and hinders regional officials’ limited disclosure behavior during environmental incidents, because to local governments, more media exposure means that they may suffer from a greater reputation loss when they adopt the strategy of limited disclosure to address environmental incidents. Meanwhile, the central government obtains more revenue from supervision with the help of social media.
Proposition A2: When the system satisfies R 2 C 2 + ε < R 3 ( p + ( 1 p ) v ) F v x 0 C r and C 1 < v x 0 C s + ( p + ( 1 p ) v ) F , the equilibrium point E 2 = ( 0 , 1 ) is the ESS.
Remark A2. In this scenario, local governments and their officials have less motivation to proactively disclose information during environmental incidents, and efforts from the central government have no impact. Local governments and their officials choose not to use the full disclosure strategy during environmental incidents, even though the central government chooses to supervise. As an overview, parameters v , F , p , x 0 , and C s can be viewed as the positive factors for the central government choosing the supervision strategy, and C 1 can be viewed as the negative factor. Similar to local governments, parameters C 2 , R 3 can be viewed as the positive factors for local governments and their officials choosing the limited disclosure strategy, and ε , R 2 , v , p , F , x 0 , C r can be viewed as the negative factors. The practical significance of Proposition A2 is: when the supervised costs are small and the cost of full disclosure or the potential benefits from limited disclosure are great, the dynamic system evolves and balances over time. Eventually, all of the central governments choose to actively supervise, and local governments choose not to proactively disclose. Social media has a similar role to Proposition A1. This means that social media can effectively promote the central government to supervise regional officials’ limited disclosure in environmental incidents, and can hinder limited disclosure by local officials to some extent.
Proposition A3: When the system satisfies ( p + ( 1 p ) v ) F > R 3 ( R 2 C 2 ) ε v x 0 C r and C 1 < C f , the equilibrium point E 4 = ( 1 , 1 ) is the ESS.
Remark A3. In this scenario, both the central and local governments are motivated to fulfill their duties. Local governments tend to proactively disclose information, and the central government tends to supervise. From an overview viewpoint, parameters v , F , p R 2 , ε , x 0 , and C r can be viewed as the positive factors for local governments selecting full disclosure, and C 2 , R 3 can be viewed as the negative factors. Similar to the central government, parameter C f can be viewed as the positive factor for the central governments choosing the supervision strategy, and C 1 can be viewed as the negative factor. Therefore, the practical significance of Proposition A3 is: when the cost of full disclosure or the potential benefits from limited disclosure are small and the supervised costs are less than a certain value, which is the loss of administration authority C f , the system evolves to the equilibrium state {supervision, full-disclosure}. In this case, social media has a positive role in changing game participants’ strategies from negative to positive. During environmental incidents, local governments proactively disclose information, and the central government supervises.

3. Numerical Analysis

To verify our theory and analysis, numerical experiments were conducted to validate the evolutionary game using the simulation platform of MATLAB R2012a. We also discuss the role of social media on the evolutionary result in this section.

3.1. Verification of Evolutionary Scenarios A1–A3

To validate the above information disclosure game, the classic Runge–Kutta method was applied to solve the differential equation group of the dynamic replication system [49]. Therefore, we adopted the ode45 functions in our computing program to numerically calculate the evolutionary process of the dynamic replication system.

3.1.1. Scenario A1

In scenario A1, the related parameters in the evolutionary game model were chosen according to real situations that satisfy the conditions of Proposition 1: C 1 = 8 ; C 2 = 8 ; R 2 = 12 ; R 3 = 20 ; p = 0.6 ; F = 5 ; C s = 4 ; x 0 = 0.8 ; C f = 5 ; ε = 10 ; v = 0.6 ; C r = 4 , and the initial strategy ratios ( α 0 , β 0 ) of the two participants were set as {0.7, 0.3} and {0.3, 0.7}. The evolutionary results were obtained by using the above data in the model in the MATLAB platform. As shown in Figure 2, the strategy ratio of the limited disclosure of local governments decreases as the ratio of the central government’s use of the no-supervision strategy decreases. Ultimately, all central governments choose the no-supervision strategy as their optimal strategy, and all local governments select the limited disclosure strategy, thus reaching the equilibrium point E 1 = ( 0 , 0 ) . The stable equilibrium strategy E 1 = ( 0 , 0 ) is an optimal result in the information disclosure game. In this case, the performance of information disclosure during environmental incidents is very poor. One important reason for this result might be that regional governments and their officials, who are motivated by self-interest, tend to adopt a reluctant, superficial, selective, or delayed disclosure manner in response to the central government and the public to avoid the costs of full disclosure ( C 2 ). The central government may also fail to supervise the proactive information disclosure of local officials during environmental incidents due to the supervision costs ( C 1 ), which will trap them into the Prisoner’s Dilemma.

3.1.2. Scenario A2

Similarly, we set C 1 = 4 ; C 2 = 8 ; R 2 = 8 ; R 3 = 20 ; p = 0.4 ; F = 8 ; C s = 4 ; x 0 = 0.8 ; C f = 5 ; ε = 10 ; v = 0.6 ; C r = 4 to satisfy the conditions of Proposition 2. The initial strategy ratios ( α 0 , β 0 ) of the two participants were set as {0.7, 0.3} and {0.3, 0.7}. Figure 3 shows that the ratio of adoption of the limited disclosure strategy by regional governments decreases as the adoption of the supervision strategy by the central government increases. The system finally reaches the equilibrium point E 2 = ( 0 , 1 ) —the ESS is the strategy set {limited disclosure, supervision}—which means that the central government selects the supervision of local officials’ malpractice in the process of handling environmental incidents, but local governments still choose limited disclosure as their optimal strategy. In this context, information disclosure during environmental incidents is still less effective, even though the central government actively supervises malpractice by local officials. One important reason for this might be that local governments and their officials can still obtain a positive net benefit when adopting limited disclosure during environmental incidents due to the potential benefits ( R 3 ) of limited disclosure, although the central government chooses to supervise.

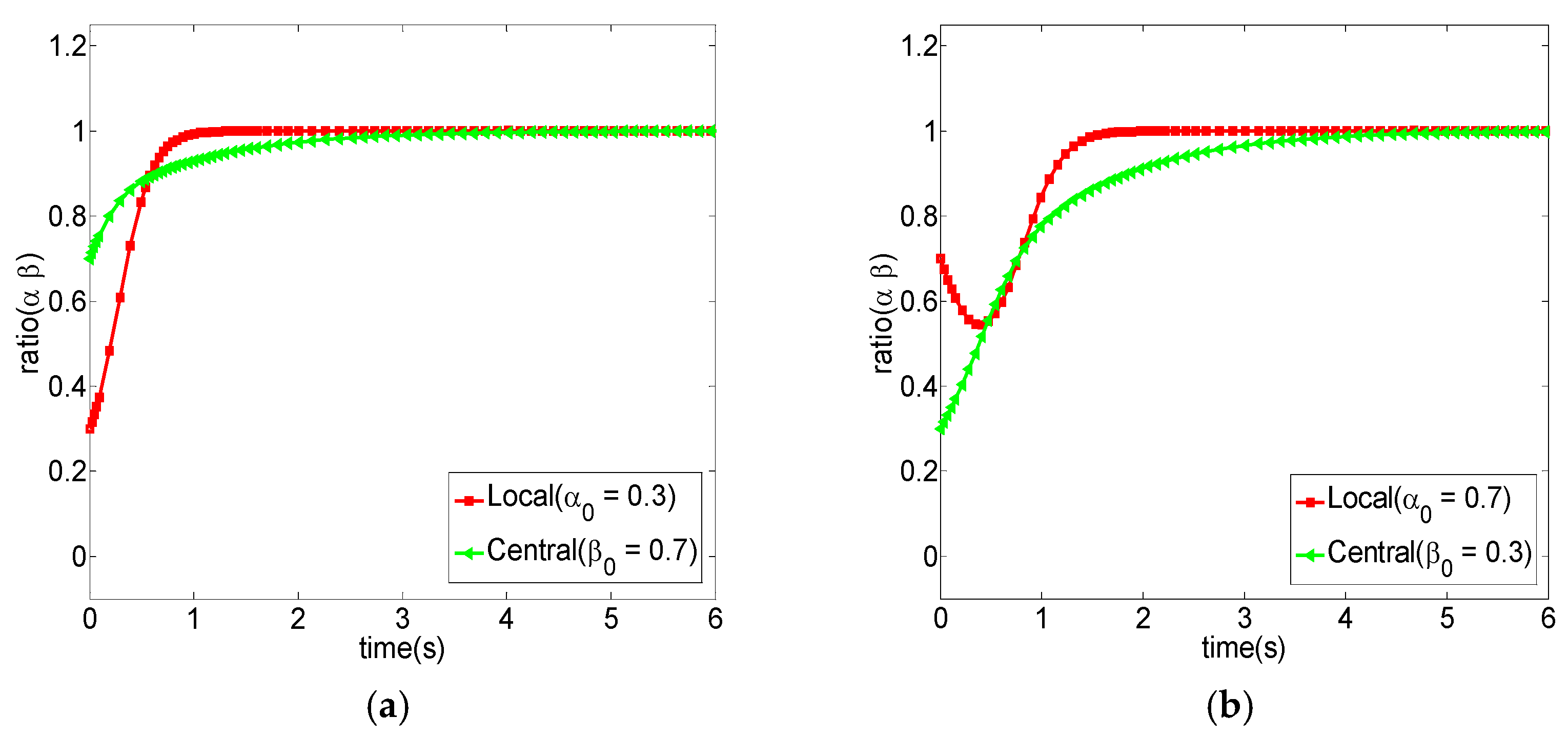
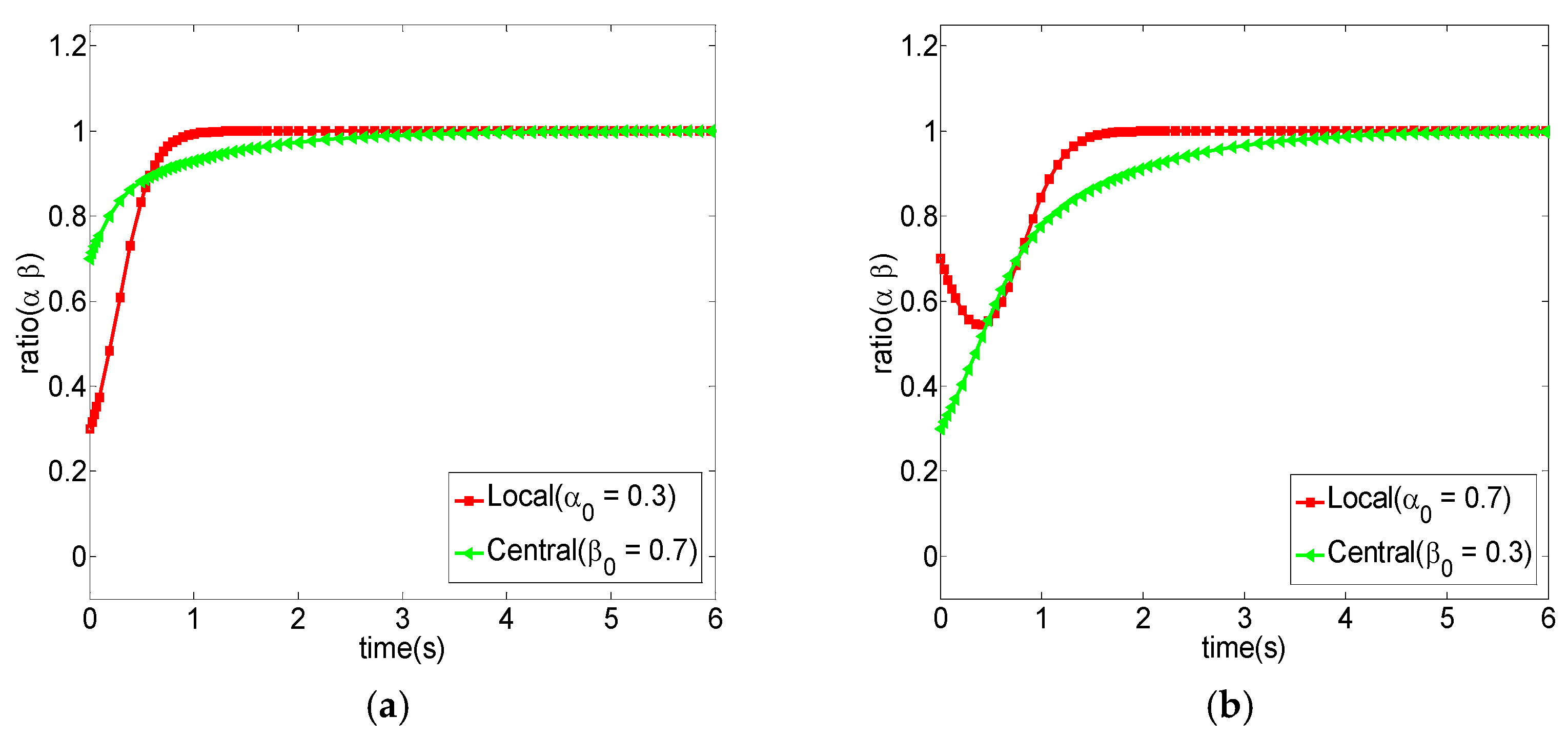
3.1.3. Scenario A3

In this section, C 1 = 4 ; C 2 = 8 ; R 2 = 8 ; R 3 = 10 ; p = 0.4 ; F = 8 ; C s = 4 ; x 0 = 0.8 ; C f = 5 ; ε = 10 v = 0.6 ; C r = 4 were chosen to test Proposition 3. The simulation results are shown in Figure 4. The supervision strategy ratio of the central government and the full disclosure strategy ratio of regional governments increases with time. Ultimately, the system reaches the equilibrium point E 4 = ( 1 , 1 ) , which means that the central government is inclined to select the supervision strategy as its optimal strategy, and local governments tend to choose full disclosure during environmental incidents. In this context, information disclosure during environmental incidents is the most effective strategy. One important reason for this might be that the benefits obtained by local governments from full disclosure are greater than those from limited disclosure. In addition, the central government selects to supervise the malpractice of local officials during environmental incidents for fear of losing its administration authority without supervision. Thus, both participants in the information disclosure tend to select the positive strategy under this condition.

3.2. Simulation Analysis of the Role of Social Media in the Information Disclosure Game

In this section, we examine the role of social media in the process of information disclosure during environmental incidents. In order to do this, we focus on the factors associated with social media, which include the probability of media exposure ( v ) and the social influence of social media ( x 0 ) on game participants’ strategy selections in the information disclosure game. The settings of the simulation parameters are shown in Table 4.

3.2.1. Probability of Media Exposure in the Information Disclosure Game

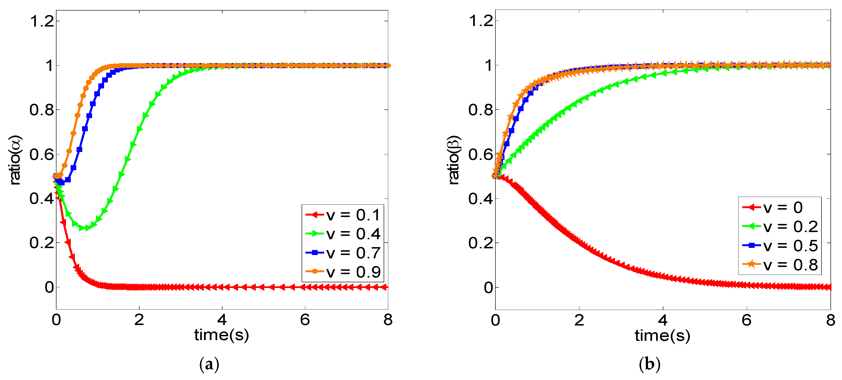
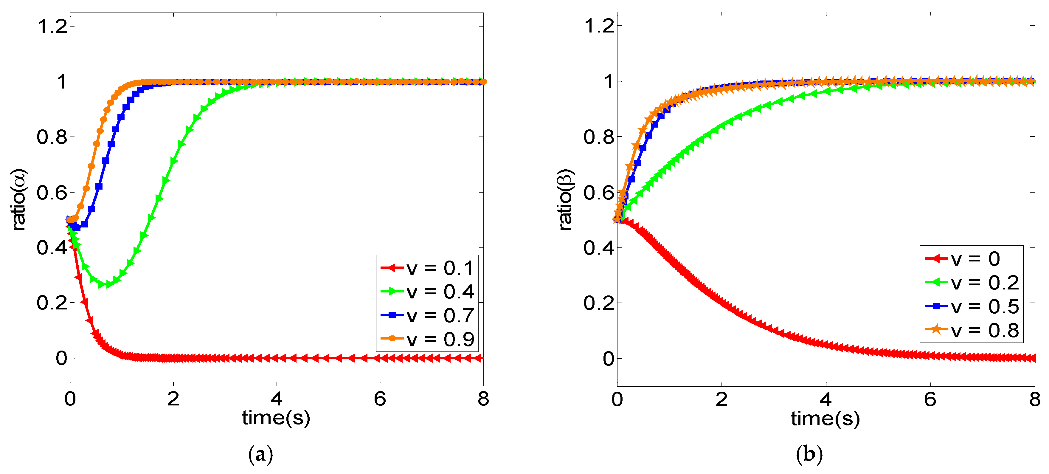
In order to investigate the impact of social media exposure probability on the evolutionary results, the parameter v was set to range from 0 to 0.9, while the other parameters were fixed. All of the initial strategy ratios of the two participants were 0.5, which means that the initial state of the strategy combination is point E ( α 0 , β 0 ) = ( 0.5 , 0.5 ) . The simulation results on the left of Figure 5 reveal that an increase in the probability of social media exposure can lead local governments to change their strategy from limited disclosure (red line) to full disclosure (other lines). When v is very small in actual situations, local governments tend to adopt a reluctant, superficial, selective, or delayed disclosure manner to track environmental incidents. When we continued to increase v to a certain value, local governments tended to change their initial limited disclosure strategy, and the ratio of full disclosure strategy adoption by regional governments increased when the probability of social media exposure increased from 0.4 to 0.9. Similar change trends are also depicted on the right in Figure 5. The strategy of the central government gradually changes from no supervision to supervision as the probability of social media exposure increases. In summary, the simulation results demonstrate that the probability of social media exposure can effectively encourage the central government to adopt the supervision strategy, and constrain regional officials’ limited disclosure during environmental incidents to some extent.
These results coincide with real practice. For a long time, China has been considered an information-poor environment, where government agencies at all levels control information disclosure. This means that it is difficult for social media to supervise local governments for a variety of reasons. First, information and communication technology limit the role of social media in supervising regional officials. Second, in reality, social media supervision in China lacks effective legal protection. Third, the main conventional information institutions, such as television, newspapers, the radio, news agencies, and the information they release have been kept under state control for a long time. Without social media supervision, the effects of the central and local governments on information disclosure during environmental incidents often run into the Prisoner’s Dilemma, which was well reflected in the Songhua River Pollution incident. In this case, local officials deliberately covered up the real reasons why the water supply in Harbin was suspended in the early stages of the water pollution incident due to concerns that a social crisis would occur, and the central government also remained silent due to a lack of information on the accident as a result of the bottom–up reporting of information. Therefore, we deduce that the central and local governments actually operated conspiratorially regarding information disclosure during the Songhua River Pollution incident. Notably, in this case, few social media platforms actively revealed the truth about the incident and played a role in supervising local governments, which finally led to rumors.
With the rapid development of information and communication technology, it is much easier for the central government to identify malpractice by local officials with the help of social media. Media reports on malpractice by local officials can attract the central government’s attention, and thus improve its intervention efficiency. During this process, social media essentially shares the central government’s supervised costs, and thus the central government tends to choose to actively supervise local officials. The central government also allows and even actively stimulates information disclosure and social media openness, often with the idea of building a countervailing power against the limited disclosure of local officials [4]. Local governments may suffer considerable damage—including punishment from top–down accountability and potential reputation loss—after social media exposure once being shown to be involved in malpractice with an increase in the probability of social media exposure. For example, in the case of the illegal pollution discharge in the Tengger Desert, local officials adopted a negative attitude in response to the demand of the public for information disclosure. An early official statement informed the public that there was no illegal pollution discharge in the Tengger Desert. This was followed by another official statement that declared that the authorities had not ascertained the desert pollution. Finally, under intense social media exposure, the local government admitted that regulations may be not in place, which attracted the concern of the central government, and the central government dispatched a supervision group to investigate and punish the local officials for malpractice. It can be seen from the changes in the official statement that the local government gradually changed its disclosure strategy from limited disclosure to full disclosure following extensive, continuous, and widespread media exposure and inquiries.

3.2.2. Social Influence of Social Media in Information Disclosure Game

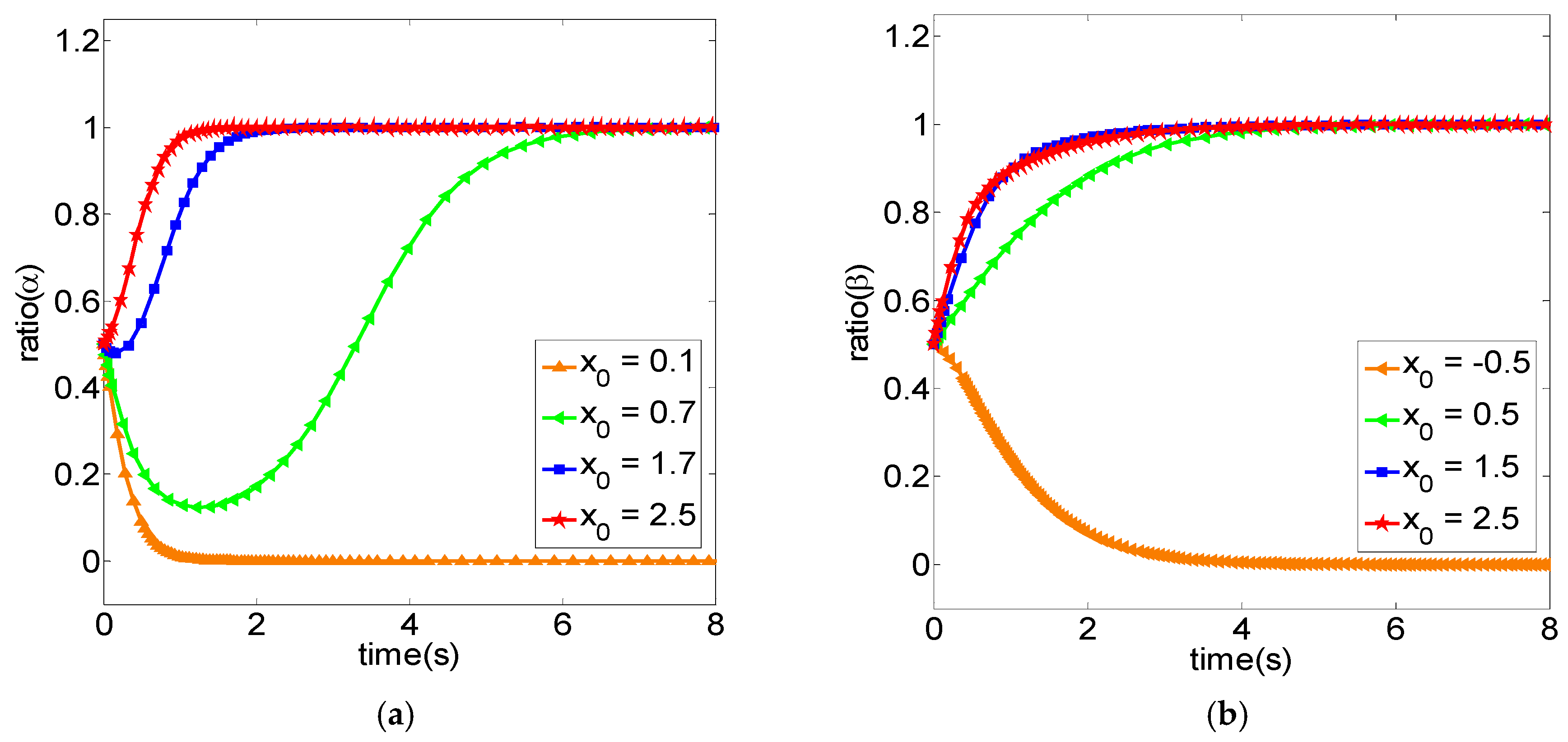
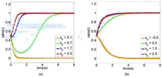
Similarly, to examine the effects of the influence of social media on the game participants’ strategy selections in the information disclosure game, we fixed the other parameters and changed the influence of social media x 0 within the range of 0.1 to 2.5. Figure 6 shows that social media dramatically impacts the information disclosure strategy adoption of local and central governments during environmental incidents. In the left of Figure 6, the increase in social media influence is shown to lead local governments to change their strategy from limited disclosure (brown line) to full disclosure (other lines), which means that social media can push local governments to act more responsively when its influence increases because the exposure by media of the limited disclosure of local officials during environmental incidents would lead the local government to suffer a reputation loss. When the influence of social media is limited, local officials choose the limited disclosure strategy, since they think that no negative impact will occur. When we continued to increase the value of x 0 to a certain value, local governments tended to choose the full disclosure strategy as their optimal strategy. The greater the influence of social media on local officials’ limited disclosure, the faster the convergence of the strategy ratios of local governments selecting supervision. The same change trends are also depicted in the right of Figure 6, which reveals that the ratio of adoption of the supervision strategy decreases when the influence of social media decreases from 2.5 to 0.5. When x 0 was further reduced, the central government changed its initial supervision strategy, and tended to adopt the no-supervision strategy to manage environmental incidents. However, this value in reality does not exist, and is only used in the simulation model and the change rule of the observation strategy.
Both the central government and local governments tend to choose to adopt the positive strategy in the information disclosure game during environmental incidents when social media is strongly influential. One important reason for this might be that extensive and widespread media reports on the malpractice of local officials increase the reputation loss of local governments, which would encourage the government to act more responsibly to respond to social media enquiries. Theoretical and empirical explorations in the field of capital markets indicate that social media can play a key exterior governance role through the reputation mechanism [28]. The central government hopes to counteract what it considers to be the distortion of information by local and regional authorities with more media freedom to report on the malpractice of local officials during environmental incidents.

4. Discussion

We adopted an evolutionary game model in this study to investigate whether social media, as an important part of the social supervision system, leads to increased government disclosure during the handling of environmental incidents, and how social media influences local governments’ information disclosure within the framework of central–local government relations. The results imply that social media plays an active role in promoting the information disclosure of regional governments during environmental incidents through two mechanisms: the top–down intervention mechanism and the bottom–up reputation mechanism.
By analyzing the evolutionary progress of the information disclosure game, our study shows that both the central and local governments are risk-averse under the current system in China. This means that the central government, as the principal, often adopts various measures to simulate local governments to fully disclose information during environmental incidents, but its capacity to do so is often constrained by either costs or the political system. In this case, social media provides an efficient information channel for the central government to supervise local affairs, and thus it can improve its supervision and intervention efficiency. This finding is in accordance with those from most existing studies. Even though local governments should proactively report the incident information that they obtain to their upper-level superiors for supervision in the current system, the main official source of information for use in top–down supervision is a bottom–up reporting system [20], which makes it difficult for the central government to determine whether limited disclosure by local officials is occurring. In this case, instead of changing formal institutions, the central government has resorted to social media as an informal method of strengthening its supervision capacity [4]. One important reason for this might be that the central government can easily determine that limited disclosure by local officials is occurring during the process of environmental incidents with the help of social media, which forces local governments to change their limited disclosure strategy to avoid top–down accountability.
In terms of government information disclosure during environmental incidents, the local government usually decides whether or not to disclose information, since this decision is related to the social stability of the local area. In practice, local governments tend to adopt the limited disclosure strategy to deal with environmental incidents. As noticed by Choi, blame avoidance is the main motivation that affects the local government’s decision to disclose information or not [39]. Social pressure, for example from public panic and social conflict, is also an important factor that influences the information disclosure of local officials during environmental incidents [4]. In particular, these external pressures can be easily amplified in a social media context. The reason for this is that social media is highly persuasive in focusing the public’s attention on local governments and the malpractice of their officials, such as limited disclosure, and actively mobilizes citizens to protest to maintain their interests, which can negatively affect a local government’s reputation [22]. In this case, regional governments have to fully disclose information due to social media pressure [35].

5. Conclusions and Suggestions

The purpose of this study was to investigate how social media influences regional governments’ information disclosure during the handling of environmental incidents. To achieve this goal, we modeled information disclosure during environmental incidents as an evolutionary game process between the central and local governments, and examined the role of social media on game participants’ strategy selection in the information disclosure game. The research findings indicate that the limited disclosure of local governments during environmental incidents is essentially rooted in the information asymmetry between local governments (agents) and the central government (principal). Social media, which acts as an important part of the social supervision system, plays an active constructive role in the positive interactions between the central and local governments under the current Chinese system. Social media can provide an efficient information channel for the central government to monitor the limited disclosure of local officials during environmental incidents, essentially sharing the supervision costs of the central government. In this context, the central government tends to actively supervise and intervene with local officials’ malpractice. Besides, social media also focuses the public’s attention on certain events and topics, especially government officials’ malpractice or unethical behavior, through extensive, continuous, and widespread coverage. This coverage puts considerable social pressure on local governments’ reputations by creating public opinion, and leads to large fines after triggering the central government’s intervention. As a result, local governments and their officials tend to act more responsibly in response to social media enquiries. In summary, social media plays an important role in promoting information disclosure by local governments during the handling of environmental incidents.
The research findings shed light on the impact of social media in promoting regional governments and their officials to proactively disclose information during environmental incidents. An efficient and media-centered social supervision system should be constructed to supervise local affairs and help improve the efficiency of the top–down supervision system. This research provides a good reference for the central government to simulate local officials to act more responsively. Yet, there are some limitations in this study due to the preset research objectives and limited time. Importantly, this research indicated that the positive role of social media in compelling the government to fully disclose information during public crises. However, the public opinion environment constructed by social media is a double-edged sword that has many defects, such as information distortion, false reports, etc. Therefore, future studies should focus on how to distinguish the authenticity of media exposure. In addition, government information disclosure is a typical, complex, dynamic system, involving various stakeholders, such as the enterprise, non-government organizations, shareholders, the public, etc. Thus, more stakeholders should be considered in future research, and how these stakeholders drive government’s information disclosure should also be analyzed.

Author Contributions

S.L. drafted the manuscript and contributed to the materials and analysis. S.G. conceptualized and designed the study. S.L., S.G., and W.L. revised the manuscript.

Acknowledgments

This work is supported by the National Natural Science Foundation of China (Grant No. 71573280/71573281), and the Fundamental Research Funds for the Central Universities of Central South University (Grant No. 502221801)

Conflicts of Interest

The authors declare no conflict of interest.

References

  1. People’s Net. 2018. Available online: http://politics.people.com.cn/n1/2018/0324/c1001-29886326.html (accessed on 15 September 2018).
  2. Tang, Y.; Wu, S.; Miao, X.; Pollard, S.J.; Hrudey, S.E. Resilience to evolving drinking water contamination risks: A human error prevention perspective. J. Clean. Prod. 2013, 57, 228–237. [Google Scholar] [CrossRef]
  3. Tsai, M.K.; Yau, N.J. Improving information access for emergency response in disasters. Nat. Hazards 2013, 66, 343–354. [Google Scholar] [CrossRef]
  4. Zhang, L.; Mol, A.P.J.; He, G. Transparency and information disclosure in China’s environmental governance. Curr. Opin. Environ. Sustain. 2016, 18, 17–24. [Google Scholar] [CrossRef]
  5. García-Tabuyo, M.; Sáez-Martín, A.; Caba-Pérez, M.D.C. Mandatory versus voluntary disclosures: Drivers of proactive information provision by local governments in Central America. Inf. Dev. 2016, 32, 1199–1215. [Google Scholar] [CrossRef]
  6. Tang, Y.; Miao, X.; Zang, H.; Gao, Y. Information Disclosure on Hazards from Industrial Water Pollution Incidents: Latent Resistance and Countermeasures in China. Sustainability 2018, 10, 1475. [Google Scholar] [CrossRef]
  7. People’ Daily. 2005. Available online: http://xuewen.cnki.net/CCND-RMRB200611250042.html (accessed on 2 November 2018).
  8. Fang, K.; Wei, Q.; Logan, K.K. Protecting the public’s environmental right-to-know: Developments and challenges in China’s legislative system for EEID, 2007–2015. J. Environ. Law 2017, 29, 285–315. [Google Scholar] [CrossRef]
  9. People’s Net. 2014. Available online: http://env.people.com.cn/n/2014/0617/c1010-25157528.html (accessed on 2 November 2018).
  10. Pina, V.; Torres, L.; Royo, S. Is e-government leading to more accountable and transparent local governments? An overall view. Financ. Account. Manag. 2010, 26, 3–20. [Google Scholar] [CrossRef]
  11. Suchman, M.C. Managing legitimacy: Strategic and institutional approaches. Acad. Manag. Rev. 1995, 20, 571–610. [Google Scholar] [CrossRef]
  12. Gandía, J.L.; Archidona, M.C. Determinants of web site information by Spanish city councils. Online Inform. Rev. 2008, 32, 35–57. [Google Scholar] [CrossRef]
  13. Huang, C.L.; Kung, F.H. Drivers of environmental disclosure and stakeholder expectation: Evidence from Taiwan. J. Bus. Ethics 2010, 96, 435–451. [Google Scholar] [CrossRef]
  14. Berry, F.S.; Brower, R.S.; Choi, S.O.; Goa, W.X.; Jang, H.; Kwon, M.; Word, J. Three traditions of network research: What the public management research agenda can learn from other research communities. Publ. Adm. Rev. 2004, 64, 539–552. [Google Scholar] [CrossRef]
  15. Alcaide Muñoz, L.; Rodríguez Bolívar, M.P.; López Hernández, A.M. Transparency in governments: A meta-analytic review of incentives for digital versus hard-copy public financial disclosures. Am. Rev. Publ. Adm. 2017, 47, 550–573. [Google Scholar] [CrossRef]
  16. Riley, T.; Huiyan, C. Unmasking Chinese business enterprises: Using information disclosure laws to enhance public participation in corporate environmental decision making. Harv. Envtl. L. Rev. 2009, 33, 177. [Google Scholar]
  17. Li, Q.; Ruan, W.; Shao, W.; Huang, G. Information disclosure in an environmental emergency. Disaster Prev. Manag. 2017, 26, 134–147. [Google Scholar] [CrossRef]
  18. Laswad, F.; Fisher, R.; Oyelere, P. Determinants of voluntary internet financial reporting by local government authorities. J. Acc. Publ. Policy 2005, 24, 101–121. [Google Scholar] [CrossRef]
  19. Huang, C.; Deng, Y.H. Information acquisition and disclosure of man-made disasters: the perspective of information communication between the central and local governments. J. Publ. Adm. 2016, 9, 8–25. (In Chinese) [Google Scholar]
  20. Qi, Y.; Zhang, L. Local environmental enforcement constrained by central-local relations in China. Environ. Policy Gov. 2014, 24, 216–232. [Google Scholar] [CrossRef]
  21. Umehara, E.; Ohta, T. Using game theory to investigate risk information disclosure by government agencies and satisfying the public-the role of the guardian agent. IEEE Trans. Syst. Man Cybern. Part A Syst. Hum. 2009, 39, 321–330. [Google Scholar] [CrossRef]
  22. Dong, T.; Liang, C.; He, X. Social media and internet public events. Telemat. Inform. 2017, 34, 726–739. [Google Scholar] [CrossRef]
  23. Stamati, T.; Papadopoulos, T.; Anagnostopoulos, D. Social media for openness and accountability in the public sector: Cases in the Greek context. Gov. Inf. Q. 2015, 32, 12–29. [Google Scholar] [CrossRef]
  24. Loukis, E.; Charalabidis, Y.; Androutsopoulou, A. Promoting open innovation in the public sector through social media monitoring. Gov. Inf. Q. 2017, 34, 99–109. [Google Scholar] [CrossRef]
  25. Zhang, S.; Li, Y.; Hao, Y.; Zhang, Y. Does public opinion affect air quality? evidence based on the monthly data of 109 prefecture-level cities in China. Energy Policy 2018, 116, 299–311. [Google Scholar] [CrossRef]
  26. Chen, D. “Supervision by public opinion” or by government officials? Media criticism and central-local government relations in China. Mod. China 2017, 43, 620–645. [Google Scholar] [CrossRef]
  27. Egorov, G.; Guriev, S.M.; Sonin, K. Media freedom, bureaucratic incentives and the resource curse. Soc. Sci. Electron. Pub. 2007, 24, 367–377. [Google Scholar]
  28. Bonsón, E.; Torres, L.; Royo, S.; Flores, F. Local e-government 2.0: Social media and corporate transparency in municipalities. Gov. Inf. Q. 2012, 29, 123–132. [Google Scholar]
  29. Bertot, J.C.; Jaeger, P.T.; Grimes, J.M. Using ICTs to create a culture of transparency: E-government and social media as openness and anti-corruption tools for societies. Gov. Inf. Q. 2010, 27, 264–271. [Google Scholar] [CrossRef]
  30. Haro-de-Rosario, A.; Sáez-Martín, A.; Caba-Pérez, M.d.C. Using social media to enhance citizen engagement with local government: Twitter or Facebook? New Media Soc. 2018, 20, 29–49. [Google Scholar] [CrossRef]
  31. García-Sánchez, I.M.; Cuadrado-Ballesteros, B.; Frías-Aceituno, J.V. Does media freedom improve government effectiveness? A comparative cross-country analysis. Eur. J. Law Econ. 2016, 42, 515–537. [Google Scholar] [CrossRef]
  32. Eom, S.J.; Hwang, H.; Kim, J.H. Can social media increase government responsiveness? Gov. Inf. Q. 2018, 35, 109–122. [Google Scholar]
  33. Mol, A.P.J. Environmental Reform in the Information Age: The Contours of Informational Governance; Cambridge University Press: Cambridge, UK, 2008. [Google Scholar]
  34. Besley, T.; Burgess, R. The political economy of government responsiveness: Theory and evidence from India. Q. J. Econ. 2002, 117, 1415–1451. [Google Scholar] [CrossRef]
  35. Cuadrado-Ballesteros, B.; Frías-Aceituno, J.; Martínez-Ferrero, J. The role of media pressure on the disclosure of sustainability information by local governments. Online Inf. Rev. 2014, 38, 114–135. [Google Scholar] [CrossRef]
  36. Cuadrado-Ballesteros, B.; Martinez-Ferrero, J.; Frias-Aceituno, J.V.; Garcia-Sanchez, I.M. The role of media pressure in promoting transparency of local governments. Transylv. Rev. Adm. Sci. 2017, 13, 20–37. [Google Scholar] [CrossRef]
  37. Zhang, Q.; Chan, J.L. New development: Fiscal transparency in China-government policy and the role of social media. Public Money Manag. 2013, 33, 71–75. [Google Scholar] [CrossRef]
  38. Lai, S.P. Accountability, inertia and publicity: A study of local government behavior based on ninety-seven public crisis cases. J. Public Manag. 2013, 10, 18–27. (In Chinese) [Google Scholar]
  39. Choi, J.M. Factors influencing public officials’ responses to requests for information disclosure. Gov. Inf. Q. 2018, 35, 30–42. [Google Scholar] [CrossRef]
  40. Miller, G.S. The press as a watchdog for accounting fraud. J. Account. Res. 2006, 44, 1001–1033. [Google Scholar] [CrossRef]
  41. Tetlock, P.C. Giving content to investor sentiment: The role of media in the stock market. J. Financ. 2007, 62, 1139–1168. [Google Scholar] [CrossRef]
  42. Dyck, A.; Volchkova, N.; Zingales, L. The corporate governance role of the media: Evidence from Russia. J. Financ. 2008, 63, 1093–1135. [Google Scholar] [CrossRef]
  43. Soroka, S.N. Good news and bad news: Asymmetric responses to economic information. J. Politics 2006, 68, 372–385. [Google Scholar] [CrossRef]
  44. China News Net. 2018. Available online: http://news.china.com.cn/politics/2012-11/20/content_ 27165856.htm (accessed on 2 November 2018).
  45. Macdonell, R.; Pesic, M. The role of the media in curbing corruption. In The Role of Parliament in Curbing Corruption; Stapenhurst, R., Johnston, N., Pelizzo, R., Eds.; The World Bank: Washington, DC, USA, 2006; pp. 111–128. [Google Scholar]
  46. Arpan, L.M.; Roskos-Ewoldsen, D.R. Stealing thunder: Analysis of the effects of proactive disclosure of crisis information. Public Relat. Rev. 2005, 31, 425–433. [Google Scholar] [CrossRef]
  47. Friedman, D. Evolutionary games in economics. Econometrica 1991, 59, 637–666. [Google Scholar] [CrossRef]
  48. Ginits, H. Game Theory Evolving, 2nd ed.; Princeton University Press: Princeton, UK, 2009. [Google Scholar]
  49. Cameron, I.T.; Gani, R. Adaptive Runge-Kutta algorithms for dynamic simulation. Comput. Chem. Eng. 1988, 12, 705–717. [Google Scholar] [CrossRef]
Figure 1. The game relationship between the central and local governments within the social media context.
Figure 1. The game relationship between the central and local governments within the social media context.
Sustainability 10 04372 g001
Figure 2. Evolution paths of the information disclosure game under scenario A1. (a) game participants’ initial strategy ratios (α_0, β_0) were set as {0.3, 0.7}; (b) game participants’ initial strategy ratios (α_0,β_0) were set as {0.7, 0.3}.
Figure 2. Evolution paths of the information disclosure game under scenario A1. (a) game participants’ initial strategy ratios (α_0, β_0) were set as {0.3, 0.7}; (b) game participants’ initial strategy ratios (α_0,β_0) were set as {0.7, 0.3}.
Sustainability 10 04372 g002
Figure 3. Evolution paths of information disclosure game under scenario A2. (a) game participants’ initial strategy ratios (α_0, β_0) were set as {0.3, 0.7}; (b) game participants’ initial strategy ratios (α_0, β_0) were set as {0.7, 0.3}.
Figure 3. Evolution paths of information disclosure game under scenario A2. (a) game participants’ initial strategy ratios (α_0, β_0) were set as {0.3, 0.7}; (b) game participants’ initial strategy ratios (α_0, β_0) were set as {0.7, 0.3}.
Sustainability 10 04372 g003
Figure 4. Evolutionary paths of the information disclosure game under scenario A3. (a) game participants’ initial strategy ratios (α_0, β_0) were set as {0.3, 0.7}; (b) game participants’ initial strategy ratios (α_0, β_0) were set as {0.7, 0.3}.
Figure 4. Evolutionary paths of the information disclosure game under scenario A3. (a) game participants’ initial strategy ratios (α_0, β_0) were set as {0.3, 0.7}; (b) game participants’ initial strategy ratios (α_0, β_0) were set as {0.7, 0.3}.
Sustainability 10 04372 g004
Figure 5. The effect of social media on the evolutionary strategies of participants.
Figure 5. The effect of social media on the evolutionary strategies of participants.
Sustainability 10 04372 g005
Figure 6. The effect of social media on the evolutionary strategy of participants.
Figure 6. The effect of social media on the evolutionary strategy of participants.
Sustainability 10 04372 g006
Table 1. Parameter definitions.
Table 1. Parameter definitions.
SymbolsStakeholdersDescriptions
C 1 Central governmentThe costs paid by the central government during supervision, which mainly refers to the sum of costs involved in the supervision process of information disclosure during environmental incidents, such as investigation costs, treatment costs, etc.
R 1 The revenue that the central government obtains from local governments’ proactive disclosure during environmental disclosure, mainly including the central authorities and reputations, etc.
p The probability of the central government discovering local officials’ limited disclosure during environmental incidents ( 0 p 1 ).
C s The reputation loss of the central government caused by the public’s mistrust, when the limited disclosure of local officials is exposed by social media, but the central government adopts the no-supervision strategy.
C f The administration authority loss of the central government when it adopts the no-supervision strategy.
C 2 Local governmentThe information disclosure costs, including information searching, gathering, saving, reporting, and publishing costs. For brevity, we assumed that the cost of limited disclosure was zero.
R 2 The revenues of local governments when adopting the full disclosure strategy.
ε The extra benefits, such as commendation and promotion, when the central government determines that local officials have adopted the full disclosure strategy during environmental incidents ( ε > 0 ).
R 3 The potential benefits, such as local interests or benefits from corruption, when local governments adopt the limited disclosure strategy.
F The punishment when the central government finds out that regional officials have adopted the limited disclosure strategy during environmental incidents.
C r The reputation loss of regional governments when social media exposes the limited disclosure of local officials.
v Social mediaThe probability of social media exposing local governments and the limited disclosure of their officials.
x 0 The social influence generated by social media exposure on local officials’ malpractice, such as limited disclosure, etc., which may cause the reputation loss of government agencies, including the central government and local governments.
Table 2. The revenue of the game matrix between the central and local governments.
Table 2. The revenue of the game matrix between the central and local governments.
Game PlayersThe Central Government
Supervision (β)No Supervision (1 − β)
Local governmentsFull disclosure ( α )( π 1 , u 1 )( π 2 , u 2 )
Limited disclosure ( 1 α )( π 3 , u 3 )( π 4 , u 4 )
Note: π 1 = R 2 C 2 + ε ; π 2 = R 2 C 2 ; π 3 = R 3 ( p + ( 1 p ) v ) F v x 0 C l ; π 4 = R 3 v x 0 C l ; u 1 = R 1 C 1 ; u 2 = R 1 C f ; u 3 = ( p + ( 1 p ) v ) F C 1 ; and u 4 = v x 0 C s .
Table 3. Stable analysis of the equilibrium points.
Table 3. Stable analysis of the equilibrium points.
Stability Balanced PointStability Analysis
Situation 1Situation 2Situation 3
A1A2A3
E 1 = ( 0 , 0 ) StableUnstableUnstable
E 2 = ( 0 , 1 ) UnstableStableUnstable
E 3 = ( 1 , 0 ) UnstableUnstableUnstable
E 4 = ( 1 , 1 ) UnstableUnstableStable
E( α * , β * )SaddleSaddleSaddle
Note: A1: R 2 C 2 < R 3 x 0 v C r ; C 1 ( p + ( 1 p ) v ) F x 0 v C s > 0 ; A2: C 1 v x 0 C s < ( p + ( 1 p ) v ) F ; R 2 C 2 + ε < R 3 ( p + ( 1 p ) v ) F v x 0 C r ; and A3: ( p + ( 1 p ) v ) F > R 3 ( R 2 C 2 ) ε v x 0 C r ; C 1 < C f .
Table 4. The setting of the simulation parameters.
Table 4. The setting of the simulation parameters.
Parameter C 1 C 2 R 2 R 3 F p C s C f ε C r v x 0
Value4881080.44564[0, 0.9][0.1, 3]

Share and Cite

MDPI and ACS Style

Gao, S.; Ling, S.; Liu, W. The Role of Social Media in Promoting Information Disclosure on Environmental Incidents: An Evolutionary Game Theory Perspective. Sustainability 2018, 10, 4372. https://doi.org/10.3390/su10124372

AMA Style

Gao S, Ling S, Liu W. The Role of Social Media in Promoting Information Disclosure on Environmental Incidents: An Evolutionary Game Theory Perspective. Sustainability. 2018; 10(12):4372. https://doi.org/10.3390/su10124372

Chicago/Turabian Style

Gao, Shan, Shuang Ling, and Wenhui Liu. 2018. "The Role of Social Media in Promoting Information Disclosure on Environmental Incidents: An Evolutionary Game Theory Perspective" Sustainability 10, no. 12: 4372. https://doi.org/10.3390/su10124372

APA Style

Gao, S., Ling, S., & Liu, W. (2018). The Role of Social Media in Promoting Information Disclosure on Environmental Incidents: An Evolutionary Game Theory Perspective. Sustainability, 10(12), 4372. https://doi.org/10.3390/su10124372

Note that from the first issue of 2016, this journal uses article numbers instead of page numbers. See further details here.

Article Metrics

Back to TopTop