Evaluation of Tomato Landraces for Tolerance to Drought Stress Using Morphological and Physiological Traits
Abstract
1. Introduction
2. Materials and Methods
2.1. Plant Material and Growth Conditions
2.2. Yield and Yield-Related Traits
2.3. Color Indexes and Firmness
2.4. Chlorophyll a (Chl a) Fluorescence Measurements
2.5. Statistical Data
3. Results
3.1. Yield and Fruit Set
3.2. Fruit Color and Firmness
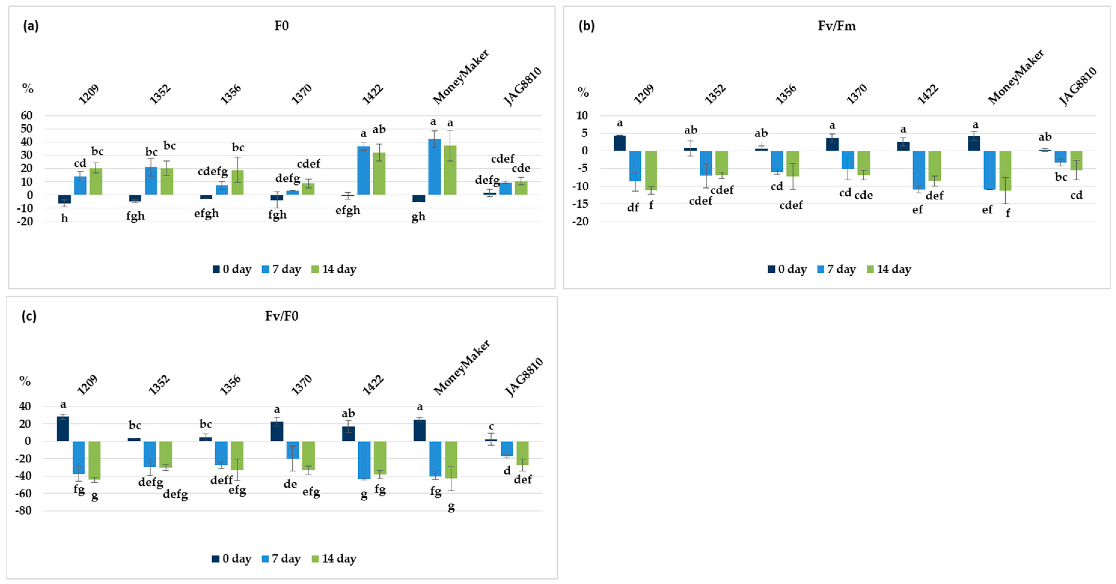
3.3. Chlorophyll Fluorescence
4. Discussion
5. Conclusions
Author Contributions
Funding
Institutional Review Board Statement
Informed Consent Statement
Data Availability Statement
Acknowledgments
Conflicts of Interest
References
- Jiang, X.; Zhao, Y.; Tong, L.; Wang, R.; Zhao, S. Quantitative analysis of tomato yield and comprehensive fruit quality in response to deficit irrigation at different growth stages. HortScience 2019, 54, 1409–1417. [Google Scholar] [CrossRef]
- Dong, Z.; Men, Y.; Liu, Z.; Li, J.; Ji, J. Application of chlorophyll of chilling injury of tomato seedlings. Comput. Electron. Agric. 2020, 168, 105109. [Google Scholar] [CrossRef]
- Liu, D.; Zhang, C.; Ogaya, R.; Fernández-Martínez, M.; Pugh, T.A.M.; Peñuelas, J. Increasing climatic sensitivity of global grassland vegetation biomass and species diversity correlates with water availability. New Phytol. 2021, 230, 1761–1771. [Google Scholar] [CrossRef] [PubMed]
- Sivakumar, R.; Srividhya, S. Impact of drought on flowering, yield and quality parameters in diverse genotypes of tomato (Solanum lycopersicum L.). Adv. Hortic. Sci. 2016, 30, 3–11. [Google Scholar]
- Lamin-Samu, A.T.; Farghal, M.; Ali, M.; Lu, G. Morpho-physiological and transcriptome changes in tomato anthers of different developmental stages under drought stress. Cells 2021, 10, 1809. [Google Scholar] [CrossRef] [PubMed]
- Conti, V.; Romi, M.; Guarnieri, M.; Cantini, C.; Cai, G. Italian tomato cultivars under drought stress show different content of bioactives in pulp and peel of fruits. Foods 2022, 11, 270. [Google Scholar] [CrossRef] [PubMed]
- Sallume, M.O.; Abood, M.A.; Hamdi, G.J.; Sarheed, B.R. Influence of foliar fertilization of amino decanate® on growth and yield of eggplant (Solanum melongena) under water stress condition. Res. Crops 2020, 21, 557–562. [Google Scholar]
- Wahb-Allah, M.A.; Alsadon, A.A.; Ibrahim, A.A. Drought tolerance of several tomato genotypes under greenhouse conditions. World Appl. Sci. J. 2011, 15, 933–940. [Google Scholar]
- Giuliani, M.; Carucci, F.; Nardella, E.; Francavilla, M.; Ricciardi, L.; Lotti, C.; Gatta, G. Combined effects of deficit irrigation and strobilurin application on gas exchange, yield and water use efficiency in tomato (Solanum lycopersicum L.). Sci. Hortic. 2018, 233, 149–158. [Google Scholar] [CrossRef]
- Ors, S.; Ekinci, M.; Yildirim, E.; Sahin, U.; Turan, M.; Dursun, A. Interactive effects of salinity and drought stress on photosynthetic characteristics and physiology of tomato (Lycopersicon esculentum L.) seedlings. S. Afr. J. Bot. 2021, 137, 335–339. [Google Scholar] [CrossRef]
- Dariva, F.D.; Pessoa, H.P.; Copati, M.G.F.; de Almeida, G.Q.; de Castro Filho, M.N.; de Toledo Picoli, E.A.; Cunha, F.F.; Nick, C. Yield and fruit quality attributes of selected tomato introgression lines subjected to long-term deficit irrigation. Sci. Hortic. 2021, 289, 110126. [Google Scholar] [CrossRef]
- Krishna, R.; Karkute, S.G.; Ansari, W.A.; Jaiswal, D.K.; Verma, J.P.; Singh, M. Transgenic tomatoes for abiotic stress tolerance: Status and way ahead. 3 Biotech 2019, 9, 143. [Google Scholar] [CrossRef]
- Solankey, S.S.; Singh, R.K.; Baranwal, D.K.; Sing, D.K. Genetic expression of tomato for heat and drought stress: An overview. Int. J. Veg. Sci. 2015, 21, 496–515. [Google Scholar] [CrossRef]
- Conti, V.; Mareri, L.; Faleri, C.; Nepi, M.; Romi, M.; Cai, G.; Cantini, C. Drought stress affects the response of Italian local tomato (Solanum lycopersicum L.) varieties in a genotype-dependent manner. Plants 2019, 8, 336. [Google Scholar] [CrossRef] [PubMed]
- Ntanasi, T.; Ntatsi, G.; Karavidas, I.; Vamvakouris, N.; Oikonomou, C.; Ropokis, A.; Savvas, D. Impact of drought stress on the fruit quality of different Greek tomato landraces. Acta Hortic. 2021, 1320, 49–56. [Google Scholar] [CrossRef]
- Makhadmeh, I.; Albalasmeh, A.A.; Ali, M.; Thabet, S.G.; Darabseh, W.A.; Jaradat, S.; Alqudah, A.M. Molecular characterization of tomato (Solanum lycopersicum L.) accessions under drought stress. Horticulturae 2022, 8, 600. [Google Scholar] [CrossRef]
- Fullana-Pericàs, M.; Conesa, M.À.; Douthe, C.; El Aou-ouad, H.; Ribas-Carbó, M.; Galmés, J. Tomato landraces as a source to minimize yield losses and improve fruit quality under water deficit conditions. Agric. Water Manag. 2019, 223, 105722. [Google Scholar] [CrossRef]
- Athinodorou, F.; Foukas, P.; Tsaniklidis, G.; Kotsiras, A.; Chrysargyris, A.; Delis, C.; Kyratzis, A.C.; Tzortzakis, N.; Nikoloudakis, N. Morphological diversity, genetic characterization, and phytochemical assessment of the Cypriot tomato germplasm. Plants 2021, 10, 1698. [Google Scholar] [CrossRef]
- Villena, J.; Moreno, C.; Roselló, S.; Cebolla-Cornejo, J.; Moreno, M.M. Dissecting a vegetable landrace: Components of variation in Spanish ‘Moruno’ tomatoes as a case studio. Sci. Hortic. 2023, 318, 112128. [Google Scholar] [CrossRef]
- Villena, J.; Moreno, C.; Roselló, S.; Beltrán, J.; Cebolla-Cornejo, J.; Moreno, M.M. Breeding tomato flavor: Modeling consumer preferences of tomato landraces. Sci. Hortic. 2023, 308, 111597. [Google Scholar] [CrossRef]
- Sousaraei, N.; Mashayekhi, K.; Mousavizadeh, S.J.; Akbarpou, V.; Medina, J.; Aliniaeifard, S. Screening of tomato landraces for drought tolerance based on growth and chlorophyll fluorescence analyses. Hortic. Environ. Biotechnol. 2021, 62, 521–535. [Google Scholar] [CrossRef]
- Rosales-Serna, R.; Ramirez-Vallejo, P.; Acosta-Gallegos, J.A.; Castillo-González, F.; Kelly, J.D. Grain yield and drought tolerance of common bean under field conditions. Agrociencia 2000, 34, 153–165. [Google Scholar]
- Liang, G.; Liu, J.; Zhang, J.; Guo, J. Effects of drought stress on photosynthetic and physiological parameters of tomato. J. Am. Soc. Hortic. Sci. 2020, 145, 12–17. [Google Scholar] [CrossRef]
- Kalaji, H.M.; Jajoo, A.; Oukarroum, A.; Brestic, M.; Zivcak, M.; Samborska, I.A.; Cetner, M.D.; Łukasik, I.; Goltsev, V.; Ladle, R.J. Chlorophyll a fluorescence as a tool to monitor physiological status of plants under abiotic stress conditions. Acta Physiol. Plant. 2016, 38, 102. [Google Scholar] [CrossRef]
- Chen, S.; Zheng, Q.; Qi, Z.; Ding, J.; Song, X.; Xia, X. Stress-induced delay of the I-P rise of the fast chlorophyll a fluorescence transient in tomato. Sci. Hortic. 2024, 326, 112741. [Google Scholar] [CrossRef]
- Dąbrowski, P.; Baczewska-Dąbrowska, A.H.; Kalaji, H.M.; Goltsev, V.; Paunov, M.; Rapacz, M.; Wójcik-Jagła, M.; Pawluśkiewicz, B.; Bąba, W.; Brestic, M. Exploration of chlorophyll a fluorescence and plant gas exchange parameters as indicators of drought tolerance in perennial ryegrass. Sensors 2019, 19, 2736. [Google Scholar] [CrossRef] [PubMed]
- Nemeskéri, E.; Neményi, A.; Bőcs, A.; Pék, Z.; Helyes, L. Physiological factors and their relationship with the productivity of processing tomato under different water supplies. Water 2019, 11, 586. [Google Scholar] [CrossRef]
- Villagómez-Aranda, A.L.; Feregrino-Pérez, A.A.; García-Ortega, L.F.; González-Chavira, M.M.; Torres-Pacheco, I.; Guevara-González, R.G. Activating stress memory: Eustressors as potential tools for plant breeding. Plant Cell Rep. 2022, 41, 1481–1498. [Google Scholar] [CrossRef]
- Taheri, S.; Gantait, S.; Azizi, P.; Mazumdar, P. Drought tolerance improvement in Solanum lycopersicum: An insight into “OMICS” approaches and genome editing. 3 Biotech 2022, 12, 63. [Google Scholar] [CrossRef]
- Conti, V.; Parrotta, L.; Romi, M.; Del Duca, S.; Cai, G. Tomato biodiversity and drought tolerance: A multilevelr. Int. J. Mol. Sci. 2023, 24, 10044. [Google Scholar] [CrossRef]
- Lupo, Y.; Moshelion, M. The balance of survival: Comparative drought response in wild and domesticated tomatoes. Plant Sci. 2024, 339, 111928. [Google Scholar] [CrossRef] [PubMed]
- Ganeva, D.; Boteva, H.; Masheva, S.; Mihov, M.; Georgieva, O.; Kostova, D.; Yankova, V. Technologies for field tomato production. In Technologies for Vegetables and Potato Production; Masheva, S., Mihov, M., Todorova, V., Hacheva, E., Yankova, V., Boteva, H., Eds.; Balkom: Plovdiv, Bulgaria, 2014; pp. 3–39. [Google Scholar]
- Yang, L.; Bu, S.; Zhao, S.; Wang, N.; Xiao, J.; He, F.; Gao, X. Transcriptome and physiological analysis of increase in drought stress tolerance by melatonin in tomato. PLoS ONE 2022, 17, e0267594. [Google Scholar] [CrossRef] [PubMed]
- Guida, G.; Sellami, M.H.; Mistretta, C.; Oliva, M.; Buonomo, R.; De Mascellis, R.; Patanè, C.; Rouphael, Y.; Albrizio, R.; Giorio, P. Agronomical, physiological and fruit quality responses of two Italian long-storage tomato landraces under rain-fed and full irrigation conditions. Agric. Water Manag. 2017, 180, 126–135. [Google Scholar] [CrossRef]
- Fullana-Pericàs, M.; Conesa, M.À.; Soler, S.; Ribas-Carbó, M.; Granell, A.; Galmés, J. Variations of leaf morphology, photosynthetic traits and water-use efficiency in Western-Mediterranean tomato landraces. Photosynthetica 2017, 55, 121–133. [Google Scholar] [CrossRef]
- Conesa, M.À.; Fullana-Pericàs, M.; Granell, A.; Galmés, J. Mediterranean long shelf-life landraces: An untapped genetic resource for tomato improvement. Front. Plant Sci. 2020, 10, 1651. [Google Scholar] [CrossRef]
- Srivastova, K.; Kumar, S.; Prakash, P.; Vaishampayan, A. Screening of tomato genotypes for reproductive characters under high temperature stress conditions. Sabrao J. Breed. Genet. 2012, 44, 263–276. [Google Scholar]
- Chakma, R.; Saekong, P.; Biswas, A.; Ullah, H.; Datta, A. Growth, fruit yield, quality, and water productivity of grape tomato as affected by seed priming and soil application of silicon under drought stress. Agric. Water Manag. 2021, 256, 107055. [Google Scholar] [CrossRef]
- Ganeva, D.; Grozeva, S.; Pevicharova, G. Effect of reduced irrigation on flowering, fruit set and yield of indeterminate tomato. Int. J. Recent Technol. Eng. 2019, 8, 932–936. [Google Scholar]
- Reichardt, S.; Piepho, H.P.; Stintzi, A.; Schaller, A. Peptide signaling for drought-induced tomato flower drop. Science 2020, 367, 1482–1485. [Google Scholar] [CrossRef]
- Krishna, R.; Ansari, W.A.; Altaf, M.; Jaiswal, D.K.; Pandey, S.; Singh, A.K.; Kumar, S.; Verma, J.P. Impact of plant growth-promoting microorganism (PGPM) Consortium on biochemical properties and yields of tomato under drought stress. Life 2024, 14, 1333. [Google Scholar] [CrossRef]
- Liu, J.; Hu, T.; Feng, P.; Wang, L.; Yang, S. Tomato yield and water use efficiency change with various soil moisture and potassium levels during different growth stages. PLoS ONE 2019, 14, e0213643. [Google Scholar] [CrossRef]
- Huang, Q.; Yan, H.; Yon, M.; Duan, J.; Chen, M.; Xing, Y.; Hu, X.; Li, X. Enhancing drought tolerance and fruit characteristics in tomato exogenous melatonin application. Horticulturae 2023, 9, 1083. [Google Scholar] [CrossRef]
- Nicolas, P.; Shinozaki, Y.; Powell, A.; Philippe, G.; Snyder, S.I.; Bao, K.; Zheng, Y.; Xu, Y.; Courtney, L.; Vrebalov, J.; et al. Spatiotemporal dynamics of the tomato fruit transcriptome under prolonged water stress. Plant Physiol. 2022, 190, 2557–2578. [Google Scholar] [CrossRef]
- Malash, N.M.; Fattahalla, M.A.; Khalil, M.R.; Ibrahim, E.S.A. Enhancing drought tolerance of tomato plants grown under different irrigation regimes by some cultural practices. Menoufia J. Plant Prod. 2019, 4, 181–205. [Google Scholar] [CrossRef]
- Grozeva, S.; Ganeva, D.; Pevicharova, G. Influence of reduced irrigation on phenological and morphological characters of different tomato genotypes. Agric. Food 2018, 6, 111–121. [Google Scholar]
- Jürkenbeck, K.; Spiller, A.; Meyerding, S.G.H. Tomato attributes and consumer preferences—A consumer segmentation approach. Br. Food J. 2020, 122, 328–344. [Google Scholar] [CrossRef]
- Nuruddin, M.M.; Madramootoo, C.A.; Dodds, G.T. Effects of water stress at different growth stages on greenhouse tomato yield and quality. Hortic. Sci. 2003, 38, 1389–1393. [Google Scholar] [CrossRef]
- Cui, J.; Shao, G.; Lu, L.; Keabetswe, L.; Hoogenboom, G. Yield, quality and drought sensitivity of tomato to water deficit during different growth stages. Sci. Agric. 2020, 77, e20180390. [Google Scholar] [CrossRef]
- Basiouny, F.M.; Basiouny, K.; Maloney, M. Influence of water stress on abscisic acid and ethylene production in tomato under different PAR levels. J. Hortic. Sci. 1994, 69, 535–541. [Google Scholar] [CrossRef]
- Wang, F.; Kang, S.; Du, T.; Li, F.; Qiu, R. Determination of comprehensive quality index for tomato and its response to different irrigation treatments. Agric. Water Manag. 2011, 98, 1228–1238. [Google Scholar] [CrossRef]
- Farooq, M.; Wahid, A.; Kobayashi, N.; Fujita, D.; Basra, S.M.A. Plant drought stress: Effects, mechanisms and management. In Sustainable Agriculture; Lichtfouse, E., Navarrete, M., Debaeke, P., Véronique, S., Alberola, C., Eds.; Springer: Dordrech, The Netherlands, 2009; pp. 153–188. [Google Scholar]
- Yang, X.; Lu, M.; Wang, Y.; Wang, Y.; Liu, Z.; Chen, S. Response mechanism of plants to drought stress. Horticulturae 2021, 7, 50. [Google Scholar] [CrossRef]
- Obata, T.; Fernie, A.R. The use of metabolomics to dissect plant responses to abiotic stresses. Cell. Mol. Life Sci. 2012, 69, 3225–3243. [Google Scholar] [CrossRef] [PubMed]
- Savchenko, T.; Tikhonov, K. Oxidative stress-induced alteration of plant central metabolism. Life 2021, 11, 304. [Google Scholar] [CrossRef]
- Aurand, R.; Faurobert, M.; Page, D.; Maingonnat, J.F.; Brunel, B.; Causse, M.; Bertin, N. Anatomical and biochemical trait network underlying genetic variations in tomato fruit texture. Euphytica 2012, 187, 99–119. [Google Scholar] [CrossRef]
- Raja, V.; Qadir, S.U.; Alyemeni, M.N.; Ahmad, P. Impact of drought and heat stress individually and in combination on physio-biochemical parameters, antioxidant responses, and gene expression in Solanum lycopersicum. 3 Biotech 2020, 10, 208. [Google Scholar] [CrossRef]
- Nankishore, A.; Farrell, A.D. The response of contrasting tomato genotypes to combined heat and drought stress. J. Plant Physiol. 2016, 202, 75–82. [Google Scholar] [CrossRef] [PubMed]
- Ahuja, I.; de Vos, R.C.; Bones, A.M.; Hall, R.D. Plant molecular stress responses confront climate change. Trends Plant Sci. 2010, 15, 664–674. [Google Scholar] [CrossRef]
- Zhang, Y.; Yu, S.H.I.; Gong, H.J.; Zhao, H.L.; Li, H.L.; Hu, Y.H.; Wang, Y.C. Beneficial effects of silicon on photosynthesis of tomato seedlings under water stress. J. Integr. Agric. 2018, 17, 2151–2159. [Google Scholar] [CrossRef]
- Yordanov, I.; Stefanov, D.; Krasteva, V.; Gourmanova, M.; Goltsev, V. Drought stress responses in plants—Molecular biology, physiology and agronomical aspects. Agric. Sci. 2012, 8, 7–20. [Google Scholar]
- Zhou, R.; Yu, X.; Kjær, K.H.; Rosenqvist, E.; Ottosen, C.O.; Wu, Z. Screening and validation of tomato genotypes under heat stress using Fv/Fm to reveal the physiological mechanism of heat tolerance. Environ. Exp. Bot. 2015, 118, 1–11. [Google Scholar] [CrossRef]
- Alomari-Mheidat, M.; Corell, M.; Castro-Valdecantos, P.; Andreu, L.; Moriana, A.; Martín-Palomo, M.J. Effect of water stress and rehydration on the cluster and fruit quality of greenhouse tomatoes. Agronomy 2023, 13, 563. [Google Scholar] [CrossRef]
- Zhang, J.; Liu, J.F.; Zhao, T.T.; Xu, X.Y. Effects of drought stress on chlorophyll fluorescence in tomato. Mol. Plant Breed. 2017, 8, 65–69. [Google Scholar] [CrossRef]
- Galmés, J.; Conesa, M.A.; Ochogavía, J.M.; Perdomo, J.A.; Francis, D.M.; Ribas-Carbó, M.; Savé, R.; Flexas, J.; Medrano, H.; Cifre, J. Physiological and morphological adaptations in relation to water use efficiency in Mediterranean accessions of Solanum lycopersicum. Plant Cell Environ. 2011, 34, 245–260. [Google Scholar] [CrossRef] [PubMed]
- Pessoa, H.P.; Dariva, F.D.; Copati, M.G.F.; de Paula, R.G.; de Oliveira, D.F.; Gomes, C.N. Uncovering tomato candidate genes associated with drought tolerance using Solanum pennellii introgression lines. PLoS ONE 2023, 18, e0287178. [Google Scholar] [CrossRef] [PubMed]
- Krishna, R.; Ansari, W.A.; Soumia, P.S.; Yadav, A.; Jaiswal, D.K.; Kumar, S.; Singh, A.K.; Singh, M.; Verma, J.P. Biotechnological interventions in tomato (Solanum lycopersicum) for drought stress tolerance: Achievements and future prospects. BioTech 2022, 11, 48. [Google Scholar] [CrossRef] [PubMed]



| Code | 1209 | 1352 | 1356 | 1370 | 1422 | MoneyMaker | JAG8810 |
|---|---|---|---|---|---|---|---|
| Picture | ![]() | ![]() | ![]() | ![]() | ![]() | ![]() | ![]() |
| Shape | Slightly flattened | Rounded | Heart-shaped | Flattened | High rounded | Rounded | Rectangular |
| Size | Very large | Large | Large | Very large | Medium | Medium | Medium |
| Color | Pink | Red | Orange | Yellow | Brown | Red | Red |
| Irrigation Regime | Reduced | Optimum | Ch% | ||
|---|---|---|---|---|---|
| Landrace | Mean | ±SD | Mean | ±SD | |
| 1209 | 27.2 c | ±19.09 | 61.7 ns | ±16.67 | −55.84 |
| 1352 | 58.3 ab | ±9.62 | 64.3 ns | ±14.05 | −9.26 |
| 1356 | 38.6 c | ±2.10 | 65.6 ns | ±17.63 | −41.76 |
| 1370 | 37.5 c | ±18.46 | 69.5 ns | ±18.89 | −46.04 |
| 1422 | 69.2 a | ±15.32 | 79.2 ns | ±14.13 | −12.63 |
| Controls | |||||
| MoneyMaker | 46.6 bc | ±4.69 | 76.6 ns | ±6.44 | −47.23 |
| JAG8810 | 65.0 a | ±5.85 | 73.5 ns | ±13.96 | −6.58 |
| Genotype | Yield (g·Plant−1) | Fruit Number | Average Fruit Weight (g) | |||||||||
|---|---|---|---|---|---|---|---|---|---|---|---|---|
| Reduced | Optimum | Reduced | Optimum | Reduced | Optimum | |||||||
| Mean | ±SD | Mean | ±SD | Mean | ±SD | Mean | ±SD | Mean | ±SD | Mean | ±SD | |
| 1209 | 702 d | ±80.6 | 2662 ab | ±45.3 | 5 c | ±0.7 | 9 b | ±0.7 | 127.8 b | ±1.8 | 314.5 a | ±31.4 |
| 1352 | 2263 a | ±78.5 | 2427 a–c | ±328.1 | 8 c | ±2.8 | 9 b | ±0.7 | 299.8 a | ±96.2 | 284.9 ab | ±14.9 |
| 1356 | 1084 cd | ±241.8 | 2659 ab | ±41.7 | 10 c | ±1.4 | 13 b | ±2.8 | 107.8 b | ±8.9 | 209.1 c | ±42.3 |
| 1370 | 1380 bc | ±454.7 | 2746 a | ±89.8 | 6 c | ±1.4 | 11 b | ±1.4 | 227.3 a | ±22.2 | 251.2 bc | ±24.1 |
| 1422 | 723 d | ±113.8 | 1842 c | ±56.6 | 22 b | ±0.0 | 28 a | ±0.0 | 32.8 b | ±5.2 | 65.8 d | ±2.0 |
| Controls | ||||||||||||
| MM | 1334 bc | ±127.3 | 1999 c | ±540.9 | 33 a | ±4.6 | 31 a | ±4.6 | 41.8 b | ±10.3 | 64.9 d | ±7.2 |
| JAG | 1742 ab | ±202.2 | 2047 bc | ±249.6 | 27 b | ±2.1 | 26 a | ±0.0 | 65.6 b | ±2.4 | 78.7 d | ±9.6 |
| L* | a* | b* | C* | Cl* | Hue | Firmness | Fo | Fv/Fm | Fv/Fo | |
|---|---|---|---|---|---|---|---|---|---|---|
| Genotype (G) | *** | *** | *** | *** | *** | *** | *** | *** | *** | *** |
| Irrigation regime (I) | * | * | ns | ns | ns | ns | *** | *** | *** | *** |
| G × I | ** | ** | ns | * | ns | ns | *** | * | ns | ns |
| Day | 0 | 7 | 14 | 0 | 7 | 14 | ||||||
|---|---|---|---|---|---|---|---|---|---|---|---|---|
| Mean | ±SD | Mean | ±SD | Mean | ±SD | Mean | ±SD | Mean | ±SD | Mean | ±SD | |
| 1209 RI | 1209 OI | |||||||||||
| Fo | 417 c | ±16.6 | 483 a | ±16.9 | 487 a | ±24.7 | 445 b | ±7.1 | 421 bc | ±7.2 | 404 c | ±16.6 |
| Fv/Fm | 0.84 a | ±0.01 | 0.77 c | ±0.01 | 0.75 d | ±0.01 | 0.81 b | ±0.01 | 0.84 a | ±0.01 | 0.84 fa | ±0.01 |
| Fv/Fo | 5.4 a | ±0.14 | 3.4 c | ±0.25 | 3.0 d | ±0.11 | 4.2 b | ±0.10 | 5.4 a | ±0.17 | 5.4 a | ±0.25 |
| 1352 RI | 1352 OI | |||||||||||
| Fo | 425 b | ±23.8 | 502 a | ±41.5 | 442 b | ±16.2 | 445 b | ±29.3 | 414 b | ±21.4 | 367 c | ±20.9 |
| Fv/Fm | 0.82 a | ±0.01 | 0.77 b | ±0.02 | 0.77 b | ±0.01 | 0.81 a | ±0.02 | 0.82 a | ±0.01 | 0.83 a | ±0.01 |
| Fv/Fo | 4.5 ab | ±0.30 | 3.3 c | ±0.36 | 3.4 c | ±0.16 | 4.4 b | ±0.49 | 4.7 ab | ±0.36 | 4.9 a | ±0.32 |
| 1356 RI | 1356 OI | |||||||||||
| Fo | 392 de | ±11.7 | 454 a | ±11.9 | 443 ab | ±24.9 | 403 cd | ±7.0 | 423 bc | ±17.6 | 372 e | ±10.1 |
| Fv/Fm | 0.84 a | ±0.01 | 0.79 b | ±0.01 | 0.79 b | ±0.02 | 0.84 a | ±0.00 | 0.84 a | ±0.01 | 0.85 a | ±0.01 |
| Fv/Fo | 5.5 ab | ±0.10 | 3.7 ef | ±0.11 | 3.7 fg | ±0.44 | 5.2 ab | ±0.10 | 5.1 b | ±0.24 | 5.5 a | ±0.13 |
| 1370 RI | 1370 OI | |||||||||||
| Fo | 418 a | ±15.0 | 443 a | ±33.2 | 409 a | ±11.8 | 434 a | ±27.1 | 429 a | ±21.8 | 376 b | ±2.1 |
| Fv/Fm | 0.84 ab | ±0.00 | 0.78 e | ±0.03 | 0.79 de | ±0.01 | 0.81 cd | ±0.01 | 0.82 bc | ±0.02 | 0.85 a | ±0.01 |
| Fv/Fo | 5.3 a | ±0.16 | 3.7 d | ±0.53 | 3.8 cd | ±0.18 | 4.4 bc | ±0.38 | 4.8 b | ±0.52 | 5.7 a | 0.06 |
| 1422 RI | 1422 OI | |||||||||||
| Fo | 409 b | ±11.1 | 531 a | ±68.9 | 528 a | ±16.3 | 411 b | ±5.6 | 389 b | ±33.0 | 399 b | ±14.5 |
| Fv/Fm | 0.84 a | ±0.01 | 0.75 c | ±0.03 | 0.78 b | ±0.01 | 0.82 a | ±0.01 | 0.84 a | ±0.02 | 0.85 a | ±0.01 |
| Fv/Fo | 5.4 a | ±0.37 | 3.1 c | ±0.51 | 3.5 c | ±0.14 | 4.7 b | ±0.08 | 5.4 a | ±0.68 | 5.6 a | ±0.23 |
| MoneyMaker RI | MoneyMaker OI | |||||||||||
| Fo | 424 b | ±14.6 | 531 a | ±53.5 | 548 a | ±42.5 | 447 b | ±5.6 | 373 c | ±5.8 | 399 bc | ±20.2 |
| Fv/Fm | 0.82 a | ±0.01 | 0.73 c | ±0.03 | 0.74 c | ±0.02 | 0.79 b | ±0.01 | 0.82 a | ±0.01 | 0.83 a | ±0.01 |
| Fv/Fo | 4.7 a | ±0.42 | 2.8 c | ±0.38 | 2.9 c | ±0.34 | 3.7 b | ±0.06 | 4.7 a | ±0.18 | 5.0 a | ±0.24 |
| JAG8810 RI | JAG8810 OI | |||||||||||
| Fo | 391 bc | ±5.5 | 419 a | ±9.0 | 409 ab | ±21.7 | 385 bc | ±19.6 | 383 c | ±4.2 | 370 c | ±26.5 |
| Fv/Fm | 0.85 a | ±0.01 | 0.81 b | ±0.01 | 0.80 b | ±0.01 | 0.84 a | ±0.01 | 0.84 a | ±0.01 | 0.85 a | ±0.01 |
| Fv/Fo | 5.6 a | ±0.22 | 4.3 c | ±0.12 | 4.1 c | ±0.22 | 5.4 ab | ±0.24 | 5.1 b | ±0.24 | 5.6 a | ±0.37 |
Disclaimer/Publisher’s Note: The statements, opinions and data contained in all publications are solely those of the individual author(s) and contributor(s) and not of MDPI and/or the editor(s). MDPI and/or the editor(s) disclaim responsibility for any injury to people or property resulting from any ideas, methods, instructions or products referred to in the content. |
© 2024 by the authors. Licensee MDPI, Basel, Switzerland. This article is an open access article distributed under the terms and conditions of the Creative Commons Attribution (CC BY) license (https://creativecommons.org/licenses/by/4.0/).
Share and Cite
Grozeva, S.; Topalova, E.; Ganeva, D.; Tringovska, I. Evaluation of Tomato Landraces for Tolerance to Drought Stress Using Morphological and Physiological Traits. Int. J. Plant Biol. 2024, 15, 1391-1404. https://doi.org/10.3390/ijpb15040096
Grozeva S, Topalova E, Ganeva D, Tringovska I. Evaluation of Tomato Landraces for Tolerance to Drought Stress Using Morphological and Physiological Traits. International Journal of Plant Biology. 2024; 15(4):1391-1404. https://doi.org/10.3390/ijpb15040096
Chicago/Turabian StyleGrozeva, Stanislava, Elena Topalova, Daniela Ganeva, and Ivanka Tringovska. 2024. "Evaluation of Tomato Landraces for Tolerance to Drought Stress Using Morphological and Physiological Traits" International Journal of Plant Biology 15, no. 4: 1391-1404. https://doi.org/10.3390/ijpb15040096
APA StyleGrozeva, S., Topalova, E., Ganeva, D., & Tringovska, I. (2024). Evaluation of Tomato Landraces for Tolerance to Drought Stress Using Morphological and Physiological Traits. International Journal of Plant Biology, 15(4), 1391-1404. https://doi.org/10.3390/ijpb15040096








