Identification, Viability, and Membrane Potential during the Cryopreservation of Autochthonous Lactic-Acid Bacteria Isolated from Artisanal Adobera Cheese from Los Altos de Jalisco
Abstract
1. Introduction
2. Materials and Methods
2.1. Bacterial Strains Isolation and Purification
2.2. Genetic Identification of Lactic Acid Bacteria
2.3. Preservation of Lactic Acid Bacteria and Efficiency Evaluation
2.3.1. Evaluation of Viability: Short-Term Survival
2.3.2. Flow Cytometry: Long-Term Survival and Integrity
2.3.3. Recovery and Re-Adaptability Abilities in the Long-Term of Cryo-Preserved Lactic Acid Bacteria
2.4. Statistical Analysis
3. Results and Discussions
3.1. Isolation and Identification of Lactic Acid Bacteria
3.2. Preservation and Evaluation of Lactic Acid Bacteria (LAB) Viability
3.3. Effect of Cryo-Preservation on Membrane Potential of Lactic Acid Bacteria
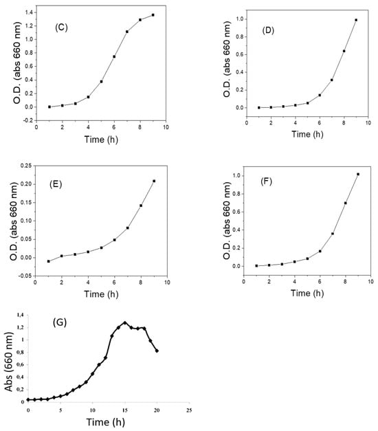
3.4. Kinetic Parameters of Lactic Acid Bacteria Recovered from Cryopresevation
4. Conclusions
Author Contributions
Funding
Institutional Review Board Statement
Informed Consent Statement
Data Availability Statement
Acknowledgments
Conflicts of Interest
References
- Aldrete-Tapia, A.; Escobar-Ramírez, M.C.; Tamplin, M.L.; Hernández-Iturriaga, M. High-throughput sequencing of microbial communities in poro cheese, an artisanal mexican cheese. Food Microbiol. 2014, 44, 136–141. [Google Scholar] [CrossRef] [PubMed]
- Saxer, S.; Schwenninger, S.M.; Lacroix, C. Characterization of the microflora of industrial Mexican cheeses produced without added chemical preservatives. LWT-Food Sci. Technol. 2013, 53, 314–320. [Google Scholar] [CrossRef]
- Ruvalcaba-Gómez, J.M.; Ruiz-Espinosa, H.; Arteaga-Garibay, R.I.; Rojas-López, M.; Amador-Espejo, G.G.; Anaya-Esparza, L.M.; Delgado-Macuil, R.J. Texture, Physicochemical and sensory properties of artisanal adobera cheese from Los Altos de Jalisco, a genuine Mexican cheese. Int. J. Dairy Technol. 2020, 73, 411–420. [Google Scholar] [CrossRef]
- Ruvalcaba-Gómez, J.M.; Delgado-Macuil, R.J.; Zelaya-Molina, L.X.; Maya-Lucas, O.; Ruesga-Gutiérrez, E.; Anaya-Esparza, L.M.; Villagrán-de la Mora, Z.; López-de la Mora, D.A.; Arteaga-Garibay, R.I. Bacterial succession through the artisanal process and seasonal effects eefining bacterial communities of raw-milk Adobera cheese revealed by high throughput DNA sequencing. Microorganisms 2020, 9, 24. [Google Scholar] [CrossRef]
- Coelho, M.C.; Malcata, F.X.; Silva, C.C.G. Lactic acid bacteria in raw-milk cheeses: From starter cultures to probiotic functions. Foods 2022, 11, 2276. [Google Scholar] [CrossRef]
- Scatassa, M.L.; Gaglio, R.; Cardamone, C.; Macaluso, G.; Arcuri, L.; Todaro, M.; Mancuso, I. Anti-listeria activity of lactic acid bacteria in two traditional Sicilian cheeses. Ital. J. Food Saf. 2017, 6, 6191. [Google Scholar] [CrossRef][Green Version]
- Garabal, J.I.; Rodríguez-Alonso, P.; Centeno, J.A. Characterization of lactic acid bacteria isolated from raw cows’ milk Cheeses Currently Produced in Galicia (NW Spain). LWT-Food Sci. Technol. 2008, 41, 1452–1458. [Google Scholar] [CrossRef]
- de Aguiar e Câmara, S.P.; Maduro Dias, C.; Rocha, L.; Dapkevicius, A.; Duarte Rosa, H.J.; de Borba, A.E.S.; Silveira, M.d.G.; Malcata, F.X.; de Lurdes Enes Dapkevicius, M. Assessment of autochthonous lactic acid bacteria as starter cultures for improved manufacture of pico cheese using a cheese model. Int. Dairy J. 2022, 128, 105294. [Google Scholar] [CrossRef]
- Ayivi, R.D.; Gyawali, R.; Krastanov, A.; Aljaloud, S.O.; Worku, M.; Tahergorabi, R.; Silva, R.C.; Ibrahim, S.A. Lactic acid bacteria: Food safety and human health applications. Dairy 2020, 1, 202–232. [Google Scholar] [CrossRef]
- Ingram, M. The lactic acid bacteria—A broad view. In Lactic Acid Bacteria in Beverages and Food; Carr, J.G., Cutting, C.V., Whiting, G.C., Eds.; Academic Press: London, UK, 1975; Volume 1, pp. 1–13. [Google Scholar]
- Almanza, F.; Barrera, E. Tecnología de la Leche y Derivados; Unisur: Bogotá, Colombia, 1991. [Google Scholar]
- Axelsson, L. Lactic Acid Bacteria. In Lactic Acid Bacteria; CRC Press: Boca Raton, FL, USA, 2004. [Google Scholar]
- Parra Huertas, R.A. Bacterias Ácido Lácticas: Papel Funcional En Los Alimentos. Biotecnol. El Sect. Agropecu. Agroindustrial (BSAA) 2010, 8, 93–105. [Google Scholar]
- Virdis, C.; Sumby, K.; Bartowsky, E.; Jiranek, V. Lactic acid bacteria in wine: Technological advances and evaluation of their functional role. Front. Microbiol. 2021, 11, 612118. [Google Scholar] [CrossRef] [PubMed]
- Anaya-Esparza, L.M.; Villagrán, Z.; Ruvalcaba-Gómez, J.M. Bacterias Ácido-Lácticas: Propiedades biotecnológicas y aplicaciones. In Bacterias Ácido-Lácticas; Ruvalcaba-Gómez, J.M., Arteaga-Garibay, R.I., López-de la Mora, D.A., Eds.; 2022; Volume 1, pp. 95–120. [Google Scholar]
- Woese, C.R. Bacterial evolution. Microbiol. Rev. 1987, 51, 221–271. [Google Scholar] [CrossRef] [PubMed]
- Collins, M.D.; Samelis, J.; Metaxopoulos, J.; Wallbanks, S. Taxonomic studies on some leuconostoc-like organisms from fermented sausages: Description of a new genus Weissella for the Leuconostoc Paramesenteroides Group of Species. J. Appl. Bacteriol. 1993, 75, 595–603. [Google Scholar] [CrossRef] [PubMed]
- Ruvalcaba-Gómez, J.M.; Arteaga-Garibay, R.I. Bacterias acido-lácticas: Definición, clasificación y taxonomía. In Bacterias Ácido-Lácticas; Ruvalcaba-Gómez, J.M., Arteaga-Garibay, R.I., López-de la Mora, D.A., Eds.; Universidad de Guadalajara: Guadalajara, Jalisco, México, 2022; Volume 1, pp. 13–40. [Google Scholar]
- Pavunc, A.L.; Beganovic, J.; Kos, B.; Uroic, K.; Blazic, M.; Suskovic, J. Characterization and application of autochthonous starter cultures for fresh cheese production. Food Technol. Biotechnol. 2012, 50, 141–151. [Google Scholar]
- Speranza, B.; Bevilacqua, A.; Corbo, M.R.; Altieri, C.; Sinigaglia, M. Selection of autochthonous strains as promising starter cultures for Fior Di Latte, a traditional cheese of southern Italy. J. Sci. Food Agric. 2015, 95, 88–97. [Google Scholar] [CrossRef]
- Ramírez-López, C.; Vélez-Ruiz, J.F. Aislamiento, caracterización y selección de bacterias lácticas autóctonas de leche y queso fresco artesanal de cabra. Inf. Technol 2016, 27, 115–128. [Google Scholar] [CrossRef][Green Version]
- Kharnaior, P.; Tamang, J.P. Probiotic Properties of lactic acid bacteria isolated from the spontaneously fermented soybean foods of the eastern himalayas. Fermentation 2023, 9, 461. [Google Scholar] [CrossRef]
- Zareie, Z.; Moayedi, A.; Garavand, F.; Tabar-Heydar, K.; Khomeiri, M.; Maghsoudlou, Y. Probiotic properties, safety assessment, and aroma-generating attributes of some lactic acid bacteria isolated from Iranian traditional cheese. Fermentation 2023, 9, 338. [Google Scholar] [CrossRef]
- Ruvalcaba-Gómez, J.M.; Ruiz-Espinosa, H.; Méndez-Robles, M.D.; Arteaga-Garibay, R.I.; Anaya-Esparza, L.M.; Villagrán, Z.; Delgado-Macuil, R.J. Use of Autochthonous lactic acid bacteria as starter culture of pasteurized milk adobera cheese. Fermentation 2022, 8, 234. [Google Scholar] [CrossRef]
- Abedin, M.M.; Chourasia, R.; Phukon, L.C.; Sarkar, P.; Ray, R.C.; Singh, S.P.; Rai, A.K. Lactic acid bacteria in the functional food industry: Biotechnological properties and potential applications. Crit. Rev. Food Sci. Nutr. 2023, 1–19. [Google Scholar] [CrossRef]
- Fan, Q.; Zeng, X.; Wu, Z.; Guo, Y.; Du, Q.; Tu, M.; Pan, D. Nanocoating of lactic acid bacteria: Properties, protection mechanisms, and future trends. Crit. Rev. Food Sci. Nutr. 2023, 1–16. [Google Scholar] [CrossRef] [PubMed]
- Morales, R.A. Caracterización de Bacterias Lácticas Aisladas a Partir de Cultivos Iniciadores Comerciales y su Conservación. Ph.D. Thesis, Instituto Politécnico Nacional, Ciudad de México, Mexico, 1989. [Google Scholar]
- Daniel, A.A.; Egbebi, A.O.; Onasanya, A.A. Isolation and identification of lactic acid bacteria from spontaneously fermented Kunun-Zaki using RAPD-PCR analysis. ABUAD Int. J. Nat. Appl. Sci. 2023, 3, 34–42. [Google Scholar] [CrossRef]
- Okoye, C.O.; Gao, L.; Wu, Y.; Li, X.; Wang, Y.; Jiang, J. Identification, characterization and optimization of culture medium conditions for organic acid-producing lactic acid bacteria strains from Chinese fermented vegetables. Prep. Biochem. Biotechnol. 2023, 1–12. [Google Scholar] [CrossRef] [PubMed]
- Ortiz, B.M. Identificación Bioquímica de Bacterias Acido-Lácticas Aisladas a Partir de Productos Lácteos en el Estado de Hidalgo. Bachelor’s Thesis, Universidad Autónoma del Estado de Hidalgo, Pachuca de Soto, México, 2006. Available online: http://dgsa.uaeh.edu.mx:8080/bibliotecadigital/handle/231104/381 (accessed on 1 October 2023).
- Zamanpour, S.; Rezvani, R.; Jafarzadeh Isfahani, A.; Afshari, A. Isolation and some basic characteristics of lactic acid bacteria from beetroot (Beta vulgaris L.)—A preliminary study. Canrea J. Food Technol. Nutr. Culin. J. 2023, 42–56. [Google Scholar] [CrossRef]
- Hadef, S.; Idoui, T.; Sifour, M.; Genay, M.; Dary-Mourot, A. Screening of wild lactic acid bacteria from Algerian traditional cheeses and goat butter to develop a new probiotic starter culture. Probiotics Antimicrob. Proteins 2023, 15, 387–399. [Google Scholar] [CrossRef]
- Karahan, A.G.; Başyiğit Kılıç, G.; Kart, A.; Şanlıdere Aloğlu, H.; Öner, Z.; Aydemir, S.; Erkuş, O.; Harsa, Ş. Genotypic identification of some lactic acid bacteria by amplified fragment length polymorphism analysis and investigation of their potential usage as starter culture combinations in beyaz cheese manufacture. J. Dairy Sci. 2010, 93, 1–11. [Google Scholar] [CrossRef]
- Aquilanti, L.; Silvestri, G.; Zannini, E.; Osimani, A.; Santarelli, S.; Clementi, F. Phenotypic, genotypic and technological characterization of predominant lactic acid bacteria in pecorino cheese from central Italy. J. Appl. Microbiol. 2007, 103, 948–960. [Google Scholar] [CrossRef]
- de las Rivas, B.; Marcobal, Á.; Muñoz, R. Development of a multilocus sequence typing method for analysis of lactobacillus plantarum strains. Microbiology 2006, 152, 85–93. [Google Scholar] [CrossRef]
- González-García, L.N.; Vanegas-López, M.; Riaño-Pachón, D.M. Comparing the potential for identification of lactobacillus Spp. of 16S RDNA variable regions. Acta Biol. Colomb. 2013, 18, 349–364. [Google Scholar]
- Valdéz-Alarcón, J.J.; Ruvalcaba-Gómez, J.M.; Chávez-Bárcenas, A.T.; Arteaga-Garibay, R.I. Identificación molecular y genotipificación de bacterias acido-lácticas. In Bacterias Ácido-Lácticas; Ruvalcaba-Gómez, J.M., Arteaga-Garibay, R.I., López-de la Mora, D.A., Eds.; Universidad de Guadalajara: Guadalajara, México, 2022; Volume 1, pp. 67–94. [Google Scholar]
- Smith, D. Culture Collections. Adv. Appl. Microbiol. 2012, 79, 73–118. [Google Scholar]
- Fonseca, F.; Girardeau, A.; Passot, S. Freeze-drying of lactic acid bacteria: A stepwise approach for developing a freeze-drying protocol based on physical properties. Methods Mol. Biol. 2021, 2180, 703–719. [Google Scholar] [PubMed]
- Arencibia, A.D.F.; Rosario, F.L.A.; Gámez, M.R. Métodos generales de conservación de microorganismos. In Proceedings of the I Taller Científico de Los Laboratorios Liorad, VI Taller de Colecciones de Cultivos Microbianos y Otros Materiales Biológicos; Ediciones Finlay: La Habana, Cuba, 2008; Available online: https://www.researchgate.net/institution/Centro-Nacional-de-Investigaciones-Cientificas (accessed on 1 October 2023).
- Wang, G.-Q.; Pu, J.; Yu, X.-Q.; Xia, Y.-J.; Ai, L.-Z. Influence of freezing temperature before freeze-drying on the viability of various lactobacillus plantarum strains. J. Dairy Sci. 2020, 103, 3066–3075. [Google Scholar] [CrossRef] [PubMed]
- Rault, A.; Béal, C.; Ghorbal, S.; Ogier, J.-C.; Bouix, M. Multiparametric flow cytometry allows rapid assessment and comparison of lactic acid bacteria viability after freezing and during frozen storage. Cryobiology 2007, 55, 35–43. [Google Scholar] [CrossRef] [PubMed]
- Zamora, R.L.M. Aislamiento, Identificación y Conservación de Cultivos de Bacterias Lácticas Antagonistas de Microbiota Contaminante de Sangre de Matadero; Universitat de Girona: Girona, España, 2003. [Google Scholar]
- Corry, J.E.L.; Curtis, G.D.W.; Baird, R.M. De Man, Rogosa and Sharpe (MRS) Agar. Prog. Ind. Microbiol. 2003, 37, 511–513. [Google Scholar]
- Di Cagno, R.; Cardinali, G.; Minervini, G.; Antonielli, L.; Rizzello, C.G.; Ricciuti, P.; Gobbetti, M. Taxonomic structure of the yeasts and lactic acid bacteria microbiota of pineapple (Ananas comosus L. Merr.) and use of autochthonous starters for minimally processing. Food Microbiol. 2010, 27, 381–389. [Google Scholar] [CrossRef]
- Domingos-Lopes, M.F.P.; Stanton, C.; Ross, P.R.; Dapkevicius, M.L.E.; Silva, C.C.G. Genetic diversity, safety and technological characterization of lactic acid bacteria isolated from artisanal pico cheese. Food Microbiol. 2017, 63, 178–190. [Google Scholar] [CrossRef]
- Sadat, N.N.; Rezaeizadeh, G.; Sarami, F.; Khayam-Nekooii, M.S.; Khosravi-Darani, K. A comparison between different methods for the preservation of lactic acid bacteria for usage as a starter culture. Biol. J. Microorg. 2022, 11, 77–94. [Google Scholar]
- Jackson, M.S.; Bird, A.R.; McOrist, A.L. Comparison of two selective media for the detection and enumeration of lactobacilli in human faeces. J. Microbiol. Methods 2002, 51, 313–321. [Google Scholar] [CrossRef]
- Wilson, K. Preparation of genomic <scp>DNA</Scp> from bacteria. Curr. Protoc. Mol. Biol. 2001, 56. [Google Scholar] [CrossRef]
- Weisburg, W.G.; Barns, S.M.; Pelletier, D.A.; Lane, D.J. 16S Ribosomal DNA amplification for phylogenetic study. J. Bacteriol. 1991, 173, 697–703. [Google Scholar] [CrossRef]
- Torriani, S.; Felis, G.E.; Dellaglio, F. Differentiation of Lactobacillus Plantarum, L. Pentosus, and L. Paraplantarum by RecA gene sequence analysis and multiplex PCR assay with RecA gene-derived primers. Appl. Env. Microbiol. 2001, 67, 3450–3454. [Google Scholar] [CrossRef]
- Tamura, K.; Stecher, G.; Kumar, S. MEGA11: Molecular evolutionary genetics analysis version 11. Mol. Biol. Evol. 2021, 38, 3022–3027. [Google Scholar] [CrossRef]
- Jukes, T.H.; Cantor, C.R. Evolution of protein molecules. In Mammalian Protein Metabolism; Munro, H.N., Ed.; Academic Press: New York, NY, USA, 1969; pp. 21–132. [Google Scholar]
- Felsenstein, J. Confidence limits on phylogenies: An approach using the bootstrap. Evolution 1985, 39, 783–791. [Google Scholar] [CrossRef] [PubMed]
- Hedges, A.J. Estimating the Precision of Serial Dilutions and Viable Bacterial Counts. Int. J. Food Microbiol. 2002, 76, 207–214. [Google Scholar] [CrossRef] [PubMed]
- Miles, A.A.; Misra, S.S.; Irwin, J.O. The Estimation of the Bactericidal Power of the Blood. Epidemiol. Infect. 1938, 38, 732–749. [Google Scholar] [CrossRef] [PubMed]
- Mozzi, F. Lactic Acid Bacteria. In Encyclopedia of Food and Health; Elsevier: Amsterdam, The Netherlands, 2016; pp. 501–508. [Google Scholar]
- Kieliszek, M.; Pobiega, K.; Piwowarek, K.; Kot, A.M. Characteristics of the proteolytic enzymes produced by lactic acid bacteria. Molecules 2021, 26, 1858. [Google Scholar] [CrossRef] [PubMed]
- Vasyliuk, O.M.; Skrotskyi, S.O.; Khomenko, L.A.; Babich, T.V. Probiotics based on lactic acid bacteria for aquaculture. Mikrobiol. Zh 2023, 85, 75–92. [Google Scholar] [CrossRef]
- Pritchard, D.J.; Fa, J.E.; Oldfield, S.; Harrop, S.R. Bring the captive closer to the wild: Redefining the role of ex-Situ conservation. Oryx 2012, 46, 18–23. [Google Scholar] [CrossRef]
- Poznanski, E.; Cavazza, A.; Cappa, F.; Cocconcelli, P.S. Indigenous raw milk microbiota influences the bacterial development in traditional cheese from an alpine natural park. Int. J. Food Microbiol. 2004, 92, 141–151. [Google Scholar] [CrossRef]
- Conway, P.L.; Gorbach, S.L.; Goldin, B.R. Survival of lactic acid bacteria in the human stomach and adhesion to intestinal cells. J. Dairy Sci. 1987, 70, 1–12. [Google Scholar] [CrossRef]
- Zhang, L.; García-Cano, I.; Jiménez-Flores, R. Effect of milk phospholipids on the growth and cryotolerance of lactic acid bacteria cultured and stored in acid whey-based media. JDS Commun. 2020, 1, 36–40. [Google Scholar] [CrossRef] [PubMed]
- Schillinger, U.; Holzapfel, W.H. Chapter 8 Culture media for lactic acid bacteria. In Progress in Industrial Microbiology; Janet, E.L., Corry, G.D.W., Curtis, R.M.B., Eds.; Elsevier: Amsterdam, The Netherlands, 2003; pp. 127–140. [Google Scholar]
- Renschler, M.A.; Wyatt, A.; Anene, N.; Robinson-Hill, R.; Pickerill, E.S.; Fox, N.E.; Griffith, J.A.; McKillip, J.L. Using nitrous acid-modified de Man, Rogosa, and Sharpe medium to selectively isolate and culture lactic acid bacteria from dairy foods. J. Dairy Sci. 2020, 103, 1215–1222. [Google Scholar] [CrossRef] [PubMed]
- Evans, J.B.; Kloos, W.E. Use of Shake Cultures in a Semisolid Thioglycolate Medium for Differentiating Staphylococci from Micrococci. Appl. Microbiol. 1972, 23, 326–331. [Google Scholar] [CrossRef] [PubMed]
- Hollister, A.G.; Corrier, D.E.; Nisbet, D.J.; Beier, R.C.; Deloach, J.R. Effect of Lyophilization in sucrose plus dextran and rehydration in thioglycollate broth on performance of competitive exclusion cultures in broiler chicks. Poult. Sci. 1995, 74, 586–590. [Google Scholar] [CrossRef]
- Griffe, M.B.; Patterson, S.S.; Miller, C.H.; Kafrawy, A.H.; Newton, C.W. Comparison of bacterial growth in an improperly but commonly used medium versus reduced Thioglycolate with the use of an anaerobic sampling technique. Oral. Surg. Oral. Med. Oral. Pathol. 1981, 52, 433–436. [Google Scholar] [CrossRef] [PubMed]
- Bagatolli, C.D. Validación de un Método Alternativo Para la Preservación de Bacterias. Bachelor’s Thesis, Universidad Nacional de Cuyo, Mendoza, Argentina, 2017. [Google Scholar]
- Smith, D.; Thomas, V.E. Cryogenic light microscopy and the development of cooling protocols for the cryopreservation of filamentous fungi. World J. Microbiol. Biotechnol. 1997, 14, 49–57. [Google Scholar] [CrossRef]
- Soto, L.P. Elección de un Método de Conservación Que Asegure la Viabilidad de Bacterias Indígenas Probióticas y Mejore la Efectividad de Administración a Terneros Lactantes Criados a Campo. Ph.D. Thesis, Universidad Nacional de Litoral, Santa Fe, Argentina, 2010. [Google Scholar]
- Girardeau, A.; Passot, S.; Meneghel, J.; Cenard, S.; Lieben, P.; Trelea, I.-C.; Fonseca, F. Insights into lactic acid bacteria cryoresistance using FTIR microspectroscopy. Anal. Bioanal. Chem. 2022, 414, 1425–1443. [Google Scholar] [CrossRef]
- Novo, D.; Perlmutter, N.G.; Hunt, R.H.; Shapiro, H.M. Accurate flow cytometric membrane potential measurement in bacteria using Diethyloxacarbocyanine and a Ratiometric Technique. Cytometry 1999, 35, 55–63. [Google Scholar] [CrossRef]
- Li, L.; Yang, M.; Zhu, W.; Liu, X.; Peng, X.; Li, H. Functionally ampicillin-stressed proteomics reveals that AdhE regulates alcohol metabolism for antibiotic resistance in Escherichia coli. Process Biochem. 2021, 104, 132–141. [Google Scholar] [CrossRef]
- Nebra, Y.; Jofre, J.; Blanch, A.R. The Effect of reducing agents on the recovery of injured bifidobacterium cells. J. Microbiol. Methods 2002, 49, 247–254. [Google Scholar] [CrossRef]
- Jia, Z.; Liu, Y.; Hwang, C.-A.; Huang, L. Effect of combination of oxyrase and sodium thioglycolate on growth of clostridium perfringens from spores under aerobic incubation. Food Microbiol. 2020, 89, 103413. [Google Scholar] [CrossRef] [PubMed]
- León, P.A.M.; Montoya, C.O.I.; Motato, K.E.; Granda, D.M.; Acaro, C.; Restrepo, J.M.; Echeverri, S.; Valencia, J. Colombian wild lactic acid bacteria (LAB) show good properties in Sourdough manufacture. Rev. Fac. Química Farm. 2006, 13, 26–35. [Google Scholar]





| ID | Genetic identification * | Strain Designation |
|---|---|---|
| 1 | Lactobacillus curvatus | CM-CNRG 122 |
| 2 | Lactobacillus sp. | CM-CNRG 464 |
| 3 | Streptococcus gallolyticus | CM-CNRG 465 |
| 4 | Leuconostoc mesenteroides | CM-CNRG 320 |
| 5 | Lactococcus lactis | CM-CNRG 466 |
| 6 | Leuconostoc mesenteroides | CM-CNRG 286 |
| 7 | Lactiplantibacillus plantarum | CM-CNRG 467 |
| 8 | Lactiplantibacillus plantarum | CM-CNRG 468 |
| 9 | Lactiplantibacillus plantarum | CM-CNRG 469 |
| 10 | Lactiplantibacillus plantarum | CM-CNRG 470 |
| 11 | Lactococcus lactis | CM-CNRG 471 |
| 12 | Lactiplantibacillus plantarum | CM-CNRG 472 |
| 13 | Leuconostoc mesenteroides | CM-CNRG 61 |
| 14 | Lactiplantibacillus plantarum | CM-CNRG 287 |
| 15 | Lactiplantibacillus plantarum | CM-CNRG 11 |
| 16 | Leuconostoc mesenteroides | CM-CNRG 473 |
Disclaimer/Publisher’s Note: The statements, opinions and data contained in all publications are solely those of the individual author(s) and contributor(s) and not of MDPI and/or the editor(s). MDPI and/or the editor(s) disclaim responsibility for any injury to people or property resulting from any ideas, methods, instructions or products referred to in the content. |
© 2023 by the authors. Licensee MDPI, Basel, Switzerland. This article is an open access article distributed under the terms and conditions of the Creative Commons Attribution (CC BY) license (https://creativecommons.org/licenses/by/4.0/).
Share and Cite
Arteaga-Garibay, R.I.; Delgado-Macuil, R.J.; Gómez-Godínez, L.J.; Cruz-Cárdenas, C.I.; Villagrán, Z.; Giono-Cerezo, S.; Zelaya-Molina, L.X.; Anaya-Esparza, L.M.; Ruvalcaba-Gómez, J.M. Identification, Viability, and Membrane Potential during the Cryopreservation of Autochthonous Lactic-Acid Bacteria Isolated from Artisanal Adobera Cheese from Los Altos de Jalisco. Microbiol. Res. 2023, 14, 1820-1833. https://doi.org/10.3390/microbiolres14040124
Arteaga-Garibay RI, Delgado-Macuil RJ, Gómez-Godínez LJ, Cruz-Cárdenas CI, Villagrán Z, Giono-Cerezo S, Zelaya-Molina LX, Anaya-Esparza LM, Ruvalcaba-Gómez JM. Identification, Viability, and Membrane Potential during the Cryopreservation of Autochthonous Lactic-Acid Bacteria Isolated from Artisanal Adobera Cheese from Los Altos de Jalisco. Microbiology Research. 2023; 14(4):1820-1833. https://doi.org/10.3390/microbiolres14040124
Chicago/Turabian StyleArteaga-Garibay, Ramón Ignacio, Raúl Jacobo Delgado-Macuil, Lorena Jacqueline Gómez-Godínez, Carlos Iván Cruz-Cárdenas, Zuamí Villagrán, Silvia Giono-Cerezo, Lily Xochitl Zelaya-Molina, Luis Miguel Anaya-Esparza, and José Martín Ruvalcaba-Gómez. 2023. "Identification, Viability, and Membrane Potential during the Cryopreservation of Autochthonous Lactic-Acid Bacteria Isolated from Artisanal Adobera Cheese from Los Altos de Jalisco" Microbiology Research 14, no. 4: 1820-1833. https://doi.org/10.3390/microbiolres14040124
APA StyleArteaga-Garibay, R. I., Delgado-Macuil, R. J., Gómez-Godínez, L. J., Cruz-Cárdenas, C. I., Villagrán, Z., Giono-Cerezo, S., Zelaya-Molina, L. X., Anaya-Esparza, L. M., & Ruvalcaba-Gómez, J. M. (2023). Identification, Viability, and Membrane Potential during the Cryopreservation of Autochthonous Lactic-Acid Bacteria Isolated from Artisanal Adobera Cheese from Los Altos de Jalisco. Microbiology Research, 14(4), 1820-1833. https://doi.org/10.3390/microbiolres14040124

