Modeling Late-Onset Sporadic Alzheimer’s Disease Using Patient-Derived Cells: A Review
Abstract
1. Alzheimer’s Disease
1.1. Classical Pathological Hallmarks
1.2. Epigenomic Anomalies in Alzheimer’s Disease
2. Materials and Methods
2.1. Cell Lines
2.2. Differentiation of iPSCs into Cortical Neurons
3. ATAC-Seq Data Processing Pipeline
3.1. Quality Control of Raw Reads
3.2. Adapter and Quality Trimming
3.3. Alignment to the Reference Genome
3.4. Conversion, Sorting, and Duplicate Removal
3.5. Peak Calling
3.6. ATAC-Seq Quality Assessment
4. Data Analysis and Visualization
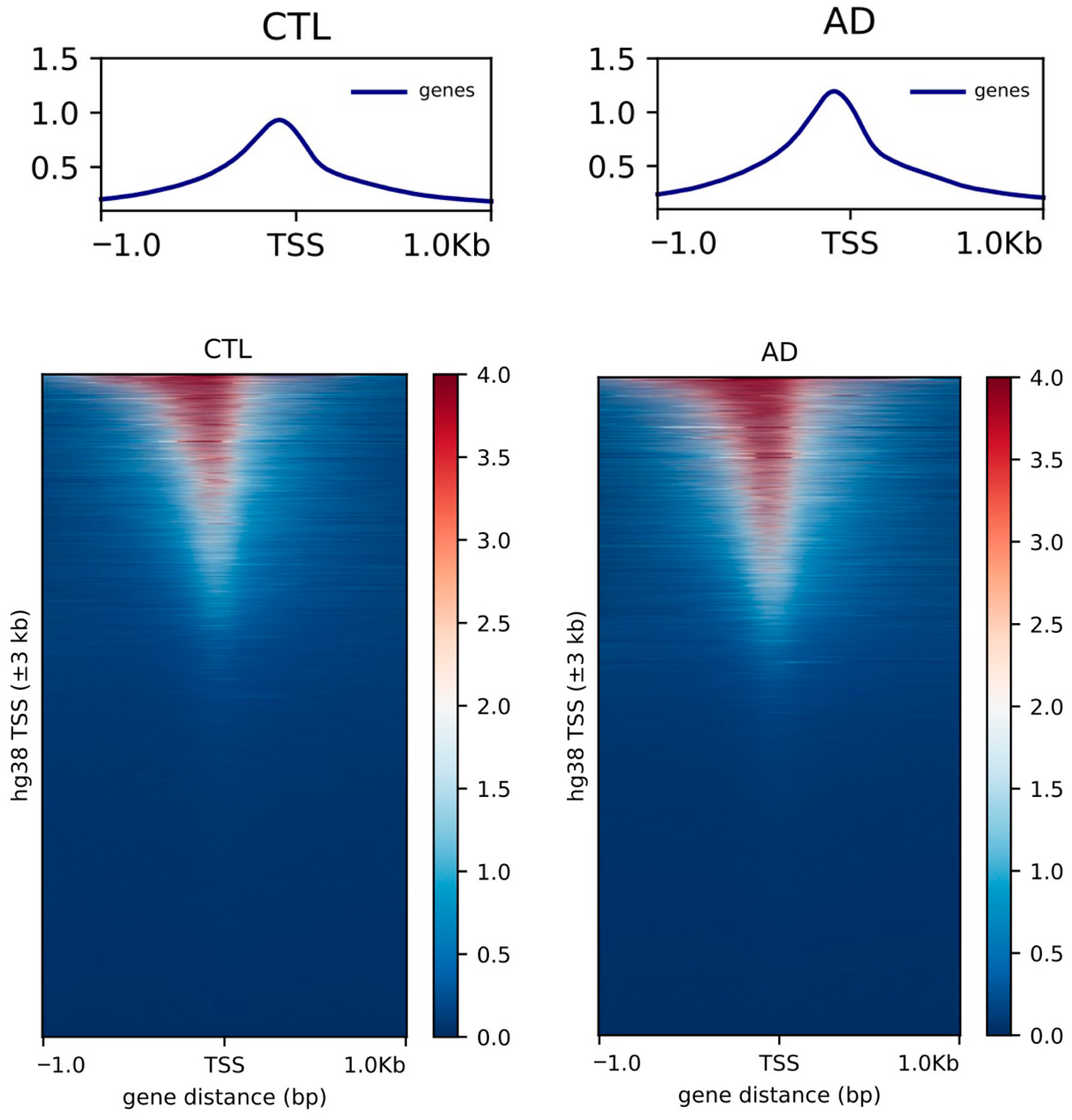
4.1. Global Characteristics of ATAC-Seq Peaks
4.2. Functional Annotation of Peaks
4.3. Pathway Enrichment Analysis (Reactome)
4.4. Software Environment
| Software/Package | Version | Channel |
| FastQC | 0.12.1 | bioconda |
| Fastp | 0.24.1 | bioconda |
| Bowtie2 | 2.5.4 | bioconda |
| SAMtools | 1.21 | bioconda |
| Picard | 3.4.0 | bioconda |
| MACS2 | 2.2.9.1 | bioconda |
| deepTools | 3.5.6 | bioconda |
| bedtools | 2.31.1 | bioconda |
| ChIPseeker | 1.42.0 | bioconda |
| TxDb.Hsapiens.UCSC.hg38.knownGene | 3.20.0 | bioconda |
| clusterProfiler | 4.14.0 | bioconda |
| ReactomePA | 1.46.0 | bioconda |
| org.Hs.eg.db | 3.20.0 | bioconda |
| GenomicRanges | 1.58.0 | bioconda |
| ggplot2 | 3.5.2 | conda-forge |
| R base | 4.4.3 | conda-forge |
| Python | 3.11.12 | conda-forge |
| OpenJDK | 23.0.2 | conda-forge |
4.5. Summary of Computational Workflow
| Step | Description | Main Tools/Packages |
| 1 | Raw read quality control | FastQC |
| 2 | Adapter and quality trimming | Fastp |
| 3 | Alignment to hg38 genome | Bowtie2 |
| 4 | BAM conversion, sorting, duplicate removal | SAMtools, Picard |
| 5 | Peak calling | MACS2 |
| 6 | ATAC-seq QC (fragment size, TSS enrichment) | deepTools |
| 7 | Peak quantification and visualization | R, ggplot2 |
| 8 | Genomic annotation of peaks | ChIPseeker |
| 9 | Repeat element overlap | RepeatMasker, GenomicRanges |
| 10 | Functional pathway enrichment | ReactomePA, clusterProfiler |
5. Modeling Load with Patient-Derived Cells
5.1. The Induced Pluripotent Stem Cell Technology
5.2. The Induced Neuron Technology
6. Conclusions
Author Contributions
Funding
Data Availability Statement
Acknowledgments
Conflicts of Interest
References
- Nichols, E.; Steinmetz, J.D.; Vollset, S.E.; Fukutaki, K.; Chalek, J.; Abd-Allah, F.; Abdoli, A.; Abualhasan, A.; Abu-Gharbieh, E.; Akram, T.T.; et al. Estimation of the global prevalence of dementia in 2019 and forecasted prevalence in 2050: An analysis for the Global Burden of Disease Study 2019. Lancet Public Health 2022, 7, e105–e125. [Google Scholar] [CrossRef]
- Blennow, K.; Zetterberg, H. Biomarkers for Alzheimer’s disease: Current status and prospects for the future. J. Intern. Med. 2018, 284, 643–663. [Google Scholar] [CrossRef]
- Veugelen, S.; Saito, T.; Saido, T.C.; Chávez-Gutiérrez, L.; De Strooper, B. Familial Alzheimer’s Disease Mutations in Presenilin Generate Amyloidogenic Aβ Peptide Seeds. Neuron 2016, 90, 410–416. [Google Scholar] [CrossRef] [PubMed]
- Zhou, B.; Lu, J.G.; Siddu, A.; Wernig, M.; Südhof, T.C. Synaptogenic effect of APP -Swedish mutation in familial Alzheimer’s disease. Sci. Transl. Med. 2022, 14, eabn9380. [Google Scholar] [CrossRef]
- Bellenguez, C.; Küçükali, F.; Jansen, I.E.; Kleineidam, L.; Moreno-Grau, S.; Amin, N.; Naj, A.C.; Campos-Martin, R.; Grenier-Boley, B.; Andrade, V.; et al. New insights into the genetic etiology of Alzheimer’s disease and related dementias. Nat. Genet. 2022, 54, 412–436. [Google Scholar] [CrossRef] [PubMed]
- Fortea, J.; Pegueroles, J.; Alcolea, D.; Belbin, O.; Dols-Icardo, O.; Vaqué-Alcázar, L.; Videla, L.; Gispert, J.D.; Suárez-Calvet, M.; Johnson, S.C.; et al. APOE4 homozygosity represents a distinct genetic form of Alzheimer’s disease. Nat. Med. 2024, 30, 1284–1291. [Google Scholar] [CrossRef] [PubMed]
- Min, S.; Li, Z.; Shieh, A.; Giase, G.; Bao, R.; Zhang, C.; Kuney, L.; Kopp, R.; Asif, H.; Alliey-Rodriguez, N.; et al. Absence of coding somatic single nucleotide variants within well-known candidate genes in late-onset sporadic Alzheimer’s Disease based on the analysis of multi-omics data. Neurobiol. Aging 2021, 108, 207–209. [Google Scholar] [CrossRef]
- Blennow, K.; De Leon, M.J.; Zetterberg, H. Alzheimer’s disease. Lancet 2006, 368, 387–403. [Google Scholar] [CrossRef]
- Villemagne, V.L.; Burnham, S.; Bourgeat, P.; Brown, B.; Ellis, K.A.; Salvado, O.; Szoeke, C.; Macaulay, S.L.; Martins, R.; Maruff, P.; et al. Amyloid β deposition, neurodegeneration, and cognitive decline in sporadic Alzheimer’s disease: A prospective cohort study. Lancet Neurol. 2013, 12, 357–367. [Google Scholar] [CrossRef]
- Haass, C.; Kaether, C.; Thinakaran, G.; Sisodia, S. Trafficking and Proteolytic Processing of APP. Cold Spring Harb. Perspect. Med. 2012, 2, a006270. [Google Scholar] [CrossRef]
- Cai, H.; Wang, Y.; McCarthy, D.; Wen, H.; Borchelt, D.R.; Price, D.L.; Wong, P.C. BACE1 is the major β-secretase for generation of Aβ peptides by neurons. Nat. Neurosci. 2001, 4, 233–234. [Google Scholar] [CrossRef]
- De Strooper, B.; Iwatsubo, T.; Wolfe, M.S. Presenilins and -Secretase: Structure, Function, and Role in Alzheimer Disease. Cold Spring Harb. Perspect. Med. 2012, 2, a006304. [Google Scholar] [CrossRef]
- Takasugi, N.; Komai, M.; Kaneshiro, N.; Ikeda, A.; Kamikubo, Y.; Uehara, T. The Pursuit of the “Inside” of the Amyloid Hypothesis—Is C99 a Promising Therapeutic Target for Alzheimer’s Disease? Cells 2023, 12, 454. [Google Scholar] [CrossRef]
- Oksanen, M.; Petersen, A.J.; Naumenko, N.; Puttonen, K.; Lehtonen, Š.; Gubert Olivé, M.; Shakirzyanova, A.; Leskelä, S.; Sarajärvi, T.; Viitanen, M.; et al. PSEN1 Mutant iPSC-Derived Model Reveals Severe Astrocyte Pathology in Alzheimer’s Disease. Stem Cell Rep. 2017, 9, 1885–1897. [Google Scholar] [CrossRef]
- Monterey, M.D.; Wei, H.; Wu, X.; Wu, J.Q. The Many Faces of Astrocytes in Alzheimer’s Disease. Front. Neurol. 2021, 12, 619626. [Google Scholar] [CrossRef]
- Buée, L.; Bussière, T.; Buée-Scherrer, V.; Delacourte, A.; Hof, P.R. Tau protein isoforms, phosphorylation and role in neurodegenerative disorders11These authors contributed equally to this work. Brain Res. Rev. 2000, 33, 95–130. [Google Scholar] [CrossRef] [PubMed]
- Beckmann, A.; Ramirez, P.; Gamez, M.; Gonzalez, E.; De Mange, J.; Bieniek, K.F.; Ray, W.J.; Frost, B. Moesin is an effector of tau-induced actin overstabilization, cell cycle activation, and neurotoxicity in Alzheimer’s disease. iScience 2023, 26, 106152. [Google Scholar] [CrossRef]
- Frost, B. Alzheimer’s disease and related tauopathies: Disorders of disrupted neuronal identity. Trends Neurosci. 2023, 46, 797–813. [Google Scholar] [CrossRef] [PubMed]
- Mendieta, J.; Fuertes, M.A.; Kunjishapatham, R.; Santa-María, I.; Moreno, F.J.; Alonso, C.; Gago, F.; Muñoz, V.; Avila, J.; Hernández, F. Phosphorylation modulates the alpha-helical structure and polymerization of a peptide from the third tau microtubule-binding repeat. Biochim. Biophys. Acta (BBA)-Gen. Subj. 2005, 1721, 16–26. [Google Scholar] [CrossRef]
- Booth, L.N.; Brunet, A. The Aging Epigenome. Mol. Cell 2016, 62, 728–744. [Google Scholar] [CrossRef]
- Loh, C.H.; Veenstra, G.J.C. The Role of Polycomb Proteins in Cell Lineage Commitment and Embryonic Development. Epigenomes 2022, 6, 23. [Google Scholar] [CrossRef] [PubMed]
- Frost, B.; Hemberg, M.; Lewis, J.; Feany, M.B. Tau promotes neurodegeneration through global chromatin relaxation. Nat. Neurosci. 2014, 17, 357–366. [Google Scholar] [CrossRef] [PubMed]
- El Hajjar, J.; Chatoo, W.; Hanna, R.; Nkanza, P.; Tétreault, N.; Tse, Y.C.; Wong, T.P.; Abdouh, M.; Bernier, G. Heterochromatic genome instability and neurodegeneration sharing similarities with Alzheimer’s disease in old Bmi1+/− mice. Sci. Rep. 2019, 9, 594. [Google Scholar] [CrossRef] [PubMed]
- Janssen, A.; Colmenares, S.U.; Karpen, G.H. Heterochromatin: Guardian of the Genome. Annu. Rev. Cell Dev. Biol. 2018, 34, 265–288. [Google Scholar] [CrossRef]
- Barker, S.J.; Raju, R.M.; Milman, N.E.P.; Wang, J.; Davila-Velderrain, J.; Gunter-Rahman, F.; Parro, C.C.; Bozzelli, P.L.; Abdurrob, F.; Abdelaal, K.; et al. MEF2 is a key regulator of cognitive potential and confers resilience to neurodegeneration. Sci. Transl. Med. 2021, 13, eabd7695. [Google Scholar] [CrossRef]
- Ren, J.; Zhang, S.; Wang, X.; Deng, Y.; Zhao, Y.; Xiao, Y.; Liu, J.; Chu, L.; Qi, X. MEF2C ameliorates learning, memory, and molecular pathological changes in Alzheimer’s disease in vivo andin vitro. Acta Biochim. Biophys. Sin. 2022, 54, 77–90. [Google Scholar] [CrossRef]
- Basu, S.; Ro, E.J.; Liu, Z.; Kim, H.; Bennett, A.; Kang, S.; Suh, H. The Mef2c Gene Dose-Dependently Controls Hippocampal Neurogenesis and the Expression of Autism-Like Behaviors. J. Neurosci. 2024, 44, e1058232023. [Google Scholar] [CrossRef]
- Fahey, L.; Ali, D.; Donohoe, G.; Broin, P.Ó.; Morris, D.W. Genes positively regulated by Mef2c in cortical neurons are enriched for common genetic variation associated with IQ and educational attainment. Hum. Mol. Genet. 2023, 32, 3194–3203. [Google Scholar] [CrossRef]
- Xiong, X.; James, B.T.; Boix, C.A.; Park, Y.P.; Galani, K.; Victor, M.B.; Sun, N.; Hou, L.; Ho, L.-L.; Mantero, J.; et al. Epigenomic dissection of Alzheimer’s disease pinpoints causal variants and reveals epigenome erosion. Cell 2023, 186, 4422–4437.e21. [Google Scholar] [CrossRef]
- Liu, Z.; Zhang, S.; James, B.T.; Galani, K.; Mangan, R.J.; Fass, S.B.; Liang, C.; Wagle, M.M.; Boix, C.A.; Tanigawa, Y.; et al. Single-cell multiregion epigenomic rewiring in Alzheimer’s disease progression and cognitive resilience. Cell 2025, 188, 4980–5002.e29. [Google Scholar] [CrossRef]
- Lu, Y.R.; Tian, X.; Sinclair, D.A. The Information Theory of Aging. Nat. Aging 2023, 3, 1486–1499. [Google Scholar] [CrossRef]
- Flamier, A.; El Hajjar, J.; Adjaye, J.; Fernandes, K.J.; Abdouh, M.; Bernier, G. Modeling Late-Onset Sporadic Alzheimer’s Disease through BMI1 Deficiency. Cell Rep. 2018, 23, 2653–2666. [Google Scholar] [CrossRef]
- Hanna, R.; Flamier, A.; Barabino, A.; Bernier, G. G-quadruplexes originating from evolutionary conserved L1 elements interfere with neuronal gene expression in Alzheimer’s disease. Nat. Commun. 2021, 12, 1828. [Google Scholar] [CrossRef]
- Katbe, A.; Hanna, R.; Flamier, A.; Serhani, D.; Hamam, R.; Barabino, A.; Tavares, E.; Héon, É.; Bernier, G. Epigenomic alterations and neural development anomalies in induced pluripotent stem cells from sporadic Alzheimer’s disease. Development 2025, 153, dev.204910. [Google Scholar] [CrossRef]
- Takahashi, K.; Yamanaka, S. Induction of Pluripotent Stem Cells from Mouse Embryonic and Adult Fibroblast Cultures by Defined Factors. Cell 2006, 126, 663–676. [Google Scholar] [CrossRef]
- Takahashi, K.; Tanabe, K.; Ohnuki, M.; Narita, M.; Ichisaka, T.; Tomoda, K.; Yamanaka, S. Induction of Pluripotent Stem Cells from Adult Human Fibroblasts by Defined Factors. Cell 2007, 131, 861–872. [Google Scholar] [CrossRef] [PubMed]
- Okita, K.; Matsumura, Y.; Sato, Y.; Okada, A.; Morizane, A.; Okamoto, S.; Hong, H.; Nakagawa, M.; Tanabe, K.; Tezuka, K.; et al. A more efficient method to generate integration-free human iPS cells. Nat. Methods 2011, 8, 409–412. [Google Scholar] [CrossRef] [PubMed]
- Huang, J.; Wang, F.; Okuka, M.; Liu, N.; Ji, G.; Ye, X.; Zuo, B.; Li, M.; Liang, P.; Ge, W.W.; et al. Association of telomere length with authentic pluripotency of ES/iPS cells. Cell Res. 2011, 21, 779–792. [Google Scholar] [CrossRef]
- Lo Sardo, V.; Ferguson, W.; Erikson, G.A.; Topol, E.J.; Baldwin, K.K.; Torkamani, A. Influence of donor age on induced pluripotent stem cells. Nat. Biotechnol. 2017, 35, 69–74. [Google Scholar] [CrossRef]
- Israel, M.A.; Yuan, S.H.; Bardy, C.; Reyna, S.M.; Mu, Y.; Herrera, C.; Hefferan, M.P.; Van Gorp, S.; Nazor, K.L.; Boscolo, F.S.; et al. Probing sporadic and familial Alzheimer’s disease using induced pluripotent stem cells. Nature 2012, 482, 216–220. [Google Scholar] [CrossRef]
- Kondo, T.; Asai, M.; Tsukita, K.; Kutoku, Y.; Ohsawa, Y.; Sunada, Y.; Imamura, K.; Egawa, N.; Yahata, N.; Okita, K.; et al. Modeling Alzheimer’s Disease with iPSCs Reveals Stress Phenotypes Associated with Intracellular Aβ and Differential Drug Responsiveness. Cell Stem Cell 2013, 12, 487–496. [Google Scholar] [CrossRef]
- Ochalek, A.; Mihalik, B.; Avci, H.X.; Chandrasekaran, A.; Téglási, A.; Bock, I.; Giudice, M.L.; Táncos, Z.; Molnár, K.; László, L.; et al. Neurons derived from sporadic Alzheimer’s disease iPSCs reveal elevated TAU hyperphosphorylation, increased amyloid levels, and GSK3B activation. Alzheimer’s Res. Ther. 2017, 9, 90. [Google Scholar] [CrossRef] [PubMed]
- Verheijen, M.C.T.; Krauskopf, J.; Caiment, F.; Nazaruk, M.; Wen, Q.F.; Van Herwijnen, M.H.M.; Hauser, D.A.; Gajjar, M.; Verfaillie, C.; Vermeiren, Y.; et al. iPSC-derived cortical neurons to study sporadic Alzheimer disease: A transcriptome comparison with post-mortem brain samples. Toxicol. Lett. 2022, 356, 89–99. [Google Scholar] [CrossRef]
- Mertens, J.; Herdy, J.R.; Traxler, L.; Schafer, S.T.; Schlachetzki, J.C.M.; Böhnke, L.; Reid, D.A.; Lee, H.; Zangwill, D.; Fernandes, D.P.; et al. Age-dependent instability of mature neuronal fate in induced neurons from Alzheimer’s patients. Cell Stem Cell 2021, 28, 1533–1548.e6. [Google Scholar] [CrossRef]
- Herdy, J.R.; Traxler, L.; Agarwal, R.K.; Karbacher, L.; Schlachetzki, J.C.M.; Boehnke, L.; Zangwill, D.; Galasko, D.; Glass, C.K.; Mertens, J.; et al. Increased post-mitotic senescence in aged human neurons is a pathological feature of Alzheimer’s disease. Cell Stem Cell 2022, 29, 1637–1652.e6. [Google Scholar] [CrossRef]
- Sun, Z.; Kwon, J.-S.; Ren, Y.; Chen, S.; Walker, C.K.; Lu, X.; Cates, K.; Karahan, H.; Sviben, S.; Fitzpatrick, J.A.J.; et al. Modeling late-onset Alzheimer’s disease neuropathology via direct neuronal reprogramming. Science 2024, 385, adl2992. [Google Scholar] [CrossRef]
- Spiegel, J.; Adhikari, S.; Balasubramanian, S. The Structure and Function of DNA G-Quadruplexes. Trends Chem. 2020, 2, 123–136. [Google Scholar] [CrossRef]
- Lopes, J.; Piazza, A.; Bermejo, R.; Kriegsman, B.; Colosio, A.; Teulade-Fichou, M.-P.; Foiani, M.; Nicolas, A. G-quadruplex-induced instability during leading-strand replication: G-quadruplex-induced instability. EMBO J. 2011, 30, 4033–4046. [Google Scholar] [CrossRef]
- Brouha, B.; Schustak, J.; Badge, R.M.; Lutz-Prigge, S.; Farley, A.H.; Moran, J.V.; Kazazian, H.H. Hot L1s account for the bulk of retrotransposition in the human population. Proc. Natl. Acad. Sci. USA 2003, 100, 5280–5285. [Google Scholar] [CrossRef] [PubMed]
- Grandi, F.C.; Modi, H.; Kampman, L.; Corces, M.R. Chromatin accessibility profiling by ATAC-seq. Nat. Protoc. 2022, 17, 1518–1552. [Google Scholar] [CrossRef] [PubMed]
- Caldwell, A.B.; Liu, Q.; Schroth, G.P.; Galasko, D.R.; Yuan, S.H.; Wagner, S.L.; Subramaniam, S. Dedifferentiation and neuronal repression define familial Alzheimer’s disease. Sci. Adv. 2020, 6, eaba5933. [Google Scholar] [CrossRef]
- Miller, M.B.; Huang, A.Y.; Kim, J.; Zhou, Z.; Kirkham, S.L.; Maury, E.A.; Ziegenfuss, J.S.; Reed, H.C.; Neil, J.E.; Rento, L.; et al. Somatic genomic changes in single Alzheimer’s disease neurons. Nature 2022, 604, 714–722. [Google Scholar] [CrossRef]
- Milacic, M.; Beavers, D.; Conley, P.; Gong, C.; Gillespie, M.; Griss, J.; Haw, R.; Jassal, B.; Matthews, L.; May, B.; et al. The Reactome Pathway Knowledgebase 2024. Nucleic Acids Res. 2024, 52, D672–D678. [Google Scholar] [CrossRef]
- Simpson, D.J.; Olova, N.N.; Chandra, T. Cellular reprogramming and epigenetic rejuvenation. Clin. Epigenet 2021, 13, 170. [Google Scholar] [CrossRef]
- Vierbuchen, T.; Ostermeier, A.; Pang, Z.P.; Kokubu, Y.; Südhof, T.C.; Wernig, M. Direct conversion of fibroblasts to functional neurons by defined factors. Nature 2010, 463, 1035–1041. [Google Scholar] [CrossRef]
- Vierbuchen, T.; Wernig, M. Molecular Roadblocks for Cellular Reprogramming. Mol. Cell 2012, 47, 827–838. [Google Scholar] [CrossRef] [PubMed]
- Ladewig, J.; Mertens, J.; Kesavan, J.; Doerr, J.; Poppe, D.; Glaue, F.; Herms, S.; Wernet, P.; Kögler, G.; Müller, F.-J.; et al. Small molecules enable highly efficient neuronal conversion of human fibroblasts. Nat. Methods 2012, 9, 575–578. [Google Scholar] [CrossRef] [PubMed]
- Jacobs, J.J.L.; Kieboom, K.; Marino, S.; DePinho, R.A.; Van Lohuizen, M. The oncogene and Polycomb-group gene bmi-1 regulates cell proliferation and senescence through the ink4a locus. Nature 1999, 397, 164–168. [Google Scholar] [CrossRef] [PubMed]
- Rayess, H.; Wang, M.B.; Srivatsan, E.S. Cellular senescence and tumor suppressor gene p16. Int. J. Cancer 2012, 130, 1715–1725. [Google Scholar] [CrossRef]
- Lancaster, M.A.; Knoblich, J.A. Generation of cerebral organoids from human pluripotent stem cells. Nat. Protoc. 2014, 9, 2329–2340. [Google Scholar] [CrossRef]
- Lancaster, M.A.; Renner, M.; Martin, C.-A.; Wenzel, D.; Bicknell, L.S.; Hurles, M.E.; Homfray, T.; Penninger, J.M.; Jackson, A.P.; Knoblich, J.A. Cerebral organoids model human brain development and microcephaly. Nature 2013, 501, 373–379. [Google Scholar] [CrossRef] [PubMed]
- Li, C.; Fleck, J.S.; Martins-Costa, C.; Burkard, T.R.; Themann, J.; Stuempflen, M.; Peer, A.M.; Vertesy, Á.; Littleboy, J.B.; Esk, C.; et al. Single-cell brain organoid screening identifies developmental defects in autism. Nature 2023, 621, 373–380. [Google Scholar] [CrossRef] [PubMed]
- Vanova, T.; Sedmik, J.; Raska, J.; Amruz Cerna, K.; Taus, P.; Pospisilova, V.; Nezvedova, M.; Fedorova, V.; Kadakova, S.; Klimova, H.; et al. Cerebral organoids derived from patients with Alzheimer’s disease with PSEN1/2 mutations have defective tissue patterning and altered development. Cell Rep. 2023, 42, 113310. [Google Scholar] [CrossRef] [PubMed]




| Study | Model | Neuronal Markers | Extracellular Aβ | Ratio Aβ42/Aβ40 | p-Tau | Oxidative Stress | Gene Expression | Epigenome | Neuronal Phenotype | Reprogramming Method |
|---|---|---|---|---|---|---|---|---|---|---|
| Israel et al. (2012) [40] | iPSC-neurons | MAP2, βIII-tubulin | Higher level of Aβ in EOAD and 1 LOAD | na | Higher ratio of p-Tau/Total Tau in EOAD and 1 LOAD | na | na | na | Higher volume of early and large RAB5 + endosomes | Moloney Murine leukemia virus (MMLV) vector-OCT4, SOX2, KLF4, C-MYC |
| Kondo et al. (2013) [41] | iPSC-neurons | SATB2 TBR1 | Normal | na | na | Higher | na | na | na | Episomal vectors-OCT4, SOX2, KLF4, L-MYC + LIN28 + shP53 |
| Ochalek et al. (2017) [42] | iPSC-neurons | MAP2, βIII-tubulin | Higher | Normal | Higher | More susceptible to H2O2 | na | na | na | Sendai viral vectors-OCT4, SOX2, KLF4, C-MYC Or Episomal Vectors-OCT4, SOX2, KLF4, L-MYC + LIN28 + shP53 |
| Flamier et al. (2018) [32] | iPSC-neurons | MAP2, βIII-tubulin | Higher | na | Higher | na | na | na | Dendritic atrophy | Episomal Vectors-OCT4, SOX2, KLF4, L-MYC + LIN28 + shP53 |
| Hanna et al. (2021) [33] | iPSC-neurons | βIII-tubulin | na | na | na | na | RNA splicing anomalies | Chromatin relaxation & G4 structures | na | Episomal Vectors-OCT4, SOX2, KLF4, L-MYC + LIN28 + shP53 |
| Katbe et al. (2026) [34] | iPSC-neurons | MAP2, βIII-tubulin | na | na | na | na | Downregulation of neuronal genes | Loss of hetero-chromatin | Reduced MEF2C expression | Episomal Vectors-OCT4, SOX2, KLF4, L-MYC + LIN28 + shP53 |
| Verheijen et al. (2022) [43] | iPSC-neurons | na | Higher | na | na | Similarities with AD brains | na | na | Sendai viral vectors- OCT4, SOX2, KLF4, C-MYC | |
| Mertens et al. (2021) [44] | iN | βIII-tubulin, NeuN | na | Normal | na | Higher | Similarities with AD brains | De-differentiation | Dendritic atrophy | Lentivirus-Ngn2:2A: Ascl1 + small molecules |
| Herdy et al. (2022) [45] | iN | βIII-tubulin, NeuN | na | na | na | na | Senescence and oxidative stress | Senescence genes more accessible | na | Lentivirus—Ngn2:2A: Ascl1 + small molecules |
| Sun et al. (2024) [46] | iN | MAP2, TBR1 | Higher | na | Higher | na | Similarities with AD brains | na | Cell death/ Neurodegeneration | Lentivirus— miR-9/9*-124 + NEUROD2 and MYT1L |
Disclaimer/Publisher’s Note: The statements, opinions and data contained in all publications are solely those of the individual author(s) and contributor(s) and not of MDPI and/or the editor(s). MDPI and/or the editor(s) disclaim responsibility for any injury to people or property resulting from any ideas, methods, instructions or products referred to in the content. |
© 2026 by the authors. Licensee MDPI, Basel, Switzerland. This article is an open access article distributed under the terms and conditions of the Creative Commons Attribution (CC BY) license.
Share and Cite
Katbe, A.; Diagne, I.; Bernier, G. Modeling Late-Onset Sporadic Alzheimer’s Disease Using Patient-Derived Cells: A Review. Neurol. Int. 2026, 18, 17. https://doi.org/10.3390/neurolint18010017
Katbe A, Diagne I, Bernier G. Modeling Late-Onset Sporadic Alzheimer’s Disease Using Patient-Derived Cells: A Review. Neurology International. 2026; 18(1):17. https://doi.org/10.3390/neurolint18010017
Chicago/Turabian StyleKatbe, Alisar, Ismaïla Diagne, and Gilbert Bernier. 2026. "Modeling Late-Onset Sporadic Alzheimer’s Disease Using Patient-Derived Cells: A Review" Neurology International 18, no. 1: 17. https://doi.org/10.3390/neurolint18010017
APA StyleKatbe, A., Diagne, I., & Bernier, G. (2026). Modeling Late-Onset Sporadic Alzheimer’s Disease Using Patient-Derived Cells: A Review. Neurology International, 18(1), 17. https://doi.org/10.3390/neurolint18010017

