Design, Analysis, and Comparison of Electric Vehicle Drive Motor Rotors Using Injection-Molded Carbon-Fiber-Reinforced Plastics
Abstract
1. Introduction
2. Configuration and Specification
- (1)
- All three models share the same stator specifications, graded PMs, and iron materials.
- (2)
- The copper winding is carefully chosen to achieve a similar stator copper weight across the three models. Additionally, the fill factor remains constant, and flat winding is used for all three.
- (3)
- To compare the performances accurately, a 2D FEM analysis is conducted for all models. Considering different core saturations, the current angle at the maximum torque per ampere (MTPA) point is determined [23]. It is worth noting that models with hairpin windings require welding points, resulting in longer end-windings both axially and circumferentially. The phase resistance of each model is calculated using ANSYS RMxprt.
3. Open-Circuit Analysis of IPMSM
4. Load-Operation Analysis of IPMSM
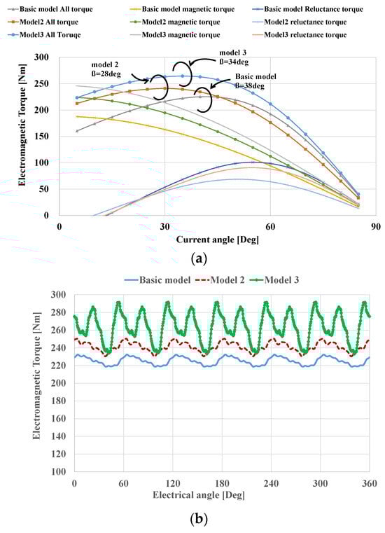
4.1. Comparison of Performance
4.2. Comparison of Costs
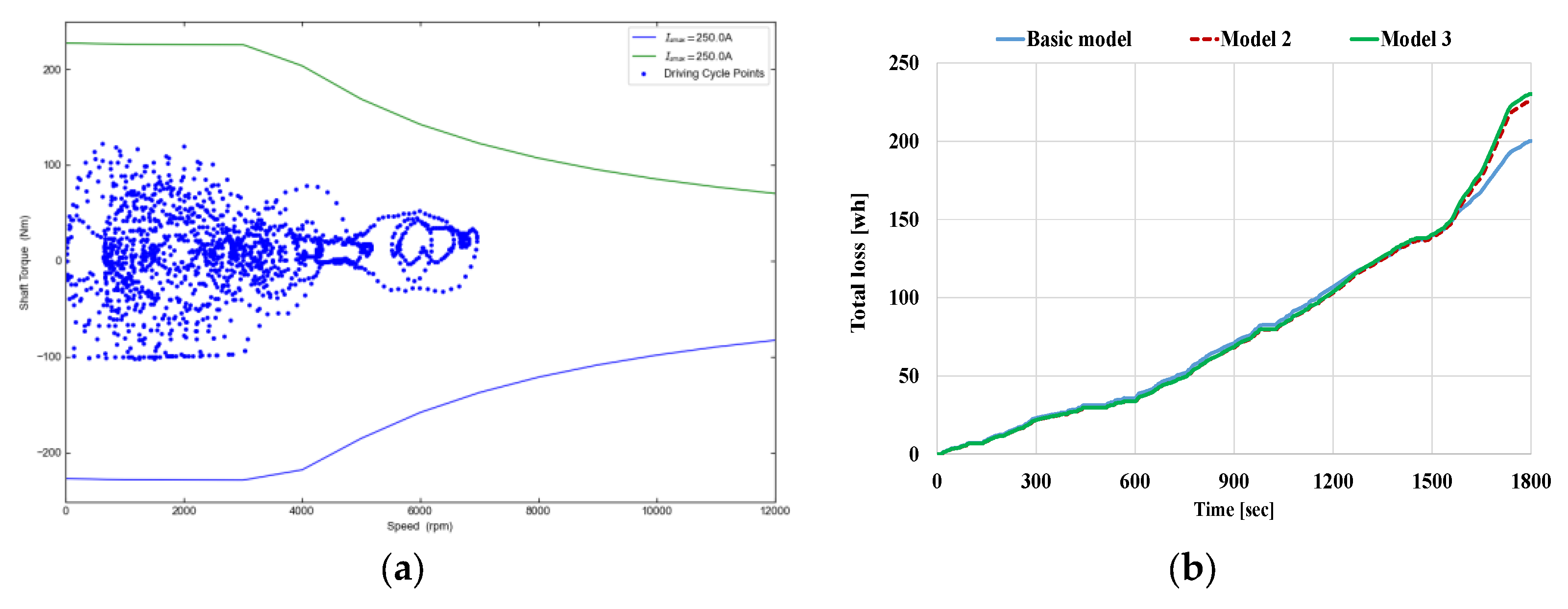
4.3. Comparison of the Efficiency Maps and WLTP Class 3 Driving Cycle
5. Stress Analysis of IPMSM
6. Conclusions
- Designing stators with complementary inclined grooves.
- Developing models for fabricating inclined grooves, considering factors like injection-molding strength, air bubbles, and non-connection during the process.
Author Contributions
Funding
Data Availability Statement
Conflicts of Interest
Appendix A
| Item | Unit | Value |
|---|---|---|
| Vehicle mass | kg | 1360 |
| Rolling resistance coefficient | - | 0.0054 |
| Frontal area | mm2 | 1.746 |
| Drag coefficient | - | 0.26 |
| Gear ratio | - | 6 |
| Wheel radius | m | 0.3 |
| Transmission efficiency | - | 0.97 |
| Max. vehicle speed | km/h | 180 |
References
- Kim, K.-O.; Jung, Y.-H.; Park, J.-C.; Lim, M.-S. Comparative Study of Mechanical and Electrical Characteristics of High-Strength and Conventional Electrical Steel for EV Traction High-Speed Multilayer IPMSM Using Rare-Earth Free PM. IEEE Trans. Magn. 2023, 59, 8102205. [Google Scholar] [CrossRef]
- Gerada, D.; Mebarki, A.; Brown, N.; Gerada, C.; Cavagnino, A.; Boglietti, A. High-speed electrical machines: Technologies, trends, and developments. IEEE Trans. Ind. Electron. 2014, 61, 2946–2959. [Google Scholar] [CrossRef]
- Lee, S.-H.; Song, S.-W.; Kim, D.-H.; Min, J.-Y.; Kim, W.-H. Performance comparison analysis and process suggestion through slot less SPMSM during high-speed operation. AIP Adv. 2023, 13, 025039. [Google Scholar] [CrossRef]
- Wang, L.; Du, G.; Tong, J.; Huang, N.; Hu, C.; Xu, W. Comparation of Different Rotor Sleeves of Highspeed Permanent Magnet Synchronous Motors Based on Multi-physics. In Proceedings of the 2021 IEEE 4th Student Conference on Electric Machines and Systems (SCEMS), Huzhou, China, 1–3 December 2021; pp. 1–5. [Google Scholar]
- Ciampolini; Fazzini; Berzi; Ferrara; Pugi, L. Simplified Approach for Developing Efficiency Maps of High-Speed PMSM Machines for Use in EAT Systems Starting from Single-Point Data. In Proceedings of the 2020 IEEE International Conference on Environment and Electrical Engineering and 2020 IEEE Industrial and Commercial Power Systems Europe, EEEIC, Madrid, Spain, 9–12 June 2020; pp. 1–6. [Google Scholar]
- Zhang, J.; Chen, W.; Huang, X.; Fang, Y.; Zhang, J.; Ma, J.; Cao, W. Evaluation of applying retaining shield rotor for high-speed interior permanent magnet machines. IEEE Trans. Magn. 2015, 51, 8100404. [Google Scholar]
- Du, G.-H.; Li, N.-M.; Zhou, Q.-X.; Gao, W.-T.; Wang, L.; Pu, T. Multi-Physics Comparison of Surface-Mounted and Interior Permanent Magnet Synchronous Motor for High-Speed Applications. Machines 2022, 10, 700. [Google Scholar] [CrossRef]
- Li, Y.; Wang, Y.-W.; Zhang, Z.-R.; Li, J.-C. Investigation and Development of the Brushless and Magnet less Wound Field Synchronous Motor Drive System for Electric Vehicle Application. World Electr. Veh. J. 2023, 14, 81. [Google Scholar] [CrossRef]
- Aiso, K.; Akatsu, K. Performance Comparison of High-Speed Motors for Electric Vehicle. World Electr. Veh. J. 2022, 13, 57. [Google Scholar] [CrossRef]
- Yang, Z.; Shang, F.; Brown, I.P.; Krishnamurthy, M. Comparative Study of Interior Permanent Magnet, Induction, and Switched Reluctance Motor Drives for EV and HEV Applications. IEEE Trans. Transp. Electrif. 2015, 1, 245–254. [Google Scholar] [CrossRef]
- Ahn, J.-H.; Han, C.; Kim, C.-W.; Choi, J.-Y. Rotor Design of High-Speed Permanent Magnet Synchronous Motors Considering Rotor Magnet and Sleeve Materials. IEEE Trans. Appl. Supercond. 2018, 28, 5201504. [Google Scholar] [CrossRef]
- Shen, J.-X.; Hao, H.; Jin, M.-J.; Yuan, C. Reduction of Rotor Eddy Current Loss in High Speed PM Brushless Machines by Grooving Retaining Sleeve. IEEE Trans. Magn. 2013, 49, 3973–3976. [Google Scholar] [CrossRef]
- Zhang, F.; Du, G.; Wang, T.; Liu, G.; Cao, W. Rotor retaining sleeve design for a 1.12-MW high-speed PM machine. IEEE Trans. Ind. Appl. 2015, 51, 3675–3685. [Google Scholar] [CrossRef]
- Zhou, F.Z.; Shen, J.X.; Fei, W.; Lin, R. Study of retaining sleeve and conductive shield and their influence on rotor loss in high-speed PM BLDC machines. IEEE Trans. Magn. 2006, 42, 3398–3400. [Google Scholar] [CrossRef]
- Han, T.; Wang, Y.; Shen, J.-X. Analysis and Experiment Method of Influence of Retaining Sleeve Structures and Materials on Rotor Eddy Current Loss in High-Speed PM Motors. IEEE Trans. Ind. Appl. 2020, 56, 4889–4895. [Google Scholar] [CrossRef]
- Olsen, L.E.; Nelson, D.; Laskaris, K.; GE, H.; Filip, E.; Vega, C.; Pellerey, P.; Papanikolaou, V. Permanent Magnet Motor with Wrapping. U.S. Patent Publication No. WO2021225902A1, 11 November 2021. [Google Scholar]
- KevinGrace; Galioto, S.; Bodla, K.; El-Refaie, A. Design and Testing of a Carbon Fiber Wrapped Synchronous Reluctance Traction Motor. IEEE Trans. Ind. Appl. 2018, 54, 4207–4217. [Google Scholar] [CrossRef]
- Zhang, F.; Du, G.; Wang, T.; Wang, F.; Cao, W.; Kirtley, J.L. Electromagnetic design and loss calculations of a 1.12-MW high-speed permanent-magnet machine for compressor applications. IEEE Trans. Energy Convers. 2016, 31, 132–140. [Google Scholar] [CrossRef]
- Kawabe, K.; Sasayama, H.; Tomoda, S. New Carbon Fiber Tow-Spread Technology and Applications to Advanced Composite Materials. Sampe J. 2009, 45, 6–17. [Google Scholar]
- Katagiri, K.; Sasaki, K.; Honda, S.; Nakashima, H.; Yamaguchi, S.; Ozaki, T.; Sonomura, H.; Kakitsuji, A. CFRP manufacturing method using electrodeposition resin molding for curvilinear fiber arrangements. Compos. Part A Appl. Sci. Manuf. 2017, 102, 108–116. [Google Scholar] [CrossRef]
- Mitsubishi Chemical Corporation Document. Available online: https://www.m-chemical.co.jp/carbon-fiber/en/about/molding/ (accessed on 19 February 2024).
- Hwang, M.-H.; Han, J.-H.; Kim, D.-H.; Cha, H.-R. Design and Analysis of Rotor Shapes for IPM Motors in EV Power Traction Platforms. Energies 2018, 11, 2601. [Google Scholar] [CrossRef]
- Liu, H.C.; Joo, K.J.; Oh, Y.J.; Lee, H.J.; Seol, H.S.; Jin, C.S.; Kim, W.H.; Lee, J. Optimal Design of an Ultra-Premium-Efficiency PMA-Synchronous Reluctance Motor with the Winding Method and Stator Parameters to Reduce Flux Leakage and Minimize Torque Pulsations. IEEE Trans. Magn. 2018, 54, 8207505. [Google Scholar] [CrossRef]
- Liu, H.-C.; Lee, H.-J.; Seol, H.-S.; Cho, S.-Y.; Lee, J.; Oh, Y.-J. Optimal Slot Design of IPMSM in Railway with Independently Rotating Wheelsets. IEEE Trans. Magn. 2019, 55, 8200404. [Google Scholar] [CrossRef]
- Hwang, S.-W.; Ryu, J.-Y.; Chin, J.-W.; Park, S.-H.; Kim, D.-K.; Lim, M.-S. Coupled Electromagnetic-Thermal Analysis for Predicting Traction Motor Characteristics according to Electric Vehicle Driving Cycle. IEEE Trans. Veh. Technol. 2021, 70, 4262–4272. [Google Scholar] [CrossRef]
- Mahmouditabar, F.; Baker, N.J. Design Optimization of Induction Motors with Different Stator Slot Rotor Bar Combinations Considering Drive Cycle. Energies 2024, 17, 154. [Google Scholar] [CrossRef]
- Muazzam, H.; Ishak, M.K.; Hanif, A.; Bhatti, A.I. Compensating Thermal Derated Torque of IPMSM Centric Electric Vehicles. IEEE Access 2022, 10, 22468–22480. [Google Scholar] [CrossRef]











| Item | Unit | Basic Model | Model 2 | Model 3 |
|---|---|---|---|---|
| Stator out dia. | mm | 180 | ||
| Turns per slot | - | 6 | ||
| Slot size (length/width) | mm | 14.5/3.8 | ||
| Coil size (length/width) | mm | 2.8/1.68 | ||
| Phase resistance at 20C | mΩ | 19.45 | ||
| Rotor out dia. | mm | 118.6 | ||
| Stack length | mm | 150 | ||
| Air-gap thickness | mm | 0.8 | ||
| PM size (length/width) | mm | 16.2/5 | ||
| PM grade | - | G45UH | ||
| Parallel branches | - | 2 | ||
| Steel lamination | - | 27PNX1300 | ||
| CFRP application | - | None | CFRP sleeve 0.5 mm | Molded CFRP |
| Item | Unit | Basic Model | Model 2 | Model 3 |
|---|---|---|---|---|
| Maximum speed | r/min | 12,000 | ||
| Phase current (Ia) | Arms | 250 | ||
| Open-Circuit Analysis @ 1000 r/min | ||||
| No-load B-EMF | Vrms | 45.8 | 54.7 | 60.5 |
| THD of-EMF | % | 3.94 | 4.16 | 12.52 |
| Cogging torque | Nm | 1.43 | 3.16 | 4.28 |
| Load-Operation Analysis @3000 r/min | ||||
| Current angle (β) | deg | 38 | 28 | 34 |
| Torque | Nm | 225.5 | 239.0 | 261.6 |
| Torque ripple | % | 6.9 | 9.8 | 28.3 |
| Efficiency | % | 93.4 | 93.8 | 94.2 |
| Item | Unit | Basic Model | Model 2 | Model 3 |
|---|---|---|---|---|
| WLTP low-range loss | Wh | 36.2 | 34.2 | 34.2 |
| WLTP medium-range loss | 39.4 | 39 | 39.3 | |
| WLTP high-range loss | 61.4 | 63.3 | 64.5 | |
| WLTP extra-high-range loss | 63.2 | 89.4 | 92.2 |
| Item | Unit | Electrical Steel (27PNX1300) | CFRP Sleeve (T300) | CFRP Injection (PPA-CF40) |
|---|---|---|---|---|
| Density | g/cm3 | 7.65 | 1.76 | 1.33 |
| Elastic modulus | GPa | 178 | 230 | 34.5 |
| Tensile strength | MPa | 547 | 3530 | 490 |
| Stress analysis at 20,000 r/min | Basic model | Model 2 | Model 3 | |
| Stress (Von-Mises) | MPa max | 193.1 | 1780.6 | 81.4 |
| Safety factor | - | 2.8 | 2.0 | 6.0 |
| Item | Unit | Value |
|---|---|---|
| Heat deflection Temp. | °C | 287 |
| Melting Temp. | °C | 300 |
| Thermal conductivity | W/(mk) | 0.45 |
Disclaimer/Publisher’s Note: The statements, opinions and data contained in all publications are solely those of the individual author(s) and contributor(s) and not of MDPI and/or the editor(s). MDPI and/or the editor(s) disclaim responsibility for any injury to people or property resulting from any ideas, methods, instructions or products referred to in the content. |
© 2024 by the authors. Licensee MDPI, Basel, Switzerland. This article is an open access article distributed under the terms and conditions of the Creative Commons Attribution (CC BY) license (https://creativecommons.org/licenses/by/4.0/).
Share and Cite
Liu, H.C.; Park, J.S.; An, I.H. Design, Analysis, and Comparison of Electric Vehicle Drive Motor Rotors Using Injection-Molded Carbon-Fiber-Reinforced Plastics. World Electr. Veh. J. 2024, 15, 283. https://doi.org/10.3390/wevj15070283
Liu HC, Park JS, An IH. Design, Analysis, and Comparison of Electric Vehicle Drive Motor Rotors Using Injection-Molded Carbon-Fiber-Reinforced Plastics. World Electric Vehicle Journal. 2024; 15(7):283. https://doi.org/10.3390/wevj15070283
Chicago/Turabian StyleLiu, Huai Cong, Jang Soo Park, and Il Hwan An. 2024. "Design, Analysis, and Comparison of Electric Vehicle Drive Motor Rotors Using Injection-Molded Carbon-Fiber-Reinforced Plastics" World Electric Vehicle Journal 15, no. 7: 283. https://doi.org/10.3390/wevj15070283
APA StyleLiu, H. C., Park, J. S., & An, I. H. (2024). Design, Analysis, and Comparison of Electric Vehicle Drive Motor Rotors Using Injection-Molded Carbon-Fiber-Reinforced Plastics. World Electric Vehicle Journal, 15(7), 283. https://doi.org/10.3390/wevj15070283
