Research on Performance of Interior Permanent Magnet Synchronous Motor with Fractional Slot Concentrated Winding for Electric Vehicles Applications
Abstract
1. Introduction
2. Inductance Analysis of Fractional-Slot, Concentrated-Winding, Interior Permanent Magnet Synchronous Motor
2.1. Inductance and Mutual Inductance of Direct Cross Axis
2.2. Inductance Coefficient of Motor
3. Finite Element Analysis of Interior Permanent Magnet Synchronous Motor with Fractional-Slot Concentrated-Winding
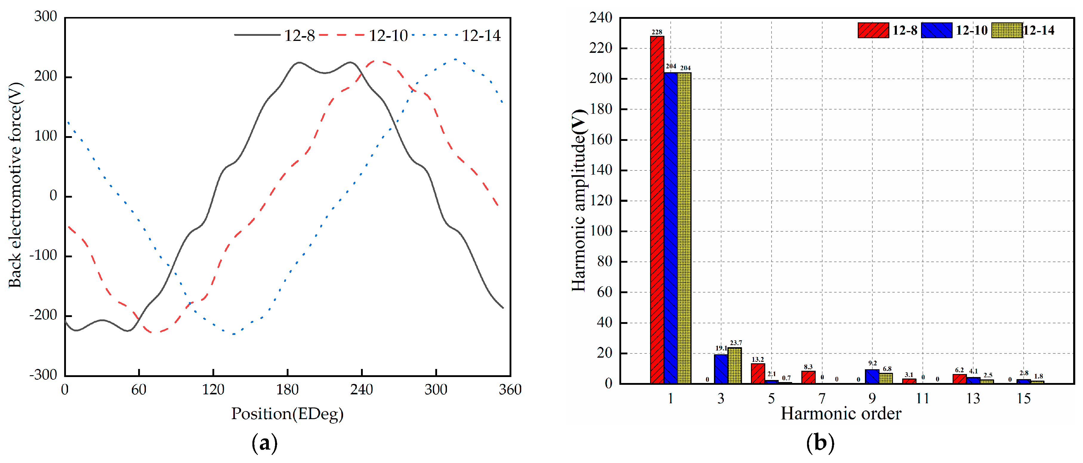
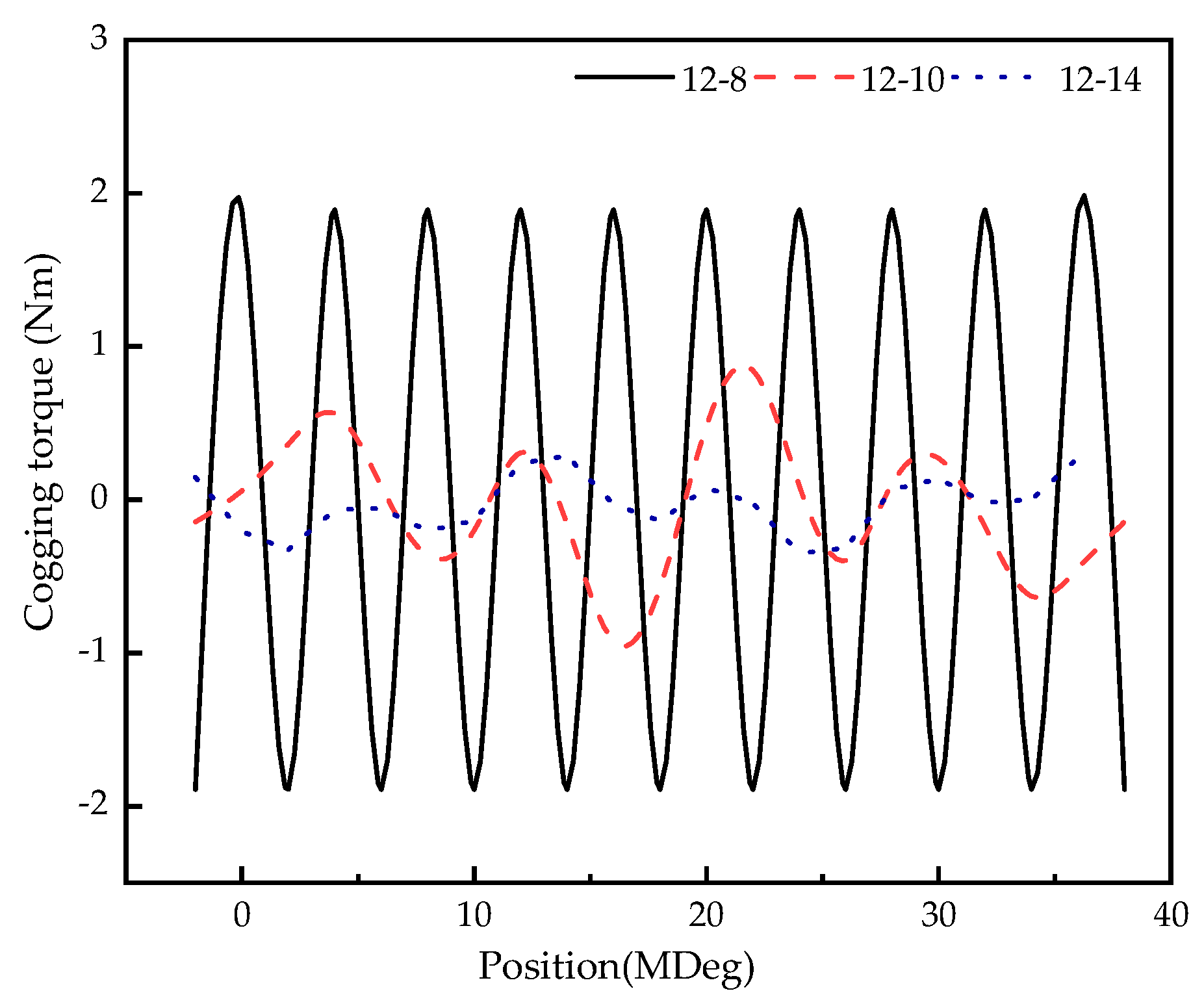
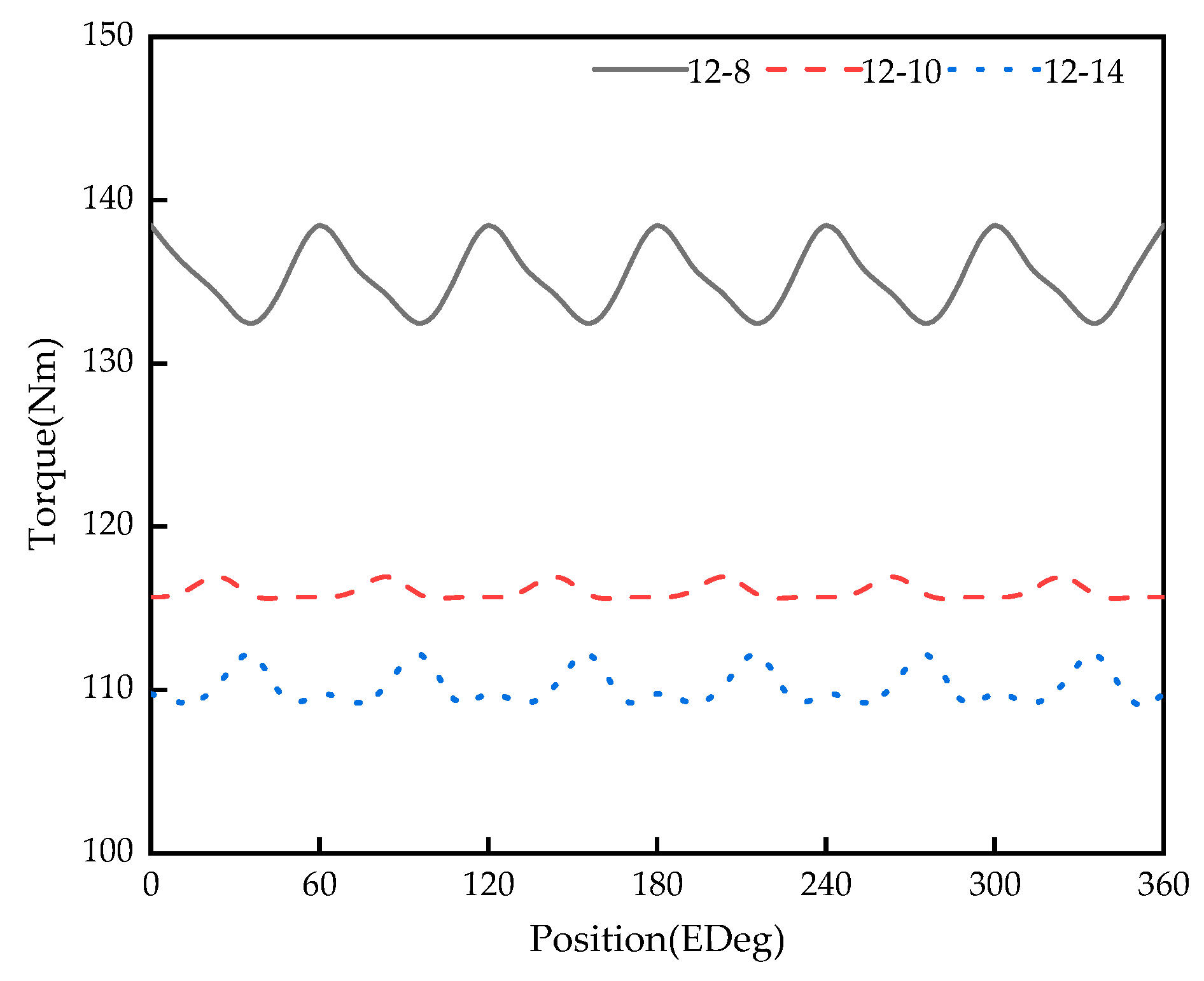
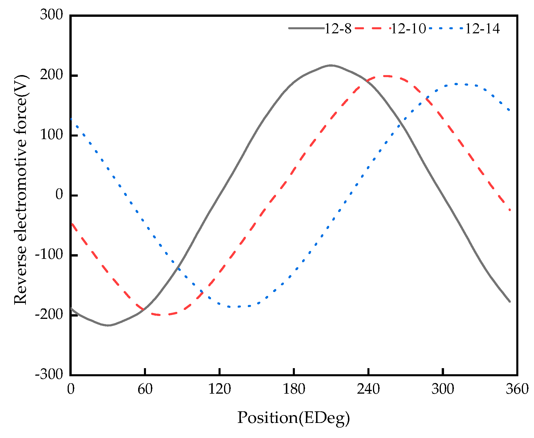
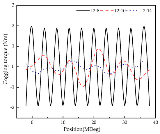
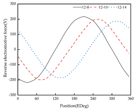
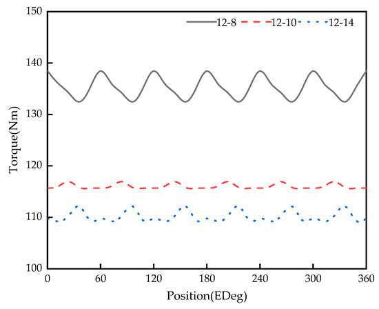
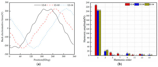
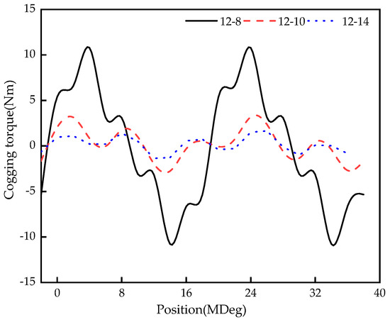
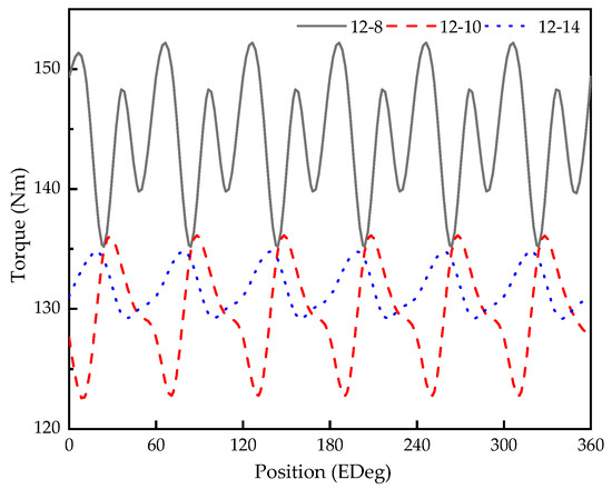
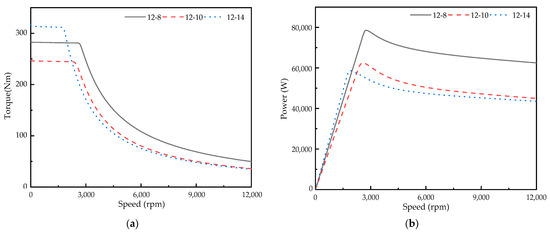
3.1. Motor Output Characteristics
3.2. Output Characteristics of Motors with Skewed Poles under Rated Operating Conditions
4. Optimization Analysis of Motor Structural Parameters
4.1. Motor Slot Opening Width
4.2. Angle between the Permanent Magnet of the Motor
4.3. Motor External Characteristics
5. Conclusions
Author Contributions
Funding
Data Availability Statement
Conflicts of Interest
References
- Muhammad, N.; Khan, F.; Ullah, B.; Alghamdi, B. Performance analysis and design optimization of asymmetric interior permanent magnet synchronous machine for electric vehicles applications. IET Electr. Power Appl. 2024, 18, 425–435. [Google Scholar] [CrossRef]
- Xie, F.; Wang, H.; Ni, S.; An, C. Efficiency optimization control of permanent magnet synchronous motors for pure electric vehicles based on GBDT. J. Power Electron. 2024, 24, 215–226. [Google Scholar] [CrossRef]
- Bharath Kumar, K.; Praveen Kumar, K.V. Simple predictive torque control of an open-end winding interior permanent magnet synchronous motor drive without weighting factor for electric vehicle applications. Int. J. Circuit Theory Appl. 2024, 52, 280–301. [Google Scholar] [CrossRef]
- Park, J.W.; Koo, M.M.; Seo, H.U.; Lim, D.K. Optimizing the Design of an Interior Permanent Magnet Synchronous Motor for Electric Vehicles with a Hybrid ABC-SVM Algorithm. Energies 2023, 16, 5087. [Google Scholar] [CrossRef]
- Jonas, H.; Nikita, N.; Lutz, E. Production cost modeling for permanent magnet synchronous machines for electric vehicles. Automot. Engine Technol. 2023, 8, 109–126. [Google Scholar]
- Niu, L.; Zhang, M. The optimal design and research of interior permanent magnet synchronous motors for electric vehicle applications. J. Eng. 2023, 4, e12285. [Google Scholar] [CrossRef]
- Chen, Q.; Xu, Z.; Hu, Y.; Ding, J.; Xie, Y. Research on Torque Ripple Optimization of Permanent Magnet Synchronous Motor for Electric Vehicle Based on Modular Poles. IEEJ Trans. Electr. Electron. Eng. 2023, 18, 613–622. [Google Scholar] [CrossRef]
- Huang, Q.; Huang, Q.; Guo, H.; Cao, J. Design and research of permanent magnet synchronous motor controller for electric vehicle. Energy Sci. Eng. 2022, 11, 112–126. [Google Scholar] [CrossRef]
- Niu, L.; Zhang, M. Rotor topology optimization and electromagnetic performance analysis of interior permanent magnet synchronous motors for electric vehicle applications. J. Eng. 2023, 2, e212240. [Google Scholar] [CrossRef]
- Popov, I.L.; Toporkov, D.M. Optimization of Hydrogenerator Rotor Geometry with a fractional slot concentrated winding for the TPPs and Small HPPs. Russ. Electr. Eng. 2023, 93, 676–680. [Google Scholar] [CrossRef]
- Yang, Z.; Shang, F.; Brown, I.P.; Krishnamurthy, M. Comparative Study of Interior Permanent Magnet, Induction, and Switched Reluctance Motor Drives for EV and HEV Applications. IEEE Trans. Transp. Electrif. 2015, 1, 245–254. [Google Scholar] [CrossRef]
- Wang, J.; Yuan, X.; Atallah, K. Design optimization of a surface-mounted permanent-magnet motor with concentrated windings for electric vehicle applications. IEEE Trans. Veh. Technol. 2013, 62, 1053–1064. [Google Scholar] [CrossRef]
- Reddy, P.B.; El-Refaie, A.M.; Huh, K.K.; Tangudu, J.K.; Jahns, T.M. Comparison of Interior and Surface PM Machines Equipped With Fractional Slot Concentrated Windings for Hybrid Traction Applications. IEEE Trans. Energy Convers. 2012, 27, 593–602. [Google Scholar] [CrossRef]
- Carraro, E.; Bianchi, N. Design and comparison of interior permanent magnet synchronous motors with non-uniform airgap and conventional rotor for electric vehicle applications. IET Electr. Power Appl. 2014, 8, 240–249. [Google Scholar] [CrossRef]
- Wolnik, T.; Styskala, V.; Mlcak, T. Study on the selection of the number of magnetic poles and the slot-pole combinations in fractional slot PMSM motor with a high power density. Energies 2021, 15, 215. [Google Scholar] [CrossRef]
- Peng, B.; Wang, X.; Zhao, W.; Ren, J. Study on shaft voltage in fractional slot permanent magnet machine with different pole and slot number combinations. IEEE Trans. Magn. 2019, 55, 8102305. [Google Scholar] [CrossRef]
- Dutta, R.; Pouramin, A.; Rahman, M.F. A novel rotor topology for high-performance fractional slot concentrated winding interior permanent magnet machine. IEEE Trans. Energy Convers. 2020, 36, 658–670. [Google Scholar] [CrossRef]
- Carraro, E.; Bianchi, N.; Zhang, S.; Koch, M. Design and performance comparison of fractional slot concentrated winding spoke type synchronous motors with different slot-pole combinations. IEEE Trans. Ind. Appl. 2018, 54, 2276–2284. [Google Scholar] [CrossRef]
- Xu, H.; Huang, J.; Xu, X.; Zheng, J. Design and analysis of the interior permanent-magnet machine considering slot-pole combination and rotor topology. J. Magn. 2023, 28, 258–267. [Google Scholar] [CrossRef]
- Zhao, W.; Lipo, T.A.; Kwon, B.I. Torque pulsation minimization in spoke-type interior permanent magnet motors with skewing and sinusoidal permanent magnet configurations. IEEE Trans. Magn. 2015, 51, 8110804. [Google Scholar] [CrossRef]
- Shi, Z.; Sun, X.; Cai, Y.; Yang, Z.; Lei, G.; Guo, Y.; Zhu, J. Torque analysis and dynamic performance improvement of a PMSM for EVs by skew angle optimization. IEEE Trans. Appl. Supercond. 2019, 29, 0600305. [Google Scholar] [CrossRef]
- Wu, D.; Zhu, Z.Q. Design tradeoff between cogging torque and torque ripple in fractional-slot surface-mounted permanent magnet machines. IEEE Trans. Magn. 2015, 51, 8108704. [Google Scholar] [CrossRef]
- Kim, K.C.; Jeon, S.H. Analysis on correlation between cogging torque and torque ripple by considering magnetic saturation. IEEE Trans. Magn. 2013, 49, 2417–2420. [Google Scholar] [CrossRef]
- Chu, W.Q.; Zhu, Z.Q. Investigation of torque ripples in permanent magnet synchronous machines with skewing. IEEE Trans. Magn. 2013, 49, 1211–1220. [Google Scholar] [CrossRef]
- Chu, W.Q.; Zhu, Z.Q. Reduction of on-load torque ripples in permanent magnet synchronous machines by improved skewing. IEEE Trans. Magn. 2013, 49, 3822–3825. [Google Scholar] [CrossRef]
- Xuan, H.V.; Lahaye, D.; Polinder, H.; Ferreira, J.A. Influence of stator slotting on the performance of permanent-magnet machines with concentrated windings. IEEE Trans. Magn. 2013, 49, 929–938. [Google Scholar] [CrossRef]
- Petrov, I.; Ponomarev, P.; Alexandrova, Y.; Pyrhönen, J. Unequal teeth widths for torque ripple reduction in permanent magnet synchronous machines with fractional-slot non-overlapping windings. IEEE Trans. Magn. 2015, 51, 8100309. [Google Scholar] [CrossRef]
- Dajaku, G.; Gerling, D. New methods for reducing the cogging torque and torque ripples of PMSM. In Proceedings of the 2014 4th International Electric Drives Production Conference (EDPC), Nuremberg, Germany, 30 September–1 October 2014; pp. 1–7. [Google Scholar]
- Dajaku, G.; Xie, W.; Gerling, D. Reduction of low space harmonics for the fractional-slot concentrated windings using a novel stator design. IEEE Trans. Magn. 2014, 50, 8201012. [Google Scholar] [CrossRef]
- Li, Z.; Chen, J.H.; Zhang, C.; Liu, L.; Wang, X. Cogging torque reduction in external-rotor permanent magnet torque motor based on different shape of magnet. In Proceedings of the 2017 IEEE International Conference on Cybernetics and Intelligent Systems (CIS) and IEEE Conference on Robotics, Automation and Mechatronics (RAM), Ningbo, China, 19–21 November 2017; pp. 304–309. [Google Scholar]
- Wang, D.; Wang, X.; Jung, S.Y. Cogging torque minimization and torque ripple suppression in surface-mounted permanent magnet synchronous machines using different magnet widths. IEEE Trans. Magn. 2013, 49, 2295–2298. [Google Scholar] [CrossRef]
- Min, S.G.; Sarlioglu, B. Analysis and comparative study of flux weakening capability in fractional-slot concentrated windings. IEEE Trans. Energy Convers. 2017, 33, 1025–1035. [Google Scholar] [CrossRef]
- Kong, Y.; Lin, M.; Jia, L. A novel high power density permanent-magnet synchronous machine with wide speed range. IEEE Trans. Magn. 2020, 56, 7505206. [Google Scholar] [CrossRef]
- Li, J.L.; Xu, Y.X.; Zou, J.B.; Wang, B.C.; Wang, Q.; Liang, W.Y. Analysis and design of SPM machines with fractional-slot concentrated windings for a given constant power region. IEEE Trans. Magn. 2015, 51, 3401804. [Google Scholar]




















| Parameter | 8/12 | 10/12 | 14/12 |
|---|---|---|---|
| Torque (Nm) | 144 | 129 | 131 |
| Torque ripple (%) | 10 | 9 | 3 |
| Cogging torque (Nm) | 10.2 | 3.2 | 1.6 |
| Electromagnetic Power (kW) | 45 | 40.5 | 41.2 |
| Efficiency (%) | 96.4 | 95.9 | 95.3 |
| Power factor (%) | 84.2 | 77.4 | 75.6 |
| Copper loss (W) | 994 | 1007 | 1096 |
| Stator iron loss (W) | 444 | 493 | 664 |
| Rotor iron loss (W) | 138 | 128 | 153 |
| PM loss (W) | 80 | 78 | 89 |
| Parameter | 8/12 | 10/12 | 14/12 |
|---|---|---|---|
| Torque (Nm) | 135 | 116 | 110 |
| Torque ripple (%) | 4.5 | 1.2 | 2.5 |
| Cogging torque (Nm) | 1.9 | 0.93 | 0.28 |
| Electromagnetic power (kW) | 42.1 | 36.2 | 34.5 |
| Efficiency (%) | 96.3 | 95.5 | 94.4 |
| Power factor (%) | 83.4 | 74.4 | 68.3 |
| Copper loss (W) | 994 | 1007 | 1096 |
| Stator iron loss (W) | 425 | 481 | 664 |
| Rotor iron loss (W) | 133 | 133 | 167 |
| PM loss (W) | 78 | 73.8 | 85.7 |
Disclaimer/Publisher’s Note: The statements, opinions and data contained in all publications are solely those of the individual author(s) and contributor(s) and not of MDPI and/or the editor(s). MDPI and/or the editor(s) disclaim responsibility for any injury to people or property resulting from any ideas, methods, instructions or products referred to in the content. |
© 2024 by the authors. Published by MDPI on behalf of the World Electric Vehicle Association. Licensee MDPI, Basel, Switzerland. This article is an open access article distributed under the terms and conditions of the Creative Commons Attribution (CC BY) license (https://creativecommons.org/licenses/by/4.0/).
Share and Cite
Xi, Z.; Niu, L.; Yan, X.; Xu, L. Research on Performance of Interior Permanent Magnet Synchronous Motor with Fractional Slot Concentrated Winding for Electric Vehicles Applications. World Electr. Veh. J. 2024, 15, 470. https://doi.org/10.3390/wevj15100470
Xi Z, Niu L, Yan X, Xu L. Research on Performance of Interior Permanent Magnet Synchronous Motor with Fractional Slot Concentrated Winding for Electric Vehicles Applications. World Electric Vehicle Journal. 2024; 15(10):470. https://doi.org/10.3390/wevj15100470
Chicago/Turabian StyleXi, Zhiqiang, Lianbo Niu, Xianghai Yan, and Liyou Xu. 2024. "Research on Performance of Interior Permanent Magnet Synchronous Motor with Fractional Slot Concentrated Winding for Electric Vehicles Applications" World Electric Vehicle Journal 15, no. 10: 470. https://doi.org/10.3390/wevj15100470
APA StyleXi, Z., Niu, L., Yan, X., & Xu, L. (2024). Research on Performance of Interior Permanent Magnet Synchronous Motor with Fractional Slot Concentrated Winding for Electric Vehicles Applications. World Electric Vehicle Journal, 15(10), 470. https://doi.org/10.3390/wevj15100470

