Simulation and Experimental Study on Heat Transfer Performance of Bionic Structure-Based Battery Liquid Cooling Plate
Abstract
1. Introduction
2. Battery Heat Generation Experiment and Simulation
2.1. Internal Resistance Test of Battery Cell
2.2. Battery Heat Production Rate Model
2.3. Temperature Entropy Coefficient Fitting
2.4. Experimental Error Analysis
2.5. Battery Heat Generation Simulation
3. New Bionic Power Battery Liquid Cooling System Model
3.1. Design and Modeling of Liquid Cooling Plate
3.2. Physical Property Parameters
3.3. Model Governing Equation
- (1)
- The density of the liquid cooling plate is uniform, and the heat transfer direction is the same.
- (2)
- The liquid is incompressible and flows stably [17].
- (3)
- The coolant in the flow channel has a uniform flow path, and the physical properties of aluminum and 50% ethylene glycol are temperature-independent [18].
3.4. Boundary Conditions and Parameter Settings
3.5. Calculation Domain Meshing and Grid Independence Verification
4. Simulation Results and Analysis
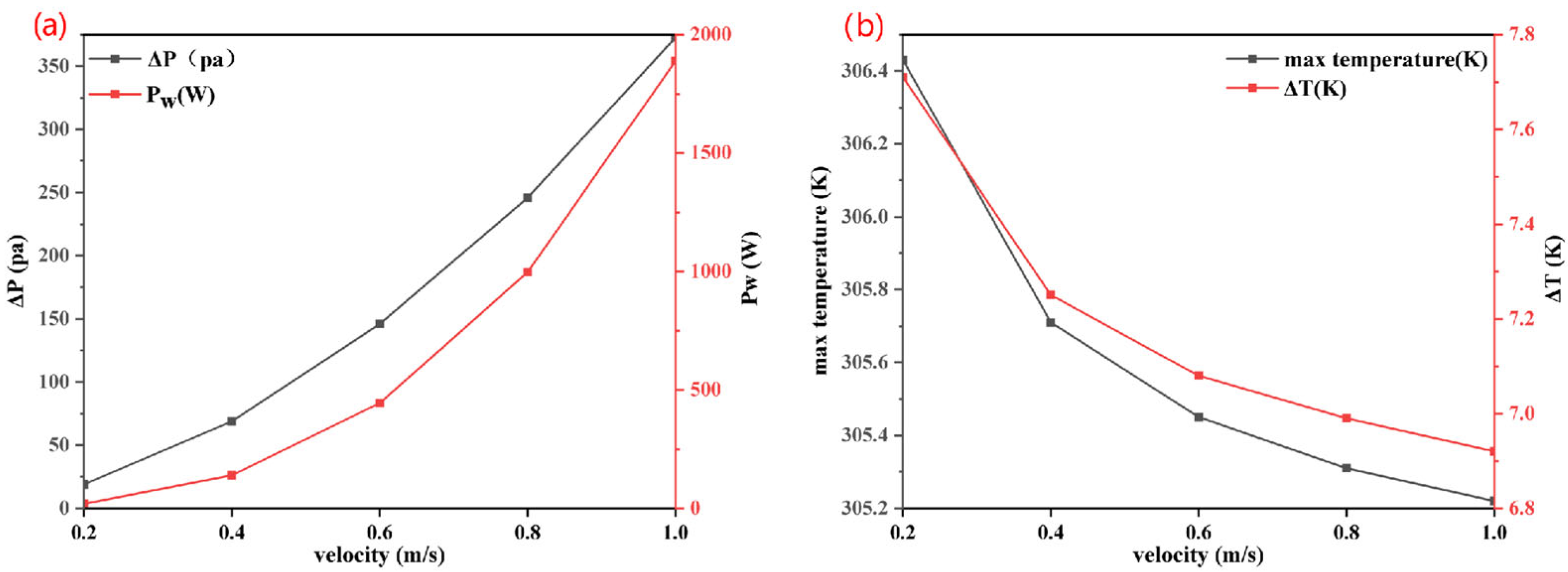
4.1. Influence of Liquid Flow Rate
4.2. Influence of Contact Arc Radius between Flow Channels
5. Conclusions
- The maximum surface temperature of the battery modules decreases with increasing flow velocity, particularly pronounced from 0.2 m/s to 0.6 m/s, where it drops from 306.43 K to 305.45 K. The inlet and outlet pressure difference also slightly elevates, from 30.37 Pa to 68.72 Pa. Beyond a flow velocity of 0.6 m/s, the temperature reduction is less pronounced, and the pressure difference significantly increases from 146.08 Pa to 372.59 Pa, leading to greater energy loss. Hence, a flow rate of 0.6 m/s is deemed optimal.
- Enlarging the contact arc radius between flow channels at liquid flow rates ranging from 0.2 m/s to 1 m/s, with values of 0.8, 1.5, and 2.5, results in a significant reduction in the system’s maximum surface temperature. Notably, when the contact arc radius is 0.8, the temperature drops from 306.43 K to 305.22 K. Further increments to 1.5 and 2.5 yield even more substantial decreases, enhancing the heat transfer performance of the system and increasing the pressure difference across the system, indicating that optimizing the contact arc radius is instrumental in achieving superior thermal management. The study conclusion underscores the potential of biomimetic design in enhancing the thermal management of lithium-ion batteries, offering a promising direction for future research and development in the field.
Author Contributions
Funding
Data Availability Statement
Conflicts of Interest
References
- Wu, W.; Wang, S.; Wu, W.; Chen, K.; Hong, S.; Lai, Y. A critical review of battery thermal performance and liquid based battery thermal management. Energy Convers. Manag. 2019, 182, 262–281. [Google Scholar] [CrossRef]
- Widyantara, R.D.; Naufal, M.A.; Sambegoro, P.L.; Nurprasetio, I.P.; Triawan, F.; Djamari, D.W.; Nandiyanto, A.B.D.; Budiman, B.A.; Aziz, M. Low-cost air-cooling system optimization on battery pack of electric vehicle. Energies 2021, 14, 7954. [Google Scholar] [CrossRef]
- Saechan, P.; Dhuchakallaya, I. Numerical investigation of air cooling system for a densely packed battery to enhance the cooling performance through cell arrangement strategy. Int. J. Energy Res. 2022, 46, 20670–20684. [Google Scholar] [CrossRef]
- Zhao, G.; Wang, X.; Negnevitsky, M.; Li, C. An up-to-date review on the design improvement and optimization of the liquid-cooling battery thermal management system for electric vehicles. Appl. Therm. Eng. 2023, 219, 119626. [Google Scholar] [CrossRef]
- Zhang, F.; Huang, Z.; Li, S.; Sun, S.; Zhao, H. Design and thermal performance analysis of a new micro-fin liquid cooling plate based on liquid cooling channel finning and bionic limulus-like fins. Appl. Therm. Eng. 2024, 237, 121597. [Google Scholar] [CrossRef]
- Rao, Z.; Qian, Z.; Kuang, Y.; Li, Y. Thermal performance of liquid cooling based thermal management system for cylindrical lithium-ion battery module with variable contact surface. Appl. Therm. Eng. 2017, 123, 1514–1522. [Google Scholar] [CrossRef]
- Luo, J.; Zou, D.; Wang, Y.; Wang, S.; Huang, L. Battery thermal management systems (BTMs) based on phase change material (PCM): A comprehensive review. Chem. Eng. J. 2022, 430, 132741. [Google Scholar] [CrossRef]
- Bernardi, D.; Pawlikowski, E.; Newman, J. A general energy balance for battery systems. J. Electrochem. Soc. 1985, 132, 5. [Google Scholar] [CrossRef]
- He, P.; Lu, H.; Fan, Y.; Ruan, H.; Wang, C.; Zhu, Y. Numerical investigation on a lithium-ion battery thermal management system utilizing a double-layered I-shaped channel liquid cooling plate exchanger. Int. J. Therm. Sci. 2023, 187, 108200. [Google Scholar] [CrossRef]
- Deng, T.; Ran, Y.; Yin, Y.; Chen, X.; Liu, P. Multi-objective optimization design of double-layered reverting cooling plate for lithium-ion batteries. Int. J. Heat Mass Transf. 2019, 143, 118580. [Google Scholar] [CrossRef]
- Fan, Y.; Wang, Z.; Fu, T. Multi-objective optimization design of lithium-ion battery liquid cooling plate with double-layered dendritic channels. Appl. Therm. Eng. 2021, 199, 117541. [Google Scholar] [CrossRef]
- Liu, X.; Sun, A.; Chuan, T. Research on liquid cooling and heat dissipation of lithium-ion battery pack based on bionic wings vein channel cold plate. Energy Storage Sci. Technol. 2022, 11, 2266. [Google Scholar] [CrossRef]
- Zhan, S.; Liang, L.; Li, Z.; Yu, C.; Wang, F. Topology optimization of liquid cooling plate for lithium battery heat dissipation based on a bionic leaf-vein structure. Int. J. Heat Mass Transf. 2024, 231, 125898. [Google Scholar] [CrossRef]
- Zhan, S.; Que, Y.; Yin, Y.; Li, Z.; Yu, C. A novel tree-like bionic structure for liquid-cooled lithium-ion battery plates. Int. J. Therm. Sci. 2024, 203, 109098. [Google Scholar] [CrossRef]
- Li, B.; Mao, Z.; Song, B.; Lu, C.; Tian, W.; Zhang, B. Study on battery thermal management of autonomous underwater vehicle by bionic wave channels with liquid cooling. Int. J. Energy Res. 2021, 45, 13269–13283. [Google Scholar] [CrossRef]
- Tondeur, D.; Luo, L. Design and scaling laws of ramified fluid distributors by the constructal approach. Chem. Eng. Sci. 2004, 59, 1799–1813. [Google Scholar] [CrossRef]
- Chen, S.; Peng, X.; Bao, N.; Garg, A. A comprehensive analysis and optimization process for an integrated liquid cooling plate for a prismatic lithium-ion battery module. Appl. Therm. Eng. 2019, 156, 324–339. [Google Scholar] [CrossRef]
- Sheng, L.; Su, L.; Zhang, H.; Li, K.; Fang, Y.; Ye, W.; Fang, Y. Numerical investigation on a lithium ion battery thermal management utilizing a serpentine-channel liquid cooling plate exchanger. Int. J. Heat Mass Transf. 2019, 141, 658–668. [Google Scholar] [CrossRef]
- Wang, C.; Zhang, G.; Meng, L.; Li, X.; Situ, W.; Lv, Y.; Rao, M. Liquid cooling based on thermal silica plate for battery thermal management system. Int. J. Energy Res. 2017, 41, 2468–2479. [Google Scholar] [CrossRef]
- Mandelbrot, B. How Long Is the Coast of Britain? Statistical Self-Similarity and Fractional Dimension. Science 1967, 156, 636–638. [Google Scholar] [CrossRef] [PubMed]











| SOC | 0.5C Discharge Resistance (mΩ) | 1C Discharge Resistance (mΩ) | 2C Discharge Resistance (mΩ) | 3C Discharge Resistance (mΩ) |
|---|---|---|---|---|
| 1 | 1.104 | 1.128 | 1.135 | 1.103 |
| 0.9 | 1.097 | 1.128 | 1.119 | 1.108 |
| 0.8 | 1.083 | 1.106 | 1.080 | 1.098 |
| 0.7 | 1.100 | 1.102 | 1.100 | 1.095 |
| 0.6 | 1.079 | 1.079 | 1.077 | 1.086 |
| 0.5 | 1.032 | 1.048 | 1.062 | 1.070 |
| 0.4 | 1.052 | 1.058 | 1.064 | 1.077 |
| 0.3 | 1.068 | 1.071 | 1.080 | 1.100 |
| 0.2 | 1.103 | 1.112 | 1.126 | 1.165 |
| 0.1 | 1.201 | 1.224 | 1.292 | 1.467 |
| 0 | 1.694 | 2.298 | 1.882 | 2.062 |
| Parameter | Uncertainty |
|---|---|
| Temperature (T-type thermocouple) | ±0.2 |
| Voltage (V) | ±0.4 |
| Current (A) | ±0.2 |
| Internal resistance (mΩ) | 0.1% |
| Project | Density/(kg/m3) | Specific Heat Capacity/[J/(kg·K)] | Thermal Conductivity/[W/(m·K)] |
|---|---|---|---|
| Coolant | 1071 | 3300 | 0.384 |
| Battery | 2355 | 1070 | Height direction 17.2 |
| Width direction 5.3 | |||
| Length direction 23.4 |
Disclaimer/Publisher’s Note: The statements, opinions and data contained in all publications are solely those of the individual author(s) and contributor(s) and not of MDPI and/or the editor(s). MDPI and/or the editor(s) disclaim responsibility for any injury to people or property resulting from any ideas, methods, instructions or products referred to in the content. |
© 2024 by the authors. Published by MDPI on behalf of the World Electric Vehicle Association. Licensee MDPI, Basel, Switzerland. This article is an open access article distributed under the terms and conditions of the Creative Commons Attribution (CC BY) license (https://creativecommons.org/licenses/by/4.0/).
Share and Cite
Wang, Z.; Liu, D.; Li, Z.; Qi, X.; Wan, C. Simulation and Experimental Study on Heat Transfer Performance of Bionic Structure-Based Battery Liquid Cooling Plate. World Electr. Veh. J. 2024, 15, 464. https://doi.org/10.3390/wevj15100464
Wang Z, Liu D, Li Z, Qi X, Wan C. Simulation and Experimental Study on Heat Transfer Performance of Bionic Structure-Based Battery Liquid Cooling Plate. World Electric Vehicle Journal. 2024; 15(10):464. https://doi.org/10.3390/wevj15100464
Chicago/Turabian StyleWang, Zhizhong, Dinghong Liu, Zhaoyang Li, Xin Qi, and Chaoyi Wan. 2024. "Simulation and Experimental Study on Heat Transfer Performance of Bionic Structure-Based Battery Liquid Cooling Plate" World Electric Vehicle Journal 15, no. 10: 464. https://doi.org/10.3390/wevj15100464
APA StyleWang, Z., Liu, D., Li, Z., Qi, X., & Wan, C. (2024). Simulation and Experimental Study on Heat Transfer Performance of Bionic Structure-Based Battery Liquid Cooling Plate. World Electric Vehicle Journal, 15(10), 464. https://doi.org/10.3390/wevj15100464

