The Impact of Hybrid Energy Storage System on the Battery Cycle Life of Replaceable Battery Electric Vehicle
Abstract
:1. Introduction
2. Vehicle Parameters and Models
3. Driving Cycle Life Model of LiFePO4 Battery
3.1. Cycle Life Model of Constant Current Charge and Discharge for LiFePO4 Battery
3.2. Cycle Life Model of LiFePO4 Battery under Driving Conditions
3.2.1. Equivalent Cumulative Ampere Hours Released at Different Discharge Rates under Equal Lifespan Conditions
3.2.2. Battery Driving Cycle Life Model
4. Hybrid Energy Storage System Model
4.1. Parameters and Model of LiFePO4 Battery
4.2. Parameters and Model of Ultracapacitor
4.3. Topological Structure of Hybrid Energy Storage System
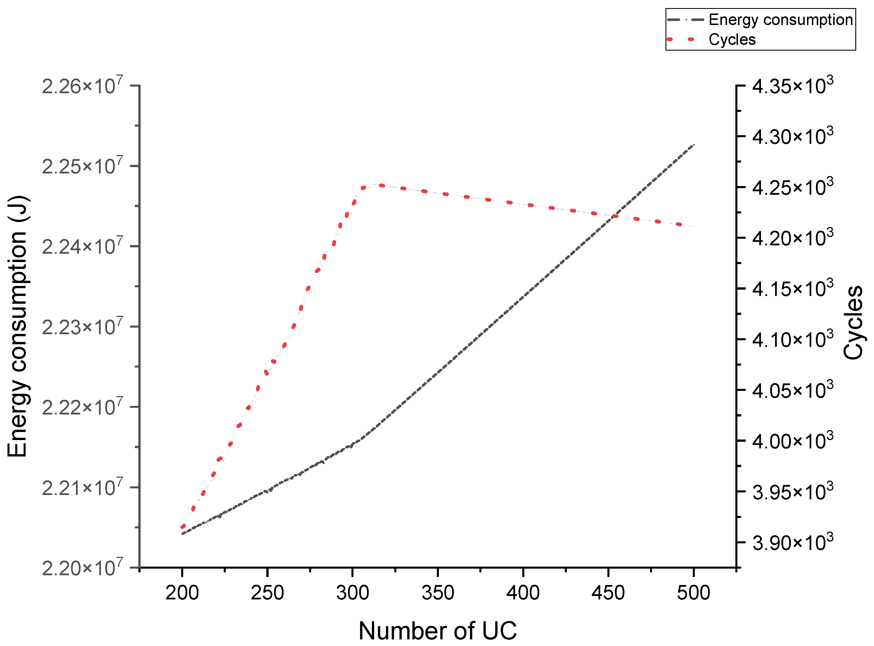
4.4. Hybrid Energy Storage System Control Strategy and Parameter Matching
5. Simulation Discussion
5.1. Battery and Ultracapacitor Power Demand
5.2. Battery Current and Efficiency
5.3. Battery Cycle Life
6. Conclusions
Author Contributions
Funding
Data Availability Statement
Conflicts of Interest
References
- Zhang, L.; Hu, X.; Wang, Z. Overview of Supercapacitor Management Techniques in Electrified Vehicle Applications. J. Mech. Eng. 2017, 53, 32–43+69. [Google Scholar] [CrossRef]
- Hannan, M.A.; Hoque, M.M.; Mohamed, A.; Ayob, A. Review of energy storage systems for electric vehicle applications: Issues and challenges. Renew. Sustain. Energy Rev. 2017, 69, 771–789. [Google Scholar] [CrossRef]
- Hasan, M.K.; Mahmud, M.; Habib, A.K.M.A.; Motakabber, S.M.A.; Islam, S. Review of electric vehicle energy storage and management system: Standards, issues, and challenges. J. Energy Storage 2021, 41, 102940. [Google Scholar] [CrossRef]
- Praveena, K.P.S.; Jayalakshmi, N.S.; Kedlaya, A. Energy Management Strategies for Hybrid Energy Storage System in Electric Vehicles: A Review. In Proceedings of the 2020 IEEE International Conference on Electronics, Computing and Communication Technologies (CONECCT), Bangalore, India, 2–4 July 2020. [Google Scholar]
- Wu, Z.; Zhang, J.; Wu, H.; Yin, C. Efficiency Analysis of Hybrid Energy Storage System in Light Electric Vehicles. J. Shanghai Jiaotong Univ. 2012, 46, 1304–1309. [Google Scholar] [CrossRef]
- Wang, T.; Deng, W.; Wu, J.; Zhang, Q. Power optimization for hybrid energy storage system of electric vehicle. In Proceedings of the Transportation Electrification Asia-Pacific, Beijing, China, 31 August–3 September 2014. [Google Scholar]
- Zhang, F.; Hu, X.; Xu, K.; Tang, X.; Cui, Y. Current status and prospects for model predictive energy management in hybrid electric vehicles. J. Mech. Eng. 2019, 55, 23. [Google Scholar] [CrossRef]
- Alaoui, C. Hybrid Vehicle Energy Management Using Deep Learning. In Proceedings of the 2019 International Conference on Intelligent Systems and Advanced Computing Sciences (ISACS), Taza, Morocco, 26–27 December 2019. [Google Scholar]
- Song, S.; Wei, Z.; Liu, Y.; Lin, Q.; Lin, X. Research on energy management for ultracapacitor/lithium battery hybrid electric vehicles. Control Eng. China 2019, 36, 6. [Google Scholar]
- Wei, Z.; Jue, Y.; Wenming, Z.; Fei, M. Research on battery-supercapcitor hybrid energy system for pure electric vehicle. Electr. Meas. Instrum. 2019, 056, 82–90. [Google Scholar]
- Asensio, M.; Magallan, G.; Amaya, G.; De Angelo, C. Efficiency and Performance Analysis of Battery-Ultracapacitor based Semi-active Hybrid Energy Systems for Electric Vehicles. Lat. Am. Trans. 2018, 16, 2581–2590. [Google Scholar] [CrossRef]
- Dinh, A.N.; Hoang, T.T.; Ta, M.C. Modeling and Control of Electric Vehicles with Hybrid Energy Storage System Using Energetic Macroscopic Representation. In Proceedings of the 2017 IEEE Vehicle Power and Propulsion Conference (VPPC), Belfort, France, 11–14 December 2017. [Google Scholar]
- Singh, A.; Pattnaik, S. Design of a Efficient Power Sharing Strategy for a Battery-Ultracapacitor Hybrid Energy Storage System. In Proceedings of the IEEE International Conference on Power Electronics, Intelligent Control and Energy Systems, Delhi, India, 4–6 July 2016. [Google Scholar]
- Sadoun, R.; Rizoug, N.; Bartholomeus, P.; Barbedette, B.; Moigne, P.L. Optimal sizing of hybrid supply for electric vehicle using Li-ion battery and supercapacitor. In Proceedings of the Vehicle Power & Propulsion Conference, Chicago, IL, USA, 6–9 September 2011; pp. 1–8. [Google Scholar]
- Zhang, L.; Ye, X.; Xia, X.; Barzegar, F. A Real-Time Energy Management and Speed Controller for an Electric Vehicle Powered by a Hybrid Energy Storage System. IEEE Trans. Ind. Inform. 2020, 16, 6272–6280. [Google Scholar] [CrossRef]
- Shen, J.; Dusmez, S.; Khaligh, A. Optimization of Sizing and Battery Cycle Life in Battery/Ultracapacitor Hybrid Energy Storage Systems for Electric Vehicle Applications. IEEE Trans. Ind. Inform. 2014, 10, 2112–2121. [Google Scholar] [CrossRef]
- Song, Z.; Hofmann, H.; Li, J.; Hou, J.; Han, X.; Ouyang, M. Energy management strategies comparison for electric vehicles with hybrid energy storage system. Appl. Energy 2014, 134, 321–331. [Google Scholar] [CrossRef]
- Liu, F.; Wang, C.; Luo, Y. Parameter Matching Method of a Battery-Supercapacitor Hybrid Energy Storage System for Electric Vehicles. World Electr. Veh. J. 2021, 12, 253. [Google Scholar] [CrossRef]
- Ferreira, A.A.; Pomilio, J.A.; Spiazzi, G.; Silva, L.D.A. Energy Management Fuzzy Logic Supervisory for Electric Vehicle Power Supplies System. IEEE Trans. Power Electron. 2008, 23, 107–115. [Google Scholar] [CrossRef]
- Min, H.; Liu, J.; Yu, Y.; Tian, R. Parameters Optimization and Experiment Study on Ultra-capacitor /Battery Hybrid Energy Storage for a HEV. Automot. Eng. 2011, 33, 1078–1083. [Google Scholar] [CrossRef]
- Wang, Q.; Wu, X.; Yu, Y. Optimal matching of HEV with composite electric power supply. J. Jilin Univ. (Eng. Technol. Ed.) 2013, 43, 1153–1159. [Google Scholar]
- Djouahi, A.; Negrou, B.; Rouabah, B.; Mahboub, A.; Samy, M.M. Optimal Sizing of Battery and Super-Capacitor Based on the MOPSO Technique via a New FC-HEV Application. Energies 2023, 16, 3902. [Google Scholar] [CrossRef]
- Hu, L.; Tian, Q.; Huang, J.; Ye, Y.; Wu, X. Review on Energy Distribution and Parameter Matching of Lithium-ion Battery-super Capacitor Hybrid Energy Storage System for Electric Vehicles. J. Mech. Eng. 2022, 58, 224–237. [Google Scholar]
- Jing, C.; Zhang, T.; Yu, Y.; Zhang, L.; Li, X. Study on Emission Characteristics of Hybrid Electric Vehicle Based on NEDC and WLTC Working Cycle. J. Hebei Univ. Technol. 2021, 50, 51–56. [Google Scholar] [CrossRef]
- Zhang, W. Theory of Automobile, 3rd ed.; China Machine Press: Beijing, China, 2022. [Google Scholar]
- Zeng, X.; Gong, W.; Li, X.; Bai, G. ADVISOR 2002 Electric Vehicle Simulation and Redevelopment Application; China Machine Press: Beijing, China, 2017. [Google Scholar]
- Zhang, W.; Yang, J.; Zhang, W. Influence of a New Type of Two-Speed Planetary Gear Automatic Transmission on the Performance of Battery Electric Vehicles. Energies 2022, 15, 4162. [Google Scholar] [CrossRef]
- Wang, J.; Liu, P.; Hicks-Garner, J.; Sherman, E.; Soukiazian, S.; Verbrugge, M.; Tataria, H.; Musser, J.; Finamore, P. Cycle-life model for graphite-LiFePO4 cells. J. Power Sources 2011, 196, 3942–3948. [Google Scholar] [CrossRef]
- Luo, Y.; Wang, F.; Yu, H.; Liu, X. A Study on the Driving-cycle-based Life Model for LiFePO4 Battery. Automot. Eng. 2015, 37, 881–885. [Google Scholar]













| Parameters | Value |
|---|---|
| Curb weight/kg | 2290 |
| Windward area//m2 | 3.368 |
| Wind resistance coefficient/ | 0.26 |
| Wheel radius//m | 0.365 |
| Rolling resistance coefficient/ | 0.009 |
| Wheelbase/m | 2.9 |
| Drive motor power/kW | 130 |
| Maximum speed of drive motor/rpm | 12,000 |
| Parameters | NEDC | WLTC |
|---|---|---|
| Time/s | 1184 | 1800 |
| Distance/km | 10.93 | 23.26 |
| Max speed/km/h | 120 | 131.32 |
| Average speed/km/h | 33.21 | 46.49 |
| Max acceleration/m/s2 | 1.06 | 1.7 |
| Discharge Rate | |||
|---|---|---|---|
| 0.5 | 30,330 | 31,500 | 0.552 |
| 2 | 19,300 | 31,000 | 0.554 |
| 6 | 12,000 | 29,500 | 0.56 |
| 10 | 11,500 | 28,000 | 0.56 |
| Parameters | Value |
|---|---|
| Mass/kg | 3.04 |
| Capacity/A·h | 135 |
| Nominal voltage/V | 3.2 |
| Charging cut-off voltage/V | 3.65 |
| Discharge termination voltage/V | 2.5 |
| Internal resistance/m Ω | 0.686 < Rint < 0.7080 |
| Cycle life/80%DOD 25 | >3000 |
| Parameters | Value |
|---|---|
| Mass/kg | 0.36 |
| Capacity/F | 2500 |
| Nominal voltage/V | 2.7 |
| Internal resistance/m Ω | 0.35 |
| Cycle life | >500,000 |
| Energy Type | Number of Batteries | Number of Ultracapacitors | Energy System Mass/kg |
|---|---|---|---|
| Battery | 166 | 0 | 505 |
| Hybrid energy storage system | 166 | 308 | 505 + 111 (UC) |
| Items | Number |
|---|---|
| Battery pack energy/kW·h | 71.72 |
| Unit price 10,000 yuan/kW·h | 0.06 |
| Unit price of battery pack/10,000 yuan | 4.3 |
| Number of battery exchanges/10,000 | 5 |
| Total price of battery pack/10,000 yuan | 215,160 |
| Battery cycle life increase/% | 34.24 |
| Battery savings/10,000 yuan | 73,668 |
Disclaimer/Publisher’s Note: The statements, opinions and data contained in all publications are solely those of the individual author(s) and contributor(s) and not of MDPI and/or the editor(s). MDPI and/or the editor(s) disclaim responsibility for any injury to people or property resulting from any ideas, methods, instructions or products referred to in the content. |
© 2023 by the authors. Licensee MDPI, Basel, Switzerland. This article is an open access article distributed under the terms and conditions of the Creative Commons Attribution (CC BY) license (https://creativecommons.org/licenses/by/4.0/).
Share and Cite
Zhang, W.; Yang, J. The Impact of Hybrid Energy Storage System on the Battery Cycle Life of Replaceable Battery Electric Vehicle. World Electr. Veh. J. 2023, 14, 248. https://doi.org/10.3390/wevj14090248
Zhang W, Yang J. The Impact of Hybrid Energy Storage System on the Battery Cycle Life of Replaceable Battery Electric Vehicle. World Electric Vehicle Journal. 2023; 14(9):248. https://doi.org/10.3390/wevj14090248
Chicago/Turabian StyleZhang, Wei, and Jue Yang. 2023. "The Impact of Hybrid Energy Storage System on the Battery Cycle Life of Replaceable Battery Electric Vehicle" World Electric Vehicle Journal 14, no. 9: 248. https://doi.org/10.3390/wevj14090248
APA StyleZhang, W., & Yang, J. (2023). The Impact of Hybrid Energy Storage System on the Battery Cycle Life of Replaceable Battery Electric Vehicle. World Electric Vehicle Journal, 14(9), 248. https://doi.org/10.3390/wevj14090248

