Research on Alternating Equalization Control Systems for Lithium-Ion Cells Charging
Abstract
:1. Introduction
2. Design of AECS for Lithium-Ion Cells
2.1. Short-Circuit Equalization Circuit
2.2. Equalization Control Strategy
2.2.1. Equalizing Parameter
- (1)
- (2)
- Equalization judgment threshold: This article compares the maximum difference between the SOC of each battery with the judgment threshold and controls the maximum difference within the judgment threshold. The formula is as follows:
- (3)
- Battery performance parameters: 18650 lithium-ion battery has the advantages of good consistency, mature production technology, and low cost. Therefore, this article is based on the 18650 lithium-ion batteries for research, and its parameters are shown in Table 1.
2.2.2. Charging Control Method
- (1)
- When a battery’s SOC reaches 100%, and if the number of batteries with 100% SOC is greater than or equal to two, the battery group will stop charging; if there is only one battery with a SOC value of 100%, this battery should be disconnected and other batteries left to continue charging.
- (2)
- When the SOC value of all batteries is lower than 100%, and if the value of φ is greater than or equal to the threshold α, the balanced battery will replace the battery with the highest SOC value to form a new battery group; if the value of φ is less than 100%, the threshold α is charged in series by the first n batteries.
3. Charging Simulation of AECS
3.1. Simulation Parameters
3.2. Simulations under Different Working Conditions
- (1)
- When φ is less than the α threshold, the batteries of No.1–No.4 are charged in series, and the No. 5 battery is short-circuited, turning on the switches S1–S4 and S10. This, charges the batteries B1–B4 in series.
- (2)
- When φ is greater than or equal to the threshold α, its equalization control strategy is shown in Table 2.
4. Charging Experiments of AECS
4.1. Experimental Design
- (1)
- According to the SOC and OCV-SOC curves of each battery required for the experiment, the corresponding open-circuit voltage is calculated in Matlab. The OCV- SOC curve is obtained by the test standard of BYD Company.
- (2)
- Turn on the thermostat and set the temperature to 25 °C. Place all batteries in a thermostat for 2 h and then charge and discharge them until each battery reaches the corresponding open-circuit voltage. Next, connect the AECS circuit and place it in a thermostat for 2 h to stabilize the temperature at 25 °C.
- (3)
- Download the control program to the STC12C5A60S2 single-chip microcomputer and conduct charge and discharge experiments under different working conditions to verify the feasibility of AECS.
4.2. Experimental Results and Analysis
4.2.1. 1 C Charging Rate with the 20 s Delay Time Charging Experiment
4.2.2. 0.5 C Charging Rate with the 20 s Delay Time Charging Experiment
4.2.3. 0.5 C Charging Rate with 10 s Delay Time Charging Experiment
4.3. Comparison of the SOC Difference under Different Working Conditions
5. Conclusions
- (1)
- An ACES topology and its charging control strategy were proposed, its working principle and advantages were studied, and a charging simulation was carried out in Matlab/Simulink. A battery group consisting of five batteries with the initial SOC value of 5%, 10%, 8%, 12% and 15% was charged. The simulation results show that during the charging process, the maximum SOC difference of the battery group is continuously reduced from 10% to 1%, which proves the feasibility of the charging control strategy.
- (2)
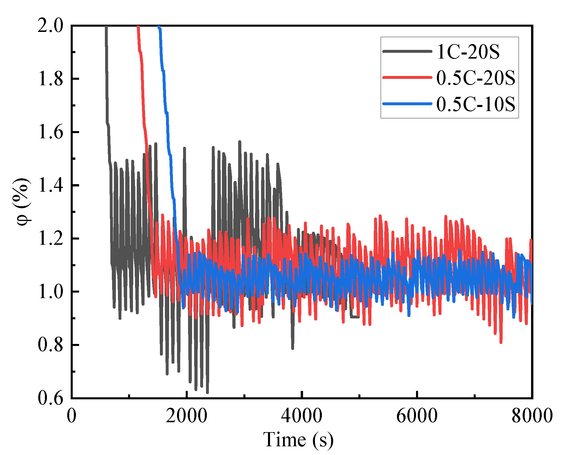
- A charging experiment of the battery group was carried out. In the charging experiment, the SOC difference in the constant current charging stage dropped from 8.6% to about 1%, and the maximum SOC difference was 1.542%. In the constant voltage charging stage, the maximum difference in SOC dropped from 1.542% to 1.214% due to the decrease of the charging current. The maximum difference of SOC at the end of charging was 0.8%, which indicated that the alternating balance control system designed in this paper could realize the charging balance of the battery group.
- (3)
- A charging experiment with a 0.5 C charging rate with the 20 s delay time was set. In the experiment, the maximum SOC difference of the battery group when it reached the equalization state was 1.288%. The result showed that, compared to the charging experiment at 1 C charging rate, the equalization effect could be effectively improved when the charging rate was low.
- (4)
- A charging experiment at a 0.5 C charging rate with the 10 s delay time was set. In the experiment, the maximum SOC difference of the battery group when it reached the equalization state was 1.035%. The results showed that when the charging rate did not change, reducing the delay time could effectively improve the equalization effect of the equalization system.
Author Contributions
Funding
Institutional Review Board Statement
Informed Consent Statement
Data Availability Statement
Conflicts of Interest
References
- Widmaier, M.; Jäckel, N.; Zeiger, M.; Abuzarli, M.; Engel, C.; Bommer, L.; Presser, V. Influence of carbon distribution on the electrochemical performance and stability of lithium titanate based energy storage devices. Electrochim. Acta 2017, 247, 1006–1018. [Google Scholar] [CrossRef]
- Chen, G.W.; Liu, Z.T.; Su, H.; Zhuang, W.C. Electrochemical-distributed thermal coupled model-based state of charge estimation for cylindrical lithium-ion batteries. Control Eng. Pract. 2021, 109, 1006–1018. [Google Scholar] [CrossRef]
- Wang, X.M.; Xie, Y.Q.; Day, R.; Wu, H.; Hu, Z.L.; Zhu, J.Q.; Wen, D. Performance analysis of a novel thermal management system with composite phase change material for a lithium-ion battery pack. Energy 2018, 156, 154–168. [Google Scholar] [CrossRef] [Green Version]
- Gozdur, R.; Guzowski, B.; Dimitrova, Z.; Noury, A.; Mitukiewicz, G.; Batory, D. An energy balance evaluation in lithium-ion battery module under high temperature operation. Energy Convers. Manag. 2021, 227, 113565. [Google Scholar] [CrossRef]
- Diao, W.P.; Xue, N.N.; Bhattacharjee, V.; Jiang, J.C.; Karabasoglu, O.; Pecht, M. Active battery cell equalization based on residual available energy maximization. Appl. Energy 2018, 210, 690–698. [Google Scholar] [CrossRef]
- Cui, X.D.; Shen, W.; Zhang, Y.L.; Hu, C.G.; Zheng, J.C. Novel active LiFePO4 battery balancing method based on chargeable and dischargeable capacity. Comput. Chem. Eng. 2017, 97, 27–35. [Google Scholar] [CrossRef]
- Samanta, A.; Chowdhuri, S. Active Cell Balancing of Lithium-ion Battery Pack Using Dual DC-DC Converter and Auxiliary Lead-acid Battery. J. Energy Storage 2020, 33, 102109. [Google Scholar] [CrossRef]
- Wu, T.Z.; Ji, F.; Liao, L.; Chun, C. Voltage-SOC balancing control scheme for series-connected lithium-ion battery packs. J. Energy Storage 2019, 25, 100895. [Google Scholar] [CrossRef]
- Dam, S.K.; John, V. A Modular Fast Cell-to-Cell Battery Voltage Equalizer. IEEE Trans. Power Electron. 2020, 35, 9445–9463. [Google Scholar] [CrossRef]
- Ding, X.; Zhang, D.H.; Cheng, J.W.; Wang, B.B.; Chai, Y.M.; Zhao, Z.; Xiong, R.; Luk, P.C. A Novel Active Equalization Topology for Series-Connected Lithium-ion Battery Packs. IEEE Trans. Ind. Appl. 2020, 56, 6892–6903. [Google Scholar] [CrossRef]
- Shang, Y.L.; Zhang, Q.; Cui, N.X.; Duan, B.; Zhang, C.H. An Optimized Mesh-Structured Switched-Capacitor Equalizer for Lithium-Ion Battery Strings. IEEE Trans. Transp. Electrif. 2019, 5, 252–261. [Google Scholar] [CrossRef]
- Singirikonda, S.; Obulesu, Y. Active cell voltage balancing of Electric vehicle batteries by using an optimized switched capacitor strategy. J. Energy Storage 2021, 38, 102521. [Google Scholar] [CrossRef]
- Chen, Y.; Liu, X.F.; Shen, T.; Cheng, L.F.; Xiaogang, W.; Yang, R.; Yang, S.Y. An any-cell(s)-to-cell(s) equalization method with a single magnetic component for Lithium-ion battery pack. J. Energy Storage 2020, 33, 102071. [Google Scholar] [CrossRef]
- Zhang, K.; Sun, L.; Fan, S.G. Research on design methodology of super capacitor balancing system based on multi-winding transformer. Power Electron. 2018, 52, 37–40. [Google Scholar] [CrossRef]
- Li, Y.; Xu, J.H.; Mei, X.; Wang, J.P. A Unitized Multiwinding Transformer-Based Equalization Method for Series-Connected Battery Strings. IEEE Trans. Power Electron. 2019, 34, 11981–11989. [Google Scholar] [CrossRef]
- Liu, W.; Tang, C.Y.; Wang, T.R.; Na, W.; Sun, J.L. Research on Active Equalization Topology and Control Strategy of Series Battery Pack. J. Power Supply 2020, 1–14. [Google Scholar]
- Gao, M.Y.; Qu, J.F.; Lan, H.; Wu, Q.X.; Lin, H.P.; Dong, Z.K.; Zhang, W.Z. An Active and Passive Hybrid Battery Equalization Strategy Used in Group and between Groups. Electronics 2020, 9, 1744. [Google Scholar] [CrossRef]
- Shang, Y.L.; Zhao, S.F.; Fu, Y.H.; Han, B.; Hu, P.P.; Mi, C. A Lithium-Ion Battery Balancing Circuit Based on Synchronous Rectification. IEEE Trans. Power Electron. 2020, 35, 1637–1648. [Google Scholar] [CrossRef]
- Liu, H.R.; Du, C.F.; Chen, S.L.; Li, Y.Z.; Xia, C.Y. Research on Bidirectional Battery Group Equalizer with Double Deck Based on Cuk Chopper Circuit. J. Power Supply 2017, 15, 142–147. [Google Scholar]
- Liu, Y.; Xia, C.Y.; Gu, M.; Xin, W.; Men, X.M. A novel active equalizer for Li-ion battery pack in electric vehicles. Energy Procedia 2019, 158, 2649–2654. [Google Scholar] [CrossRef]
- Hua, Y.; Zhou, S.D.; Cui, H.G.; Liu, X.H.; Zhang, C.; Xu, X.; Ling, H.P.; Yang, S.C. A comprehensive review on inconsistency and equalization technology of lithium-ion battery for electric vehicles. Int. J. Energy Res. 2020, 44, 11059–11087. [Google Scholar] [CrossRef]
- Moon, S.; Kim, J. Balanced charging strategies for electric vehicles on power systems. Appl. Energy 2017, 189, 44–54. [Google Scholar] [CrossRef]
- Turksoy, A.; Teke, A.; Alkaya, A. A comprehensive overview of the dc-dc converter-based battery charge balancing methods in electric vehicles. Renew. Sustain. Energy Rev. 2020, 133, 110274. [Google Scholar] [CrossRef]









| Order | Name of Parameter | Value and Unit |
|---|---|---|
| 1 | Size | = 18.00 mm H = 65.00 mm |
| 2 | Rated Capacity | 2.55 Ah |
| 3 | Practical Capacity | 3.0 Ah |
| 4 | Working Voltage | 3.6 V |
| 5 | Charging Cut-Off Voltage | 4.2 V |
| 6 | Discharging Cut-Off Voltage | 2.5 V |
| 7 | Maximum Continuous Discharge Rate | 3 C |
| 8 | Optimum Working Temperature | 35 °C |
| 9 | Working Temperature Range | −60 °C |
| The Battery with the Highest SOC | Closed Switches | Charging Cells in Series |
|---|---|---|
| B1 | S2,S3,S4,S5,S6 | B2,B3,B4,B5 |
| B2 | S1,S3,S4,S5,S7 | B1,B3,B4,B5 |
| B3 | S1,S2,S4,S5,S8 | B1,B2,B4,B5 |
| B4 | S1,S2,S3,S5,S9 | B1,B2,B3,B5 |
| B5 | S1,S2,S3,S4,S10 | B1,B2,B3,B4 |
Publisher’s Note: MDPI stays neutral with regard to jurisdictional claims in published maps and institutional affiliations. |
© 2021 by the authors. Licensee MDPI, Basel, Switzerland. This article is an open access article distributed under the terms and conditions of the Creative Commons Attribution (CC BY) license (https://creativecommons.org/licenses/by/4.0/).
Share and Cite
Zhang, C.; Li, Y.; Huang, J.; Xia, Z.; Liu, J. Research on Alternating Equalization Control Systems for Lithium-Ion Cells Charging. World Electr. Veh. J. 2021, 12, 114. https://doi.org/10.3390/wevj12030114
Zhang C, Li Y, Huang J, Xia Z, Liu J. Research on Alternating Equalization Control Systems for Lithium-Ion Cells Charging. World Electric Vehicle Journal. 2021; 12(3):114. https://doi.org/10.3390/wevj12030114
Chicago/Turabian StyleZhang, Chuanwei, Yikun Li, Jing Huang, Zhan Xia, and Jinpeng Liu. 2021. "Research on Alternating Equalization Control Systems for Lithium-Ion Cells Charging" World Electric Vehicle Journal 12, no. 3: 114. https://doi.org/10.3390/wevj12030114
APA StyleZhang, C., Li, Y., Huang, J., Xia, Z., & Liu, J. (2021). Research on Alternating Equalization Control Systems for Lithium-Ion Cells Charging. World Electric Vehicle Journal, 12(3), 114. https://doi.org/10.3390/wevj12030114
