Characterization of Different Copovidone Grades as Carrier Materials in Hot Melt Extrusion of Amorphous Solid Dispersions
Abstract
1. Introduction
2. Materials and Methods
2.1. Materials
2.2. Characterization Methods
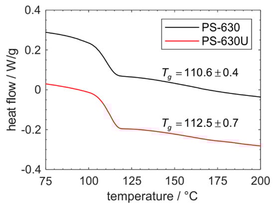
2.2.1. Differential Scanning Calorimetry
2.2.2. Rheology
2.2.3. Bulk Properties
2.2.4. Moisture Content
2.3. Extrusion
2.3.1. Small Scale Extrusion
2.3.2. Production Scale Extrusion
2.4. In-Line UV-Vis Spectroscopy
2.4.1. Determination of Drug Dissolution in the Polymer and Degradation
2.4.2. Determination of Residence Time Distributions
3. Results and Discussion
3.1. Comparison of Copovidone Raw Material Properties
3.2. ASD Formulation in Small Scale Extrusion
3.3. Degradation During Small Scale Extrusion
3.4. Application in Production Scale Extrusion
4. Conclusions
Author Contributions
Funding
Institutional Review Board Statement
Informed Consent Statement
Data Availability Statement
Conflicts of Interest
References
- Arndt, O.-R.; Kleinebudde, P. Influence of binder properties on dry granules and tablets. Powder Technol. 2018, 337, 68–77. [Google Scholar] [CrossRef]
- Barimani, S.; Kleinebudde, P. Monitoring of tablet coating processes with colored coatings. Talanta 2018, 178, 686–697. [Google Scholar] [CrossRef] [PubMed]
- Porter, S.; Sackett, G.; Liu, L. Development, Optimization, and Scale-Up of Process Parameters. In Developing Solid Oral Dosage Forms; Elsevier: Amsterdam, The Netherlands, 2017; pp. 953–996. ISBN 9780128024478. [Google Scholar]
- Akgün, I.S.; Demir, E.; Işık, M.; Ekmekçiyan, N.; Şenses, E.; Erkey, C. Protective coating of highly porous alginate aerogel particles in a Wurster fluidized bed. Powder Technol. 2022, 402, 117331. [Google Scholar] [CrossRef]
- Horváth, Z.M.; Lauberte, L.; Logviss, K.; Bandere, D.; Mohylyuk, V. Quantification of Soluplus® and copovidone polymers in dissolution media: Critical systematic review. J. Drug Deliv. Sci. Technol. 2023, 89, 104998. [Google Scholar] [CrossRef]
- Zecevic, D.E.; Evans, R.C.; Paulsen, K.; Wagner, K.G. From benchtop to pilot scale-experimental study and computational assessment of a hot-melt extrusion scale-up of a solid dispersion of dipyridamole and copovidone. Int. J. Pharm. 2018, 537, 132–139. [Google Scholar] [CrossRef]
- Saraf, I.; Jakasanovski, O.; Stanić, T.; Kralj, E.; Petek, B.; Williams, J.D.; Dmytro, N.; Georg, G.; Bernd, W.; Klaus, Z.; et al. Investigation of the Influence of Copovidone Properties and Hot-Melt Extrusion Process on Level of Impurities, In Vitro Release, and Stability of an Amorphous Solid Dispersion Product. Mol. Pharm. 2024, 21, 5703–5715. [Google Scholar] [CrossRef]
- Breitenbach, J. Melt extrusion: From process to drug delivery technology. Eur. J. Pharm. Biopharm. 2002, 54, 107–117. [Google Scholar] [CrossRef]
- Repka, M.A.; Battu, S.K.; Upadhye, S.B.; Thumma, S.; Crowley, M.M.; Zhang, F.; Martin, C.; McGinity, J.W. Pharmaceutical applications of hot-melt extrusion: Part II. Drug Dev. Ind. Pharm. 2007, 33, 1043–1057. [Google Scholar] [CrossRef]
- Maniruzzaman, M.; Boateng, J.S.; Snowden, M.J.; Douroumis, D. A review of hot-melt extrusion: Process technology to pharmaceutical products. ISRN Pharm. 2012, 2012, 436763. [Google Scholar] [CrossRef] [PubMed]
- Bhujbal, S.V.; Mitra, B.; Jain, U.; Gong, Y.; Agrawal, A.; Karki, S.; Taylor, L.; Kumar, S.; Zhou, Q. Pharmaceutical amorphous solid dispersion: A review of manufacturing strategies. Acta Pharm. Sin. B 2021, 11, 2505–2536. [Google Scholar] [CrossRef] [PubMed]
- Tambe, S.; Jain, D.; Meruva, S.K.; Rongala, G.; Juluri, A.; Nihalani, G.; Mamidi, H.K.; Nukala, P.K.; Bolla, P.K. Recent Advances in Amorphous Solid Dispersions: Preformulation, Formulation Strategies, Technological Advancements and Characterization. Pharmaceutics 2022, 14, 2203. [Google Scholar] [CrossRef]
- Zhang, J.; Guo, M.; Luo, M.; Cai, T. Advances in the development of amorphous solid dispersions: The role of polymeric carriers. Asian J. Pharm. Sci. 2023, 18, 100834. [Google Scholar] [CrossRef] [PubMed]
- Evans, R.C.; Bochmann, E.S.; Kyeremateng, S.O.; Gryczke, A.; Wagner, K.G. Holistic QbD approach for hot-melt extrusion process design space evaluation: Linking materials science, experimentation and process modeling. Eur. J. Pharm. Biopharm. 2019, 141, 149–160. [Google Scholar] [CrossRef] [PubMed]
- Thiry, J.; Krier, F.; Evrard, B. A review of pharmaceutical extrusion: Critical process parameters and scaling-up. Int. J. Pharm. 2015, 479, 227–240. [Google Scholar] [CrossRef]
- Moseson, D.E.; Eren, A.; Altman, K.J.; Corum, I.D.; Li, M.; Su, Y.; Nagy, Z.K.; Taylor, L.S. Optimization of Amorphization Kinetics during Hot Melt Extrusion by Particle Engineering: An Experimental and Computational Study. Cryst. Growth Des. 2022, 22, 821–841. [Google Scholar] [CrossRef]
- Winck, J.; Daalmann, M.; Berghaus, A.; Thommes, M. In-line monitoring of solid dispersion preparation in small scale extrusion based on UV-vis spectroscopy. Pharm. Dev. Technol. 2022, 27, 1009–1015. [Google Scholar] [CrossRef]
- Liu, T.; Zhang, F. Modelling drug degradation of amorphous solid dispersion during twin-screw extrusion. Eur. J. Pharm. Biopharm. 2023, 190, 197–205. [Google Scholar] [CrossRef]
- Gottschalk, T.; Özbay, C.; Feuerbach, T.; Thommes, M. Predicting Throughput and Melt Temperature in Pharmaceutical Hot Melt Extrusion. Pharmaceutics 2022, 14, 1757. [Google Scholar] [CrossRef]
- Winck, J.; Gottschalk, T.; Thommes, M. Predicting Residence Time and Melt Temperature in Pharmaceutical Hot Melt Extrusion. Pharmaceutics 2023, 15, 1417. [Google Scholar] [CrossRef]
- Sarabu, S.; Butreddy, A.; Bandari, S.; Batra, A.; Lawal, K.; Chen, N.N.; Kogan, M.; Bi, V.; Durig, T.; Repka, M.A. Preliminary investigation of peroxide levels of Plasdone™ copovidones on the purity of atorvastatin calcium amorphous solid dispersions: Impact of plasticizers on hot melt extrusion processability. J. Drug Deliv. Sci. Technol. 2022, 70, 103190. [Google Scholar] [CrossRef]
- Saraf, I.; Kushwah, V.; Werner, B.; Zangger, K.; Paudel, A. Quantification of Hydrogen Peroxide in PVP and PVPVA Using 1H qNMR Spectroscopy. Polymers 2025, 17, 739. [Google Scholar] [CrossRef]
- Butreddy, A.; Sarabu, S.; Bandari, S.; Batra, A.; Lawal, K.; Chen, N.N.; Bi, V.; Durig, T.; Repka, M.A. Influence of Plasdone™ S630 Ultra—An Improved Copovidone on the Processability and Oxidative Degradation of Quetiapine Fumarate Amorphous Solid Dispersions Prepared via Hot-Melt Extrusion Technique. AAPS PharmSciTech 2021, 22, 196. [Google Scholar] [CrossRef]
- Klueppelberg, J.; Handge, U.A.; Thommes, M.; Winck, J. Composition Dependency of the Flory–Huggins Interaction Parameter in Drug–Polymer Phase Behavior. Pharmaceutics 2023, 15, 2650. [Google Scholar] [CrossRef]
- Kolter, K.; Karl, M.; Gryczke, A. Hot Melt Extrusion with BASF Pharma Polymers; BASF SE: Ludwigshafen, Germany, 2012. [Google Scholar]
- Rahman, M.; Ozkan, S.; Lester, J.; Farzana, I.; Bi, V.; Düring, T. Plasticizer Compatibility and Thermal and Rheological Properties of Plasdone™ Povidone and Copovidone Polymers for Hot-melt Extrusion Applications. In Ashland Pharmaceutical Technology Report PTR-092; Ashland: Mullingar, Ireland, 2013. [Google Scholar]
- Treffer, D.; Troiss, A.; Khinast, J. A novel tool to standardize rheology testing of molten polymers for pharmaceutical applications. Int. J. Pharm. 2015, 495, 474–481. [Google Scholar] [CrossRef]
- MeltPrep GmbH. Manual for Vacuum Compression Molding System; MeltPrep GmbH: Graz, Austria, 2022. [Google Scholar]
- Lillotte, T.D.; Joester, M.; Frindt, B.; Berghaus, A.; Lammens, R.F.; Wagner, K.G. UV–VIS spectra as potential process analytical technology (PAT) for measuring the density of compressed materials: Evaluation of the CIELAB color space. Int. J. Pharm. 2021, 603, 120668. [Google Scholar] [CrossRef]
- Gordillo, B.; Ciaccheri, L.; Mignani, A.G.; Gonzalez-Miret, M.L.; Heredia, F.J. Influence of Turbidity Grade on Color and Appearance of Virgin Olive Oil. J. Am. Oil. Chem. Soc. 2011, 88, 1317–1327. [Google Scholar] [CrossRef]
- Haser, A.; Haight, B.; Berghaus, A.; Machado, A.; Martin, C.; Zhang, F. Scale-up and in-line monitoring during continuous melt extrusion of an amorphous solid dispersion. AAPS PharmSciTech 2018, 19, 2818–2827. [Google Scholar] [CrossRef]
- Carreau, P.J. Rheological Equations from Molecular Network Theories. Trans. Soc. Rheol. 1972, 16, 99–127. [Google Scholar] [CrossRef]
- Williams, M.L.; Landel, R.F.; Ferry, J.D. The Temperature Dependence of Relaxation Mechanisms in Amorphous Polymers and Other Glass-forming Liquids. J. Am. Chem. Soc. 1955, 77, 3701–3707. [Google Scholar] [CrossRef]
- Cox, W.P.; Merz, E.H. Correlation of dynamic and steady flow viscosities. J. Polym. Sci. 1958, 28, 619–622. [Google Scholar] [CrossRef]
- Kimmel, V.; Ercolin, E.; Zimmer, R.; Yörük, M.; Winck, J.; Thommes, M. Measuring and Modeling of Melt Viscosity for Drug Polymer Mixtures. Pharmaceutics 2024, 16, 301. [Google Scholar] [CrossRef] [PubMed]
- Deutscher Apotheker Verlag. European Pharmacopoeia 6.0; Deutscher Apotheker Verlag: Stuttgart, Germany, 2007. [Google Scholar]
- Schlindwein, W.; Bezerra, M.; Almeida, J.; Berghaus, A.; Owen, M.; Muirhead, G. In-line UV-Vis spectroscopy as a fast-working process analytical technology (PAT) during early phase product development using hot melt extrusion (HME). Pharmaceutics 2018, 10, 166. [Google Scholar] [CrossRef]
- Wang, Y.; Steinhoff, B.; Brinkmann, C.; Alig, I. In-line monitoring of the thermal degradation of poly(l-lactic acid) during melt extrusion by UV–vis spectroscopy. Polymer 2008, 49, 1257–1265. [Google Scholar] [CrossRef]
- Kohlgrüber, K.; Bierdel, M. Co-Rotating Twin-Screw Extruders: Fundamentals, Technology, and Applications; Carl Hanser Publishers: Munich, Germany; Hanser Gardner Publications: Cincinnati, OH, USA, 2008; Volume xiii, p. 354. [Google Scholar]
- Bernardo, F.; Covas, J.A.; Canevarolo, S.V. On-Line Optical Monitoring of the Mixing Performance in Co-Rotating Twin-Screw Extruders. Polymers 2022, 14, 1152. [Google Scholar] [CrossRef] [PubMed]












| Polymer | Bulk Density | Tapped Density | Carr Index | Angle of Repose |
|---|---|---|---|---|
| PS-630 | 327 7 | 409 3 | 20.13 2.20 | 36.28 1.66 |
| PS-630U | 276 3 | 336 4 | 17.73 1.80 | 29.17 0.32 |
| Polymer | Slip s | |
|---|---|---|
| PS-630 | 0.0195 | 0.918 |
| PS-630U | 0.0285 | 0.858 |
Disclaimer/Publisher’s Note: The statements, opinions and data contained in all publications are solely those of the individual author(s) and contributor(s) and not of MDPI and/or the editor(s). MDPI and/or the editor(s) disclaim responsibility for any injury to people or property resulting from any ideas, methods, instructions or products referred to in the content. |
© 2025 by the authors. Licensee MDPI, Basel, Switzerland. This article is an open access article distributed under the terms and conditions of the Creative Commons Attribution (CC BY) license (https://creativecommons.org/licenses/by/4.0/).
Share and Cite
Daalmann, M.; Kimmel, V.; Muehlenfeld, C.; Thommes, M.; Winck, J. Characterization of Different Copovidone Grades as Carrier Materials in Hot Melt Extrusion of Amorphous Solid Dispersions. Pharmaceutics 2025, 17, 1138. https://doi.org/10.3390/pharmaceutics17091138
Daalmann M, Kimmel V, Muehlenfeld C, Thommes M, Winck J. Characterization of Different Copovidone Grades as Carrier Materials in Hot Melt Extrusion of Amorphous Solid Dispersions. Pharmaceutics. 2025; 17(9):1138. https://doi.org/10.3390/pharmaceutics17091138
Chicago/Turabian StyleDaalmann, Marvin, Vincent Kimmel, Christian Muehlenfeld, Markus Thommes, and Judith Winck. 2025. "Characterization of Different Copovidone Grades as Carrier Materials in Hot Melt Extrusion of Amorphous Solid Dispersions" Pharmaceutics 17, no. 9: 1138. https://doi.org/10.3390/pharmaceutics17091138
APA StyleDaalmann, M., Kimmel, V., Muehlenfeld, C., Thommes, M., & Winck, J. (2025). Characterization of Different Copovidone Grades as Carrier Materials in Hot Melt Extrusion of Amorphous Solid Dispersions. Pharmaceutics, 17(9), 1138. https://doi.org/10.3390/pharmaceutics17091138

