Refined ADME Profiles for ATC Drug Classes
Abstract
1. Introduction
2. Materials and Methods
2.1. Collection and Classification of Marketed Drugs
2.2. Data Collection for Physicochemical and ADME Properties
2.3. Model Generation for Physicochemical and ADME Properties
3. Results and Discussion
3.1. Data Distributions of Drugs Versus Non-Drugs
3.2. Data Completeness Across Drug Classes
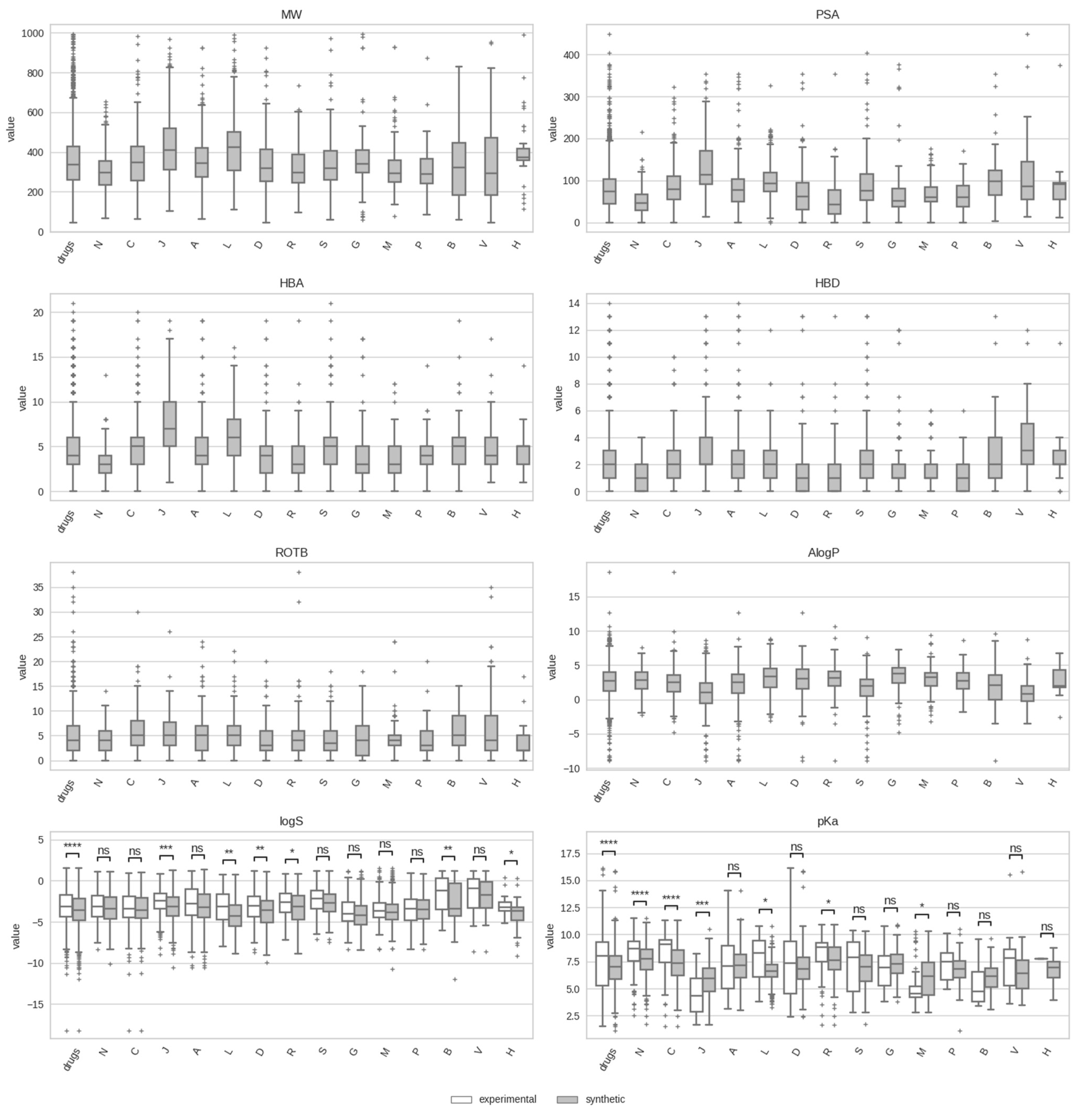
3.3. Physicochemical Properties for Drug Classes
3.4. ADME Properties for Drug Classes
4. Conclusions
Supplementary Materials
Author Contributions
Funding
Institutional Review Board Statement
Informed Consent Statement
Data Availability Statement
Acknowledgments
Conflicts of Interest
References
- Wouters, O.J.; McKee, M.; Luyten, J. Estimated Research and Development Investment Needed to Bring a New Medicine to Market, 2009–2018. JAMA 2020, 323, 844–853. [Google Scholar] [CrossRef] [PubMed]
- Harrison, R.K. Phase II and Phase III Failures: 2013–2015. Nat. Rev. Drug Discov. 2016, 15, 817–818. [Google Scholar] [CrossRef] [PubMed]
- Dowden, H.; Munro, J. Trends in Clinical Success Rates and Therapeutic Focus. Nat. Rev. Drug Discov. 2019, 18, 495–496. [Google Scholar] [CrossRef] [PubMed]
- Sun, D.; Gao, W.; Hu, H.; Zhou, S. Why 90% of Clinical Drug Development Fails and How to Improve It? Acta Pharm. Sin. B 2022, 12, 3049–3062. [Google Scholar] [CrossRef] [PubMed]
- Hansch, C.; Björkroth, J.P.; Leo, A. Hydrophobicity and Central Nervous System Agents: On the Principle of Minimal Hydrophobicity in Drug Design. J. Pharm. Sci. 1987, 76, 663–687. [Google Scholar] [CrossRef] [PubMed]
- Van de Waterbeemd, H.; Kansy, M. Hydrogen-Bonding Capacity and Brain Penetration. CHIMIA 1992, 46, 299. [Google Scholar] [CrossRef]
- Lipinski, C.A.; Lombardo, F.; Dominy, B.W.; Feeney, P.J. Experimental and Computational Approaches to Estimate Solubility and Permeability in Drug Discovery and Development Settings. Adv. Drug Deliv. Rev. 2001, 46, 3–26. [Google Scholar] [CrossRef]
- Lipinski, C.A. Drug-like Properties and the Causes of Poor Solubility and Poor Permeability. J. Pharmacol. Toxicol. Methods 2000, 44, 235–249. [Google Scholar] [CrossRef]
- Shultz, M.D. Two Decades under the Influence of the Rule of Five and the Changing Properties of Approved Oral Drugs. J. Med. Chem. 2019, 62, 1701–1714. [Google Scholar] [CrossRef] [PubMed]
- Tinworth, C.P.; Young, R.J. Facts, Patterns, and Principles in Drug Discovery: Appraising the Rule of 5 with Measured Physicochemical Data. J. Med. Chem. 2020, 63, 10091–10108. [Google Scholar] [CrossRef]
- Gangwal, A.; Lavecchia, A. Unleashing the Power of Generative AI in Drug Discovery. Drug Discov. Today 2024, 29, 103992. [Google Scholar] [CrossRef]
- Ren, F.; Aliper, A.; Chen, J.; Zhao, H.; Rao, S.; Kuppe, C.; Ozerov, I.V.; Zhang, M.; Witte, K.; Kruse, C.; et al. A Small-Molecule TNIK Inhibitor Targets Fibrosis in Preclinical and Clinical Models. Nat. Biotechnol. 2024, 43, 63–75. [Google Scholar] [CrossRef]
- Martinelli, D.D. Generative Machine Learning for de Novo Drug Discovery: A Systematic Review. Comput. Biol. Med. 2022, 145, 105403. [Google Scholar] [CrossRef] [PubMed]
- Danishuddin; Kumar, V.; Faheem, M.; Woo Lee, K. A Decade of Machine Learning-Based Predictive Models for Human Pharmacokinetics: Advances and Challenges. Drug Discov. Today 2022, 27, 529–537. [Google Scholar] [CrossRef]
- Pillai, N.; Abos, A.; Teutonico, D.; Mavroudis, P.D. Machine Learning Framework to Predict Pharmacokinetic Profile of Small Molecule Drugs Based on Chemical Structure. Clin. Transl. Sci. 2024, 17, e13824. [Google Scholar] [CrossRef] [PubMed]
- Catacutan, D.B.; Alexander, J.; Arnold, A.; Stokes, J.M. Machine Learning in Preclinical Drug Discovery. Nat. Chem. Biol. 2024, 20, 960–973. [Google Scholar] [CrossRef]
- Davies, M.; Jones, R.D.O.; Grime, K.; Jansson-Löfmark, R.; Fretland, A.J.; Winiwarter, S.; Morgan, P.; McGinnity, D.F. Improving the Accuracy of Predicted Human Pharmacokinetics: Lessons Learned from the AstraZeneca Drug Pipeline Over Two Decades. Trends Pharmacol. Sci. 2020, 41, 390–408. [Google Scholar] [CrossRef]
- Obrezanova, O. Artificial Intelligence for Compound Pharmacokinetics Prediction. Curr. Opin. Struct. Biol. 2023, 79, 102546. [Google Scholar] [CrossRef] [PubMed]
- Gawehn, E.; Greene, N.; Miljković, F.; Obrezanova, O.; Subramanian, V.; Trapotsi, M.-A.; Winiwarter, S. Perspectives on the Use of Machine Learning for ADME Prediction at AstraZeneca. Xenobiotica 2024, 54, 368–378. [Google Scholar] [CrossRef]
- Aleksić, S.; Seeliger, D.; Brown, J.B. ADMET Predictability at Boehringer Ingelheim: State-of-the-Art, and Do Bigger Datasets or Algorithms Make a Difference? Mol. Inform. 2022, 41, e2100113. [Google Scholar] [CrossRef]
- Walter, M.; Borghardt, J.M.; Humbeck, L.; Skalic, M. Multi-Task ADME/PK Prediction at Industrial Scale: Leveraging Large and Diverse Experimental Datasets. Mol. Inform. 2024, 43, e202400079. [Google Scholar] [CrossRef] [PubMed]
- Mahar Doan, K.M.; Humphreys, J.E.; Webster, L.O.; Wring, S.A.; Shampine, L.J.; Serabjit-Singh, C.J.; Adkison, K.K.; Polli, J.W. Passive Permeability and P-Glycoprotein-Mediated Efflux Differentiate Central Nervous System (CNS) and Non-CNS Marketed Drugs. J. Pharmacol. Exp. Ther. 2002, 303, 1029–1037. [Google Scholar] [CrossRef] [PubMed]
- Adenot, M.; Lahana, R. Blood-Brain Barrier Permeation Models: Discriminating between Potential CNS and Non-CNS Drugs Including P-Glycoprotein Substrates. J. Chem. Inf. Comput. Sci. 2004, 44, 239–248. [Google Scholar] [CrossRef] [PubMed]
- Leeson, P.D.; Davis, A.M. Time-Related Differences in the Physical Property Profiles of Oral Drugs. J. Med. Chem. 2004, 47, 6338–6348. [Google Scholar] [CrossRef]
- WHO Collaborating Centre for Drug Statistics Methodology, ATC Classification Index with DDDs, 2024. Oslo, Norway. Available online: https://www.who.int/tools/atc-ddd-toolkit/atc-classification (accessed on 8 November 2024).
- Landrum, G.; Tosco, P.; Kelley, B.; Rodriguez, R.; Cosgrove, D.; Vianello, R.; Sriniker; Gedeck, P.; Jones, G.; NadineSchneider; et al. Rdkit/Rdkit: 2024_09_2 (Q3 2024) Release 2024. Available online: https://www.rdkit.org (accessed on 8 November 2024).
- Sorkun, M.C.; Khetan, A.; Er, S. AqSolDB, a Curated Reference Set of Aqueous Solubility and 2D Descriptors for a Diverse Set of Compounds. Sci. Data 2019, 6, 143. [Google Scholar] [CrossRef] [PubMed]
- Tetko, I.V.; Gasteiger, J.; Todeschini, R.; Mauri, A.; Livingstone, D.; Ertl, P.; Palyulin, V.A.; Radchenko, E.V.; Zefirov, N.S.; Makarenko, A.S.; et al. Virtual Computational Chemistry Laboratory—Design and Description. J. Comput.-Aided Mol. Des. 2005, 19, 453–463. [Google Scholar] [CrossRef] [PubMed]
- Delaney, J.S. ESOL: Estimating Aqueous Solubility Directly from Molecular Structure. J. Chem. Inf. Comput. Sci. 2004, 44, 1000–1005. [Google Scholar] [CrossRef] [PubMed]
- Huuskonen, J. Estimation of Aqueous Solubility for a Diverse Set of Organic Compounds Based on Molecular Topology. J. Chem. Inf. Comput. Sci. 2000, 40, 773–777. [Google Scholar] [CrossRef] [PubMed]
- Wang, J.; Krudy, G.; Hou, T.; Zhang, W.; Holland, G.; Xu, X. Development of Reliable Aqueous Solubility Models and Their Application in Druglike Analysis. J. Chem. Inf. Model. 2007, 47, 1395–1404. [Google Scholar] [CrossRef]
- Hou, T.J.; Xia, K.; Zhang, W.; Xu, X.J. ADME Evaluation in Drug Discovery. 4. Prediction of Aqueous Solubility Based on Atom Contribution Approach. J. Chem. Inf. Comput. Sci. 2004, 44, 266–275. [Google Scholar] [CrossRef]
- Xiong, G.; Wu, Z.; Yi, J.; Fu, L.; Yang, Z.; Hsieh, C.; Yin, M.; Zeng, X.; Wu, C.; Lu, A.; et al. ADMETlab 2.0: An Integrated Online Platform for Accurate and Comprehensive Predictions of ADMET Properties. Nucleic Acids Res. 2021, 49, W5–W14. [Google Scholar] [CrossRef]
- Ingle, B.L.; Veber, B.C.; Nichols, J.W.; Tornero-Velez, R. Informing the Human Plasma Protein Binding of Environmental Chemicals by Machine Learning in the Pharmaceutical Space: Applicability Domain and Limits of Predictability. J. Chem. Inf. Model. 2016, 56, 2243–2252. [Google Scholar] [CrossRef] [PubMed]
- Over, B.; Matsson, P.; Tyrchan, C.; Artursson, P.; Doak, B.C.; Foley, M.A.; Hilgendorf, C.; Johnston, S.E.; Lee, M.D.; Lewis, R.J.; et al. Structural and Conformational Determinants of Macrocycle Cell Permeability. Nat. Chem. Biol. 2016, 12, 1065–1074. [Google Scholar] [CrossRef] [PubMed]
- Boobier, S.; Osbourn, A.; Mitchell, J.B.O. Can Human Experts Predict Solubility Better than Computers? J. Cheminform. 2017, 9, 63. [Google Scholar] [CrossRef]
- Cui, Q.; Lu, S.; Ni, B.; Zeng, X.; Tan, Y.; Chen, Y.D.; Zhao, H. Improved Prediction of Aqueous Solubility of Novel Compounds by Going Deeper with Deep Learning. Front. Oncol. 2020, 10, 121. [Google Scholar] [CrossRef] [PubMed]
- Llinas, A.; Oprisiu, I.; Avdeef, A. Findings of the Second Challenge to Predict Aqueous Solubility. J. Chem. Inf. Model. 2020, 60, 4791–4803. [Google Scholar] [CrossRef]
- Lovrić, M.; Pavlović, K.; Žuvela, P.; Spataru, A.; Lučić, B.; Kern, R.; Wong, M.W. Machine Learning in Prediction of Intrinsic Aqueous Solubility of Drug-like Compounds: Generalization, Complexity, or Predictive Ability? J. Chemom. 2021, 35, e3349. [Google Scholar] [CrossRef]
- Sander, T.; Freyss, J.; von Korff, M.; Rufener, C. DataWarrior: An Open-Source Program For Chemistry Aware Data Visualization And Analysis. J. Chem. Inf. Model. 2015, 55, 460–473. [Google Scholar] [CrossRef]
- Gurbych, O.; Pavliuk, P.; Krasnienkov, D.; Liashuk, O.; Melnykov, K.; Grygorenko, O. Filling the Gap in LogP and pK_a Evaluation for Saturated Fluorine-Containing Derivatives with Machine Learning. ChemRxiv 2024. [Google Scholar] [CrossRef]
- Yu, H.; Kühne, R.; Ebert, R.-U.; Schüürmann, G. Comparative Analysis of QSAR Models for Predicting pKa of Organic Oxygen Acids and Nitrogen Bases from Molecular Structure. J. Chem. Inf. Model. 2010, 50, 1949–1960. [Google Scholar] [CrossRef]
- Baltruschat, M.; Czodrowski, P. Machine Learning Meets pKa—Datasets 2020. Chem. Inf. Sci. 2020, 9, 113. [Google Scholar]
- Pihan, E.; Colliandre, L.; Guichou, J.-F.; Douguet, D. E-Drug3D: 3D Structure Collections Dedicated to Drug Repurposing and Fragment-Based Drug Design. Bioinformatics 2012, 28, 1540–1541. [Google Scholar] [CrossRef]
- Li, Q.; Ma, S.; Zhang, X.; Zhai, Z.; Zhou, L.; Tao, H.; Wang, Y.; Pan, J. DDPD 1.0: A Manually Curated and Standardized Database of Digital Properties of Approved Drugs for Drug-Likeness Evaluation and Drug Development. Database 2022, 2022, baab083. [Google Scholar] [CrossRef] [PubMed]
- Rath, M.; Wellnitz, J.; Martin, H.-J.; Melo-Filho, C.; Hochuli, J.E.; Silva, G.M.; Beasley, J.-M.; Travis, M.; Sessions, Z.L.; Popov, K.I.; et al. Pharmacokinetics Profiler (PhaKinPro): Model Development, Validation, and Implementation as a Web Tool for Triaging Compounds with Undesired Pharmacokinetics Profiles. J. Med. Chem. 2024, 67, 6508–6518. [Google Scholar] [CrossRef]
- Yan, A.; Wang, Z.; Cai, Z. Prediction of Human Intestinal Absorption by GA Feature Selection and Support Vector Machine Regression. Int. J. Mol. Sci. 2008, 9, 1961–1976. [Google Scholar] [CrossRef]
- QSAR and Molecular Modelling Department, Institute of Biophysics and Biomedical Engineering, Bulgarian Academy of Sciences, Sofia, Bulgaria. Human Intestinal Absorption and Bioavalability Datasets 2011; Bulgarian Academy of Sciences: Sofia, Bulgaria, 2011. [Google Scholar]
- Chen, C.; Lee, M.-H.; Weng, C.-F.; Leong, M.K. Theoretical Prediction of the Complex P-Glycoprotein Substrate Efflux Based on the Novel Hierarchical Support Vector Regression Scheme. Molecules 2018, 23, 1820. [Google Scholar] [CrossRef] [PubMed]
- Esposito, C.; Wang, S.; Lange, U.E.W.; Oellien, F.; Riniker, S. Combining Machine Learning and Molecular Dynamics to Predict P-Glycoprotein Substrates. J. Chem. Inf. Model. 2020, 60, 4730–4749. [Google Scholar] [CrossRef] [PubMed]
- Karelson, M.; Dobchev, D.; Tamm, T.; Tulp, I.; Jänes, J.; Tämm, K.; Lomaka, A.; Savchenko, D.; Karelson, G. Correlation of Blood-Brain Penetration and Human Serum Albumin Binding with Theoretical Descriptors. ARKIVOC 2008, 2008, 38–60. [Google Scholar] [CrossRef]
- Muehlbacher, M.; Spitzer, G.M.; Liedl, K.R.; Kornhuber, J. Qualitative Prediction of Blood–Brain Barrier Permeability on a Large and Refined Dataset. J. Comput.-Aided Mol. Des. 2011, 25, 1095–1106. [Google Scholar] [CrossRef] [PubMed]
- Radchenko, E.V.; Dyabina, A.S.; Palyulin, V.A. Towards Deep Neural Network Models for the Prediction of the Blood–Brain Barrier Permeability for Diverse Organic Compounds. Molecules 2020, 25, 5901. [Google Scholar] [CrossRef] [PubMed]
- Hou, T.J.; Xu, X.J. ADME Evaluation in Drug Discovery. 3. Modeling Blood-Brain Barrier Partitioning Using Simple Molecular Descriptors. J. Chem. Inf. Comput. Sci. 2003, 43, 2137–2152. [Google Scholar] [CrossRef]
- Vilar, S.; Chakrabarti, M.; Costanzi, S. Prediction of Passive Blood-Brain Partitioning: Straightforward and Effective Classification Models Based on in Silico Derived Physicochemical Descriptors. J. Mol. Graph. Model. 2010, 28, 899–903. [Google Scholar] [CrossRef]
- Votano, J.R.; Parham, M.; Hall, L.M.; Hall, L.H.; Kier, L.B.; Oloff, S.; Tropsha, A. QSAR Modeling of Human Serum Protein Binding with Several Modeling Techniques Utilizing Structure–Information Representation. J. Med. Chem. 2006, 49, 7169–7181. [Google Scholar] [CrossRef] [PubMed]
- Zhu, X.-W.; Sedykh, A.; Zhu, H.; Liu, S.-S.; Tropsha, A. The Use of Pseudo-Equilibrium Constant Affords Improved QSAR Models of Human Plasma Protein Binding. Pharm. Res. 2013, 30, 1790–1798. [Google Scholar] [CrossRef] [PubMed]
- Watanabe, R.; Esaki, T.; Kawashima, H.; Natsume-Kitatani, Y.; Nagao, C.; Ohashi, R.; Mizuguchi, K. Predicting Fraction Unbound in Human Plasma from Chemical Structure: Improved Accuracy in the Low Value Ranges. Mol. Pharm. 2018, 15, 5302–5311. [Google Scholar] [CrossRef]
- Varma, M.V.S.; Obach, R.S.; Rotter, C.; Miller, H.R.; Chang, G.; Steyn, S.J.; El-Kattan, A.; Troutman, M.D. Physicochemical Space for Optimum Oral Bioavailability: Contribution of Human Intestinal Absorption and First-Pass Elimination. J. Med. Chem. 2010, 53, 1098–1108. [Google Scholar] [CrossRef] [PubMed]
- Liu, W.; Luo, C.; Wang, H.; Meng, F. A Benchmarking Dataset with 2440 Organic Molecules for Volume Distribution at Steady State 2022. arXiv 2022, arXiv:2211.05661. [Google Scholar]
- Iwata, H.; Matsuo, T.; Mamada, H.; Motomura, T.; Matsushita, M.; Fujiwara, T.; Maeda, K.; Handa, K. Predicting Total Drug Clearance and Volumes of Distribution Using the Machine Learning-Mediated Multimodal Method through the Imputation of Various Nonclinical Data. J. Chem. Inf. Model. 2022, 62, 4057–4065. [Google Scholar] [CrossRef]
- Petersson, C.; Papasouliotis, O.; Lecomte, M.; Badolo, L.; Dolgos, H. Prediction of Volume of Distribution in Humans: Analysis of Eight Methods and Their Application in Drug Discovery. Xenobiotica 2020, 50, 270–279. [Google Scholar] [CrossRef] [PubMed]
- Varma, M.V.S.; Feng, B.; Obach, R.S.; Troutman, M.D.; Chupka, J.; Miller, H.R.; El-Kattan, A. Physicochemical Determinants of Human Renal Clearance. J. Med. Chem. 2009, 52, 4844–4852. [Google Scholar] [CrossRef]
- Lombardo, F.; Berellini, G.; Obach, R.S. Trend Analysis of a Database of Intravenous Pharmacokinetic Parameters in Humans for 1352 Drug Compounds. Drug Metab. Dispos. 2018, 46, 1466–1477. [Google Scholar] [CrossRef] [PubMed]
- Gombar, V.K.; Hall, S.D. Quantitative Structure–Activity Relationship Models of Clinical Pharmacokinetics: Clearance and Volume of Distribution. J. Chem. Inf. Model. 2013, 53, 948–957. [Google Scholar] [CrossRef] [PubMed]
- Wenlock, M.; Tomkinson, N. Experimental In Vitro DMPK and Physicochemical Data on a Set of Publicly Disclosed Compounds. Available online: https://www.ebi.ac.uk/chembl/explore/document/CHEMBL3301361 (accessed on 27 February 2025).
- Fan, J.; Shi, S.; Xiang, H.; Fu, L.; Duan, Y.; Cao, D.; Lu, H. Predicting Elimination of Small-Molecule Drug Half-Life in Pharmacokinetics Using Ensemble and Consensus Machine Learning Methods. J. Chem. Inf. Model. 2024, 64, 3080–3092. [Google Scholar] [CrossRef] [PubMed]
- Tossou, P.; Wognum, C.; Craig, M.; Mary, H.; Noutahi, E. Real-world molecular out-of-distribution: Specification and investigation. J. Chem. Inf. Model. 2024, 64, 697–711. [Google Scholar] [CrossRef]
- Bemis, G.W.; Murcko, M.A. The Properties of Known Drugs. 1. Molecular Frameworks. J. Med. Chem. 1996, 39, 2887–2893. [Google Scholar] [CrossRef]
- Huang, K.; Fu, T.; Gao, W.; Zhao, Y.; Roohani, Y.; Leskovec, J.; Coley, C.W.; Xiao, C.; Sun, J.; Zitnik, M. Therapeutics Data Commons: Machine Learning Datasets and Tasks for Drug Discovery and Development 2021. arXiv 2021, arXiv:2102.09548. [Google Scholar]
- Yang, K.; Swanson, K.; Jin, W.; Coley, C.; Eiden, P.; Gao, H.; Guzman-Perez, A.; Hopper, T.; Kelley, B.; Mathea, M.; et al. Analyzing Learned Molecular Representations for Property Prediction. J. Chem. Inf. Model. 2019, 59, 3370–3388. [Google Scholar] [CrossRef]
- Wu, Z.; Ramsundar, B.; Feinberg, E.N.; Gomes, J.; Geniesse, C.; Pappu, A.S.; Leswing, K.; Pande, V. MoleculeNet: A Benchmark for Molecular Machine Learning. Chem. Sci. 2018, 9, 513–530. [Google Scholar] [CrossRef]
- Rainio, O.; Teuho, J.; Klén, R. Evaluation Metrics and Statistical Tests for Machine Learning. Sci. Rep. 2024, 14, 6086. [Google Scholar] [CrossRef] [PubMed]
- Ali, M. PyCaret: An Open Source, Low-Code Machine Learning Library in Python. 2020. Available online: https://pycaret.org (accessed on 27 February 2025).
- Wang, C.; Wu, Q.; Weimer, M.; Zhu, E. FLAML: A Fast and Lightweight AutoML Library 2021. arXiv 2019, arXiv:1911.04706. [Google Scholar]
- Ajay, A.; Walters, W.P.; Murcko, M.A. Can we learn to distinguish between “drug-like” and “nondrug-like” molecules? J. Med. Chem. 1998, 41, 3314–3324. [Google Scholar] [CrossRef] [PubMed]
- Sadowski, J.; Kubinyi, H. A scoring scheme for discriminating between drugs and non-drugs. J. Med. Chem. 1998, 41, 3325–3329. [Google Scholar] [CrossRef]
- Manallack, D.T. The pKa distribution of drugs: Application to drug discovery. Perspect. Med. Chem. 2007, 1, 1177391X0700100003. [Google Scholar] [CrossRef]
- Zhang, F.; Xue, J.; Shao, J.; Jia, L. Compilation of 222 Drugs’ Plasma Protein Binding Data and Guidance for Study Designs. Drug Discov. Today 2012, 17, 475–485. [Google Scholar] [CrossRef]
- Fu, L.; Shi, S.; Yi, J.; Wang, N.; He, Y.; Wu, Z.; Peng, J.; Deng, Y.; Wang, W.; Wu, C.; et al. ADMETlab 3.0: An Updated Comprehensive Online ADMET Prediction Platform Enhanced with Broader Coverage, Improved Performance, API Functionality and Decision Support. Nucleic Acids Res. 2024, 52, W422–W431. [Google Scholar] [CrossRef]
- Méndez-Lucio, O.; Nicolaou, C.A.; Earnshaw, B. MolE: A foundation model for molecular graphs using disentangled attention. Nat. Commun. 2024, 15, 9431. [Google Scholar] [CrossRef] [PubMed]
- Gu, Y.; Yu, Z.; Wang, Y.; Chen, L.; Lou, C.; Yang, C.; Li, W.; Liu, G.; Tang, Y. admetSAR3.0: A Comprehensive Platform for Exploration, Prediction and Optimization of Chemical ADMET Properties. Nucleic Acids Res. 2024, 52, W432–W438. [Google Scholar] [CrossRef] [PubMed]
- Myung, Y.; de Sá, A.G.C.; Ascher, D.B. Deep-PK: Deep Learning for Small Molecule Pharmacokinetic and Toxicity Prediction. Nucleic Acids Res. 2024, 52, W469–W475. [Google Scholar] [CrossRef]
- Swanson, K.; Walther, P.; Leitz, J.; Mukherjee, S.; Wu, J.C.; Shivnaraine, R.V.; Zou, J. ADMET-AI: A Machine Learning ADMET Platform for Evaluation of Large-Scale Chemical Libraries. Bioinformatics 2024, 40, btae416. [Google Scholar] [CrossRef]
- Daina, A.; Michielin, O.; Zoete, V. SwissADME: A Free Web Tool to Evaluate Pharmacokinetics, Drug-Likeness and Medicinal Chemistry Friendliness of Small Molecules. Sci. Rep. 2017, 7, 42717. [Google Scholar] [CrossRef] [PubMed]
- Kolarič, A.; Kokot, M.; Hrast, M.; Weiss, M.; Zdovc, I.; Trontelj, J.; Žakelj, S.; Anderluh, M.; Minovski, N. A Fine-Tuned Lipophilicity/Hydrophilicity Ratio Governs Antibacterial Potency and Selectivity of Bifurcated Halogen Bond-Forming NBTIs. Antibiotics 2021, 10, 862. [Google Scholar] [CrossRef] [PubMed]
- Bisacchi, G.S.; Manchester, J.I. A New-Class Antibacterial—Almost. Lessons in Drug Discovery and Development: A Critical Analysis of More than 50 Years of Effort toward ATPase Inhibitors of DNA Gyrase and Topoisomerase IV. ACS Infect. Dis. 2015, 1, 4–41. [Google Scholar] [CrossRef]
- Alekseev, V.G. Acid–Base Properties of Penicillins and Cephalosporins (a Review). Pharm. Chem. J. 2010, 44, 14–24. [Google Scholar] [CrossRef]
- Taylor, D.N. Poorly Absorbed Antibiotics for the Treatment of Traveler’ Diarrhea. Clin. Infect. Dis. 2005, 41, S564–S570. [Google Scholar] [CrossRef][Green Version]
- Scarpignato, C.; Pelosini, I. Rifaximin, a Poorly Absorbed Antibiotic: Pharmacology and Clinical Potential. Chemotherapy 2005, 51, 36–66. [Google Scholar] [CrossRef] [PubMed]
- MacGregor, R.R.; Graziani, A.L. Oral Administration of Antibiotics: A Rational Alternative to the Parenteral Route. Clin. Infect. Dis. 1997, 24, 457–467. [Google Scholar] [CrossRef] [PubMed]
- Patwardhan, G.; Gupta, V.; Huang, J.; Gu, X.; Liu, Y.-Y. Direct Assessment of P-Glycoprotein Efflux to Determine Tumor Response to Chemotherapy. Biochem. Pharmacol. 2010, 80, 72–79. [Google Scholar] [CrossRef]
- Tsuji, A. P-Glycoprotein-Mediated Efflux Transport of Anticancer Drugs at the Blood-Brain Barrier. Ther. Drug Monit. 1998, 20, 588–590. [Google Scholar] [CrossRef] [PubMed]
- van Veen, H.W.; Callaghan, R.; Soceneantu, L.; Sardini, A.; Konings, W.N.; Higgins, C.F. A Bacterial Antibiotic-Resistance Gene That Complements the Human Multidrug-Resistance P-Glycoprotein Gene. Nature 1998, 391, 291–295. [Google Scholar] [CrossRef] [PubMed]
- Leitner, I.; Nemeth, J.; Feurstein, T.; Abrahim, A.; Matzneller, P.; Lagler, H.; Erker, T.; Langer, O.; Zeitlinger, M. The Third-Generation P-Glycoprotein Inhibitor Tariquidar May Overcome Bacterial Multidrug Resistance by Increasing Intracellular Drug Concentration. J. Antimicrob. Chemother. 2011, 66, 834–839. [Google Scholar] [CrossRef] [PubMed]
- Gibaldi, M.; McNamara, P.J. Apparent Volumes of Distribution and Drug Binding to Plasma Proteins and Tissues. Eur. J. Clin. Pharmacol. 1978, 13, 373–378. [Google Scholar] [CrossRef] [PubMed]
- Byers, J.P.; Sarver, J.G. Chapter 10—Pharmacokinetic Modeling. In Pharmacology; Hacker, M., Messer, W., Bachmann, K., Eds.; Academic Press: San Diego, CA, USA, 2009; pp. 201–277. ISBN 978-0-12-369521-5. [Google Scholar]
- Deb, P.K.; Al-Attraqchi, O.; Prasad, M.R.; Tekade, R.K. Chapter 11—Protein and Tissue Binding: Implication on Pharmacokinetic Parameters. In Dosage Form Design Considerations; Tekade, R.K., Ed.; Advances in Pharmaceutical Product Development and Research; Academic Press: Cambridge, MA, USA, 2018; pp. 371–399. ISBN 978-0-12-814423-7. [Google Scholar]
- Guo, Y.; Remaily, B.C.; Thomas, J.; Kim, K.; Kulp, S.K.; Mace, T.A.; Ganesan, L.P.; Owen, D.H.; Coss, C.C.; Phelps, M.A. Antibody Drug Clearance: An Underexplored Marker of Outcomes with Checkpoint Inhibitors. Clin. Cancer Res. 2024, 30, 942–958. [Google Scholar] [CrossRef] [PubMed]
- Zhang, S.; Xing, M.; Li, B. Recent Advances in Musculoskeletal Local Drug Delivery. Acta Biomater. 2019, 93, 135–151. [Google Scholar] [CrossRef] [PubMed]
- Vorrius, B.; Qiao, Z.; Ge, J.; Chen, Q. Smart Strategies to Overcome Drug Delivery Challenges in the Musculoskeletal System. Pharmaceuticals 2023, 16, 967. [Google Scholar] [CrossRef]
- Geurts, P.; Ernst, D.; Wehenkel, L. Extremely randomized trees. Mach. Learn. 2006, 63, 3–42. [Google Scholar] [CrossRef]
- González, S.; García, S.; del Ser, J.; Rokach, L.; Herrera, F. A practical tutorial on bagging and boosting based ensembles for machine learning: Algorithms, software tools, performance study, practical perspectives and opportunities. Inf. Fusion 2020, 64, 205–237. [Google Scholar] [CrossRef]





| ATC 1st Level | Definition | Number of Small-Molecule Drugs |
|---|---|---|
| N | Nervous System | 452 |
| C | Cardiovascular System | 323 |
| J | Anti-Infectives for Systemic Use | 298 |
| A | Alimentary Tract and Metabolism | 284 |
| L | Antineoplastic and Immunomodulating Agents | 268 |
| D | Dermatologicals | 217 |
| R | Respiratory System | 191 |
| S | Sensory Organs | 164 |
| G | Genitourinary System and Sex Hormones | 144 |
| M | Musculo-Skeletal System | 130 |
| P | Antiparasitic Products, Insecticides and Repellents | 89 |
| B | Blood and Blood Forming Organs | 87 |
| V | Various | 77 |
| H | Systemic Hormonal Preparations, Excl. Sex Hormones and Insulins | 37 |
| Property | Definition | Number of Drugs | Number of Non-Drugs | Sources |
|---|---|---|---|---|
| MW | Total mass of a compound’s atoms, expressed in Daltons (g/mol) | - | - | Computed with RDKit v2022.09.5 [26] |
| PSA | Total surface area of polar atoms, typically oxygen and nitrogen, including attached hydrogens | - | - | Computed with RDKit v2022.09.5 [26] |
| HBA | Number of atoms capable of accepting hydrogen bonds | - | - | Computed with RDKit v2022.09.5 [26] |
| HBD | Number of atoms capable of donating hydrogen bonds | - | - | Computed with RDKit v2022.09.5 [26] |
| ROTB | Number of single, non-ring bonds which allow for free rotation around themselves | - | - | Computed with RDKit v2022.09.5 [26] |
| AlogP | Logarithmic (base 10) transformation of the partition coefficient between octanol and water | - | - | Computed with RDKit v2022.09.5 [26] |
| logS | Logarithmic (base 10) transformation of solubility (mol/L) | 1256 | 17,001 | [27,28,29,30,31,32,33,34,35,36,37,38,39] |
| pKa | Logarithmic measure of the acid–base dissociation strength | 406 | 9234 | [40,41,42,43] |
| Property | Definition | Number of Drugs | Number of Non-Drugs | Sources |
|---|---|---|---|---|
| Absorption | ||||
| HIA | Percentage of a compound absorbed in the human intestine | 512 | 590 | [47,48] |
| logER | Logarithmic (base 10) of the efflux ratio determined in Caco-2 cell permeability assays | 93 | 2644 | [22,35,49,50] |
| Distribution | ||||
| logBB | Logarithmic (base 10) transformation of the brain-to-blood concentration ratio | 141 | 439 | [51,52,53,54,55] |
| PPB | Percentage of a compound bound to plasma proteins in the bloodstream | 1259 | 3565 | [34,44,45,46,56,57,58,59] |
| logVDss | Logarithmic (base 10) transformation of the theoretical volume needed to contain the total amount of a compound at plasma concentration in the steady state (L/kg) | 784 | 1604 | [59,60,61,62] |
| Excretion | ||||
| logCL | Logarithmic (base 10) transformation of the total clearance rate (mL/min/kg) | 755 | 1512 | [59,61,63,64,65,66] |
| logHL | Logarithmic (base 10) transformation of half-life (h) | 202 | 3266 | [67] |
| ATC Class | Physicochemical Properties | ADME Properties | Global | |||||||
|---|---|---|---|---|---|---|---|---|---|---|
| logS | pKa | HIA | logBB | logCL | logER | logHL | logVDss | PPB | ||
| A | 57.75 | 15.49 | 19.72 | 2.46 | 28.52 | 3.52 | 6.69 | 28.17 | 43.31 | 22.85 |
| B | 49.43 | 19.54 | 13.79 | 1.15 | 21.84 | 3.45 | 5.75 | 28.74 | 48.28 | 21.33 |
| C | 65.02 | 22.29 | 34.06 | 5.88 | 39.94 | 6.50 | 9.29 | 42.41 | 60.37 | 31.75 |
| D | 63.13 | 20.28 | 16.13 | 5.07 | 16.59 | 0.92 | 5.07 | 18.43 | 39.17 | 20.53 |
| G | 52.78 | 15.28 | 19.44 | 3.47 | 29.17 | 1.39 | 1.39 | 31.25 | 46.53 | 22.30 |
| H | 48.65 | 2.70 | 21.62 | 0.00 | 27.03 | 8.11 | 10.81 | 29.73 | 48.65 | 21.92 |
| J | 48.32 | 10.40 | 18.79 | 3.02 | 46.31 | 3.69 | 23.49 | 48.99 | 61.07 | 29.34 |
| L | 23.51 | 5.60 | 8.96 | 2.61 | 30.22 | 2.99 | 4.10 | 29.85 | 65.30 | 19.24 |
| M | 66.92 | 31.54 | 34.62 | 3.08 | 35.38 | 0.00 | 10.77 | 35.38 | 58.46 | 30.68 |
| N | 65.04 | 27.88 | 33.63 | 17.92 | 41.37 | 5.53 | 7.96 | 43.36 | 62.83 | 33.95 |
| P | 70.79 | 6.74 | 16.85 | 1.12 | 16.85 | 6.74 | 4.49 | 16.85 | 48.31 | 20.97 |
| R | 60.21 | 23.04 | 23.04 | 8.38 | 25.13 | 4.71 | 5.76 | 24.61 | 43.46 | 24.26 |
| S | 67.68 | 22.56 | 26.83 | 7.93 | 30.49 | 4.27 | 13.41 | 35.37 | 55.49 | 29.34 |
| V | 58.44 | 16.88 | 18.18 | 5.19 | 28.57 | 2.60 | 9.09 | 29.87 | 40.26 | 23.23 |
| Global | 53.06 | 17.15 | 21.63 | 5.96 | 31.90 | 3.93 | 8.53 | 33.12 | 53.19 | |
| Training and Validation (85%) | Evaluation (15%) | |||||
|---|---|---|---|---|---|---|
| Property | 5-Fold Cross-Validation | Scaffold-Based Set | Least-Similar Set | |||
| MAE | RMSE | MAE | RMSE | MAE | RMSE | |
| logS | 0.55 ± 0.01 | 0.83 ± 0.03 | 0.73 | 1.07 | 1.42 | 1.94 |
| pKa | 1.03 ± 0.03 | 1.68 ± 0.08 | 1.16 | 1.71 | 1.36 | 1.80 |
| Training and Validation (85%) | Evaluation (15%) | |||||
|---|---|---|---|---|---|---|
| Property | 5-Fold Cross-Validation | Scaffold-Based | Least-Similar | |||
| MAE | RMSE | MAE | RMSE | MAE | RMSE | |
| HIA | 9.8 ± 0.4 | 17.7± 1.2 | 14.6 | 20.1 | 24.1 | 30.0 |
| logER | 0.25 ± 0.01 | 0.40 ± 0.02 | 0.37 | 0.54 | 0.48 | 0.61 |
| logBB | 0.19 ± 0.03 | 0.32 ± 0.04 | 0.37 | 0.46 | 0.44 | 0.56 |
| PPB | 10.7 ± 0.6 | 16.9 ± 0.9 | 15.4 | 20.7 | 16.2 | 22.5 |
| logVDss | 0.10 ± 0.01 | 0.23 ± 0.02 | 0.30 | 0.42 | 0.42 | 0.55 |
| logCL | 0.56 ± 0.01 | 0.82 ± 0.02 | 0.69 | 0.88 | 0.85 | 1.02 |
| logHL | 0.16 ± 0.01 | 0.20 ± 0.01 | 0.20 | 0.26 | 0.20 | 0.26 |
Disclaimer/Publisher’s Note: The statements, opinions and data contained in all publications are solely those of the individual author(s) and contributor(s) and not of MDPI and/or the editor(s). MDPI and/or the editor(s) disclaim responsibility for any injury to people or property resulting from any ideas, methods, instructions or products referred to in the content. |
© 2025 by the authors. Licensee MDPI, Basel, Switzerland. This article is an open access article distributed under the terms and conditions of the Creative Commons Attribution (CC BY) license (https://creativecommons.org/licenses/by/4.0/).
Share and Cite
Menestrina, L.; Parrondo-Pizarro, R.; Gómez, I.; Garcia-Serna, R.; Boyer, S.; Mestres, J. Refined ADME Profiles for ATC Drug Classes. Pharmaceutics 2025, 17, 308. https://doi.org/10.3390/pharmaceutics17030308
Menestrina L, Parrondo-Pizarro R, Gómez I, Garcia-Serna R, Boyer S, Mestres J. Refined ADME Profiles for ATC Drug Classes. Pharmaceutics. 2025; 17(3):308. https://doi.org/10.3390/pharmaceutics17030308
Chicago/Turabian StyleMenestrina, Luca, Raquel Parrondo-Pizarro, Ismael Gómez, Ricard Garcia-Serna, Scott Boyer, and Jordi Mestres. 2025. "Refined ADME Profiles for ATC Drug Classes" Pharmaceutics 17, no. 3: 308. https://doi.org/10.3390/pharmaceutics17030308
APA StyleMenestrina, L., Parrondo-Pizarro, R., Gómez, I., Garcia-Serna, R., Boyer, S., & Mestres, J. (2025). Refined ADME Profiles for ATC Drug Classes. Pharmaceutics, 17(3), 308. https://doi.org/10.3390/pharmaceutics17030308

