PLGA Nanoparticles Containing Natural Flavanones for Ocular Inflammation
Abstract
:1. Introduction
2. Materials and Methods
2.1. Chemicals and Reagents
2.2. Plant Extraction
2.3. Chromatographic Operating Conditions
2.4. Analytical Method Validation
2.4.1. Standard Solutions for Calibration Curves
2.4.2. Linearity
2.4.3. Limit of Detection and Limit of Quantification
2.4.4. Instrumental Repeatability
2.4.5. Accuracy and Precision
2.5. In Silico Analysis
2.6. Preparation of Flavanone Nanoparticles (NP I and NP II)
2.7. Morphological Studies of Nanoparticles (SEM)
2.8. Stability Study of Nanoparticles
2.9. Osmolality
2.10. Transparency
2.11. Ocular Irritation Study: Hen’s Egg Test-Chorioallantoic Membrane (HET-CAM)
2.12. Biological Tissues
2.13. In Vitro Analysis: Release
2.14. Ex Vivo Analysis: Ocular Permeation
2.15. Histology Evaluation
2.16. Cell Viability Assays
2.17. In Vitro Evaluation of the NP Anti-Inflammatory Effects in LPS-Treated HCE-2 Cells
3. Results
3.1. Analytical Validation
3.2. In Silico Analysis
3.3. Nanoparticles Morphology
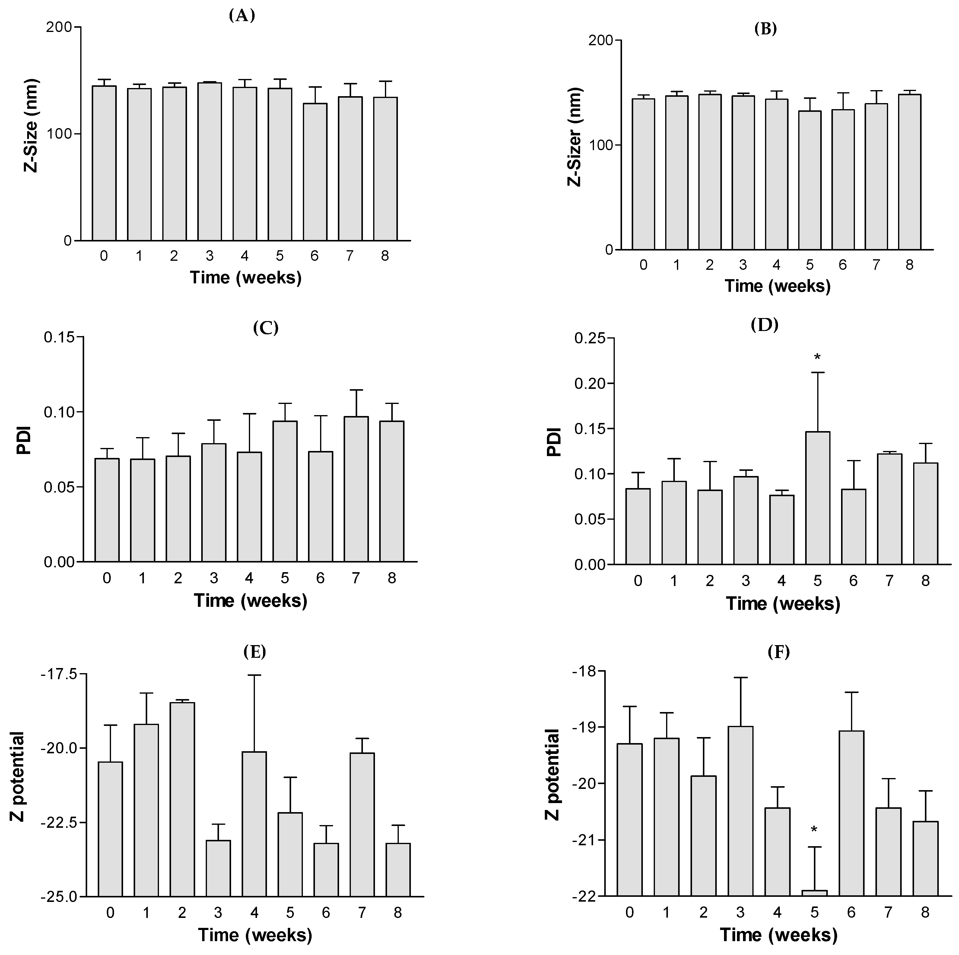
3.4. Nanoparticle Stability
3.5. Osmolality and Transparency of Nanoparticles
3.6. Ocular Irritation Study: HET-CAM
3.7. In Vitro Analysis: Release
3.8. Ex Vivo Analysis
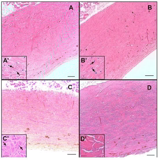
3.9. Histology Evaluation
3.10. Cytotoxicity Assays: Cell Culture and Cell Viability Assays
3.11. In Vitro Anti-Inflammatory Analysis Determination of Pro-inflammatory Cytokines
4. Discussion
5. Conclusions
Author Contributions
Funding
Institutional Review Board Statement
Informed Consent Statement
Data Availability Statement
Acknowledgments
Conflicts of Interest
References
- Souto, E.B.; Doktorovova, S.; Gonzalez-Mira, E.; Egea, A.; Garcia, M.L. Feasibility of Lipid Nanoparticles for Ocular Delivery of Anti-Inflammatory Drugs Feasibility of Lipid Nanoparticles for Ocular Delivery of Anti-Inflammatory Drugs. Curr. Eye Res. 2010, 35, 537–552. [Google Scholar] [CrossRef] [PubMed]
- Beeken, L.J.; Ting, D.S.J.; Sidney, L.E. Potential of Mesenchymal Stem Cells as Topical Immunomodulatory Cell Therapies for Ocular Surface Inflammatory Disorders. Stem Cells Transl. Med. 2021, 10, 39–49. [Google Scholar] [CrossRef]
- Negin, S.; Mehdi, M. Besifloxacin-loaded Ocular Nanoemulsions: Design, Formulation and Efficacy Evaluation. Drug Deliv. Transl. Res. 2022, 12, 229–239. [Google Scholar] [CrossRef]
- Davinelli, S.; Ali, S.; Scapagnini, G.; Costagliola, C. Effects of Flavonoid Supplementation on Common Eye Disorders: A Systematic Review and Meta-Analysis of Clinical Trials. Front. Nutr. 2021, 8, 651441. [Google Scholar] [CrossRef]
- Akhter, M.H.; Ahmad, I.; Alshahrani, M.Y.; Al-Harbi, A.I.; Khalilullah, H.; Afzal, O.; Altamimi, A.S.A.; Najib Ullah, S.N.M.; Ojha, A.; Karim, S. Drug Delivery Challenges and Current Progress in Nanocarrier-Based Ocular Therapeutic System. Gels 2022, 8, 82. [Google Scholar] [CrossRef]
- Araújo, J.; Gonzalez, E.; Egea, M.A.; Garcia, M.L.; Souto, E.B. Nanomedicines for Ocular NSAIDs: Safety on Drug Delivery. Nanomedicine 2009, 5, 394–401. [Google Scholar] [CrossRef] [PubMed]
- Ibrahim, S.S.; Abd-Allah, H. Spanlastic Nanovesicles for Enhanced Ocular Delivery of Vanillic Acid: Design, in Vitro Characterization, and in Vivo Anti-Inflammatory Evaluation. Int. J. Pharm. 2022, 625, 122068. [Google Scholar] [CrossRef]
- Kutlehria, S.; Vhora, I.; Bagde, A.; Chowdhury, N.; Behl, G.; Patel, K.; Singh, M. Tacrolimus Loaded PEG-Cholecalciferol Based Micelles for Treatment of Ocular Inflammation. Pharm. Res. 2018, 35, 117. [Google Scholar] [CrossRef]
- Cetin, M. A Review on Ophthalmic Delivery Systems Containing Flavonoids for the Treatment of Eye Diseases. NanoEra 2021, 1, 1–13. [Google Scholar]
- Ninfali, P.; Antonelli, A.; Magnani, M.; Scarpa, E.S. Antiviral Properties of Flavonoids and Delivery Strategies. Nutrients 2020, 12, 2534. [Google Scholar] [CrossRef]
- Tutunchi, H.; Naeini, F.; Ostadrahimi, A.; Hosseinzadeh-Attar, M.J. Naringenin a Flavanone with Antiviral and Anti-inflammatory Effects: A Promising Treatment Strategy against COVID-19. Phytother. Res. 2020, 34, 3137–3147. [Google Scholar] [CrossRef] [PubMed]
- Yao, W.; Zhang, X.; Xu, F.; Cao, C.; Liu, T.; Xue, Y. The Therapeutic Effects of Naringenin on Bronchial Pneumonia in Children. Pharmacol. Res. Perspect. 2021, 9, e00825. [Google Scholar] [CrossRef] [PubMed]
- Islam, B.U.; Suhail, M.; Khan, M.K.; Zughaibi, T.A.; Alserihi, R.F.; Zaidi, S.K.; Tabrez, S. Polyphenols as Anticancer Agents: Toxicological Concern to Healthy Cells. Phytother. Res. 2021, 35, 6063–6079. [Google Scholar] [CrossRef] [PubMed]
- Santos, C.M.M.; Silva, A.M.S. The Antioxidant Activity of Prenylflavonoids. Molecules 2020, 25, 696. [Google Scholar] [CrossRef]
- Domínguez-Villegas, V.; Domínguez-Villegas, V.; García, M.L.; Calpena, A.; Clares-Naveros, B.; Garduño-Ramírez, M.L. Anti-Inflammatory, Antioxidant and Cytotoxicity Activities of Methanolic Extract and Prenylated Flavanones Isolated from Leaves of Eysehardtia platycarpa. Nat. Prod. Commun. 2013, 8, 177–180. [Google Scholar] [CrossRef]
- Sharma, R.K.; Yassin, A.E.B. Nanostructure-based Platforms-current Prospective in Ophthalmic Drug. Indian J. Ophthalmol. 2014, 62, 768–772. [Google Scholar] [CrossRef]
- Patel, P.B.; Shastri, D.H.; Shelat, P.K.; Shukla, A.K. Ophthalmic Drug Delivery System: Challenges and Approaches. Syst. Rev. Pharm. 2010, 1, 113–120. [Google Scholar] [CrossRef]
- Meng, T.; Kulkarni, V.; Simmers, R.; Brar, V.; Xu, Q. Therapeutic Implications of Nanomedicine for Ocular Drug Delivery. Drug Discov. Today 2019, 24, 1524–1538. [Google Scholar] [CrossRef]
- Bachu, R.D.; Chowdhury, P.; Al-Saedi, Z.H.F.; Karla, P.K.; Boddu, S.H.S. Ocular Drug Delivery Barriers—Role of Nanocarriers in the Treatment of Anterior Segment Ocular Diseases. Pharmaceutics 2018, 10, 28. [Google Scholar] [CrossRef]
- Zhang, J.; Jiao, J.; Niu, M.; Gao, X.; Zhang, G.; Yu, H.; Yang, X.; Liu, L. Ten Years of Knowledge of Nano-Carrier Based Drug Delivery Systems in Ophthalmology: Current Evidence, Challenges, and Future Prospective. Int. J. Nanomed. 2021, 16, 6497–6530. [Google Scholar] [CrossRef]
- Vaneev, A.; Tikhomirova, V.; Chesnokova, N.; Popova, E.; Beznos, O.; Kost, O.; Klyachko, N. Nanotechnology for Topical Drug Delivery to the Anterior Segment of the Eye. Int. J. Mol. Sci. 2021, 22, 12368. [Google Scholar] [CrossRef]
- Gómez-Segura, L.; Parra, A.; Calpena-Campmany, A.C.; Gimeno, Á.; de Aranda, I.G.; Boix-Montañes, A. Ex Vivo Permeation of Carprofen Vehiculated by PLGA Nanoparticles through Porcine Mucous Membranes and Ophthalmic Tissues. Nanomaterials 2020, 10, 355. [Google Scholar] [CrossRef]
- Domínguez-Villegas, V.; Clares-Naveros, B.; García-López, M.L.; Calpena-Campmany, A.C.; Bustos-Salgado, P.; Garduño, M.L. Development and Characterization of Two Nano-Structured Systems for Topical Application of Flavanones Isolated from Eysenhardtia platycarpa. Colloids Surf. B Biointerfaces 2014, 116, 183–192. [Google Scholar] [CrossRef] [PubMed]
- Narváez-Mastache, J.M.; Garduño-Ramírez, M.L.; Alvarez, L.; Delgado, G. Antihyperglycemic Activity and Chemical Constituents of Eysenhardtia platycarpa. J. Nat. Prod. 2006, 69, 1687–1691. [Google Scholar] [CrossRef] [PubMed]
- Molinspiration. Available online: https://www.molinspiration.com/ (accessed on 2 February 2023).
- PASS On-Line. Available online: http://way2drug.com/PassOnline (accessed on 2 February 2023).
- Andrade-Carrera, B.; Clares, B.; Noé, V.; Mallandrich, M.; Calpena, A.; García, M.; Garduño-Ramírez, M. Cytotoxic Evaluation of (2S)-5,7-Dihydroxy-6-Prenylflavanone Derivatives Loaded PLGA Nanoparticles against MiaPaCa-2 Cells. Molecules 2017, 22, 1553. [Google Scholar] [CrossRef]
- El Moussaoui, S.; Abo-Horan, I.; Halbaut, L.; Alonso, C.; Coderch, L.; Garduño-Ramírez, M.L.; Clares, B.; Soriano, J.L.; Calpena, A.C.; Fernández-Campos, F.; et al. Polymeric Nanoparticles and Chitosan Gel Loading Ketorolac Tromethamine to Alleviate Pain Associated with Condyloma Acuminata during the Pre- and Post-ablation. Pharmaceutics 2021, 13, 1784. [Google Scholar] [CrossRef] [PubMed]
- Pérez-González, N.; Rodríguez-Lagunas, M.J.; Calpena-Campmany, A.C.; Bozal-de Febrer, N.; Halbaut-Bellowa, L.; Mallandrich, M.; Clares-Naveros, B. Caspofungin-Loaded Formulations for Treating Ocular Infections Caused by Candida spp. Gels 2023, 9, 348. [Google Scholar] [CrossRef] [PubMed]
- Garrós, N.; Mallandrich, M.; Beirampour, N.; Mohammadi, R.; Domènech, Ò.; Rodríguez-Lagunas, M.J.; Clares, B.; Colom, H. Baricitinib Liposomes as a New Approach for the Treatment of Sjögren’s Syndrome. Pharmaceutics 2022, 14, 1895. [Google Scholar] [CrossRef]
- Amores, S.; Domenech, J.; Colom, H.; Calpena, A.C.; Clares, B.; Gimeno, Á.; Lauroba, J. An Improved Cryopreservation Method for Porcine Buccal Mucosa in Ex Vivo Drug Permeation Studies Using Franz Diffusion Cells. Eur. J. Pharm. Sci. 2014, 60, 49–54. [Google Scholar] [CrossRef]
- Mazet, R.; Yam, J.B.G.; Wouessidjewe, D.; Choisnard, L.; Annabelle, G. Recent Advances in the Design of Topical Ophthalmic Delivery Systems in the Treatment of Ocular Surface Inflammation and Their Biopharmaceutical Evaluation. Pharmaceutics 2020, 12, 570. [Google Scholar] [CrossRef]
- Gonzalez-Pizarro, R.; Parrotta, G.; Vera, R.; Sánchez-López, E.; Galindo, R.; Kjeldsen, F.; Badia, J.; Baldoma, L.; Espina, M.; García, M.L. Ocular Penetration of Fluorometholone-Loaded PEG-PLGA Nanoparticles Functionalized with Cell-Penetrating Peptides. Nanomedicine 2019, 14, 3089–3104. [Google Scholar] [CrossRef]
- Bustos-Salgado, P.; Andrade-Carrera, B.; Garduño-Ramírez, M.L.; Alvarado, H.; Calpena-Campmany, A. Quantification of One Prenylated Flavanone from Eysenhardtia platycarpa and Four Derivatives in Ex Vivo Human Skin Permeation Samples Applying a Validated HPLC Method. Biomolecules 2020, 10, 889. [Google Scholar] [CrossRef]
- Lalu, L.; Tambe, V.; Pradhan, D.; Nayak, K.; Bagchi, S.; Maheshwari, R.; Kalia, K.; Tekade, R.K. Novel Nanosystems for the Treatment of Ocular Inflammation: Current Paradigms and Future Research Directions. J. Control. Release 2017, 268, 19–39. [Google Scholar] [CrossRef]
- Lim, A.; Wenk, M.R.; Tong, L. Lipid-Based Therapy for Ocular Surface Inflammation and Disease. Trends Mol. Med. 2015, 21, 736–748. [Google Scholar] [CrossRef]
- Fonte, P.; Reis, S.; Sarmento, B. Facts and Evidences on the Lyophilization of Polymeric Nanoparticles for Drug Delivery. J. Control. Release 2016, 225, 75–86. [Google Scholar] [CrossRef] [PubMed]
- Suri, R.; Beg, S.; Kohli, K. Target Strategies for Drug Delivery Bypassing Ocular Barriers. J. Drug Deliv. Sci. Technol. 2020, 55, 101389. [Google Scholar] [CrossRef]
- Edelhauser, H.F. The Balance between Corneal Transparency and Edema the Proctor Lecture. IOVS 2023, 47, 1755–1767. [Google Scholar] [CrossRef] [PubMed]
- Okur, N.Ü.; Yozgatli, V.; Okur, M.E. In vitro–in vivo evaluation of tetrahydrozoline-loaded ocular in situ gels on rabbits for allergic conjunctivitis management. Drug Dev. Res. 2020, 81, 716–727. [Google Scholar] [CrossRef]
- Fernández-Ferreiro, A.; González-Barcia, M.; Gil-Martínez, M.; Blanco-Mendez, J.; Lamas-Díaz, M.J.; Otero-Espinar, F.J. Análisis de La Toxicidad Ocular de Los Colirios de Voriconazol y Fluconazol Con HET-CAM. Farm. Hosp. 2014, 38, 300–304. [Google Scholar] [CrossRef] [PubMed]
- Öztürk, A.A.; Namlı, İ.; Güleç, K.; Kıyan, H.T. Diclofenac Sodium Loaded PLGA Nanoparticles for Inflammatory Diseases with High Anti-Inflammatory Properties at Low Dose: Formulation, Characterization and in Vivo HET-CAM Analysis. Microvasc. Res. 2020, 130, 103991. [Google Scholar] [CrossRef] [PubMed]
- Singh, M.; Bharadwaj, S.; Eun, K.; Gu, S. Therapeutic Nanoemulsions in Ophthalmic Drug Administration: Concept in Formulations and Characterization Techniques for Ocular Drug Delivery. J. Control. Release 2020, 328, 895–916. [Google Scholar] [CrossRef] [PubMed]
- Pardeshi, S.R.; More, M.P.; Kulkarni, A.D.; Pardeshi, C.V.; Patil, P.B.; Patil, A.S.; Giram, P.S.; Mahajan, H.S.; Deshmukh, P.K.; Ige, P.P.; et al. Current Perspectives in Nanomedicine Delivery for Targeted Ocular Therapeutics. Bull. Mater. Sci. 2023, 46, 35. [Google Scholar] [CrossRef]
- Gorantla, S.; Rapalli, V.K.; Waghule, T.; Singh, P.P.; Dubey, S.K.; Saha, R.N.; Singhvi, G. Nanocarriers for Ocular Drug Delivery: Current Status and Translational Opportunity. RSC Adv. 2020, 10, 27835–27855. [Google Scholar] [CrossRef]
- Jumelle, C.; Gholizadeh, S.; Annabi, N.; Dana, R. Advances and Limitations of Drug Delivery Systems Formulated as Eye Drops. J. Control. Release 2020, 321, 1–22. [Google Scholar] [CrossRef]
- Rodrigues, F.; Campos, A.; Martins, J.; Ambrósio, A.; Campos, E. Emerging Trends in Nanomedicine for Improving Ocular Drug Delivery: Light-Responsive Nanoparticles, Mesoporous Silica Nanoparticles, and Contact Lenses Fla v. ACS Biomater. Sci. Eng. 2020, 6, 6587–6597. [Google Scholar] [CrossRef] [PubMed]
- Tsai, C.; Wang, P.; Lin, I.; Huang, H.; Liu, G. Ocular Drug Delivery: Role of Degradable Polymeric Nanocarriers for Ophthalmic Application. Int. J. Mol. Sci. 2018, 19, 2830. [Google Scholar] [CrossRef] [PubMed]
- Wang, C.; Pang, Y. Nano-Based Eye Drop: Topical and Noninvasive Therapy for Ocular Diseases. Adv. Drug Deliv. Rev. 2023, 194, 114721. [Google Scholar] [CrossRef]
- Majumdar, S.; Srirangam, R. Potential of the Bioflavonoids in the Prevention/Treatment of Ocular Disorders. J. Pharm. Pharmacol. 2010, 62, 951–965. [Google Scholar] [CrossRef]
- Davis, B.M.; Pahlitzsch, M.; Guo, L.; Balendra, S.; Shah, P.; Ravindran, N.; Malaguarnera, G.; Sisa, C.; Shamsher, E.; Hamze, H.; et al. Topical Curcumin Nanocarriers Are Neuroprotective in Eye Disease. Sci. Rep. 2018, 8, 11066. [Google Scholar] [CrossRef]
- Bustos-Salgado, P.; Andrade-Carrera, B.; Domínguez-Villegas, V.; Noé, V.; Mallandrich, M.; Colom, H.; Calpena-Campmany, A.; Garduño-Ramírez, M.L. In Vitro Approaches to Explore the Anticancer Potential of One Natural Flavanone and Four Derivatives Loaded in Biopolymeric Nanoparticles for Application in Topical Delivery Treatments. Pharmaceutics 2023, 15, 1632. [Google Scholar] [CrossRef]
- Lan, W.; Petznick, A.; Heryati, S.; Rifada, M.; Tong, L. Nuclear Factor-ΚB: Central Regulator in Ocular Surface Inflammation and Diseases. Ocul. Surf. 2012, 10, 137–148. [Google Scholar] [CrossRef]
- Di Marzio, L.; Ventura, C.; Cosco, D.; Paolino, D.; Di Stefano, A.; Stancanelli, R.; Tommasini, S.; Cannavà, C.; Celia, C.; Fresta, M. Journal of Drug Delivery Science and Technology Nanotherapeutics for Anti-in Fl Ammatory Delivery. J. Drug Deliv. Sci. Technol. 2016, 32, 174–191. [Google Scholar] [CrossRef]
- Ghasemi, H. Roles of IL-6 in Ocular Inflammation: A Review. Ocul. Immunol. Inflamm. 2018, 26, 37–50. [Google Scholar] [CrossRef] [PubMed]
- Mckay, T.B.; Karamichos, D. Minireview Quercetin and the Ocular Surface: What We Know and Where We Are Going. Exp. Biol. Med. 2017, 242, 565–572. [Google Scholar] [CrossRef] [PubMed]
- Zhao, L.; Wang, H.; Du, X. The Therapeutic Use of Quercetin in Ophthalmology: Recent Applications. Biomed. Pharmacother. 2021, 137, 111371. [Google Scholar] [CrossRef]
- Ghosh, A.K.; Thapa, R.; Hariani, H.N.; Volyanyuk, M.; Ogle, S.D.; Orloff, K.A.; Ankireddy, S.; Lai, K.; Kalesnykas, G.; Hakkarainen, J.J.; et al. Poly (Lactic-Co-Glycolic Acid) Nanoparticles Encapsulating the Prenylated Flavonoid, Xanthohumol, Protect Corneal Epithelial Cells from Dry Eye Disease-Associated Oxidative Stress. Pharmaceutics 2021, 13, 1362. [Google Scholar] [CrossRef]











| Flavanone | Linearity | LOD | LOQ | Accuracy | Precision | R.I.S | |
|---|---|---|---|---|---|---|---|
| r2 | p-Value | (µg/mL) | RE (%) | RSD (%) | RSD (%) | ||
| Mean ± SD | 100 (µg/mL) | 100 (µg/mL) | |||||
| 25 (µg/mL) | |||||||
| 6.25 (µg/mL) | |||||||
| I | 0.996 | 0.468 | 5.881 ± 2.202 | 17.820 ± 6.674 | −0.586 | 1.244 | 7.609 |
| 2.312 | 12.510 | ||||||
| −3.774 | 15.336 | ||||||
| II | 0.999 | 0.932 | 1.833 ± 1.090 | 5.556 ± 3.304 | 0.110 | 0.567 | 1.999 |
| −0.003 | 3.007 | ||||||
| −2.718 | 4.623 | ||||||
| Data | Flavanone | Diclofenac | Indomethacin | |
|---|---|---|---|---|
| I | II | |||
| Anti-inflammatory (Pa) | 0.78 | 0.75 | 0.79 | 0.71 |
| miLogP | 4.81 | 4.87 | 4.57 | 3.99 |
| TPSA | 66.76 | 76 | 49.33 | 68.54 |
| natoms | 25 | 27 | 19 | 25 |
| MW | 338.40 | 368.43 | 296.15 | 357.79 |
| Volume | 316.14 | 341.69 | 238.73 | 303.24 |
| NP I | NP II | p | |
|---|---|---|---|
| Bmax (µg) | 35.9 ± 1.39 | 12.56 ± 0.39 | 0.002 |
| Kd (h) | 2.38 ± 0.36 | 3.92 ± 0.41 | 0.001 |
| r2 | 0.9913 | 0.9957 |
| NP I | NP II | |||
|---|---|---|---|---|
| Cornea | Sclera | Cornea | Sclera | |
| Qr (µg/cm2) | 4.26 ± 0.57 | 7.85 ± 1.14 | 3.52 ± 0.40 | 5.09 ± 0.63 |
| Qp (µg) | Non-p | Non-p | Non-p | Non-p |
Disclaimer/Publisher’s Note: The statements, opinions and data contained in all publications are solely those of the individual author(s) and contributor(s) and not of MDPI and/or the editor(s). MDPI and/or the editor(s) disclaim responsibility for any injury to people or property resulting from any ideas, methods, instructions or products referred to in the content. |
© 2023 by the authors. Licensee MDPI, Basel, Switzerland. This article is an open access article distributed under the terms and conditions of the Creative Commons Attribution (CC BY) license (https://creativecommons.org/licenses/by/4.0/).
Share and Cite
Bustos-Salgado, P.; Domínguez-Villegas, V.; Andrade-Carrera, B.; Mallandrich, M.; Calpena, A.; Domènech, O.; Martínez-Ruiz, S.; Badía, J.; Baldomà, L.; Gómez de Aranda, I.; et al. PLGA Nanoparticles Containing Natural Flavanones for Ocular Inflammation. Pharmaceutics 2023, 15, 2752. https://doi.org/10.3390/pharmaceutics15122752
Bustos-Salgado P, Domínguez-Villegas V, Andrade-Carrera B, Mallandrich M, Calpena A, Domènech O, Martínez-Ruiz S, Badía J, Baldomà L, Gómez de Aranda I, et al. PLGA Nanoparticles Containing Natural Flavanones for Ocular Inflammation. Pharmaceutics. 2023; 15(12):2752. https://doi.org/10.3390/pharmaceutics15122752
Chicago/Turabian StyleBustos-Salgado, Paola, Valeri Domínguez-Villegas, Berenice Andrade-Carrera, Mireia Mallandrich, Ana Calpena, Oscar Domènech, Sergio Martínez-Ruiz, Josefa Badía, Laura Baldomà, Inmaculada Gómez de Aranda, and et al. 2023. "PLGA Nanoparticles Containing Natural Flavanones for Ocular Inflammation" Pharmaceutics 15, no. 12: 2752. https://doi.org/10.3390/pharmaceutics15122752
APA StyleBustos-Salgado, P., Domínguez-Villegas, V., Andrade-Carrera, B., Mallandrich, M., Calpena, A., Domènech, O., Martínez-Ruiz, S., Badía, J., Baldomà, L., Gómez de Aranda, I., Blasi, J., & Garduño-Ramírez, M. L. (2023). PLGA Nanoparticles Containing Natural Flavanones for Ocular Inflammation. Pharmaceutics, 15(12), 2752. https://doi.org/10.3390/pharmaceutics15122752

