Chitosan-Based Biocompatible Copolymers for Thermoresponsive Drug Delivery Systems: On the Development of a Standardization System
Abstract
:1. Introduction
2. Polysaccharides: Natural Biocompatible Polymers
3. Chitosan
4. Synthetic Polymers as Biomaterials
5. Thermoresponsivity
6. Thermoresponsive Polymers for Biomedical Applications
7. The Need for Standardization in LCST Measurements
7.1. The Importance of a Polymer’s Molecular Mass and Concentration
7.2. The Difference between LCST and Cloud Point
7.3. LCST and Cloud Point Determination
8. Poly-N-Vinylcaprolactam
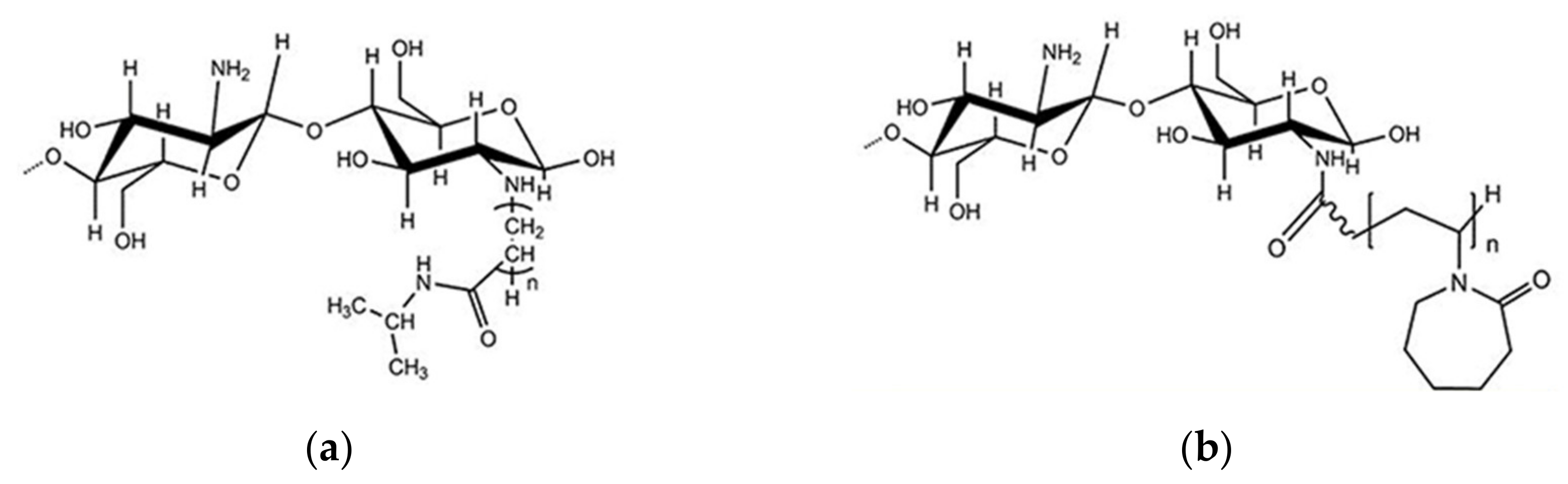
9. Chitosan Thermoresponsive Copolymers
9.1. Chitosan-graft-poly-N-isopropylacrylamide
9.2. Chitosan-graft-poly-N-vinylcaprolactam
9.3. Other Thermoresponsive Chitosan Polymers
10. Conclusions and Future Perspectives
Author Contributions
Funding
Institutional Review Board Statement
Informed Consent Statement
Data Availability Statement
Acknowledgments
Conflicts of Interest
References
- De Moraes Porto, I.C.C. Polymer biocompatibility. In Polymerization; InTechOpen: London, UK, 2012; pp. 47–63. [Google Scholar]
- Anusavice, K.J. Phillip’s Science of Dental Materials, 11th ed.; Science, E.H., Ed.; Saunders: Philadelphia, PA, USA, 2003; ISBN 0109-5641. [Google Scholar]
- Williams, D.F. On the mechanisms of biocompatibility. Biomaterials 2008, 29, 2941–2953. [Google Scholar] [CrossRef] [PubMed]
- Schmalz, G. Materials science: Biological aspects. J. Dent. Res. 2002, 81, 660–663. [Google Scholar] [CrossRef]
- Anderson, J.M. Biological responses to materials. Annu. Rev. Mater. Sci. 2001, 31, 81–110. [Google Scholar] [CrossRef]
- Xu, L.C.; Bauer, J.W.; Siedlecki, C.A. Proteins, platelets, and blood coagulation at biomaterial interfaces. Colloids Surf. B Biointerfaces 2014, 124, 49–68. [Google Scholar] [CrossRef] [Green Version]
- Dos Santos, L.A.L. Natural Polymeric Biomaterials: Processing and Properties. In Reference Module in Materials Science and Materials Engineering; Federal Universityof Rio Grande do Sul: PortoAlegre, Brazil, 2017; pp. 1–6. [Google Scholar] [CrossRef]
- Aminabhavi, T.M.; Deshmukh, A.S. Polymeric Hydrogels as Smart Biomaterials; Springer: Berlin/Heidelberg, Germany, 2016; ISBN 978-3-319-25320-6. [Google Scholar]
- Kohane, D.S.; Langer, R. Polymeric biomaterials in tissue engineering. Pediatr. Res. 2008, 63, 487–491. [Google Scholar] [CrossRef] [Green Version]
- Teo, A.J.T.; Mishra, A.; Park, I.; Kim, Y.J.; Park, W.T.; Yoon, Y.J. Polymeric Biomaterials for Medical Implants and Devices. ACS Biomater. Sci. Eng. 2016, 2, 454–472. [Google Scholar] [CrossRef] [PubMed]
- Seal, B.L.; Otero, T.C.; Panitch, A. Polymeric biomaterials for tissue and organ regeneration. Mater. Sci. Eng. R Rep. 2001, 34, 147–230. [Google Scholar] [CrossRef]
- Griffith, L.G. Polymeric biomaterials. Acta Mater. 2000, 48, 263–277. [Google Scholar] [CrossRef]
- George, A.; Sanjay, M.R.; Srisuk, R.; Parameswaranpillai, J.; Siengchin, S. A comprehensive review on chemical properties and applications of biopolymers and their composites. Int. J. Biol. Macromol. 2020, 154, 329–338. [Google Scholar] [CrossRef] [PubMed]
- Gribova, V.; Crouzier, T.; Picart, C. A material’s point of view on recent developments of polymeric biomaterials: Control of mechanical and biochemical properties. J. Mater. Chem. 2011, 21, 14354–14366. [Google Scholar] [CrossRef] [PubMed]
- Barclay, T.G.; Day, C.M.; Petrovsky, N.; Garg, S. Review of polysaccharide particle-based functional drug delivery. Carbohydr. Polym. 2019, 221, 94–112. [Google Scholar] [CrossRef] [PubMed]
- Miao, T.; Wang, J.; Zeng, Y.; Liu, G.; Chen, X. Polysaccharide-Based Controlled Release Systems for Therapeutics Delivery and Tissue Engineering: From Bench to Bedside. Adv. Sci. 2018, 5, 1700513. [Google Scholar] [CrossRef] [PubMed]
- Alcázar-Alay, S.C.; Meireles, M.A.A. Physicochemical properties, modifications and applications of starches from different botanical sources. Food Sci. Technol. 2015, 35, 215–236. [Google Scholar] [CrossRef] [Green Version]
- Singh, A.K.; Bhadauria, A.S.; Kumar, P.; Bera, H.; Saha, S. Bioactive and drug-delivery potentials of polysaccharides and their derivatives. In Polysaccharide Carriers for Drug Delivery; Woodhead Publishing: Sawston, UK, 2019; pp. 19–48. ISBN 9780081025536. [Google Scholar]
- Yadav, H.; Karthikeyan, C. Natural polysaccharides: Structural features and properties. In Polysaccharide Carriers for Drug Delivery; Maiti, S., Jana, S., Eds.; Elsevier Ltd.: Amsterdam, The Netherlands, 2019; pp. 1–17. ISBN 978-0-08-102553-6. [Google Scholar]
- Li, J.; Mooney, D.J. Designing hydrogels for controlled drug delivery. Nat. Rev. Mater. 2016, 1, 16071. [Google Scholar] [CrossRef] [PubMed]
- Liu, D.; Yang, F.; Xiong, F.; Gu, N. The smart drug delivery system and its clinical potential. Theranostics 2016, 6, 1306–1323. [Google Scholar] [CrossRef]
- Wen, Y.; Oh, J.K. Recent strategies to develop polysaccharide-based nanomaterials for biomedical applications. Macromol. Rapid Commun. 2014, 35, 1819–1832. [Google Scholar] [CrossRef]
- Danhauser-Riedl, S.; Hausmann, E.; Schick, H.D.; Bender, R.; Dietzfelbinger, H.; Rastetter, J.; Hanauske, A.R. Phase I clinical and pharmacokinetic trial of dextran conjugated doxorubicin (AD-70, DOX-OXD). Investig. New Drugs 1993, 11, 187–195. [Google Scholar] [CrossRef] [PubMed]
- Kim, J.K.; Han, K.H.; Lee, J.T.; Paik, Y.H.; Ahn, S.H.; Lee, J.D.; Lee, K.S.; Chon, C.Y.; Moon, Y.M. Long-term clinical outcome of phase IIb clinical trial of percutaneous injection with holmium-166/chitosan complex (milican) for the treatment of small hepatocellular carcinoma. Clin. Cancer Res. 2006, 12, 543–548. [Google Scholar] [CrossRef] [Green Version]
- Pinnix, C.; Perkins, G.H.; Strom, E.A.; Tereffe, W.; Woodward, W.; Oh, J.L.; Arriaga, L.; Munsell, M.F.; Kelly, P.; Hoffman, K.E.; et al. Topical hyaluronic acid vs. standard of care for the prevention of radiation dermatitis after adjuvant radiotherapy for breast cancer: Single-blind randomized phase III clinical trial. Int. J. Radiat. Oncol. Biol. Phys. 2012, 83, 1089–1094. [Google Scholar] [CrossRef] [Green Version]
- Calando Pharmaceuticals. Safety Study of CALAA-01 to Treat Solid Tumor Cancers. Available online: https://clinicaltrials.gov/ct2/show/NCT00689065 (accessed on 21 September 2021).
- Tan, P.L. Company profile: Tissue regeneration for diabetes and neurological diseases at living cell technologies. Regen. Med. 2010, 5, 181–187. [Google Scholar] [CrossRef]
- Prabaharan, M.; Jayakumar, R. Polymeric bionanocomposites as promising materials for controlled drug delivery. In Chitosan for Biomaterials II; Jayakumar, R., Prabaharan, M., Muzzarelli, R.A.A., Eds.; Springer: Berlin/Heidelberg, Germany, 2011; pp. 1–18. ISBN 978-3-642-24060-7. [Google Scholar]
- Bellich, B.; D’Agostino, I.; Semeraro, S.; Gamini, A.; Cesàro, A. “The Good, the Bad and the Ugly” of Chitosans. Mar. Drugs 2016, 14, 99. [Google Scholar] [CrossRef] [PubMed] [Green Version]
- Clark, G.L.; Smith, A.F. X-ray diffraction studies of chitin, chitosan, and derivatives. J. Phys. Chem. 1936, 40, 863–879. [Google Scholar] [CrossRef]
- Shukla, S.K.; Mishra, A.K.; Arotiba, O.A.; Mamba, B.B. Chitosan-based nanomaterials: A state-of-the-art review. Int. J. Biol. Macromol. 2013, 59, 46–58. [Google Scholar] [CrossRef]
- Wang, Q.Z.; Chen, X.G.; Liu, N.; Wang, S.X.; Liu, C.S.; Meng, X.H.; Liu, C.G. Protonation constants of chitosan with different molecular weight and degree of deacetylation. Carbohydr. Polym. 2006, 65, 194–201. [Google Scholar] [CrossRef]
- Bhavsar, C.; Momin, M.; Gharat, S.; Omri, A. Functionalized and Graft Copolymers of Chitosan and Its Pharmaceutical Applications; Taylor & Francis: Milton Park, UK, 2017; Volume 14, ISBN 9768077646. [Google Scholar]
- Andrade, F.; Goycoolea, F.; Chiappetta, D.A.; das Neves, J.; Sosnik, A.; Sarmento, B. Chitosan-Grafted Copolymers and Chitosan-Ligand Conjugates as Matrices for Pulmonary Drug Delivery. Int. J. Carbohydr. Chem. 2011, 2011, 865704. [Google Scholar] [CrossRef] [Green Version]
- Casettari, L.; Vllasaliu, D.; Castagnino, E.; Stolnik, S.; Howdle, S.; Illum, L. PEGylated chitosan derivatives: Synthesis, characterizations and pharmaceutical applications. Prog. Polym. Sci. 2012, 37, 659–685. [Google Scholar] [CrossRef]
- Ho, T.H.; Le, T.N.T.; Nguyen, T.A.; Dang, M.C. Poly(ethylene glycol) grafted chitosan as new copolymer material for oral delivery of insulin. Adv. Nat. Sci. Nanosci. Nanotechnol. 2015, 6, 035004. [Google Scholar] [CrossRef]
- Rampino, A. Polysaccharide-Based Nanoparticles for Drug Delivery. Ph.D. Thesis, Università degli Studi di Trieste, Trieste, Italy, 2011. [Google Scholar]
- Felt, O.; Buri, P.; Gurny, R. Chitosan: A unique polysaccharide for drug delivery. Drug Dev. Ind. Pharm. 1998, 24, 979–993. [Google Scholar] [CrossRef] [PubMed]
- Zhao, L.; Mitomo, H.; Zhai, M.; Yoshii, F.; Nagasawa, N.; Kume, T. Synthesis of antibacterial PVA/CM-chitosan blend hydrogels with electron beam irradiation. Carbohydr. Polym. 2003, 53, 439–446. [Google Scholar] [CrossRef]
- Chen, C.; Liu, L.; Huang, T.; Wang, Q.; Fang, Y. Bubble template fabrication of chitosan/poly(vinyl alcohol) sponges for wound dressing applications. Int. J. Biol. Macromol. 2013, 62, 188–193. [Google Scholar] [CrossRef]
- Hua, D.; Tang, J.; Cheng, J.; Deng, W.; Zhu, X. A novel method of controlled grafting modification of chitosan via RAFT polymerization using chitosan-RAFT agent. Carbohydr. Polym. 2008, 73, 98–104. [Google Scholar] [CrossRef]
- Sacco, P.; Cok, M.; Asaro, F.; Paoletti, S.; Donati, I. The role played by the molecular weight and acetylation degree in modulating the stiffness and elasticity of chitosan gels. Carbohydr. Polym. 2018, 196, 405–413. [Google Scholar] [CrossRef]
- Natalia Cheaburu-Yilmaz, C.; Yaprak Karavana, S.; Yilmaz, O. Functionalized Chitosan for Pharmaceutical Applications. Curr. Org. Synth. 2017, 14, 785–797. [Google Scholar]
- Ways, T.M.M.; Lau, W.M.; Khutoryanskiy, V.V. Chitosan and its derivatives for application in mucoadhesive drug delivery systems. Polymers 2018, 10, 267. [Google Scholar] [CrossRef] [PubMed] [Green Version]
- Henriksen, I.; Skaugrud; Karlsen, J. Use of chitosan and chitosan malate as an excipient in wet granulation of three water soluble drugs. Int. J. Pharm. 1993, 98, 181–188. [Google Scholar] [CrossRef]
- Gåserød, O.; Jolliffe, I.G.; Hampson, F.C.; Dettmar, P.W.; Skjåk-Bræk, G. The enhancement of the bioadhesive properties of calcium alginate gel beads by coating with chitosan. Int. J. Pharm. 1998, 175, 237–246. [Google Scholar] [CrossRef]
- Shafabakhsh, R.; Yousefi, B.; Asemi, Z.; Nikfar, B.; Mansournia, M.A.; Hallajzadeh, J. Chitosan: A compound for drug delivery system in gastric cancer—A review. Carbohydr. Polym. 2020, 242, 116403. [Google Scholar] [CrossRef] [PubMed]
- Fu, S.; Xia, J.; Wu, J. Functional chitosan nanoparticles in cancer treatment. J. Biomed. Nanotechnol. 2016, 12, 1585–1603. [Google Scholar] [CrossRef] [PubMed]
- Melchiorre, F.; Patella, F.; Pescatori, L.; Pesapane, F.; Fumarola, E.; Biondetti, P.; Brambillasca, P.; Monaco, C.; Ierardi, A.M.; Franceschelli, G.; et al. DEB-TACE: A standard review. Futur. Oncol. 2018, 14, 2969–2984. [Google Scholar] [CrossRef]
- Sonia, T.A.; Sharma, C.P. Chitosan and its derivatives for drug delivery perspective. In Chitosan for Biomaterials I; Jayakumar, R., Prabaharan, M., Muzzarelli, M., Riccardo, A.A., Eds.; Springer: Berlin/Heidelberg, Germany, 2011; pp. 23–53. ISBN 978-3-642-23114-8. [Google Scholar]
- Shojaei, A.H. Buccal mucosa as a route for systemic drug delivery: A review. J. Pharm. Pharm. Sci. 1998, 1, 15–30. [Google Scholar]
- Chaturvedi, K.; Ganguly, K.; Nadagouda, M.N.; Aminabhavi, T.M. Polymeric hydrogels for oral insulin delivery. J. Control. Release 2013, 165, 129–138. [Google Scholar] [CrossRef] [PubMed]
- Jafari, B.; Rafie, F.; Davaran, S. Preparation and characterization of a novel smart polymeric hydrogel for drug delivery of insulin. Bioimpacts 2011, 1, 135–143. [Google Scholar] [CrossRef] [PubMed]
- Pridgen, E.M.; Alexis, F.; Farokhzad, O.C. Polymeric Nanoparticle Technologies for Oral Drug Delivery. Clin. Gastroenterol. Hepatol. 2014, 12, 1605–1610. [Google Scholar] [CrossRef] [PubMed] [Green Version]
- Ensign, L.M.; Cone, R.; Hanes, J. Oral drug delivery with polymeric nanoparticles: The gastrointestinal mucus barriers. Adv. Drug Deliv. Rev. 2012, 64, 557–570. [Google Scholar] [CrossRef] [PubMed] [Green Version]
- Gaucher, G.; Satturwar, P.; Jones, M.-C.; Furtos, A.; Leroux, J.-C. Polymeric micelles for oral drug delivery. Eur. J. Pharm. Biopharm. 2010, 76, 147–158. [Google Scholar] [CrossRef]
- Xu, W.; Ling, P.; Zhang, T. Polymeric Micelles, a Promising Drug Delivery System to Enhance Bioavailability of Poorly Water-Soluble Drugs. J. Drug Deliv. 2013, 2013, 340315. [Google Scholar] [CrossRef] [PubMed]
- Simões, S.M.N.; Figueiras, A.R.; Veiga, F.; Concheiro, A.; Alvarez-Lorenzo, C. Polymeric micelles for oral drug administration enabling locoregional and systemic treatments. Expert Opin. Drug Deliv. 2015, 12, 297–318. [Google Scholar] [CrossRef] [PubMed]
- Yuan, H.; Lu, L.-J.; Du, Y.-Z.; Hu, F.-Q. Stearic Acid-g-chitosan Polymeric Micelle for Oral Drug Delivery: In Vitro Transport and in Vivo Absorption. Mol. Pharm. 2011, 8, 225–238. [Google Scholar] [CrossRef]
- Pawar, H.; Douroumis, D.; Boateng, J.S. Preparation and optimization of PMAA-chitosan-PEG nanoparticles for oral drug delivery. Colloids Surf. B Biointerfaces 2012, 90, 102–108. [Google Scholar] [CrossRef] [PubMed]
- Reddy, P.C.; Chaitanya, K.S.C.; Rao, Y.M. A review on bioadhesive buccal drug delivery systems: Current status of formulation and evaluation methods. DARU J. Pharm. Sci. 2011, 19, 385–403. [Google Scholar]
- Sarath, C.; Shijith, K.V.; Vipin, K.V.; Augusthy, A.R. Chitosan based Mucoadhesive buccal patches containing Bisoprolol Fumarate. Int. J. Adv. Pharm. Biol. Chem. 2016, 2, 465–469. [Google Scholar]
- Xu, J.; Strandman, S.; Zhu, J.X.X.; Barralet, J.; Cerruti, M. Genipin-crosslinked catechol-chitosan mucoadhesive hydrogels for buccal drug delivery. Biomaterials 2015, 37, 395–404. [Google Scholar] [CrossRef] [PubMed]
- Ayensu, I.; Mitchell, J.C.; Boateng, J.S. Development and physico-mechanical characterisation of lyophilised chitosan wafers as potential protein drug delivery systems via the buccal mucosa. Colloids Surf. B Biointerfaces 2012, 1, 258–265. [Google Scholar] [CrossRef] [PubMed]
- Casettari, L.; Vllasaliu, D.; Mantovani, G.; Howdle, S.M.; Stolnik, S.; Illum, L. Effect of PEGylation on the toxicity and permeability enhancement of chitosan. Biomacromolecules 2010, 11, 2854–2865. [Google Scholar] [CrossRef] [PubMed]
- Cevher, E.; Salomon, S.K.; Somavarapu, S.; Brocchini, S.; Alpar, H.O. Development of chitosan-pullulan composite nanoparticles for nasal delivery of vaccines: In vivo studies. J. Microencapsul. 2015, 32, 769–783. [Google Scholar] [CrossRef] [PubMed]
- Liu, Q.; Zheng, X.; Zhang, C.; Shao, X.; Zhang, X.; Zhang, Q.; Jiang, X. Antigen-conjugated N-trimethylaminoethylmethacrylate chitosan nanoparticles induce strong immune responses after nasal administration. Pharm. Res. 2015, 32, 22–36. [Google Scholar] [CrossRef] [PubMed]
- Duceppe, N.; Tabrizian, M. Advances in using chitosan-based nanoparticles for in vitro and in vivo drug and gene delivery. Expert Opin. Drug Deliv. 2010, 7, 1191–1207. [Google Scholar] [CrossRef]
- MacLaughlin, F.C.; Mumper, R.J.; Wang, J.; Tagliaferri, J.M.; Gill, I.; Hinchcliffe, M.; Rolland, A.P. Chitosan and depolymerized chitosan oligomers as condensing carriers for in vivo plasmid delivery. J. Control. Release 1998, 56, 259–272. [Google Scholar] [CrossRef]
- Cao, Y.; Tan, Y.F.; Wong, Y.S.; Liew, M.W.J.; Venkatraman, S. Recent Advances in Chitosan-Based Carriers for Gene Delivery. Mar. Drugs 2019, 17, 381. [Google Scholar] [CrossRef] [Green Version]
- Kurakula, M.; Gorityala, S.; Moharir, K. Recent trends in design and evaluation of chitosan-based colon targeted drug delivery systems: Update 2020. J. Drug Deliv. Sci. Technol. 2021, 64, 102579. [Google Scholar] [CrossRef]
- Tozaki, H.; Komoike, J.; Tada, C.; Maruyama, T.; Terabe, A.; Suzuki, T.; Yamamoto, A.; Muranishi, S. Chitosan Capsules for Colon-Specific Drug Delivery: Improvement of Insulin Absorption from the Rat Colon. J. Pharm. Sci. 1997, 86, 1016–1021. [Google Scholar] [CrossRef] [PubMed]
- Tozaki, H.; Fujita, T.; Odoriba, T.; Terabe, A.; Suzuki, T.; Tanaka, C.; Okabe, S.; Muranishi, S.; Yamamoto, A. Colon-specific delivery of R68070, a new thromboxane synthase inhibitor, using chitosan capsules: Therapeutic effects against 2,4,6-trinitrobenzene sulfonic acid-induced ulcerative colitis in rats. Life Sci. 1999, 64, 1155–1162. [Google Scholar] [CrossRef]
- Chourasia, M.K.; Jain, S.K. Polysaccharides for Colon Targeted Drug Delivery. Drug Deliv. 2004, 11, 129–148. [Google Scholar] [CrossRef] [Green Version]
- Tozaki, H.; Fujita, T.; Komoike, J.; Kim, S.-I.; Terashima, H.; Muranishi, S.; Okabe, S.; Yamamoto, A. Colon-specific Delivery of Budesonide with Azopolymer-coated Pellets: Therapeutic Effects of Budesonide with a Novel Dosage Form against 2,4,6-Trinitrobenzenesulphonic Acid-induced Colitis in Rats. J. Pharm. Pharmacol. 1999, 51, 257–261. [Google Scholar] [CrossRef]
- Tozaki, H.; Odoriba, T.; Okada, N.; Fujita, T.; Terabe, A.; Suzuki, T.; Okabe, S.; Muranishi, S.; Yamamoto, A. Chitosan capsules for colon-specific drug delivery: Enhanced localization of 5-aminosalicylic acid in the large intestine accelerates healing of TNBS-induced colitis in rats. J. Control. Release 2002, 82, 51–61. [Google Scholar] [CrossRef]
- Thakral, N.K.; Ray, A.R.; Majumdar, D.K. Eudragit S-100 entrapped chitosan microspheres of valdecoxib for colon cancer. J. Mater. Sci. Mater. Med. 2010, 21, 2691–2699. [Google Scholar] [CrossRef]
- Shigemasa, Y.; Minami, S. Applications of chitin and chitosan for biomaterials. Biotechnol. Genet. Eng. Rev. 1996, 13, 383–420. [Google Scholar] [CrossRef] [Green Version]
- Cicciù, M.; Fiorillo, L.; Cervino, G. Chitosan Use in Dentistry: A Systematic Review of Recent Clinical Studies. Mar. Drugs 2019, 17, 417. [Google Scholar] [CrossRef] [Green Version]
- Tirino, P.; Laurino, R.; Maglio, G.; Malinconico, M.; d’Ayala, G.G.; Laurienzo, P. Synthesis of chitosan-PEO hydrogels via mesylation and regioselective Cu(I)-catalyzed cycloaddition. Carbohydr. Polym. 2014, 112, 736–745. [Google Scholar] [CrossRef]
- Rejinold, N.S.; Chennazhi, K.P.; Nair, S.V.; Tamura, H.; Jayakumar, R. Biodegradable and thermo-sensitive chitosan-g-poly(N-vinylcaprolactam) nanoparticles as a 5-fluorouracil carrier. Carbohydr. Polym. 2011, 83, 776–786. [Google Scholar] [CrossRef]
- Fattahi, A.; Asgarshamsi, M.; Hasanzadeh, F.; Varshosaz, J.; Rostami, M.; Mirian, M.; Sadeghi-Aliabadi, H. Methotrexate-grafted-oligochitosan micelles as drug carriers: Synthesis and biological evaluations. J. Mater. Sci. Mater. Med. 2015, 26, 119. [Google Scholar] [CrossRef]
- Hoffman, A.S. Synthetic Polymer Biomaterials in Medicine—A Review; International Union of Pure and Applied Chemistry: Triangle Park, NC, USA, 1982. [Google Scholar]
- Schmitt, E.E.; Polistina, R.A. Surgical Sutures. US Patent 3297033, 10 January 1967. [Google Scholar]
- Nair, L.S.; Laurencin, C.T. Biodegradable polymers as biomaterials. Prog. Polym. Sci. 2007, 32, 762–798. [Google Scholar] [CrossRef]
- Vihola, H. Studies on Thermosensitive Poly(N-vinylcaprolactam) Based Polymers for Pharmaceutical Applications. Ph.D. Thesis, University of Helsinki, Helsinki, Finland, 2007. [Google Scholar]
- Liu, D.; Sun, J. Thermoresponsive polypeptoids. Polymers 2020, 12, 2973. [Google Scholar] [CrossRef]
- Vancoillie, G.; Frank, D.; Hoogenboom, R. Thermoresponsive poly(oligo ethylene glycol acrylates). Prog. Polym. Sci. 2014, 39, 1074–1095. [Google Scholar] [CrossRef]
- Trzebicka, B.; Szweda, R.; Kosowski, D.; Szweda, D.; Otulakowski, Ł.; Haladjova, E.; Dworak, A. Thermoresponsive polymer-peptide/protein conjugates. Prog. Polym. Sci. 2017, 68, 35–76. [Google Scholar] [CrossRef]
- Ward, M.A.; Georgiou, T.K. Thermoresponsive polymers for biomedical applications. Polymers 2011, 3, 1215–1242. [Google Scholar] [CrossRef] [Green Version]
- Dubovik, A.S.; Makhaeva, E.E.; Grinberg, V.Y.; Khokhlov, A.R. Energetics of cooperative transitions of N-vinylcaprolactam polymers in aqueous solutions. Macromol. Chem. Phys. 2005, 206, 915–928. [Google Scholar] [CrossRef]
- Schmaljohann, D. Thermo- and pH-responsive polymers in drug delivery. Adv. Drug Deliv. Rev. 2006, 58, 1655–1670. [Google Scholar] [CrossRef]
- Van Dijk, E.; Hoogeveen, A.; Abeln, S. The Hydrophobic Temperature Dependence of Amino Acids Directly Calculated from Protein Structures. PLoS Comput. Biol. 2015, 11, e1004277. [Google Scholar] [CrossRef]
- Kozanoǧlu, S. Polymerization and Characterization of N-Vinylcaprolactam. Master’s Thesis, Middle East Technical University, Ankara, Turkey, 2008. [Google Scholar]
- Doberenz, F.; Zeng, K.; Willems, C.; Zhang, K.; Groth, T. Thermoresponsive polymers and their biomedical application in tissue engineering—A review. J. Mater. Chem. B 2020, 8, 607–628. [Google Scholar] [CrossRef] [PubMed]
- Zhang, Q.; Weber, C.; Schubert, U.S.; Hoogenboom, R. Thermoresponsive polymers with lower critical solution temperature: From fundamental aspects and measuring techniques to recommended turbidimetry conditions. Mater. Horiz. 2017, 4, 109–116. [Google Scholar] [CrossRef]
- Inoue, M.; Hayashi, T.; Hikiri, S.; Ikeguchi, M.; Kinoshita, M. Mechanism of globule-to-coil transition of poly(N-isopropylacrylamide) in water: Relevance to cold denaturation of a protein. J. Mol. Liq. 2019, 292, 111374. [Google Scholar] [CrossRef]
- Somcynsky, T. The lower critical solution temperature (LCST) of non-polar polymer solutions: An introduction. Polym. Eng. Sci. 1982, 22, 58–63. [Google Scholar] [CrossRef]
- Seuring, J.; Agarwal, S. Polymers with upper critical solution temperature in aqueous solution. Macromol. Rapid Commun. 2012, 33, 1898–1920. [Google Scholar] [CrossRef]
- Seuring, J.; Agarwal, S. Polymers with upper critical solution temperature in aqueous solution: Unexpected properties from known building blocks. ACS Macro Lett. 2013, 597–600. [Google Scholar] [CrossRef]
- Snyder, P.W.; Mecinović, J.; Moustakas, D.T.; Thomas, S.W.; Harder, M.; Mack, E.T.; Lockett, M.R.; Héroux, A.; Sherman, W.; Whitesides, G.M. Mechanism of the hydrophobic effect in the biomolecular recognition of arylsulfonamides by carbonic anhydrase. Proc. Natl. Acad. Sci. USA 2011, 108, 17889–17894. [Google Scholar] [CrossRef] [Green Version]
- Cheng, Y.K.; Rossky, P.J. Surface topography dependence of biomolecular hydrophobic hydration. Nature 1998, 392, 696–699. [Google Scholar] [CrossRef]
- Setny, P.; Baron, R.; McCammon, J.A. How can hydrophobic association be enthalpy driven? J. Chem. Theory Comput. 2010, 6, 2866–2871. [Google Scholar] [CrossRef]
- Flory, P.J. Themodynamics of high polymer solutions. J. Chem. Phys. 1942, 10, 51–61. [Google Scholar] [CrossRef]
- Huggins, M. Thermodynamic Properties of Solutions of Long-Chain Compounds. Ann. N. Y. Acad. Sci. 1942, 43, 1–32. [Google Scholar] [CrossRef]
- Gooch, J.W. Flory-Huggins theory. In Encyclopedic Dictionary of Polymers; Springer: Berlin/Heidelberg, Germany, 2011. [Google Scholar]
- Gooch, J.W. Theta solvent. In Encyclopedic Dictionary of Polymers; Gooch, J.W., Ed.; Springer: Berlin/Heidelberg, Germany, 2011; ISBN 978-1-4419-6246-1. [Google Scholar]
- Wolf, B.A. Making Floryr-Huggins Practical: Thermodynamics of Polymer-Containing Mixtures. In Polymer Thermodynamics. Advances in Polymer Science; Springer: Berlin/Heidelberg, Germany, 2010; Volume 238, pp. 1–66. [Google Scholar] [CrossRef]
- Delmas, G.; Patterson, D.; Somcynsky, T. Thermodynamics of Polyisobutylenen-Alkane Systems. J. Polym. Sci. 1962, 57, 79–98. [Google Scholar] [CrossRef]
- Schäfer-Soenen, H.; Moerkerke, R.; Berghmans, H.; Koningsveld, R.; Dušek, K.; Šolc, K. Zero and off-zero critical concentrations in systems containing polydisperse polymers† with very high molar masses. 2. The system water-poly(vinyl methyl ether). Macromolecules 1997, 30, 410–416. [Google Scholar] [CrossRef]
- Moerkerke, R.; Meeussen, F.; Koningsveld, R.; Berghmans, H.; Mondelaers, W.; Schacht, E.; Dusek, K.; Solc, K. Phase transitions in swollen networks. 3. Swelling behavior of radiation cross-linked poly(vinyl methyl ether) in water. Macromolecules 1998, 31, 2223–2229. [Google Scholar] [CrossRef]
- Meeussen, F.; Nies, E.; Berghmans, H.; Verbrugghe, S.; Goethals, E.; du Prez, F. Phase behaviour of poly(N-vinyl caprolactam) in water. Polymer 2000, 41, 8597–8602. [Google Scholar] [CrossRef]
- Šolc, K.; Dušek, K.; Koningsveld, R.; Berghmans, H. “Zero” and “Off-Zero” Critical Concentrations in Solutions of Polydisperse Polymers with Very High Molar Masses. Collect. Czechoslov. Chem. Commun. 1995, 60, 1661–1688. [Google Scholar] [CrossRef]
- De Sousa, H.C.; Rebelo, L.P.N. Continuous polydisperse thermodynamic algorithm for a modified Flory-Huggins model: The (polystyrene + nitroethane) example. J. Polym. Sci. Part B Polym. Phys. 2000, 38, 632–651. [Google Scholar] [CrossRef]
- Seuring, J.; Agarwal, S. Non-ionic homo- and copolymers with H-donor and H-acceptor units with an UCST in water. Macromol. Chem. Phys. 2010, 211, 2109–2117. [Google Scholar] [CrossRef]
- Costa, R.O.R.; Freitas, R.F.S. Phase behavior of poly (N-isopropylacrylamide) in binary aqueous solutions. Polymer 2002, 43, 5879–5885. [Google Scholar] [CrossRef]
- Hoogenboom, R.; Lambermont-Thijs, H.M.L.; Jochems, M.J.H.C.; Hoeppener, S.; Guerlain, C.; Fustin, C.A.; Gohy, J.F.; Schubert, U.S. A schizophrenic gradient copolymer: Switching and reversing poly(2-oxazoline) micelles based on UCST and subtle solvent changes. Soft Matter 2009, 5, 3590–3592. [Google Scholar] [CrossRef]
- Chua, G.B.H.; Roth, P.J.; Duong, H.T.T.; Davis, T.P.; Lowe, A.B. Synthesis and thermoresponsive solution properties of poly[oligo(ethylene glycol) (meth)acrylamide]s: Biocompatible PEG analogues. Macromolecules 2012, 45, 1362–1374. [Google Scholar] [CrossRef]
- Boyko, V.; Lu, Y.; Richter, A.; Pich, A. Preparation and Characterization of Acetoacetoxyethyl Methacrylate-Based Gels. Macromol. Chem. Phys. 2003, 204, 2031–2039. [Google Scholar] [CrossRef]
- Gelbrich, T.; Feyen, M.; Schmidt, A.M. Magnetic thermoresponsive core-shell nanoparticles. Macromolecules 2006, 39, 3469–3472. [Google Scholar] [CrossRef]
- Yamauchi, H.; Maeda, Y. LCST and UCST behavior of poly(N-isopropylacrylamide) in DMSO/water mixed solvents studied by IR and micro-raman spectroscopy. J. Phys. Chem. B 2007, 111, 12964–12968. [Google Scholar] [CrossRef] [PubMed]
- Ueki, T.; Watanabe, M.; Lodge, T.P. Doubly thermosensitive self-assembly of diblock copolymers in ionic liquids. Macromolecules 2009, 42, 1315–1320. [Google Scholar] [CrossRef]
- Ueki, T.; Nakamura, Y.; Yamaguchi, A.; Niitsuma, K.; Lodge, T.P.; Watanabe, M. UCST phase transition of azobenzene-containing random copolymer in an ionic liquid. Macromolecules 2011, 44, 6908–6914. [Google Scholar] [CrossRef]
- Wohlfarth, C. Lower critical (LCST) and/or upper critical (UCST) solution temperatures of aqueous polymer solutions. In CRC Handbook of Chemistry and Physics; Lide, D.R., Ed.; CRC Press: Boca Raton, FL, USA, 2010; pp. 2205–2222. ISBN 1420090844. [Google Scholar]
- Buscall, R.; Corner, T. The phase-separation behaviour of aqueous solutions of polyacrylic acid and its partial sodium salts in the presence of sodium chloride. Eur. Polym. J. 1982, 18, 967–974. [Google Scholar] [CrossRef]
- Sund-Levander, M.; Forsberg, C.; Wahren, L.K. Normal oral, rectal, tympanic and axillary body temperature in adult men and women: A systematic literature review. Scand. J. Caring Sci. 2002, 16, 122–128. [Google Scholar] [CrossRef]
- Cortez-Lemus, N.A.; Licea-Claverie, A. Poly(N-vinylcaprolactam), a comprehensive review on a thermoresponsive polymer becoming popular. Prog. Polym. Sci. 2016, 53, 1–51. [Google Scholar] [CrossRef]
- Mohammed, M.N.; Bin Yusoh, K.; Shariffuddin, J.H.B.H. Poly(N-vinyl caprolactam) thermoresponsive polymer in novel drug delivery systems: A review. Mater. Express 2018, 8, 21–34. [Google Scholar] [CrossRef]
- Ramos, J.; Imaz, A.; Forcada, J. Temperature-sensitive nanogels: Poly(N-vinylcaprolactam) versus poly(N-isopropylacrylamide). Polym. Chem. 2012, 3, 852–856. [Google Scholar] [CrossRef]
- Gandhi, A.; Paul, A.; Sen, S.O.; Sen, K.K. Studies on thermoresponsive polymers: Phase behaviour, drug delivery and biomedical applications. Asian J. Pharm. Sci. 2015, 10, 99–107. [Google Scholar] [CrossRef] [Green Version]
- Wu, G.; Chen, S.C.; Zhan, Q.; Wang, Y.Z. Well-defined amphiphilic biodegradable comb-like graft copolymers: Their unique architecture-determined LCST and UCST thermoresponsivity. Macromolecules 2011, 44, 999–1008. [Google Scholar] [CrossRef]
- Lambermont-Thijs, H.M.L.; Hoogenboom, R.; Fustin, C.A.; Bomal-D’Haese, C.; Gohy, J.F.; Schubert, U.S. Solubility behavior of amphophilic block and random copolymers based on 2-ethyl-2-oxazoline and 2-nonyl-2-oxazoline in binary water-ethanol mixtures. J. Polym. Sci. Part A Polym. Chem. 2009, 47, 515–522. [Google Scholar] [CrossRef]
- Guo, X.; Wang, L.; Wei, X.; Zhou, S. Polymer-based drug delivery systems for cancer treatment. J. Polym. Sci. Part A Polym. Chem. 2016, 54, 3525–3550. [Google Scholar] [CrossRef]
- Cao, P.F.; Mangadlao, J.D.; Advincula, R.C. Stimuli-Responsive Polymers and their Potential Applications in Oil-Gas Industry. Polym. Rev. 2015, 55, 706–733. [Google Scholar] [CrossRef]
- Weng, L.; Xie, J. Smart Electrospun Nanofibers for Controlled Drug Release: Recent Advances and New Perspectives. Curr. Pharm. Des. 2015, 21, 1944–1959. [Google Scholar] [CrossRef] [PubMed] [Green Version]
- Seuring, J.; Agarwal, S. First example of a universal and cost-effective approach: Polymers with tunable upper critical solution temperature in water and electrolyte solution. Macromolecules 2012, 45, 3910–3918. [Google Scholar] [CrossRef]
- Shimada, N.; Ino, H.; Maie, K.; Nakayama, M.; Kano, A.; Maruyama, A. Ureido-Derivatized Polymers Based on Both Poly(allylurea) and Poly(l-citrulline) Exhibit UCST-Type Phase Transition Behavior under Physiologically Relevant Conditions. Biomacromolecules 2011, 12, 3418–3422. [Google Scholar] [CrossRef] [PubMed]
- Lutz, J.F. Polymerization of oligo(ethylene glycol) (meth)acrylates: Toward new generations of smart biocompatible materials. J. Polym. Sci. Part A Polym. Chem. 2008, 46, 3459–3470. [Google Scholar] [CrossRef]
- Zheng, J.Y.; Tan, M.J.; Thoniyot, P.; Loh, X.J. Unusual thermogelling behaviour of poly[2-(dimethylamino)ethyl methacrylate] (PDMAEMA)-based polymers polymerized in bulk. RSC Adv. 2015, 5, 62314–62318. [Google Scholar] [CrossRef]
- Hoogenboom, R.; Schlaad, H. Thermoresponsive poly(2-oxazoline)s, polypeptoids, and polypeptides. Polym. Chem. 2017, 8, 24–40. [Google Scholar] [CrossRef] [Green Version]
- Uyama, H.; Kobayashi, S. A Novel Thermo-Sensitive Polymer. Poly(2-iso-propyl-2-oxazoline). Chem. Lett. 1992, 21, 1643–1646. [Google Scholar] [CrossRef]
- Halperin, A.; Kröger, M.; Winnik, F.M. Poly(N-isopropylacrylamide) Phase Diagrams: Fifty Years of Research. Angew. Chem. Int. Ed. 2015, 54, 15342–15367. [Google Scholar] [CrossRef]
- Callaway, E. Publishing elite turns against impact factor. Nature 2016, 535, 210–211. [Google Scholar] [CrossRef] [PubMed] [Green Version]
- Paulus, F.M.; Cruz, N.; Krach, S. The impact factor fallacy. Front. Psychol. 2018, 9, 1487. [Google Scholar] [CrossRef]
- Kumar, M. The import of the impact factor: Fallacies of citation-dependent scientometry. Bull. R. Coll. Surg. Engl. 2010, 92, 26–30. [Google Scholar] [CrossRef]
- Alberts, B. Impact factor distortions. Science 2013, 340, 787. [Google Scholar] [CrossRef] [Green Version]
- Shultz, A.R.; Flory, P.J. Phase Equilibria in Polymer—Solvent Systems. J. Am. Chem. Soc. 1952, 74, 4760–4767. [Google Scholar] [CrossRef]
- Kirsh, Y.E. Water Soluble Poly-N-Vinylamides: Synthesis and Physicochemical Properties; John Wiley & Sons: Hoboken, NJ, USA, 1998; ISBN 9780471976301. [Google Scholar]
- Kirsh, Y.E.; Yanul, N.A.; Kalninsh, K.K. Structural transformations and water associate interactions in poly-N-vinylcaprolactam-water system. Eur. Polym. J. 1999, 35, 305–316. [Google Scholar] [CrossRef]
- Koningsveld, R.; Staverman, A.J. Liquid–liquid phase separation in multicomponent polymer solutions. II. The critical state. J. Polym. Sci. Part A-2 Polym. Phys. 1968, 6, 325–347. [Google Scholar] [CrossRef]
- Prabaharan, M.; Grailer, J.J.; Steeber, D.A.; Gong, S. Stimuli-responsive chitosan-graft-Poly(N-vinylcaprolactam) as a promising material for controlled hydrophobic drug delivery. Macromol. Biosci. 2008, 8, 843–851. [Google Scholar] [CrossRef] [PubMed]
- Chauhan, D.S.; Indulekha, S.; Gottipalli, R.; Reddy, B.P.K.; Chikate, T.R.; Gupta, R.; Jahagirdar, D.N.; Prasad, R.; De, A.; Srivastava, R. NIR light-triggered shrinkable thermoresponsive PNVCL nanoshells for cancer theranostics. RSC Adv. 2017, 7, 44026–44034. [Google Scholar] [CrossRef] [Green Version]
- Indulekha, S.; Arunkumar, P.; Bahadur, D.; Srivastava, R. Dual responsive magnetic composite nanogels for thermo-chemotherapy. Colloids Surf. B Biointerfaces 2017, 155, 304–313. [Google Scholar] [CrossRef]
- Indulekha, S.; Arunkumar, P.; Bahadur, D.; Srivastava, R. Thermoresponsive polymeric gel as an on-demand transdermal drug delivery system for pain management. Mater. Sci. Eng. C 2016, 62, 113–122. [Google Scholar] [CrossRef]
- Vihola, H.; Laukkanen, A.; Valtola, L.; Tenhu, H.; Hirvonen, J. Cytotoxicity of thermosensitive polymers poly(N-isopropylacrylamide), poly(N-vinylcaprolactam) and amphiphilically modified poly(N-vinylcaprolactam). Biomaterials 2005, 26, 3055–3064. [Google Scholar] [CrossRef]
- Solomon, O.F.; Corciovei, M.; Ciută, I.; Boghină, C. Properties of solutions of poly-N-vinylcaprolactam. J. Appl. Polym. Sci. 1968, 12, 1835–1842. [Google Scholar] [CrossRef]
- Tager, A.A.; Safronov, A.P.; Sharina, S.V.; Galaev, I.Y. Thermodynamic study of poly(N-vinyl caprolactam) hydration at temperatures close to lower critical solution temperature. Colloid Polym. Sci. 1993, 271, 868–872. [Google Scholar] [CrossRef]
- Laukkanen, A.; Valtola, L.; Winnik, F.M.; Tenhu, H. Formation of colloidally stable phase separated poly(N-vinylcaprolactam) in water: A study by dynamic light scattering, microcalorimetry, and pressure perturbation calorimetry. Macromolecules 2004, 37, 2268–2274. [Google Scholar] [CrossRef]
- Medeiros, S.F.; Barboza, J.C.S.; Ré, M.I.; Giudici, R.; Santos, A.M. Solution polymerization of N-vinylcaprolactam in 1,4-dioxane. Kinetic dependence on temperature, monomer, and initiator concentrations. J. Appl. Polym. Sci. 2010, 118, 229–240. [Google Scholar] [CrossRef]
- Shao, L.; Hu, M.; Chen, L.; Xu, L.; Bi, Y. RAFT polymerization of N-vinylcaprolactam and effects of the end group on the thermal response of poly(N-vinylcaprolactam). React. Funct. Polym. 2012, 72, 407–413. [Google Scholar] [CrossRef]
- Marsili, L.; Bo, M.D.; Eisele, G.; Donati, I.; Berti, F.; Toffoli, G. Characterization of Thermoresponsive Poly-N-Vinylcaprolactam Polymers for Biological Applications. Polymers 2021, 13, 2639. [Google Scholar] [CrossRef]
- Steinhauer, W.; Hoogenboom, R.; Keul, H.; Moeller, M. Block and Gradient Copolymers of 2-Hydroxyethyl Acrylate and 2-Methoxyethyl Acrylate via RAFT: Polymerization Kinetics, Thermoresponsive Properties, and Micellization. Macromolecules 2013, 46, 1447–1460. [Google Scholar] [CrossRef]
- Steinhauer, W.; Hoogenboom, R.; Keul, H.; Moeller, M. Copolymerization of 2-Hydroxyethyl Acrylate and 2-Methoxyethyl Acrylate via RAFT: Kinetics and Thermoresponsive Properties. Macromolecules 2010, 43, 7041–7047. [Google Scholar] [CrossRef]
- Zhang, Q.; Schattling, P.; Theato, P.; Hoogenboom, R. Tuning the upper critical solution temperature behavior of poly(methyl methacrylate) in aqueous ethanol by modification of an activated ester comonomer. Polym. Chem. 2012, 3, 1418–1426. [Google Scholar] [CrossRef]
- Kwon, G.S.; Kataoka, K. Block copolymer micelles as long-circulating drug vehicles. Adv. Drug Deliv. Rev. 1995, 16, 295–309. [Google Scholar] [CrossRef]
- Kataoka, K.; Harada, A.; Nagasaki, Y. Block copolymer micelles for drug delivery: Design, characterization and biological significance. Adv. Drug Deliv. Rev. 2001, 47, 113–131. [Google Scholar] [CrossRef] [PubMed]
- Hoogenboom, R.; Thijs, H.M.L.; Jochems, M.J.H.C.; van Lankvelt, B.M.; Fijten, M.W.M.; Schubert, U.S. Tuning the LCST of poly(2-oxazoline)s by varying composition and molecular weight: Alternatives to poly(N-isopropylacrylamide)? Chem. Commun. 2008, 44, 5758–5760. [Google Scholar] [CrossRef]
- Zhang, Y.; Furyk, S.; Bergbreiter, D.E.; Cremer, P.S. Specific Ion Effects on the Water Solubility of Macromolecules: PNIPAM and the Hofmeister Series. J. Am. Chem. Soc. 2005, 127, 14505–14510. [Google Scholar] [CrossRef]
- Ieong, N.S.; Hasan, M.; Phillips, D.J.; Saaka, Y.; O’Reilly, R.K.; Gibson, M.I. Polymers with molecular weight dependent LCSTs are essential for cooperative behaviour. Polym. Chem. 2012, 3, 794–799. [Google Scholar] [CrossRef]
- Marsili, L.; Bo, M.D.; Berti, F.; Toffoli, G. Thermoresponsive chitosan-grafted-Poly (N-Vinylcaprolactam) microgels via ionotropic gelation for oncological applications. Pharmaceutics 2021, 13, 1654. [Google Scholar]
- Gao, Y.; Yang, J.; Ding, Y.; Ye, X. Effect of urea on phase transition of poly(N-isopropylacrylamide) investigated by differential scanning calorimetry. J. Phys. Chem. B 2014, 118, 9460–9466. [Google Scholar] [CrossRef]
- Shostakovsky, M.F.; Sidelkovskaya, F.P.; Zelenskaya, M.G. Synthesis and transformations of vinylcaprolactam Part 1. Polymerization in presence of hydrogen peroxide. Bull. Acad. Sci. USSR Div. Chem. Sci. 1952, 1, 633–636. [Google Scholar] [CrossRef]
- Eisele, M.; Burchard, W. Hydrophobic water-soluble polymers, 1. Dilute solution properties of poly(1-vinyl-2-piperidone) and poly(N-vinylcaprolactam). Die Makromol. Chem. 1990, 191, 169–184. [Google Scholar] [CrossRef]
- Kalugin, D.I.; Talyzenkov, Y.A.; Lachinov, M.B. Radical polymerization of N-vinylcaprolactam in benzene solutions in a wide conversion range. Polym. Sci. Ser. B 2008, 50, 299–304. [Google Scholar] [CrossRef]
- Makhaeva, E.E.; Tenhu, H.; Khokhlov, A.R. Conformational changes of poly(vinylcaprolactam) macromolecules and their complexes with ionic surfactants in aqueous solution. Macromolecules 1998, 31, 6112–6118. [Google Scholar] [CrossRef]
- Zhang, L.; Liang, Y.; Meng, L. Thermo-sensitive amphiphilic poly(N-vinylcaprolactam) copolymers: Synthesis and solution properties. Polym. Adv. Technol. 2010, 21, 720–725. [Google Scholar] [CrossRef]
- Serra, A.C.; Góis, J.R.; Coelho, J.F.J.; Popov, A.V.; Costa, J.R.C. Synthesis of well-defined alkyne terminated poly(N-vinyl caprolactam) with stringent control over the LCST by RAFT. RSC Adv. 2016, 6, 16996–17007. [Google Scholar] [CrossRef] [Green Version]
- Lozinsky, V.I.; Simenel, I.A.; Kurskaya, E.A.; Kulakova, V.K.; Galaev, I.Y.; Mattiasson, B.; Grinberg, V.Y.; Grinberg, N.V.; Khokhlov, A.R. Synthesis of N-vinylcaprolactam polymers in water-containing media. Polymer 2000, 41, 6507–6518. [Google Scholar] [CrossRef]
- Singh, P.; Srivastava, A.; Kumar, R. Synthesis of amphiphilic poly(N-vinylcaprolactam) using ATRP protocol and antibacterial study of its silver nanocomposite. J. Polym. Sci. Part A Polym. Chem. 2012, 50, 1503–1514. [Google Scholar] [CrossRef]
- Van Nieuwenhove, I.; Maji, S.; Dash, M.; van Vlierberghe, S.; Hoogenboom, R.; Dubruel, P. RAFT/MADIX polymerization of N-vinylcaprolactam in water-ethanol solvent mixtures. Polym. Chem. 2017, 8, 2433–2437. [Google Scholar] [CrossRef]
- Schild, H.G.; Tirrell, D.A. Microcalorimetric detection of lower critical solution temperatures in aqueous polymer solutions. J. Phys. Chem. 1990, 94, 4352–4356. [Google Scholar] [CrossRef]
- Chilkoti, A.; Dreher, M.R.; Meyer, D.E.; Raucher, D. Targeted drug delivery by thermally responsive polymers. Adv. Drug Deliv. Rev. 2002, 54, 613–630. [Google Scholar] [CrossRef]
- Shtanko, N.I.; Lequieu, W.; Goethals, E.J.; du Prez, F.E. pH- and thermo-responsive properties of poly(N-vinylcaprolactam-co-acrylic acid) copolymers. Polym. Int. 2003, 52, 1605–1610. [Google Scholar] [CrossRef]
- Kozanoǧlu, S.; Özdemir, T.; Usanmaz, A. Polymerization of N-vinylcaprolactam and characterization of poly(N-vinylcaprolactam). J. Macromol. Sci. Part A Pure Appl. Chem. 2011, 48, 467–477. [Google Scholar] [CrossRef]
- Rao, K.; Rao, K.; Ha, C.-S. Stimuli Responsive Poly(Vinyl Caprolactam) Gels for Biomedical Applications. Gels 2016, 2, 6. [Google Scholar] [CrossRef] [PubMed]
- Wu, J.Y.; Liu, S.Q.; Heng, P.W.S.; Yang, Y.Y. Evaluating proteins release from, and their interactions with, thermosensitive poly (N-isopropylacrylamide) hydrogels. J. Control. Release 2005, 102, 361–372. [Google Scholar] [CrossRef]
- Maeda, Y.; Nakamura, T.; Ikeda, I. Hydration and phase behavior of poly(N-vinylcaprolactam) and poly(N-vinylpyrrolidone) in water. Macromolecules 2002, 35, 217–222. [Google Scholar] [CrossRef]
- Lau, A.C.W.; Wu, C. Thermally Sensitive and Biocompatible Poly(N-vinylcaprolactam): Synthesis and Characterization of High Molar Mass Linear Chains. Macromolecules 1999, 32, 581–584. [Google Scholar] [CrossRef]
- Lebedev, V.; Török, G.; Cser, L.; Treimer, W.; Orlova, D.; Sibilev, A. Polymer hydration and microphase decomposition in poly(N-vinylcaprolactam)-water complex. J. Appl. Crystallogr. 2003, 36, 967–969. [Google Scholar] [CrossRef]
- Chee, C.K.; Rimmer, S.; Soutar, I.; Swanson, L. Fluorescence investigations of the conformational behaviour of Poly(N-vinylcaprolactam). React. Funct. Polym. 2006, 66, 1–11. [Google Scholar] [CrossRef]
- Guan, Y.; Zhang, Y. PNIPAM microgels for biomedical applications: From dispersed particles to 3D assemblies. Soft Matter 2011, 7, 6375–6384. [Google Scholar] [CrossRef]
- Lanzalaco, S.; Armelin, E. Poly(N-isopropylacrylamide) and Copolymers: A Review on Recent Progresses in Biomedical Applications. Gels 2017, 3, 36. [Google Scholar] [CrossRef] [PubMed]
- Imaz, A.; Miranda, J.I.; Ramos, J.; Forcada, J. Evidences of a hydrolysis process in the synthesis of N-vinylcaprolactam-based microgels. Eur. Polym. J. 2008, 44, 4002–4011. [Google Scholar] [CrossRef]
- Enomoto, Y.; Kamitakahara, H.; Takano, T.; Nakatsubo, F. Synthesis of diblock copolymers with cellulose derivatives. 3. Cellulose derivatives carrying a single pyrene group at the reducing-end and fluorescent studies of their self-assembly systems in aqueous NaOH solutions. Cellulose 2006, 13, 437–448. [Google Scholar] [CrossRef]
- Shah, S.; Pal, A.; Gude, R.; Devi, S. Synthesis and characterization of thermo-responsive copolymeric nanoparticles of poly(methyl methacrylate-co-N-vinylcaprolactam). Eur. Polym. J. 2010, 46, 958–967. [Google Scholar] [CrossRef]
- Ainara, I.; Jacqueline, F. N-vinylcaprolactam-based microgels for biomedical applications. J. Polym. Sci. Part A Polym. Chem. 2010, 48, 1173–1181. [Google Scholar]
- BASF. Luviskol® Plus Technical Information; BASF: Ludwigshafen, Germany, 2011. [Google Scholar]
- Makhaeva, E.E.; Tenhu, H.; Khokhlov, A.R. Behaviour of poly(N-vinylcaprolactam) macromolecules in the presence of organic compounds in aqueous solution. Polymer 2000, 41, 9139–9145. [Google Scholar] [CrossRef]
- Sanoj Rejinold, N.; Muthunarayanan, M.; Divyarani, V.V.; Sreerekha, P.R.; Chennazhi, K.P.; Nair, S.V.; Tamura, H.; Jayakumar, R. Curcumin-loaded biocompatible thermoresponsive polymeric nanoparticles for cancer drug delivery. J. Colloid Interface Sci. 2011, 360, 39–51. [Google Scholar] [CrossRef]
- Markvicheva, E.A.; Lozinsky, V.I.; Plieva, F.M.; Kochetkov, K.A.; Rumsh, L.D.; Zubov, V.P.; Maity, J.; Kumar, R.; Parmar, V.S.; Belokon, Y.N. Gel-immobilized enzymes as promising biocatalysts: Results from Indo-Russian collaborative studies. Pure Appl. Chem. 2005, 77, 227–236. [Google Scholar] [CrossRef]
- Galaev, I.Y.; Mattiasson, B. Affinity thermoprecipitation of trypsin using soybean trypsin inhibitor conjugated with a thermo-reactive polymer, poly(N-vinyl caprolactam). Biotechnol. Technol. 1992, 6, 353–358. [Google Scholar] [CrossRef]
- Markvicheva, E.; Kuptsova, S.; Mareeva, T.; Vikhrov, A.; Dugina, T.; Strukova, S.; Belokon, Y.; Kochetkov, K.; Baranova, E.; Zubov, V. Immobilized enzymes and cells in poly (N-vinyl caprolactam)-based hydrogels. Appl. Biochem. Biotechnol. 2000, 88, 145–157. [Google Scholar] [CrossRef]
- Shakya, A.K.; Holmdahl, R.; Nandakumar, K.S.; Kumar, A. Polymeric cryogels are biocompatible, and their biodegradation is independent of oxidative radicals. J. Biomed. Mater. Res. Part A 2014, 102, 3409–3418. [Google Scholar] [CrossRef] [PubMed]
- Markvicheva, E.A.; Kuptsova, S.V.; Buryakov, A.N.; Babak, V.G.; Varlamova, E.A.; Dugina, T.N.; Strukova, S.M.; Lange, M.A.; Vasilieva, T.V.; Rumsh, L.D. Proteases Entrapped in Polymer Composite Hydrogels: Preparation Methods and Applications. Vestn. Mosk. Univ. Khimiya 2000, 41, 54–57. [Google Scholar]
- Lizardi-Mendoza, J.; Argüelles Monal, W.M.; Goycoolea Valencia, F.M. Chemical characteristics and functional properties of Chitosan. In Chitosan in the Preservation of Agricultural Commodities; Elsevier: Amsterdam, The Netherlands, 2016; ISBN 9780128027356. [Google Scholar]
- Anitha, A.; Rejinold, S.N.; Bumgardner, J.D.; Nair, S.V.; Jayakumar, R. Approaches for Functional Modification or Cross-Linking of Chitosan. In Chitosan-Based Systems for Biopharmaceuticals: Delivery, Targeting and Polymer Therapeutics; John Wiley & Sons: Hoboken, NJ, USA, 2012; pp. 107–124. [Google Scholar]
- Argüelles-Monal, W.; Recillas-Mota, M.; Fernández-Quiroz, D. Chitosan-based thermosensitive materials. In Biological Activities and Application of Marine Polysaccharides; Wiley: Hoboken, NJ, USA, 2017. [Google Scholar]
- Rostovtsev, V.V.; Green, L.G.; Fokin, V.V.; Sharpless, K.B. A stepwise huisgen cycloaddition process: Copper(I)-catalyzed regioselective “ligation” of azides and terminal alkynes. Angew. Chem. Int. Ed. 2002, 21, 1174. [Google Scholar] [CrossRef]
- Wu, P.; Feldman, A.K.; Nugent, A.K.; Hawker, C.J.; Scheel, A.; Voit, B.; Pyun, J.; Fréchet, J.M.J.; Sharpless, K.B.; Fokin, V.V. Efficiency and fidelity in a click-chemistry route to triazole dendrimers by the copper(I)-catalyzed ligation of azides and alkynes. Angew. Chem. Int. Ed. 2004, 43, 3928. [Google Scholar] [CrossRef]
- Wang, Q.; Chan, T.R.; Hilgraf, R.; Fokin, V.V.; Sharpless, K.B.; Finn, M.G. Bioconjugation by copper(I)-catalyzed azide-alkyne [3 + 2] cycloaddition. J. Am. Chem. Soc. 2003, 4, 1147–1149. [Google Scholar] [CrossRef]
- Bao, H.; Li, L.; Gan, L.H.; Ping, Y.; Li, J.; Ravi, P. Thermo-and pH-responsive association behavior of dual hydrophilic graft chitosan terpolymer synthesized via ATRP and click chemistry. Macromolecules 2010, 43, 5679–5687. [Google Scholar] [CrossRef]
- Malhotra, M.; Lane, C.; Tomaro-Duchesneau, C.; Saha, S.; Prakash, S. A novel method for synthesizing PEGylated chitosan nanoparticles: Strategy, preparation, and in vitro analysis. Int. J. Nanomed. 2011, 6, 485–494. [Google Scholar] [CrossRef] [Green Version]
- Kurita, K.; Ikeda, H.; Shimojoh, M.; Yang, J. N-phthaloylated chitosan as an essential precursor for controlled chemical modifications of chitosan: Synthesis and evaluation. Polym. J. 2007, 39, 945–952. [Google Scholar] [CrossRef] [Green Version]
- Chen, C.; Liu, M.; Gao, C.; Lü, S.; Chen, J.; Yu, X.; Ding, E.; Yu, C.; Guo, J.; Cui, G. A convenient way to synthesize comb-shaped chitosan-graft-poly (N-isopropylacrylamide) copolymer. Carbohydr. Polym. 2013, 92, 621–628. [Google Scholar] [CrossRef]
- Niu, S.; Williams, G.R.; Wu, J.; Wu, J.; Zhang, X.; Chen, X.; Li, S.; Jiao, J.; Zhu, L.M. A chitosan-based cascade-responsive drug delivery system for triple-negative breast cancer therapy. J. Nanobiotechnol. 2019, 17, 95. [Google Scholar] [CrossRef]
- Sahebi, H.; Pourmortazavi, S.M.; Zandavar, H.; Mirsadeghi, S. Chitosan grafted onto Fe3O4@poly(: N -vinylcaprolactam) as a new sorbent for detecting Imatinib mesylate in biosamples using UPLC-MS/MS. Analyst 2019, 144, 7336–7350. [Google Scholar] [CrossRef] [PubMed]
- Bao, H.; Li, L.; Leong, W.C.; Gan, L.H. Thermo-responsive association of chitosan-graft -poly(N-isopropylacrylamide) in aqueous solutions. J. Phys. Chem. B 2010, 114, 10666–10673. [Google Scholar] [CrossRef] [PubMed]
- Jenkins, D.W.; Hudson, S.M. Review of vinyl graft copolymerization featuring recent advances toward controlled radical-based reactions and illustrated with chitin/chitosan trunk polymers. Chem. Rev. 2001, 101, 3245–3274. [Google Scholar]
- Cao, Y.; Zhang, C.; Shen, W.; Cheng, Z.; Yu, L.; Ping, Q. Poly(N-isopropylacrylamide)-chitosan as thermosensitive in situ gel-forming system for ocular drug delivery. J. Control. Release 2007, 120, 186–194. [Google Scholar] [CrossRef]
- Wang, L.Q.; Tu, K.; Li, Y.; Fu, J.; Yu, F. Micellization behavior of temperature-responsive poly (N-isopropylacrylamide) grafted dextran copolymers. J. Mater. Sci. Lett. 2002, 21, 1453–1455. [Google Scholar] [CrossRef]
- Lee, C.F.; Wen, C.J.; Chiu, W.Y. Synthesis of poly(chitosan-N-isopropylacrylamide) complex particles with the method of soapless dispersion polymerization. J. Polym. Sci. Part A Polym. Chem. 2003, 41, 2053–2063. [Google Scholar] [CrossRef]
- Nie, P.; He, X.; Chen, L. Temperature-sensitive chitosan membranes as a substrate for cell adhesion and cell sheet detachment. Polym. Adv. Technol. 2012, 23, 447–453. [Google Scholar] [CrossRef]
- Liu, S.; Zhang, J.; Cui, X.; Guo, Y.; Zhang, X.; Hongyan, W. Synthesis of chitosan-based nanohydrogels for loading and release of 5-fluorouracil. Colloids Surfaces A Physicochem. Eng. Asp. 2016, 490, 91–97. [Google Scholar] [CrossRef]
- Sanoj Rejinold, N.; Sreerekha, P.R.; Chennazhi, K.P.; Nair, S.V.; Jayakumar, R. Biocompatible, biodegradable and thermo-sensitive chitosan-g-poly (N-isopropylacrylamide) nanocarrier for curcumin drug delivery. Int. J. Biol. Macromol. 2011, 49, 161–172. [Google Scholar] [CrossRef]
- Antoniraj, M.G.; Kumar, C.S.; Kandasamy, R. Synthesis and characterization of poly (N-isopropylacrylamide)-g-carboxymethyl chitosan copolymer-based doxorubicin-loaded polymeric nanoparticles for thermoresponsive drug release. Colloid Polym. Sci. 2016, 294, 527–535. [Google Scholar] [CrossRef]
- Chen, J.P.; Cheng, T.H. Thermo-responsive chitosan-graft-poly(N-isopropylacrylamide) injectable hydrogel for cultivation of chondrocytes and meniscus cells. Macromol. Biosci. 2006, 6, 1026–1039. [Google Scholar] [CrossRef]
- Lee, C.F.; Wen, C.J.; Lin, C.L.; Chiu, W.Y. Morphology and temperature responsiveness-swelling relationship of poly(N-isopropylamide-chitosan) copolymers and their application to drug release. J. Polym. Sci. Part A Polym. Chem. 2004, 294, 527–535. [Google Scholar] [CrossRef]
- Li, G.; Guo, L.; Chang, X.; Yang, M. Thermo-sensitive chitosan based semi-IPN hydrogels for high loading and sustained release of anionic drugs. Int. J. Biol. Macromol. 2012, 50, 899–904. [Google Scholar] [CrossRef]
- Wang, Y.; Xu, H.; Wang, J.; Ge, L.; Zhu, J. Development of a thermally responsive nanogel based on chitosan-Poly(N- Isopropylacrylamide-co-Acrylamide) for paclitaxel delivery. J. Pharm. Sci. 2014, 103, 2012–2021. [Google Scholar] [CrossRef]
- Raskin, M.M.; Schlachet, I.; Sosnik, A. Mucoadhesive nanogels by ionotropic crosslinking of chitosan-g-oligo(NiPAam) polymeric micelles as novel drug nanocarriers. Nanomedicine 2016, 11, 217–233. [Google Scholar] [CrossRef] [PubMed]
- Xu, L.; Liang, X.; You, L.; Yang, Y.; Fen, G.; Gao, Y.; Cui, X. Temperature-sensitive poly(N-isopropylacrylamide)-chitosan hydrogel for fluorescence sensors in living cells and its antibacterial application. Int. J. Biol. Macromol. 2021, 189, 316–323. [Google Scholar] [CrossRef] [PubMed]
- Gui, R.; Wang, Y.; Sun, J. Encapsulating magnetic and fluorescent mesoporous silica into thermosensitive chitosan microspheres for cell imaging and controlled drug release in vitro. Colloids Surf. B Biointerfaces 2014, 113, 1–9. [Google Scholar] [CrossRef]
- Gui, R.; Wang, Y.; Sun, J. Embedding fluorescent mesoporous silica nanoparticles into biocompatible nanogels for tumor cell imaging and thermo/pH-sensitive in vitro drug release. Colloids Surf. B Biointerfaces 2014, 116, 518–525. [Google Scholar] [CrossRef] [PubMed]
- Hernández-Téllez, C.N.; Luque-Alcaraz, A.G.; Plascencia-Jatomea, M.; Higuera-Valenzuela, H.J.; Burgos-Hernández, M.; García-Flores, N.; Álvarez-Ramos, M.E.; Iriqui-Razcon, J.L.; Hernández-Abril, P.A. Synthesis and Characterization of a Fe3O4@ PNIPAM-Chitosan Nanocomposite and Its Potential Application in Vincristine Delivery. Polymers 2021, 13, 1704. [Google Scholar]
- Jain, E.; Damania, A.; Shakya, A.K.; Kumar, A.; Sarin, S.K.; Kumar, A. Fabrication of macroporous cryogels as potential hepatocyte carriers for bioartificial liver support. Colloids Surf. B Biointerfaces 2015, 136, 761–771. [Google Scholar] [CrossRef]
- Kudyshkin, V.O.; Milusheva, R.Y.; Futoryanskaya, A.M.; Yunusov, M.Y.; Rashidova, S.S. Synthesis of graft copolymers of N-vinylcaprolactam on chitosan. Russ. J. Appl. Chem. 2007, 80, 1750–1752. [Google Scholar] [CrossRef]
- Nud’ga, L.A.; Petrova, V.A.; Klishevich, N.V.; Litvinova, L.S.; Babenko, A.; Shelegedin, V.N. Synthesis and microbiological stability of graft copolymers of N-vinylpyrrolidone and chitosan. Russ. J. Appl. Chem. 2002, 75, 1678–1682. [Google Scholar] [CrossRef]
- Nud’ga, L.A.; Petrova, V.A.; Lebedeva, M.F.; Petropavlovskii, G.A. Graft polymerization of vinyl acetate on chitosan in acid medium. Russ. J. Appl. Chem. 1996, 69, 1058–1063. [Google Scholar]
- Kholmuminov, A.A.; Kudyshkin, V.O.; Futoryanskaya, A.M.; Avazova, O.B.; Milusheva, R.Y.; Rashidova, S.S. Rheological properties of solutions of chitosan and its graft copolymer with N-vinylcaprolactam. Polym. Sci. Ser. A 2010, 52, 939–941. [Google Scholar] [CrossRef]
- Rejinold, N.S.; Thomas, R.G.; Muthiah, M.; Lee, H.J.; Jeong, Y.Y.; Park, I.K.; Jayakumar, R. Breast tumor targetable Fe3O4 embedded thermo-responsive nanoparticles for radiofrequency assisted drug delivery. J. Biomed. Nanotechnol. 2016, 12, 43–55. [Google Scholar] [CrossRef] [PubMed]
- Sanoj Rejinold, N.; Thomas, R.G.; Muthiah, M.; Chennazhi, K.P.; Manzoor, K.; Park, I.K.; Jeong, Y.Y.; Jayakumar, R. Anti-cancer, pharmacokinetics and tumor localization studies of pH-, RF- and thermo-responsive nanoparticles. Int. J. Biol. Macromol. 2015, 74, 249–262. [Google Scholar] [CrossRef]
- Rejinold, N.S.; Thomas, R.G.; Muthiah, M.; Chennazhi, K.P.; Park, I.K.; Jeong, Y.Y.; Manzoor, K.; Jayakumar, R. Radio frequency triggered curcumin delivery from thermo and pH responsive nanoparticles containing gold nanoparticles and its in vivo localization studies in an orthotopic breast tumor model. RSC Adv. 2014, 4, 39408–39427. [Google Scholar] [CrossRef]
- Boyko, V.B. N-Vinylcaprolactam based Bulk and Microgels: Synthesis, Structural Formation and Characterization by Dynamic Light Scattering. Ph.D. Thesis, Technische Universität Dresden, Dresden, Germany, 29 October 2004. [Google Scholar]
- Rejinold, N.S.; Baby, T.; Chennazhi, K.P.; Jayakumar, R. Multi drug loaded thermo-responsive fibrinogen-graft-poly(N-vinyl caprolactam) nanogels for breast cancer drug delivery. J. Biomed. Nanotechnol. 2015, 11, 392–402. [Google Scholar] [CrossRef]
- Janes, K.A.; Fresneau, M.P.; Marazuela, A.; Fabra, A.; Alonso, M.J. Chitosan nanoparticles as delivery systems for doxorubicin. J. Control. Release 2001, 73, 255–267. [Google Scholar] [CrossRef]
- Sanyakamdhorn, S.; Agudelo, D.; Tajmir-Riahi, H.A. Encapsulation of antitumor drug doxorubicin and its analogue by chitosan nanoparticles. Biomacromolecules 2013, 14, 557–563. [Google Scholar] [CrossRef] [PubMed]
- Rampino, A.; Borgogna, M.; Blasi, P.; Bellich, B.; Cesàro, A. Chitosan nanoparticles: Preparation, size evolution and stability. Int. J. Pharm. 2013, 455, 219–228. [Google Scholar] [CrossRef] [PubMed]
- Banihashem, S.; Nezhati, M.N.; Panahia, H.A. Synthesis of chitosan-grafted-poly(N-vinylcaprolactam) coated on the thiolated gold nanoparticles surface for controlled release of cisplatin. Carbohydr. Polym. 2020, 227, 115333. [Google Scholar] [CrossRef]
- Durkut, S. Thermoresponsive poly (N-vinylcaprolactam)-g-galactosylated chitosan hydrogel: Synthesis, characterization, and controlled release properties. Int. J. Polym. Mater. Polym. Biomater. 2019, 68, 1034–1047. [Google Scholar] [CrossRef]
- Hermosillo-Ochoa, E.; Picos-Corrales, L.A.; Licea-Claverie, A. Eco-friendly flocculants from chitosan grafted with PNVCL and PAAc: Hybrid materials with enhanced removal properties for water remediation. Sep. Purif. Technol. 2021, 258, 118052. [Google Scholar] [CrossRef]
- Munro, N.H.; Hanton, L.R.; Moratti, S.C.; Robinson, B.H. Synthesis and characterisation of chitosan-graft-poly(OEGMA) copolymers prepared by ATRP. Carbohydr. Polym. 2009, 77, 496–505. [Google Scholar] [CrossRef]
- Li, X.; Yuan, W.; Gu, S.; Ren, J. Synthesis and self-assembly of tunable thermosensitive chitosan amphiphilic copolymers by click chemistry. Mater. Lett. 2010, 64, 2663–2666. [Google Scholar] [CrossRef]
- Kwan, S.; Marić, M. Thermoresponsive polymers with tunable cloud point temperatures grafted from chitosan via nitroxide mediated polymerization. Polymer 2016, 86, 69–82. [Google Scholar] [CrossRef]
- Deng, L.; Ren, J.; Li, J.; Leng, J.; Qu, Y.; Lin, C.; Shi, D. Magnetothermally responsive star-block copolymeric micelles for controlled drug delivery and enhanced thermo-chemotherapy. Nanoscale 2015, 7, 9655–9663. [Google Scholar] [CrossRef] [Green Version]
- Shou, Y.; Zhang, J.; Yan, S.; Xia, P.; Xu, P.; Li, G.; Zhang, K.; Yin, J. Thermoresponsive Chitosan/DOPA-Based Hydrogel as an Injectable Therapy Approach for Tissue-Adhesion and Hemostasis. ACS Biomater. Sci. Eng. 2020, 6, 3619–3629. [Google Scholar] [CrossRef] [PubMed]









| Source | Name | Structure | Biological Activity |
|---|---|---|---|
| Plants | Cellulose | β-(1→4) linked D-glucopyranose | Bowel movement regulator, stool bulk increaser |
| Hemicellulose | Xylans, mannans, mixed linkage β-glucans and xyloglucans | Bowel movement and cholesterol level regulator, free radicals scavenger, immunomodulator and antithrombotic | |
| Starch | α-(1→4) and/or (1→6) linked d-glucopyranose | Prebiotic agent, regulation of blood glucose levels, enhancement of mineral absorption, prevention of colorectal cancer | |
| β-glucans | β-(1→4) and β-(1→3) linked d-Glucopyranose | Cholesterol and blood glucose levels regulator, immunostimulator, antihypertensive | |
| β-glucans | β-(1→4) and β-(1→3) linked d-Glucopyranose | Cholesterol and blood glucose levels regulator, immunostimulator, antihypertensive | |
| Glucomannan | β-(1→4) linked-d-glucopyranose and β-(1→4)-linked d-mannose | Cholesterol level regulator, anticonstipation agent | |
| Inulin | β-(1→2) linked d-Fructofuranose | Hypolipidemic and prebiotic agent, mineral absorption enhancer | |
| Pectins | α-(1→4) linked d-galacturonic acid and rhamnose backbone, arabinose, galactose, xylose side chains, partially O-methyl/acetylated | Cholesterol level regulator, intestinal immunomodulator, gastric and small-intestine and cholesterol-lowering effects, gastric emptying decreaser | |
| Guar, Arabic and locust bean gum | Galactan, xylan, xyloglucan, glucuronic mannan, galacturonic rhamnosan type | Hypocholesterolemic and hypotriglyceridemic agent, gastric emptying decreaser | |
| Animals | Chitin and chitosan | β–(1→4) linked d-glucosamine, partially N-acetylated | Tablet component, absorption-enhancing agent |
| Hyaluronic acid (hyaluronan) | β-(1→4) and β-(1→3) linked glucuronic acid and N-acetylglucosamine | Useful in cancer, wound repair, inflammation, granulation, cell migration, skin healing, fetal wound healing | |
| Heparin | 2-O-sulphated-α-l-iduronic acid, β-d-glucuronic acid and N-sulfated or 6-O-sulfated-α-d-glucosamine | Anticoagulant, used in cancer treatment, tissue engineering and biosensors | |
| Algae | Alginates | Β-(1→4) linked d-mannuronate and α-l-guluronate | Controlled drug release, cells encapsulation, tissue engineering and for preparation of dental molds |
| Carrageenan | α-(1→4) and β-(1→3) linked d-galactose and d-anhydrogalactose, partially substituted by ester sulphates | Buccal, ophthalmic and vaginal drug delivery systems | |
| Red algae sulphated polysaccharides, porphyran, | Backbone of alternating β-(1→3) linked d-galactosyl units and α-(1→4) linked l-galactosyl, (1→6) 3,6-anhydro or sulphate-α-l galactosyl units | Antiviral (herpes simplex virus types 1 and 2) | |
| Green algae sulphated polysaccharides | (1→3) linked galactose, (1→3) linked arabinose, partially 6-O and 3-O sulphated, (1→4)-linked glucopyranose and terminal (1→4)-linked xylose | Antioxidant and anticoagulant | |
| Microorganisms | Dextran | α-(1→6) linked d-Glucopyranose with α-1,3 branches | Plasma expander |
| Pullulan | α-(1→4) and α-(1→6) linked glucan or maltotriose | Anticoagulant and plasma expander | |
| Xantan gum | α-(1→3) linked glucopyranose backbone with trisaccharide side chains containing d-mannose-β-(1→4)-d-glucuronic acid-β -(1→2)-d-mannose | Carrier for drug and proteins | |
| Gellan gum | d-glucopyranose-β-(1→4)-d-glucoronic acid- β-(1→4)-glucopyranose- β-(1→2)-l-rhamnose α-(1→4) | Multifunctional excipient for pharmaceutical formulation |
| Miscibility Behavior | LCST Dependence on Molecular Weight |
|---|---|
| Type I | Dependent |
| Type II | Independent |
| Type III | Dependent for diluted solution, independent for concentrated solution |
| Name | Structure | UCST (°C) | LCST (°C) | Ref. |
|---|---|---|---|---|
| Hydroxypropyl cellulose (HPC) | ![]() | 45.3–58.1 | [124] | |
| methylcellulose | ![]() | 51.6 | [124] | |
| poly(acrylamide-co-acrylonitrlyle) (PAAm-co-PAN) | ![]() | 6.4–57 | [136] | |
| poly(allylamine-co-allylurea) (PAA-co-PAU) | ![]() | 25–54 | [100,137] | |
| poly(p-dioxanone)-g-poly(vinylalcohol) (PPDO-g-PVA) | ![]() | 30–80 | 30–80 | [131] |
| Poly(ethylene oxide) (PEO) | ![]() | 100–175 | [133] | |
| Poly(ethylene glycol) methacrylate (PEGMA/OEGMA) | ![]() | 26–90 | [138] | |
| poly(ethylene oxide)-b-poly(propylene oxide)-b- poly(ethylene oxide (PEO-PPO-PEO or Pluronics or Polaxamer) | ![]() | 12.5–52.5 | [135] | |
| poly(hydroxyethylmethacrylate) (PHEMA) | ![]() | 22 | [133] | |
| poly(methacryl amide) (PMAAm) | ![]() | 60 | [133] | |
| Poly(propylene glycol) | ![]() | 15–42 | [133] | |
| poly(vinyl methyl ether) (PMVE) | ![]() | 33–37 | [124,133,135] | |
| poly(vinylalcohol) (PVA) | ![]() | 241 | [124] | |
| Poly(vinylalcohol)-co-vinylbutyrate) (PVA-co-PVB) | ![]() | 131 | 25 | [124] |
| poly[2-(dimethylamino)ethyl methacrylate] (PDMAEMA) | ![]() | 32–53 | [139] | |
| poly-2-isopropyl-2-oxazoline (PiPrOx) | ![]() | 26–34 | [140,141] | |
| Poly-3-dimethyl(methacryloyloxyethyl)ammonium propane sulfonate (PDMAPS) | ![]() | 60 | [133] | |
| (PNAGA) | ![]() | 22 | [133] | |
| Poly(6-(acryloyloxymethyl) uracil) (PAU) | ![]() | 80 | [133] | |
| Poly-N-cyclopropylacrylamide (PNCPAL) | ![]() | 40–50 | [135] | |
| Poly-N-ethylacrylamide (PNEMAM) | ![]() | 82 | [133] | |
| poly-N-isopropylamide (PNIPAM) | ![]() | 32–34 | [124,127,142] | |
| poly-N-isopropylmethacrylamide (PNIPMAM) | ![]() | 42–46 | [135] | |
| Poly-N,N-diethylacrylamide (PDEAAm) | ![]() | 25–32 | [90] | |
| Poly-N-vinylcaprolactam (PNVCL) | ![]() | 25–50 | [112,127,128] |
Publisher’s Note: MDPI stays neutral with regard to jurisdictional claims in published maps and institutional affiliations. |
© 2021 by the authors. Licensee MDPI, Basel, Switzerland. This article is an open access article distributed under the terms and conditions of the Creative Commons Attribution (CC BY) license (https://creativecommons.org/licenses/by/4.0/).
Share and Cite
Marsili, L.; Dal Bo, M.; Berti, F.; Toffoli, G. Chitosan-Based Biocompatible Copolymers for Thermoresponsive Drug Delivery Systems: On the Development of a Standardization System. Pharmaceutics 2021, 13, 1876. https://doi.org/10.3390/pharmaceutics13111876
Marsili L, Dal Bo M, Berti F, Toffoli G. Chitosan-Based Biocompatible Copolymers for Thermoresponsive Drug Delivery Systems: On the Development of a Standardization System. Pharmaceutics. 2021; 13(11):1876. https://doi.org/10.3390/pharmaceutics13111876
Chicago/Turabian StyleMarsili, Lorenzo, Michele Dal Bo, Federico Berti, and Giuseppe Toffoli. 2021. "Chitosan-Based Biocompatible Copolymers for Thermoresponsive Drug Delivery Systems: On the Development of a Standardization System" Pharmaceutics 13, no. 11: 1876. https://doi.org/10.3390/pharmaceutics13111876
APA StyleMarsili, L., Dal Bo, M., Berti, F., & Toffoli, G. (2021). Chitosan-Based Biocompatible Copolymers for Thermoresponsive Drug Delivery Systems: On the Development of a Standardization System. Pharmaceutics, 13(11), 1876. https://doi.org/10.3390/pharmaceutics13111876


























