Joining Criteria for Harmonizing European Forest Available for Wood Supply Estimates. Case Studies from National Forest Inventories
Abstract
:1. Introduction
- Environmental restrictions should consider protected areas, protected habitats or species, and also those protective forests meeting the above requirements. Age or diameter class restriction should not be taken into account (except in the case of protected ancient forest).
- Social restrictions include restrictions to protect aesthetic, historical, cultural, spiritual, or recreational values as well as areas where the owner has made the decision to cease wood harvesting in order to focus on other goods and services (e.g., leisure, landscape, and aesthetic value).
- The economic restrictions considered are those affecting the economic value of wood utilization (profitability). These include: Accessibility (such as distance to nearest road), slope and soil condition. Short-term market fluctuations should not be considered.
2. Materials and Methods
2.1. Data Description
2.2. Description of National Restrictions Estimation
2.2.1. Environmental and Social Restrictions
2.2.2. Economic Restrictions
2.3. Proposed International Thresholds and Data Analysis
3. Results
3.1. Environmental and Social Restrictions
3.2. Economic Restrictions
3.3. Case Study Italy: FAWS and FNAWS in Relation to Restrictions
3.4. Case Study Sapin: Spatial Overlaps of Restrictions
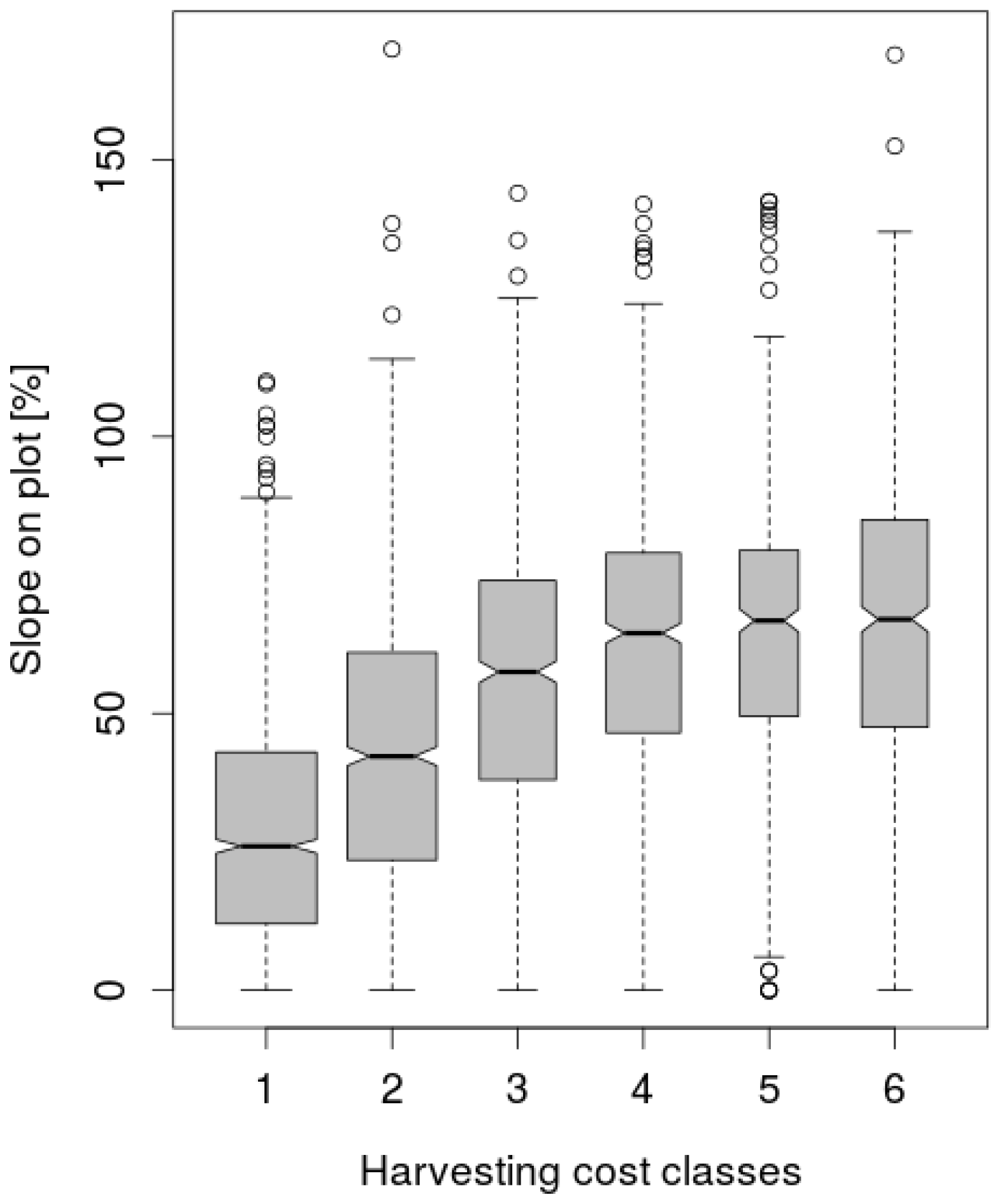
3.5. Case Study Switzlerland: Using Slope as Restriction for FAWS
4. Discussion
4.1. Environmental and Social Restrictions
4.2. Economic Restrictions
5. Conclusions
Acknowledgments
Author Contributions
Conflicts of Interest
Abbreviations
| FA: | Forest area |
| FAO: | Food and Agriculture Organization of the United Nations |
| FAWS: | Forest Available for Wood Supply |
| FNAWS: | Forest Not Available for Wood Supply |
| FRA: | Forest Resource Assessment |
| GR: | Growing Stock |
| IUCN: | International Union for Conservation of Nature |
| NAFIDAS: | National Forest Inventory Data Analysing System |
| NFI: | National Forest Inventory |
| SNFI3: | Third Spanish National Forest Inventory |
| SNFM50: | Spanish National Forest Map 1:50,000 |
| SoEF: | State of Europe’s Forests |
| TFA: | Total Forest area |
| TGR: | Total Growing Stock |
| UNECE: | United Nations Economic Commission for Europe |
| WEP: | Forest Development Plan |
References
- McRoberts, R.E.; Tomppo, E.O.; Schadauer, K.; Ståhl, G. Harmonizing national forest inventories. For. Sci. 2012, 58, 189–190. [Google Scholar] [CrossRef]
- National Forest Inventories; Tomppo, E.; Gschwantner, T.; Lawrence, M.; McRoberts, R.E. (Eds.) Springer Netherlands: Dordrecht, The Netherlands, 2010.
- FAO. Global Forest Ressources Assessment 2015; Food and Agriculture Organisation of the United Nations: Rome, Italy, 2015. [Google Scholar]
- McRoberts, R.E.; Ståhl, G.; Vidal, C.; Lawrence, M.; Tomppo, E.; Schadauer, K.; Chirici, G.; Bastrup-Birk, A. National forest inventories: Prospects for harmonised international reporting. In National Forest Inventories; Tomppo, E., Gschwantner, T., Lawrence, M., McRoberts, R.E., Eds.; Springer Netherlands: Dordrecht, The Netherland, 2010; pp. 33–43. [Google Scholar]
- Fridman, J.; Holm, S.; Nilsson, M.; Nilsson, P.; Ringvall, A.; Ståhl, G. Adapting National Forest Inventories to changing requirements—The case of the Swedish National Forest Inventory at the turn of the 20th century. Silva Fenn. 2014, 48. [Google Scholar] [CrossRef]
- Winter, S.; Chirici, G.; McRoberts, R.E.; Hauk, E.; Tomppo, E. Possibilities for harmonizing national forest inventory data for use in forest biodiversity assessments. Forestry 2008, 81, 33–44. [Google Scholar] [CrossRef]
- Forest Europe. State of Europe’s Forests 2015; FOREST EUROPE, Liaison Unit Madrid: Madrid, Spain, 2015. [Google Scholar]
- Tomppo, E.O.; Schadauer, K. Harmonization of National Forest Inventories in Europe: Advances under COST Action E43. For. Sci. 2012, 58, 191–200. [Google Scholar] [CrossRef]
- Gschwantner, T.; Schadauer, K.; Vidal, C.; Lanz, A.; Tomppo, E.; di Cosmo, L.; Robert, N.; Duursma, D.E.; Lawrence, M. Common tree definitions for national forest inventories in Europe. Silva Fenn. 2009, 432, 303–321. [Google Scholar] [CrossRef]
- Ståhl, G.; Cienciala, E.; Chirici, G.; Lanz, A.; Vidal, C.; Winter, S.; McRoberts, R.E.; Rondeux, J.; Schadauer, K.; Tomppo, E. Bridging national and reference definitions for harmonizing forest statistics. For. Sci. 2012, 58, 214–223. [Google Scholar] [CrossRef]
- Kleinn, C. A cautionary note on the minimum crown cover criterion in forest definitions. Can. J. For. Res. 2001, 31, 350–356. [Google Scholar] [CrossRef]
- Magdon, P.; Kleinn, C. Uncertainties of forest area estimates caused by the minimum crown cover criterion—A scale issue relevant to forest cover monitoring. Environ. Monit. Assess. 2013, 185, 5345–5360. [Google Scholar] [CrossRef] [PubMed]
- Magdon, P.; Fischer, C.; Fuchs, H.; Kleinn, C. Translating criteria of international forest definitions into remote sensing image analysis. Remote Sens. Environ. 2014, 149, 252–262. [Google Scholar] [CrossRef]
- Forest Europe; UNECE; FAO. State of Europe’s Forests, 2011: Status & Trends in Sustainable Forest Management in Europe; Ministerial Conference on the Protection of Forests in Europe, Forest Europe, Liaison Unit Oslo: Aas, Norway, 2011. [Google Scholar]
- Alberdi, I.; Michalak, R.; Fischer, C.; Gasparini, P.; Brändli, U.-B.; Stein, T.; Kuliešis, A.; Snorrason, A.; Redmond, J.; Hernández, L.; et al. Towards a harmonized assessment of European forest availability for wood supply in Europe. For. Policy Econ. 2016. under review. [Google Scholar]
- Ericsson, K.; Nilsson, L.J. Assessment of the potential biomass supply in Europe using a resource-focused approach. Biomass Bioenergy 2006, 30, 1–15. [Google Scholar] [CrossRef]
- Verkerk, P.J.; Anttila, P.; Eggers, J.; Lindner, M.; Asikainen, A. The realisable potential supply of woody biomass from forests in the European Union. For. Ecol. Manag. 2011, 261, 2007–2015. [Google Scholar] [CrossRef]
- Gold, S. The Development of European Forest Resources, 1950–2000: A Better Information Base; United Nations: Geneva, Switzerland, 2003. [Google Scholar]
- Gold, S.; Korotkov, A.; Sasse, V. The development of European forest resources, 1950 to 2000. For. Policy Econ. 2006, 8, 183–192. [Google Scholar] [CrossRef]
- Forest Europe. State of Europe’s Forests Database. Available online: http://dbsoef.foresteurope.org/index.jsp# (accessed on 27 April 2016).
- Fattorini, L.; Marcheselli, M.; Pisani, C. A three-phase sampling strategy for large-scale multiresource forest inventories. J. Agric. Biol. Environ. Stat. 2006, 11, 296–316. [Google Scholar] [CrossRef]
- Gasparini, P.; Tosi, V.; DiCosmo, L. National Forest Inventories—Pathways for Common Reporting; Tomppo, E., Gschwantner, T., Lawrence, M., McRoberts, R., Eds.; Springer Netherlands: Dordrecht, The Netherlands, 2010. [Google Scholar]
- Alberdi, I.; Condés Ruiz, S.; Martínez Millán, J.; Saura Martínez deToda, S.; Sánchez Peña, G.; Pérez Martín, F.; Antonio Villanueva Aranguren, J.; Vallejo Bombin, R. National forest inventories report, Spain. In National Forest Inventories—Pathways for Common Reporting; Tomppo, E., Gschwantner, T., Lawrence, M., McRoberts, R.E., Eds.; Springer Netherlands: Dordrecht, The Netherlands, 2010; pp. 529–540. [Google Scholar]
- Brändli, U.B. Schweizerisches Landesforstinventar. Ergebnisse der dritten Erhebung 2004–2006; Eidg. Forschungsanstalt WSL: Birmensdorf, Switzerland, 2010. [Google Scholar]
- Keller, M. Swiss National Forest Inventory. Manual of the Field Survey 2004–2007; Swiss Federal Research Institute WSL: Birmensdorf, Switzerland, 2011. [Google Scholar]
- HeProMo—Produktivitätsmodelle für Holzerntearbeiten, Windows-Software, Version 1; Eidg. Forschungsanstalt WSL: Birmensdorf, Switzerland, 2003.
- Leroux, S.J.; Krawchuk, M.A.; Schmiegelow, F.; Cumming, S.G.; Lisgo, K.; Anderson, L.G.; Petkova, M. Global protected areas and IUCN designations: Do the categories match the conditions? Biol. Conserv. 2010, 143, 609–616. [Google Scholar] [CrossRef]
- Rodrigues, A.S.L.; Andelman, S.J.; Bakarr, M.I.; Boitani, L.; Brooks, T.M.; Cowling, R.M.; Fishpool, L.D.C.; da Fonseca, G.A.B.; Gaston, K.J.; Hoffmann, M.; et al. Effectiveness of the global protected area network in representing species diversity. Nature 2004, 428, 640–643. [Google Scholar] [CrossRef] [PubMed]
- IUCN. Protected Area Categories System. Available online: http://www.iucn.org/about/work/programmes/gpap_home/gpap_quality/gpap_pacategories/ (accessed on 24 April 2016).
- Horne, P.; Boxall, P.C.; Adamowicz, W.L. Multiple-use management of forest recreation sites: A spatially explicit choice experiment. For. Ecol. Manag. 2005, 207, 189–199. [Google Scholar] [CrossRef]
- Holgén, P.; Mattsson, L.; Li, C.-Z. Recreation values of boreal forest stand types and landscapes resulting from different silvicultural systems: An economic analysis. J. Environ. Manage. 2000, 60, 173–180. [Google Scholar] [CrossRef]
- Mattsson, L.; Li, C.-Z. How do different forest management practices affect the non-timber value of forests?—An economic analysis. J. Environ. Manage. 1994, 41, 79–88. [Google Scholar] [CrossRef]
- Preisempfehlungen der Schweizerischen Holzmarktkommission HMK. Available online: http://www.wvs.ch/de/fachinformationen/holzmarkt/preisempfehlungen/stammholzpreise.html (accessed on 18 February 2015).
- Bont, L.G.; Heinimann, H.R.; Church, R.L. Concurrent optimization of harvesting and road network layouts under steep terrain. Ann. Oper. Res. 2012, 1, 41–46. [Google Scholar] [CrossRef]
- Meignan, D.; Frayret, J.-M.; Pesant, G.; Blouin, M. A heuristic approach to automated forest road location. Can. J. For. Res. 2012, 42, 2130–2141. [Google Scholar] [CrossRef]


| Restrictions | Thresholds | ||
|---|---|---|---|
| Units | Minimum | Maximum | |
| Slope | % | 35 | 140 |
| Distance from road | m | 400 | 2000 |
| Average annual productivity | m3·ha−1·year−1 | 1 | 3 |
| Country | Natural Protected Areas | Protected Species | Protective Forests | Total | ||||
|---|---|---|---|---|---|---|---|---|
| FA | GS | FA | GS | FA | GS | TFA | TGS | |
| Italy | 34.97 | 34.25 | - | - | 87.38 | 89.76 | 8759 | 1,269,416 |
| Ireland | 0.68 | 1.22 | - | - | - | - | 732 | 97,476 |
| Spain | 0.77 | 1.54 | 0.02 | 0.04 | 9.37 | 8.01 | 18,173 | 913,540 |
| Sweden | 11.76 | 9.53 | - | - | - | - | 27,124 | 3,276,361 |
| Switzerland | 0.34 | 0.19 | - | - | 49.66 | 50.14 | 1184 | 409,914 |
| Country | Slope | Distance to Road | Average Annual Productivity | |||||||
|---|---|---|---|---|---|---|---|---|---|---|
| Min | Max | National | Min | Max | National | Min | Max | National | ||
| Italy | Forest area | 36.20 | 90.36 | - | 50.52 | 69.31 | - | - | - | - |
| Growing stock | 32.88 | 95.43 | - | 50.08 | 69.01 | - | - | - | - | |
| Ireland | Forest area | 96.17 | NA | 100.00 | - | - | - | - | - | - |
| Growing stock | 95.07 | NA | 100.00 | - | - | - | - | - | - | |
| Spain | Forest area | 77.03 | 99.97 | 92.89 | - | - | - | - | - | - |
| Growing stock | 62.08 | 99.96 | 88.70 | - | - | - | - | - | - | |
| Sweden | Forest area | 81.32 | NA | - | 60.68 | 81.53 | - | 17.50 | 36.39 | 17.50 |
| Growing stock | 89.68 | NA | - | 70.15 | 90.74 | - | 8.38 | 22.06 | 8.38 | |
| Switzerland | Forest area | 34.46 | 99.83 | - | 67.91 | 96.79 | - | 3.55 | 11.57 | - |
| Growing stock | 37.27 | 99.89 | - | 72.35 | 98.27 | - | 2.90 | 9.06 | - | |
| Min Slope (35%) | Max Slope (140%) | Protected Areas | Protected Species | Protective Forest (Soil) | |
|---|---|---|---|---|---|
| Min slope | 4174.68 | 6.10 | 65.59 | 1.88 | 447.27 |
| Max slope | 6.10 | 0.77 | 0.00 | 0.45 | |
| Protected areas | 139.53 | 0.00 | 9.90 | ||
| Protected species | 3.09 | 0.48 | |||
| Protective forest (soil) | 1713.78 |
| Country | Restriction | ||
|---|---|---|---|
| Environmental | Social | Economic | |
| Ireland | Evaluation of impact of harvesting operation on the environment. Areas near water courses. | Recreation forests. | Profitability of harvesting operation (not taken into account by NFI). |
| Italy | Protected areas (e.g., reserves for nature conservation). | Very rare and special case due to management plan. | Profitability of harvesting operation. |
| Spain | Protected areas (e.g., reserves for nature conservation). Protected species. Protective forest against soil erosion. | - | Regionalized slope threshold. |
| Sweden | Site productivity. Protected areas (e.g., reserves for nature conservation). Habitat protection. Protection agreements. Zones of environmental concerns in regeneration felling | Voluntarily protected forests | Site productivity |
| Switzerland | Protected areas (e.g., reserves for nature conservation). | - | - |
© 2016 by the authors; licensee MDPI, Basel, Switzerland. This article is an open access article distributed under the terms and conditions of the Creative Commons Attribution (CC-BY) license (http://creativecommons.org/licenses/by/4.0/).
Share and Cite
Fischer, C.; Gasparini, P.; Nylander, M.; Redmond, J.; Hernandez, L.; Brändli, U.-B.; Pastor, A.; Rizzo, M.; Alberdi, I. Joining Criteria for Harmonizing European Forest Available for Wood Supply Estimates. Case Studies from National Forest Inventories. Forests 2016, 7, 104. https://doi.org/10.3390/f7050104
Fischer C, Gasparini P, Nylander M, Redmond J, Hernandez L, Brändli U-B, Pastor A, Rizzo M, Alberdi I. Joining Criteria for Harmonizing European Forest Available for Wood Supply Estimates. Case Studies from National Forest Inventories. Forests. 2016; 7(5):104. https://doi.org/10.3390/f7050104
Chicago/Turabian StyleFischer, Christoph, Patrizia Gasparini, Martin Nylander, John Redmond, Laura Hernandez, Urs-Beat Brändli, Alejandro Pastor, Maria Rizzo, and Iciar Alberdi. 2016. "Joining Criteria for Harmonizing European Forest Available for Wood Supply Estimates. Case Studies from National Forest Inventories" Forests 7, no. 5: 104. https://doi.org/10.3390/f7050104
APA StyleFischer, C., Gasparini, P., Nylander, M., Redmond, J., Hernandez, L., Brändli, U.-B., Pastor, A., Rizzo, M., & Alberdi, I. (2016). Joining Criteria for Harmonizing European Forest Available for Wood Supply Estimates. Case Studies from National Forest Inventories. Forests, 7(5), 104. https://doi.org/10.3390/f7050104

