Damage Tolerance of Longitudinal Cracks and Circular Holes in Wooden Beams: A Load-Bearing Capacity Perspective
Abstract
1. Introduction
2. Materials and Methods
2.1. Material Selection
2.2. Experimental Testing Methods and Methods for Correcting Experimental Results
2.3. Quantitative Description Method for the Load-Bearing Capacity of Defective Wooden Beams
3. Results
3.1. Fracture Load of Defect-Free Specimens
3.2. The Relationship Between the Fracture Load and the Vertical Position of Defects
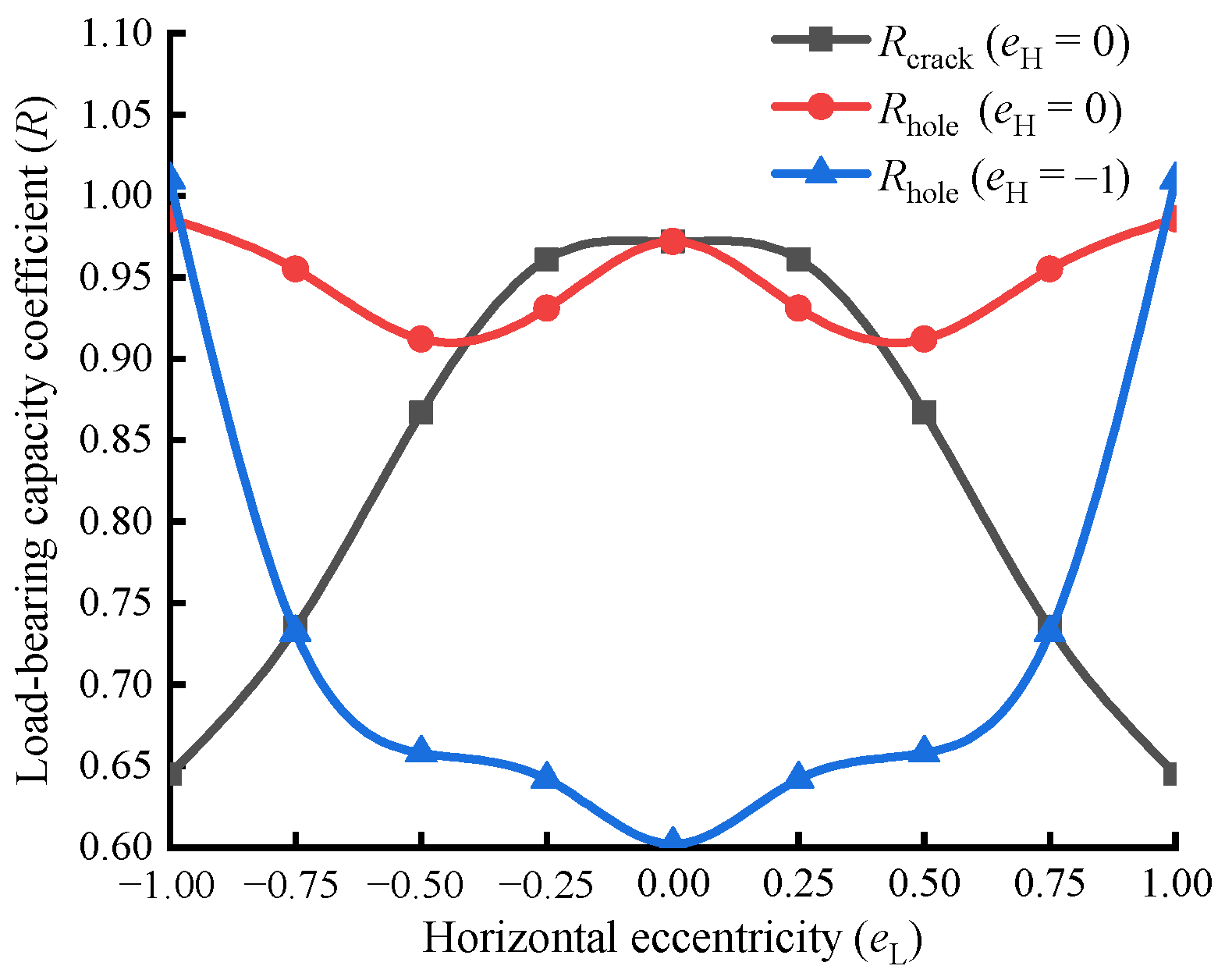
3.3. The Relationship Between the Fracture Load and the Horizontal Position of Defects
4. Discussion
4.1. The Influence Mechanism of Longitudinal Cracks and Circular Holes on the Bearing Capacity of Wooden Beams
4.2. The Effectiveness and Limitations of Experimental Methods
5. Conclusions
Patents
Author Contributions
Funding
Data Availability Statement
Acknowledgments
Conflicts of Interest
Abbreviations
| CV | Coefficient of variation |
| FE | Finite element |
| FEA | Finite element analysis |
| XFEM | Extended finite element method |
References
- Zhou, J.; Tian, Q.; Nie, J.L.; Cao, P.; Tan, Z.F. Mechanical properties and damage mechanisms of woods under extreme environmental conditions. Case Stud. Constr. Mater. 2024, 20, e03146. [Google Scholar] [CrossRef]
- Hu, X.Y.; Liu, Z.L.; Zhuang, Z. XFEM study of crack propagation in logs after growth stress relaxation and drying stress accumulation. Wood Sci. Technol. 2017, 51, 1447–1468. [Google Scholar] [CrossRef]
- Xu, N.; Li, M.; Fang, S.Y.; Huang, C.L.; Chen, C.; Zhao, Y.; Mao, F.L.; Deng, T.T.; Wang, Y. Research on the detection of the hole in wood based on acoustic emission frequency sweeping. Constr. Build. Mater. 2023, 400, 132761. [Google Scholar] [CrossRef]
- Chi, X.; Tang, S.; Song, X.; Ren, Z.C.; Han, G.P.; Cheng, W.L.; Avramidis, S. Visible dynamic changes in the mechanism of water evaporation surface formation during wood drying. Wood Sci. Technol. 2023, 57, 1061–1076. [Google Scholar] [CrossRef]
- Majka, J.; Sydor, M. Analysis of stress development during kiln drying of beech timber. Eur. J. Wood Wood Prod. 2023, 81, 1189–1200. [Google Scholar] [CrossRef]
- Jospeh, G.; Delphine, J.; Sandrine, B.; Hiroyuki, Y. Tree growth stress and related problems. J. Wood Sci. 2017, 63, 411–432. [Google Scholar] [CrossRef]
- Karkoodi, S.; Karampour, H.; Gilbert, B.P.; Gunalan, S. A study on enhanced mechanical properties of wood in the parallel-to-grain direction in timber-filled-steel tubular columns. Eng. Struct. 2025, 331, 119973. [Google Scholar] [CrossRef]
- Liu, Y.; Moran, B. Tearing a neo-Hookean sheet. Part II: Asymptotic analysis for crack tip fields. Int. J. Fract. 2023, 240, 93–117. [Google Scholar] [CrossRef]
- Goyat, V.; Verma, S.; Garg, R.K. Reduction in stress concentration around a pair of circularholes with functionally graded material layer. Acta Mech. Sin. 2018, 129, 1045–1060. [Google Scholar] [CrossRef]
- Bai, X.C.; Yang, X.J.; Tan, Y.J.; Liu, J.M.; Wang, C.J. Flexural bearing capacity of crack damaged solid wood beams. Chin. J. For. Eng. 2023, 8, 46–51. [Google Scholar] [CrossRef]
- Zhang, B.Z.; Xie, Q.F.; Xue, J.Y. Study on the flexural behavior evolution of timber beams with natural shrinkage cracks in historic timber structure. Structures 2025, 73, 108429. [Google Scholar] [CrossRef]
- Halicka, A.; Ślósarz, S. Analysis of behavior and failure modes of timber beams prestressed with CFRP strips. Comp. Struct. 2022, 301, 116171. [Google Scholar] [CrossRef]
- Romanowicz, M.; Grygorczuk, M. The effect of crack orientation on the mode I fracture resistance of pinewood. Int. J. Fract. 2024, 248, 27–48. [Google Scholar] [CrossRef]
- Qiu, L.P.; Zhu, E.C.; Kuilen, J.W.G. Modeling crack propagation in wood by extended finite element method. Eur. J. Wood Prod. 2014, 72, 273–283. [Google Scholar] [CrossRef]
- Wen, Y.X.; Yang, Y.; Zhao, J.; Zhao, D. Theoretical and experimental considerations on the neutral axis of wood beams with a hole in different locations. Holzforschung 2018, 72, 769–777. [Google Scholar] [CrossRef]
- Okamoto, S.; Akiyama, N.; Araki, Y.; Aoki, K.; Inayama, M. Study on the strength of glued laminated timber beams with circular holes: Difference in structural performance between homogeneous-grade and heterogeneous-grade timber. J. Wood Sci. 2021, 67, 8. [Google Scholar] [CrossRef]
- Parracha, J.L.; Pereira, M.F.C.; Mauricío, A.; Machado, J.S.; Faria, P.; Nunes, L. A semi-destructive assessment method to estimate the residual strength of maritime pine structural elements degraded by anobiids. Mater. Struct. 2019, 52, 54. [Google Scholar] [CrossRef]
- Danielsson, H.; Gustafsson, P.J. A probabilistic fracture mechanics method and strength analysis of glulam beams with holes. Eur. J. Wood Wood Prod. 2011, 69, 407–419. [Google Scholar] [CrossRef]
- Cheng, J.Q.; Yang, J.J.; Liu, P. Characteristics and Utilization of Wood. In Chronicle of Chinese Timber, 1st ed.; China Forestry Publishing House: Beijing, China, 1992; pp. 67–694. [Google Scholar]
- Li, Z.; Tao, X.; Zhao, Z.C.; Sun, H.Y.; Lei, Z. Mechanical properties and crack propagation for camphor pine during compression process. Forg. Stamp. Technol. 2024, 49, 87–93. [Google Scholar] [CrossRef]
- Xiong, L.M.; Xing, X.F.; Lin, L.Y.; Zhou, Y.D.; Fu, F. Effects of high-field-intensity microwave treatment on macroscopic cracks in mongolian scotch pine. China Wood Ind. 2020, 34, 1–4. [Google Scholar] [CrossRef]
- Toivanen, M.; Pajunen, S.; Ilgın, H.E. Effect of cracks on the load-carrying capacity of glulam. Wood Mater. Sci. Eng. 2025, 20, 1–8. [Google Scholar] [CrossRef]
- Davis, P.M.; Gupta, R.; Sinha, A. Revisiting the neutral axis in wood beams. Holzforschung 2012, 66, 497–503. [Google Scholar] [CrossRef]
- He, S. Study of Finite Element Modeling Analysis for Pinus Sylvestris L. var. mongolicaLitv. Finger-Jointed Lumber. Master’s Thesis, Nanjing Forestry University, Nanjing, China, 2011. [Google Scholar]






| m/(g) | L/(mm) | b/(mm) | h/(mm) | l′ | φ | ρm/(kg·m−3) | Cρ | CW | P/(N) | Pe/(N) | |
|---|---|---|---|---|---|---|---|---|---|---|---|
| Case 1 | 10.21 | 159.9 | 9.9 | 14.9 | / | / | 433 | 1.102 | 1.024 | 1206 | 1361 |
| Case 2 | 11.30 | 160.0 | 10.0 | 15.0 | L/2 | / | 479 | 0.996 | 1.000 | 1377 | 1371 |
| Case 3 | 12.32 | 160.1 | 10.1 | 15.2 | / | h/3 | 505 | 0.945 | 0.964 | 1502 | 1368 |
| Data Dispersion Level | Typical CV | Required Sample Size (Error Proportion = ±10%) | Required Sample Size (Error Proportion = ±5%) |
|---|---|---|---|
| Low | 10.9% | 5 | 19 |
| Medium | 15.0% | 9 | 35 |
| High | 21.0% | 17 | 68 |
| Very high | 28.9% | 33 | >80 |
| Crack Vertical Eccentricity eH | Sample Size | Equivalent Fracture Load | R | λ | ζ | |||
|---|---|---|---|---|---|---|---|---|
| Average/(N) | Max/(N) | Min/(N) | CV/% | |||||
| −0.75 | 40 | 1263 | 1689 | 752 | 14.9 | 0.924 | 0.948 | 0.974 |
| −0.50 | 80 | 1176 | 1957 | 675 | 17.2 | 0.860 | 0.977 | 0.881 |
| −0.25 | 80 | 1045 | 1481 | 530 | 14.7 | 0.765 | 0.994 | 0.769 |
| 0.00 | 80 | 1010 | 1570 | 662 | 15.3 | 0.739 | 1.000 | 0.739 |
| 0.25 | 80 | 1026 | 1458 | 587 | 17.3 | 0.751 | 0.994 | 0.755 |
| 0.50 | 80 | 1127 | 1583 | 274 | 22.0 | 0.824 | 0.977 | 0.844 |
| 0.75 | 40 | 1220 | 1651 | 635 | 15.8 | 0.892 | 0.948 | 0.941 |
| Hole Vertical Eccentricity eH | Sample Size | Equivalent Fracture Load | R | λ | ζ | |||
|---|---|---|---|---|---|---|---|---|
| Average/(N) | Max/(N) | Min/(N) | CV/% | |||||
| −1.00 | 40 | 823 | 1301 | 416 | 25.9 | 0.602 | 0.613 | 0.982 |
| −0.75 | 60 | 1083 | 1528 | 645 | 20.4 | 0.792 | 0.781 | 1.014 |
| −0.50 | 60 | 1289 | 1941 | 793 | 20.0 | 0.943 | 0.901 | 1.022 |
| −0.25 | 60 | 1324 | 2023 | 812 | 18.3 | 0.968 | 0.973 | 0.995 |
| 0.00 | 60 | 1332 | 1887 | 773 | 19.0 | 0.974 | 0.992 | 0.988 |
| 0.25 | 60 | 1316 | 1909 | 718 | 17.5 | 0.963 | 0.973 | 0.989 |
| 0.50 | 60 | 1272 | 2201 | 634 | 20.6 | 0.930 | 0.901 | 1.006 |
| 0.75 | 60 | 1236 | 1811 | 767 | 18.6 | 0.904 | 0.781 | 1.084 |
| 1.00 | 40 | 1193 | 1645 | 524 | 16.9 | 0.873 | 0.613 | 1.424 |
| Crack Horizontal Eccentricity eL | Sample Size | Equivalent Fracture Load | R | λ | ζ | |||
|---|---|---|---|---|---|---|---|---|
| Average/(N) | Max/(N) | Min/(N) | CV/% | |||||
| 0 | 60 | 1328 | 1765 | 869 | 16.0 | 0.972 | 1.000 | 0.972 |
| ±0.25 | 40 | 1314 | 1931 | 1051 | 13.1 | 0.961 | 1.000 | 0.961 |
| ±0.50 | 40 | 1186 | 1685 | 795 | 14.4 | 0.867 | 1.000 | 0.867 |
| ±0.75 | 40 | 1005 | 1243 | 779 | 10.9 | 0.735 | 1.000 | 0.735 |
| ±1.00 | 40 | 882 | 1211 | 624 | 14.8 | 0.645 | 1.000 | 0.645 |
| Hole Horizontal Eccentricity eL | Hole Vertical Eccentricity eH | Sample Size | Equivalent Fracture Load | R | λ | ζ | |||
|---|---|---|---|---|---|---|---|---|---|
| Average/(N) | Max/(N) | Min/(N) | CV/% | ||||||
| 0 | 0 | 60 | 1332 | 1887 | 773 | 19.0 | 0.974 | 0.992 | 0.988 |
| −1 | 40 | 823 | 1301 | 416 | 25.9 | 0.602 | 0.613 | 0.982 | |
| ±0.25 | 0 | 40 | 1273 | 1949 | 892 | 19.1 | 0.931 | 0.992 | 0.939 |
| −1 | 40 | 877 | 1382 | 508 | 28.9 | 0.642 | 0.613 | 1.047 | |
| ±0.50 | 0 | 40 | 1247 | 1924 | 804 | 21.3 | 0.912 | 0.992 | 0.920 |
| −1 | 40 | 900 | 1391 | 519 | 24.9 | 0.658 | 0.613 | 1.074 | |
| ±0.75 | 0 | 40 | 1305 | 1953 | 768 | 18.3 | 0.955 | 0.992 | 0.962 |
| −1 | 40 | 1001 | 1566 | 484 | 26.2 | 0.732 | 0.613 | 1.195 | |
| ±1.00 | 0 | 40 | 1348 | 1759 | 882 | 17.7 | 0.986 | 0.992 | 0.994 |
| −1 | 60 | 1381 | 1930 | 787 | 17.2 | 1.010 | 0.613 | 1.648 | |
| EL/MPa | ER/MPa | ET/MPa | GLR/MPa | GLT/MPa | GRT/MPa | vLR | vLT | vRT |
|---|---|---|---|---|---|---|---|---|
| 10,000 | 800 | 400 | 620 | 540 | 70 | 0.46 | 0.62 | 0.73 |
Disclaimer/Publisher’s Note: The statements, opinions and data contained in all publications are solely those of the individual author(s) and contributor(s) and not of MDPI and/or the editor(s). MDPI and/or the editor(s) disclaim responsibility for any injury to people or property resulting from any ideas, methods, instructions or products referred to in the content. |
© 2026 by the authors. Licensee MDPI, Basel, Switzerland. This article is an open access article distributed under the terms and conditions of the Creative Commons Attribution (CC BY) license.
Share and Cite
Hu, X.; Zhou, L.; Liu, D.; Nie, Y.; Liu, L. Damage Tolerance of Longitudinal Cracks and Circular Holes in Wooden Beams: A Load-Bearing Capacity Perspective. Forests 2026, 17, 242. https://doi.org/10.3390/f17020242
Hu X, Zhou L, Liu D, Nie Y, Liu L. Damage Tolerance of Longitudinal Cracks and Circular Holes in Wooden Beams: A Load-Bearing Capacity Perspective. Forests. 2026; 17(2):242. https://doi.org/10.3390/f17020242
Chicago/Turabian StyleHu, Xiaoyi, Le Zhou, Dalie Liu, Yujing Nie, and Lingrong Liu. 2026. "Damage Tolerance of Longitudinal Cracks and Circular Holes in Wooden Beams: A Load-Bearing Capacity Perspective" Forests 17, no. 2: 242. https://doi.org/10.3390/f17020242
APA StyleHu, X., Zhou, L., Liu, D., Nie, Y., & Liu, L. (2026). Damage Tolerance of Longitudinal Cracks and Circular Holes in Wooden Beams: A Load-Bearing Capacity Perspective. Forests, 17(2), 242. https://doi.org/10.3390/f17020242

