You are currently viewing a new version of our website. To view the old version click .
Forests
  • Article
  • Open Access

10 December 2025

Topographic and Edaphic Drivers of Community Structure and Species Diversity in a Subtropical Deciduous Broad-Leaved Forest in Eastern China

,
,
,
,
,
,
and
Jiangxi Provincial Key Laboratory of Carbon Neutrality and Ecosystem Carbon Sink, Lushan Botanical Garden, Jiangxi Province and Chinese Academy of Sciences, Jiujiang 332900, China
*
Authors to whom correspondence should be addressed.
Forests2025, 16(12), 1837;https://doi.org/10.3390/f16121837 
(registering DOI)
This article belongs to the Section Forest Biodiversity

Abstract

Subtropical deciduous broad-leaved forests in eastern China form a key ecotone between temperate and subtropical biomes, yet their vegetation–environment relationships remain insufficiently understood. This study examined community structure, species diversity, and their associations with topographic and soil variables in a 25 ha forest dynamics plot in the Lushan Mountains. All woody plants with a diameter at breast height (DBH) ≥ 1 cm were surveyed, and detailed topographic attributes and soil physicochemical properties were measured. Community structure showed strong linkages with species diversity: tree-layer structural characteristics were generally negatively correlated with diversity, whereas in the shrub layer, density was negatively but height and DBH were positively correlated with diversity. Species diversity in the two layers was positively associated, while tree-layer structure was negatively related to shrub-layer diversity. Among topographic factors, altitude and the topographic solar radiation aspect index (TRASP) exerted the strongest influences on soil properties, with altitude negatively correlated with soil pH and available nutrients but positively correlated with C:N, C:P, and total carbon, and TRASP showing negative correlations with most nutrients except total phosphorus. Redundancy analysis revealed that topographic heterogeneity and soil conditions jointly shaped community structure and species diversity, with soil C:N ratio, altitude, pH, total phosphorus, and total carbon emerging as key drivers. These findings demonstrate that areas with high plant diversity do not always correspond to high soil nutrient content and underscore the importance of integrating both topographic and edaphic factors into biodiversity conservation and forest management in subtropical deciduous broad-leaved forests.

1. Introduction

Species composition and biodiversity, along with their interactions with environmental factors, have long been central themes in ecological research [1,2]. Mountain forest ecosystems, in particular, are regarded as critical zones for biodiversity studies due to their complex ecological gradients and high species richness [3]. These ecosystems are strongly influenced by environmental variables such as topography, landform, and elevation, which contribute to substantial spatial heterogeneity. This heterogeneity drives corresponding variations in soil properties and plant community composition [4]. A key feature of community diversity is its spatial heterogeneity [5], which in forest ecosystems often manifests as discernible differences in both soil characteristics and community structure [6]. Moreover, forest community structure is closely associated with environmental spatial heterogeneity [7,8], and this structural heterogeneity, in turn, influences environmental conditions and soil physicochemical properties [9].
In recent years, growing emphasis on sustainable forest ecosystem management has spurred expanded research into aboveground-belowground interactions within forest ecosystems, as well as the role of topography in shaping plant communities and soil properties [1,10,11,12]. In these ecosystems, aboveground vegetation influences the belowground environment primarily through changes in tree density and litter biomass resulting from shifts in species composition. Such alterations in litter accumulation ultimately induce modifications in soil properties [6,13]. Conversely, the belowground soil environment affects aboveground community characteristics mainly via soil resource heterogeneity, which alters nutrient availability and soil physicochemical conditions, thereby driving interspecific competition and facilitation among plant species [14,15]. Furthermore, topography modulates the spatial distribution of water and thermal conditions, influencing the contents of soil carbon, nitrogen, and phosphorus, as well as soil temperature and moisture regimes [10,11,12,16]. These processes collectively give rise to spatial variation in plant community composition, diversity patterns, and soil attributes. Thus, the interactions among soil variables, topographic features, and plant community structure and diversity are critical in governing forest community dynamics [12,17,18,19].
Lushan Mountain represents a region of high vascular plant diversity and is recognized as one of the key biodiversity hotspots for subtropical montane flora in China. However, increasing anthropogenic activities [20,21], including the construction of tourism infrastructure such as walkways, the large tourist numbers per year, and selective logging and grazing in the past, have induced noticeable shifts in its floristic composition. It is, therefore, imperative to implement targeted measures to enhance biodiversity conservation management and research in this region [20]. As a significant refuge for biodiversity, Lushan Mountain supports a mixed vegetation structure where montane plants, evergreen broad-leaved forests, and deciduous broad-leaved forests coexist. At lower elevations, evergreen broad-leaved forests dominate, with Fagaceae and Lauraceae serving as the predominant tree families. With increasing altitude, deciduous broad-leaved species become more prevalent. High-altitude zones (above 900 m) are characterized primarily by deciduous broad-leaved forests, in which Rosaceae, Cornaceae, Fagaceae, and Malvaceae emerge as the dominant families. Additionally, coniferous communities (including Pinus hwangshanensis and Cryptomeria japonica var. sinensis) are locally distributed along mountain peaks and ridges [21,22,23,24]. Current research on forest vegetation and environmental characteristics in Lushan Mountain remains limited. Existing studies indicate that factors such as community type and stand structure can influence litter production and soil organic carbon content, and community dynamics in Cryptomeria japonica var. sinensis forests have been shown to drive changes in belowground soil properties [22,23].
Subtropical deciduous broad-leaved forests, as vital components of global biodiversity hotspots, play an irreplaceable role in carbon sequestration, water conservation, and the maintenance of ecological stability. Understanding the mechanisms underlying the maintenance of community structure and species diversity remains a central issue in ecological research. At present, there have been relevant studies on deciduous broad-leaved forests in eastern North America and Europe [25,26]. However, compared with evergreen broad-leaved forests, subtropical deciduous broad-leaved forests, especially those in the East Asian monsoon region of central and eastern China, have received much less scientific research attention. In particular, there is a lack of systematic analysis regarding how their community structure and species diversity respond to soil environmental heterogeneity and topographic gradients. To address this knowledge gap, this study focused on a 25-hectare deciduous broad-leaved forest dynamics plot in Lushan Mountain. We investigated the forest’s community structure, species diversity, topographic variables, and soil properties, with particular emphasis on the responses of community organization and diversity to edaphic heterogeneity and topographic variation. The study aims to elucidate the relationships between plant communities, soil conditions, and topographic factors, and to evaluate whether areas with high plant community diversity correspond to regions with elevated soil nutrient levels. The findings are expected to provide a scientific basis for enhancing biodiversity conservation and improving ecosystem functioning in subtropical montane forests such as those of Lushan Mountain.

2. Materials and Methods

2.1. Study Area

The study was conducted on Lushan Mountain (115°52′–116°13′ E, 29°22′–29°46′ N) in Jiujiang, Jiangxi Province, southeastern China. The region has a subtropical monsoon climate, with a mean annual temperature of 11.4 °C (the extreme minimum and maximum temperatures were −16.8 °C and 32.8 °C, respectively), mean annual precipitation of 1916 mm (mainly from April to September), and frequent fog (up to 188 days per year) [23,27]. Lushan represents a biodiversity hotspot with an overall forest coverage of 85.3%, and its vegetation forms clear elevational zonation: evergreen broad-leaved forests dominate at low elevations (50–600 m), mixed evergreen–deciduous forests at middle elevations (600–900 m), and deciduous or mixed coniferous–broad-leaved forests above 900 m. The soils are predominantly red (Ferric Acrisols), yellow (Haplic Alisols), or yellow-brown soils (Luvisols) derived from granite, gneiss, shale, quartz sandstone, or metamorphic rock [21,28,29]. Forests in the study area are mature secondary stands approximately 50–60 years old [29].

2.2. Survey and Sampling Methods

A 25 ha (500 m × 500 m) forest dynamics plot was established in Lushan National Nature Reserve in 2021 following CTFS protocols. The plot spans elevations of 940–1174 m and was divided into 625 contiguous 20 m × 20 m quadrats using differential GPS, with each quadrat further subdivided into 10 m × 10 m and 5 m × 5 m subunits for detailed surveys. The geographic coordinates (latitude, longitude, and elevation) of each 20 m × 20 m quadrat were accurately recorded. All woody plants with height ≥ 1.3 m and DBH ≥ 1 cm were tagged, identified to species, and measured for height, DBH, local coordinates, and growth condition. Plant species were categorized into trees and shrubs according to life form. Topographic variables (elevation, slope, aspect, and vegetation cover) were recorded for each subunit. Soil samples (0–20 cm) were collected at the centers of 20 m × 20 m quadrats and 10 m × 10 m sub-quadrats using a 5 cm auger, and homogenized for physicochemical analyses. Undisturbed samples were obtained with 100 cm3 ring knives to determine bulk density and physical properties.
Following the removal of extraneous debris, soil samples were air-dried and utilized for the determination of soil pH, available nitrogen (AN), available phosphorus (AP), available potassium (AK), total carbon (TC), total nitrogen (TN), total phosphorus (TP), and total potassium (TK). Soil pH was measured potentiometrically using a laboratory pH meter (FE28K; Mettler Toledo, Greifensee, Switzerland). Bulk density (BD) was determined gravimetrically after drying core samples at 105 °C for 48 h. TC and TN were quantified by dry combustion employing an Elementar Vario EL cube elemental analyzer (Elementar Inc., Langenselbold, Germany). TP was analyzed using acid digestion followed by spectrophotometric measurement. TK was determined via acid digestion–flame spectrophotometry. AN was extracted with potassium chloride and quantified colorimetrically using a Smartchem 140 discrete autoanalyzer (WESTCO Scientific Instruments Inc., Brookfield, CT, USA). AP was extracted with sodium bicarbonate and measured by the molybdenum-antimony anti-colorimetric method, while AK was analyzed by flame spectrophotometry [30].

2.3. Statistical Analysis

In this study, we quantified both the community structural characteristics—including stand density, mean height, and DBH—and the community species diversity attributes, namely species richness (R), the Shannon–Wiener diversity index (H′), the Simpson diversity index (D), and the Pielou evenness index (E), for both the tree and shrub layers. Concurrently, key topographic variables (elevation, slope, convexity, and TRASP index) and soil physicochemical properties (pH, BD, TC, TN, TP, TK, AN, AP, and AK) were measured. To comprehensively assess α-diversity, four widely adopted indices (R, H′, D, E) were selected, which collectively reflect species richness, diversity, dominance, and distribution uniformity within plant communities [31]. The formula is as follows:
R = S
H = i = 1 S P i l n P i
D = 1 i = 1 S P i 2
E = H / l n S
where S is the total number of species in a subplot, Pi is the ratio of the individual number of the i th species to the total individual number in a subplot. Convexity was the elevation of a quadrat minus the average elevation of all immediate neighbor quadrats [32]. Because aspect is a circular measure, we used a linear transformation to get a continuous measure from 0 to 1. Higher values indicate hotter and drier habitat conditions, corresponding to south-southwesterly aspects that receive greater solar radiation, while lower values represent cooler and moister conditions typical of north-northeasterly slopes [33]. The formula is given below: TRASP index = [1 − cos((π/180) × (Aspect − 30))]/2. Linear regression was applied to evaluate the relationships between community structural characteristics and species diversity within both the tree and shrub layers. Spearman rank correlation analysis was used to assess associations between the structural and diversity attributes of the tree layer and those of the shrub layer, as well as to examine correlations between topographic factors and soil properties. Redundancy analysis (RDA), performed using Canoco 5.0, was employed to elucidate the influence of environmental factors (topography and soil properties) on variations in community structure and diversity across both vegetation strata.

3. Results

3.1. Basic Overview of Community Structure Characteristics, Species Diversity, Topography and Soil Properties

The coefficient of variation in stand density of the tree layer and shrub layer in the quantitative characteristics of the plant community is the largest, which exceeds 30% (Table 1). In general, the coefficient of variation in the diversity characteristics of the tree layer and the shrub layer is lower than that of the structural characteristics. The species richness of the tree layer is still relatively high, with an average abundance of 21.32. The coefficients of variation in soil properties and topographic characteristics are generally high, with TP, TK, AN, AP, AK, C:P, N:P, slope and convexity all greater than 30%. Especially, the coefficient of variation in convexity is the largest, reflecting topographic heterogeneity. The whole soil pH environment was acidity (pH, 3.58–5.34), with a high TC content (47.24 g/kg), a high TN content (3.54 g/kg), a low TP content (0.38 g/kg), a high AN content (324.47 mg/kg) and a low AP content (5.22 mg/kg).
Table 1. Descriptive statistics characteristics of forest community structure, species diversity and soil properties, topographic parameters (n = 625).

3.2. Relationship Between Community Structure Characteristics and Species Diversity in Tree Layer

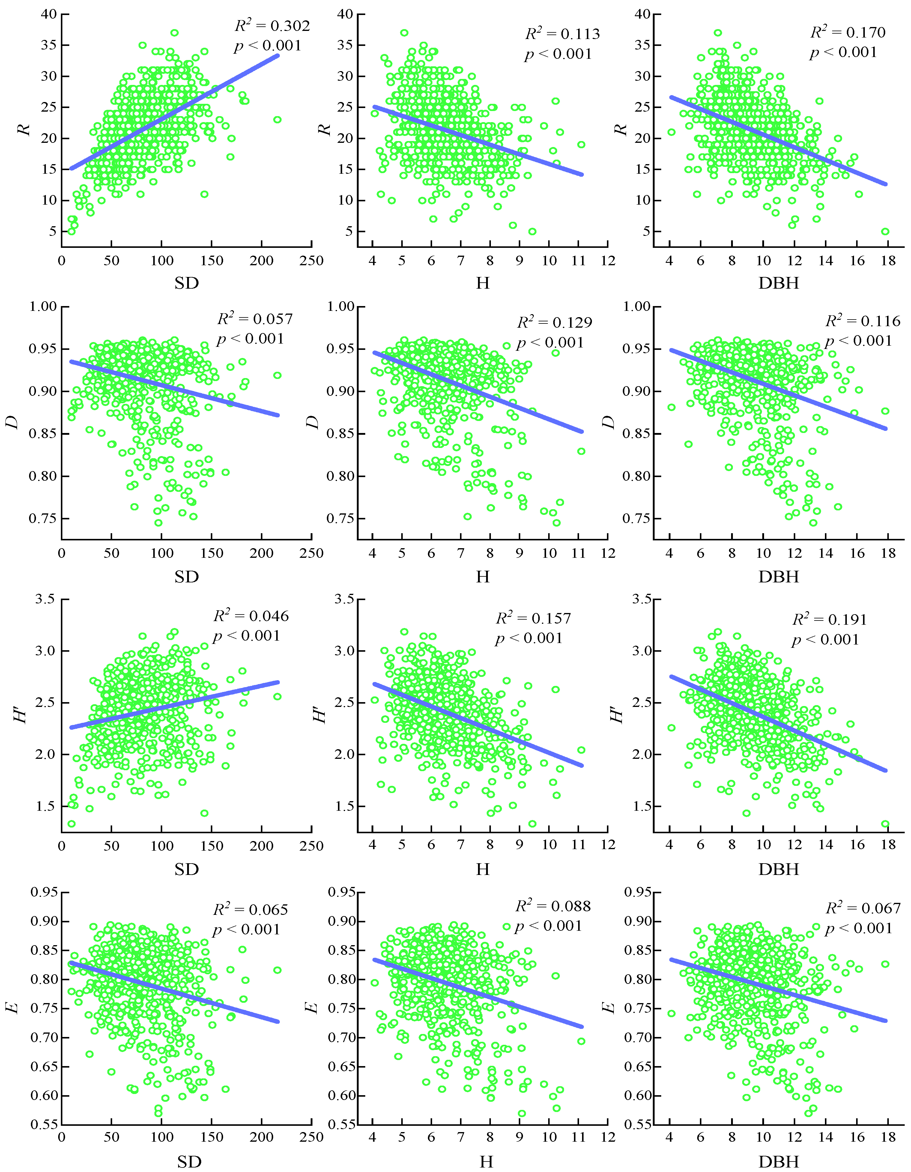
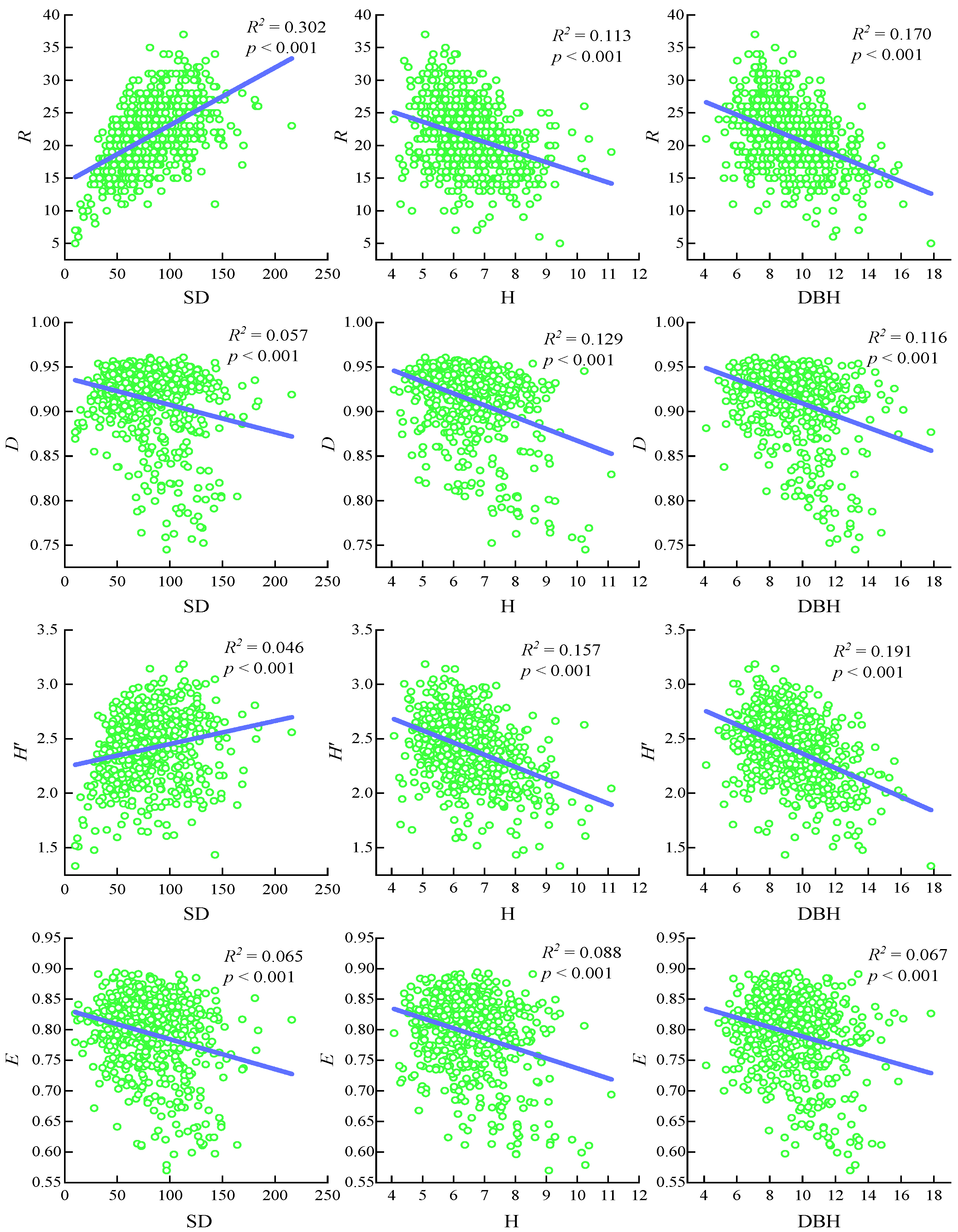
A significant linear relationship was observed between the community structural characteristics and species α-diversity within the tree layer (p < 0.001, Figure 1). With the exception of a highly significant positive correlation between stand density and both R and the H′ index (p < 0.001), all other structural attributes exhibited a highly significant negative linear relationship with measures of species α-diversity (p < 0.001). Specifically, increases in tree height and DBH were associated with significant reductions in R, D index, H′ index, and E index. Conversely, although higher stand density correlated with increased R and H′ index, it corresponded to significant decreases in both the D index and E index.
Figure 1. Linear regression analysis of community structure characteristics and species diversity in the tree layer (n = 625). Community structure characteristics, including SD, H, DBH. Species diversity, including R, D, H′, E.

3.3. Relationship Between Community Structure Characteristics and Species Diversity in Shrub Layer

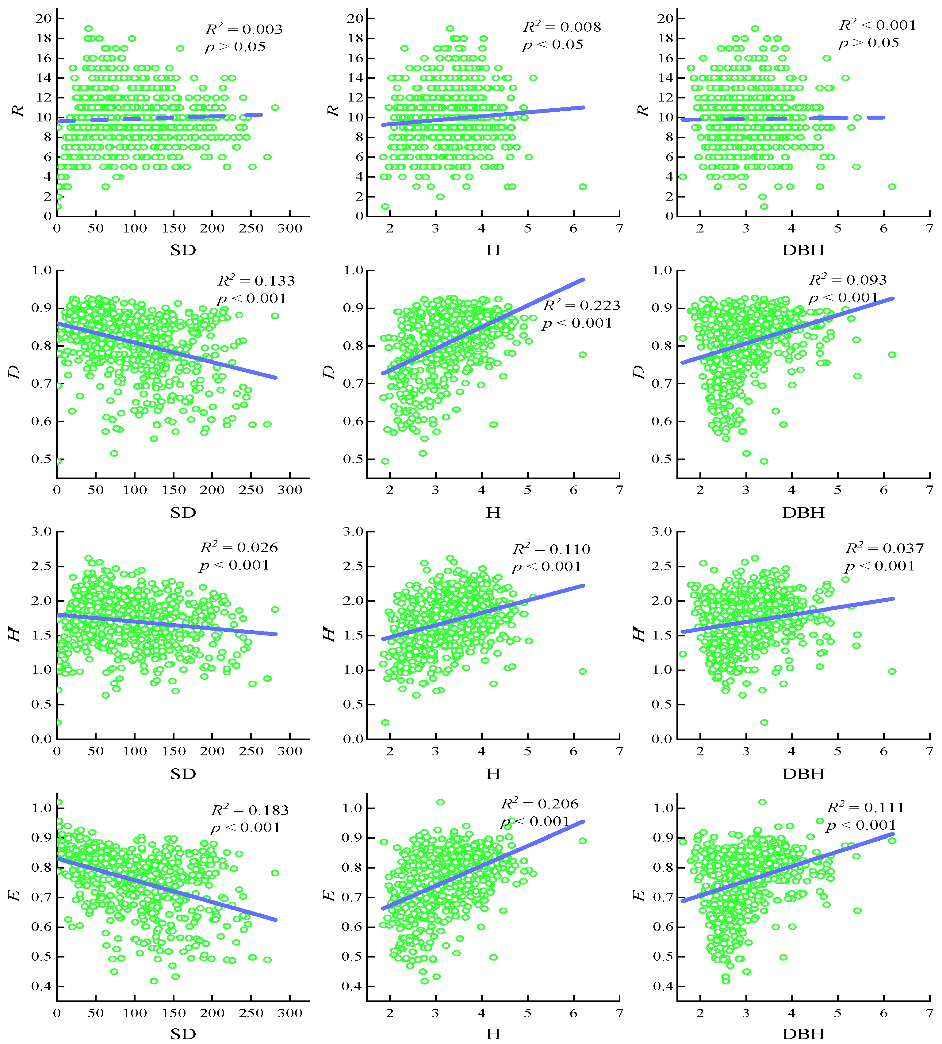
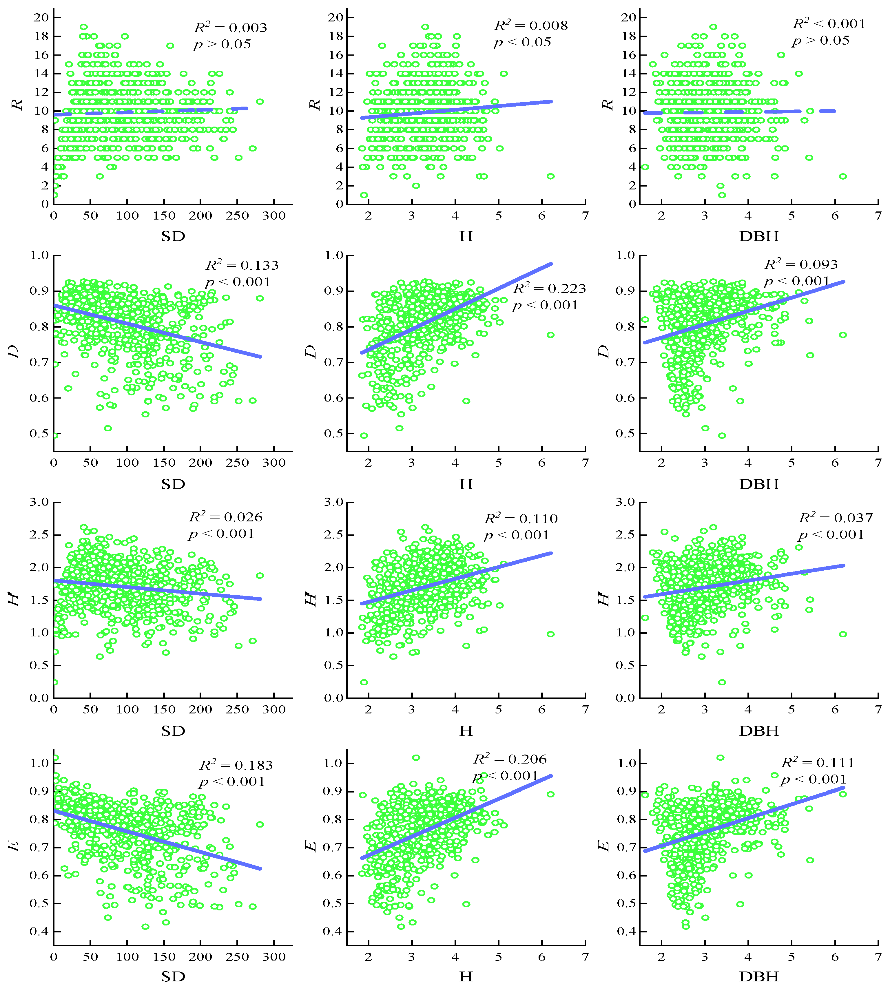
No significant linear relationship was detected between stand density, DBH, and R within the shrub layer (p > 0.05, Figure 2). In contrast, other community structural characteristics exhibited significant linear associations with shrub layer species α-diversity (p < 0.05, Figure 2). Specifically, both height and DBH demonstrated highly significant positive relationships with the D index, H′ index, and E index (p < 0.001). Conversely, stand density showed a significant negative linear correlation with these same diversity indices (p < 0.001). Accordingly, the D index, H′ index, and E index of the shrub layer increased significantly with greater shrub height and DBH, but decreased markedly with increasing stand density.
Figure 2. Linear regression analysis of community structure characteristics and species diversity in the shrub layer (n = 625). Community structure characteristics, including SD, H, DBH. Species diversity, including R, D, H′, E.

3.4. Relationship Between Tree Layer and Shrub Layer of Community Structure and Diversity

The relationships between α-diversity indices of the tree and shrub layers were predominantly positive, with the exception of a significant negative correlation between tree layer R and shrub layer E index (p < 0.001, Table 2). Regarding the structural characteristics of the tree layer and their correlation with shrub layer α-diversity, tree stand density showed a positive correlation with shrub R (p < 0.05). In contrast, other tree layer structural attributes were generally negatively correlated with shrub α-diversity indices (p < 0.05). The correlations between tree layer α-diversity and shrub layer structural characteristics were heterogeneous. Specifically, tree layer R was positively correlated with shrub stand density (p < 0.05), whereas the D and E indices of the tree layer were negatively correlated with shrub density (p < 0.001). Conversely, tree R was negatively correlated with mean shrub height and DBH, while the D, H′, and E indices of the tree layer were positively correlated with these structural parameters (p < 0.05). The correlations between the structural characteristics of the two layers also exhibited complexity. A significant positive correlation was observed between tree and shrub stand densities (p < 0.001). However, tree stand density was negatively correlated with mean shrub height and DBH (p < 0.001). Tree height was positively correlated with both shrub stand density and mean shrub height (p < 0.05).
Table 2. Spearman’s correlation coefficients among tree community structure, diversity and shrub community structure, diversity (n = 625). R: Species richness; D: Simpson diversity index; H′: Shannon–Wiener diversity index; E: Pielou evenness index; SD: Stand density; H: Height; DBH: Diameter at breast height.

3.5. Relationship Between Topographic Factors and Soil Properties

The analyzed topographic factors demonstrated significant correlations with multiple soil properties. pH exhibited negative correlations with both elevation and the TRASP index (p < 0.001 and p < 0.05, respectively). BD and potassium content were positively correlated with convexity and slope, respectively (p < 0.05). The C:P ratio, TC and the C:N ratio increased significantly with elevation (p < 0.05, p < 0.01 and p < 0.001, respectively). In contrast, AP and AK decreased with elevation (p < 0.01 and p < 0.001, respectively). Regarding the TRASP index, nitrogen content and the C:P and N:P ratios were negatively correlated (p < 0.05, p < 0.001, and p < 0.001, respectively), while TP was positively correlated (p < 0.05). Additionally, the C:N and C:P ratios were negatively correlated with slope and the TRASP index, respectively (p < 0.05 and p < 0.001) (Table 3).
Table 3. Spearman’s correlation coefficients among topographic factors and soil properties (n = 625).

3.6. Relationships of Forest Community Structure and Diversity with Environmental Factors

The RDA revealed a close association between variations in forest community structure, diversity, and environmental factors (Figure 3a,b). The first two axes collectively explained 20.27% of the total variance for the tree layer (Axis 1: 16.35%, Axis 2: 3.92%, Figure 3a) and 42.98% for the shrub layer (Axis 1: 39.51%, Axis 2: 3.47%, Figure 3b). The community attributes of each layer were influenced by distinct sets of environmental factors to varying degrees (Figure 3a,b and Table 4). For the tree layer, the C:N ratio, elevation, TP, and TC were identified as the most influential factors, with additional contributions from pH and AN. Specifically, the C:N ratio and elevation exhibited negative correlations with community α-diversity but positive correlations with structural characteristics. Conversely, pH showed a positive correlation with α-diversity and a negative correlation with structural attributes. In the shrub layer, the primary explanatory factors were the C:N ratio, pH, TN, and elevation, supplemented by AK, TC, TP, AP, and TK. The C:N ratio and elevation were generally negatively correlated with both α-diversity and structural characteristics, although the C:N ratio was positively correlated with stand density. TC and TK were predominantly negatively associated with shrub layer attributes. In summary, the C:N ratio, elevation, pH, TP, and TC emerged as the principal environmental drivers governing the variation and distribution patterns of forest community structure and diversity.
Figure 3. RDA of forest community structure and diversity with environmental factors. (a) tree layer and (b) shrub layer. Stand density (SD), Height (H), Diameter at breast height (DBH), Species richness (R), Simpson diversity index (D), Shannon–Wiener diversity index (H′), Pielou evenness index (E).
Table 4. Relationship of forest community structure and diversity with environmental variables.

4. Discussion

4.1. Effects of Forest Community Structure Characteristics on Diversity

The interrelationship between forest community structure and diversity constitutes a fundamental basis for forest ecosystem management. Previous studies have established that structural attributes of forest communities (such as tree height, DBH and stand density) significantly influence species diversity [34,35]. In the present study, there was a significant correlation between the structural characteristics of the tree layer and its diversity (p < 0.001). Tree height and DBH were significantly negatively correlated with all diversity indices (p < 0.001), and stand density was significantly negatively correlated with diversity indices D and E (p < 0.001). This pattern may be attributed to competitive exclusion for spatial and light resources resulting from a well-developed canopy. This finding is consistent with Wang et al. [36], who reported a negative correlation between DBH and R, suggesting that forest stands with smaller DBH tend to support higher R. In contrast, within the shrub layer, most structural characteristics, with the exception of stand density, exhibited positive correlations with diversity (p < 0.05). This may be explained by the relatively sufficient availability of niche space and light resources in the shrub stratum, which allows for the coexistence of multiple species. However, high shrub layer density was negatively associated with diversity (D, H′, E, p < 0.001), likely due to the dominance of one or a few shrub species, leading to reduced community evenness. Inter-layer correlations between tree and shrub have also been widely documented [37,38]. While Zhao et al. [39] observed a negative correlation between tree and shrub layer diversity, attributed to light interception by a dense tree canopy suppressing shrub growth, our results indicated an overall positive correlation (p < 0.001). This discrepancy may be explained by shared ecological processes such as similar seed dispersal mechanisms or parallel responses to environmental gradients and disturbances, given that both layers consist of woody plants [38,40]. Such common drivers may lead to coupled variation in diversity across layers. Conversely, tree layer structure was generally negatively correlated with shrub layer diversity (p < 0.001). This is likely due to the overriding influence of the overstory on understory conditions; canopy cover and basal area affect light penetration, temperature, and humidity, thereby shaping the growing environment for shrubs. Consequently, increases in tree density and DBH tend to reduce shrub diversity [35,41].

4.2. Effects of Topographic Factors on Soil Environment

Topography serves as a reliable proxy for soil environmental conditions [32]. Topographic variables (such as altitude, slope and convexity) exhibit high spatial heterogeneity and exert considerable influence on soil properties, thereby reflecting gradients in soil fertility and nutrient availability [42,43]. Generally, gravity-driven processes lead to the accumulation of soil organic matter and moisture in lower-lying areas, where subsequent decomposition can lower pH [42]. In this study, however, soil carbon content increased with altitude (p < 0.01), a finding consistent with the research of Zhang and Zhao [44,45]. Similarly, soil pH decreased with elevation (p < 0.001), aligning with Zhang’s observations [44]. This pattern may be attributed to the increasing presence of coniferous species at higher altitudes in the study area. Coniferous and broad-leaved mixed forests typically exhibit higher productivity, and the varied litter input from different tree species diversifies the composition of soil organic matter, resulting in higher organic matter content compared to pure broad-leaved forests [46,47]. Richer organic matter provides more substrate for decomposition, contributing to lower pH values. Furthermore, at higher altitudes, although the environment is drier, slowing organic matter decomposition [48], the accumulation of organic matter remains substantial, leading to positive correlations between altitude and both C:N (p < 0.001) and C:P ratios (p < 0.05). Altitude was negatively correlated with AP (p < 0.01) and AK (p < 0.001), likely due to the gravitational translocation and accumulation of these nutrients at lower elevations [43]. Slope was negatively correlated with the C:N ratio (p < 0.05) but positively correlated with TK (p < 0.01) and AK (p < 0.05). This may be explained by the negative relationship between slope and the TRASP index in the study area. Steeper slopes tend to be shadier and more humid, accelerating the decomposition of organic matter and reducing the C:N ratio, while promoting the accumulation of potassium. The TRASP index was negatively correlated with pH (p < 0.05), likely because higher TRASP values in the study area, with the smaller the slope, are associated with deeper soil layers and greater organic matter accumulation. The subsequent decomposition of this organic matter releases acids, thereby reducing soil pH. Similarly, the negative correlation between TRASP index and nitrogen content (p < 0.05), as well as the N:P ratio (p < 0.001), may result from stronger evapotranspiration and reduced nitrogen retention on sun-facing slopes [43]. Notably, TP was positively correlated with TRASP (p < 0.05), while AP was negatively correlated (p < 0.05). This may be because sun-exposed, drier conditions enhance mineral weathering and phosphorus release, increasing TP. In contrast, shaded, humid slopes experience stronger leaching, which may mobilize AP.

4.3. Response of Forest Community Structure and Diversity to Environmental Factors

The structural characteristics and diversity of forest communities are influenced by both topographic conditions and soil nutrient availability. Topography primarily induces local habitat heterogeneity, while soil nutrients, particularly phosphorus and potassium, may act as key limiting factors regulating community structure composition [49]. Altitude represents the most significant topographic variable, shaping plant community structure and diversity through its effects on temperature and precipitation patterns [43]. In this study, forest community attributes exhibited the greatest sensitivity to elevational gradients (tree layer, F = 29.4, p = 0.002; shrub layer, F = 26.9, p = 0.002) among topographic factors, consistent with findings reported by Zhang and Zhao [44,45]. In contrast to Fujimoto et al. [50], both tree and shrub layer diversity decreased with increasing altitude in the present study. Meanwhile, tree layer structural characteristics increased with elevation, whereas shrub layer structure declined. This pattern aligns with observations by Chuyong et al. [51], potentially attributable to the concurrent decrease in soil phosphorus and potassium availability at higher elevations. Since these elements are critical limiting nutrients for forest community assembly [49], their reduction may drive the negative diversity response to altitude. The increase in tree layer structure with elevation may reflect the increasing prevalence of coniferous species at higher altitudes. Coniferous and broad-leaved mixed forests typically exhibit higher productivity [46], supporting greater tree height, DBH, and stand density. These structural attributes alter understory light availability and microclimate conditions, subsequently suppressing shrub layer growth, resulting in a decrease in the height and DBH of the understory shrub community [35,41]. In this study, soil pH serves as another critical abiotic factor influencing plant diversity (tree layer, F = 10, p = 0.002; shrub layer, F = 46.3, p = 0.002), which often declines with decreasing pH levels [39,52], a trend confirmed in our results. This may be explained by the acidic soils in the study area (pH, 3.58–5.34), where further acidification can alter soil enzyme activity and root nutrient uptake, impairing seed germination and seedling establishment [36,39]. Soil nutrients significantly affect plant growth rates, community composition, and species diversity [52]. Although soil carbon and nitrogen content generally promote species diversity and influence spatial distribution in forest communities [39,45,52,53], in this study, the tree layer diversity index (D) and shrub layer structure correlated negatively with soil carbon variation. This discrepancy may arise from the non-limiting levels of higher TC content (47.24 g/kg) in the study area, reducing its influence on tree distribution and community assembly. Moreover, high soil carbon content may favor pathogen proliferation, adversely affecting plant survival [54] and leading to the observed negative correlation. In this study, the species diversity indices increased with rising TN and AK, indicating a positive relationship between diversity and soil nutrient status [45]. In contrast, most forest community structural characteristics declined with increasing soil nitrogen, phosphorus, and potassium content. This pattern may be explained by nutrient redistribution along topographic gradients: under gravitational influence, soil nutrients accumulate at lower elevations [43]. As altitude decreases, coniferous species diminish, and deciduous broad-leaved forests become dominant. Since the latter typically exhibit lower productivity than mixed coniferous-broadleaf forests [46], overall stand density, tree height, and DBH gradually decrease. Finally, in this study, the sensitivity of forest community attributes to C:N ratio was the most significant among the soil nutrient factors (tree layer, F = 45.6, p = 0.002; shrub layer, F = 258, p = 0.002). Species diversity indices (D, H′, E) declined with increasing soil C:N ratio, likely because a higher C:N ratio impedes nutrient mineralization, thereby limiting resource availability for maintaining species diversity [55].

5. Conclusions

This study presents a comprehensive analysis of the complex relationships among community structure, species diversity, and environmental drivers in the underrepresented subtropical deciduous broad-leaved forests of Eastern China. Significant correlations were identified between forest community structure and species diversity, as well as between topographic factors and soil properties. RDA revealed that topographic conditions and soil characteristics jointly influence forest community structure and diversity. Our findings clearly demonstrate that the structural composition and diversity of these forests are not determined by a single factor, but rather emerge from the synergistic effects of topographic and edaphic variables, coupled with intrinsic community characteristics. Notably, strong associations were observed between community structural attributes (stand density and height) and key soil properties (particularly C:N ratio, pH, TP, and TC), underscoring the importance of soil nutrient availability in shaping community organization. This highlights nutrient cycling as a fundamental process maintaining productivity and community assembly in these ecosystems. However, we found that areas with higher plant diversity did not consistently correspond to regions with elevated soil nutrient levels. Furthermore, topography, especially altitude, exerted a substantial influence on both community characteristics (structure and diversity) and soil properties (pH, TC, C:N, C:P, AP, and AK), revealing a fundamental environmental filtering mechanism. Topographic variation creates distinct microclimates and affects soil development processes, which subsequently govern species niche differentiation and influence community organization. Several limitations should be acknowledged. Our survey provides a robust baseline but cannot capture dynamic processes such as succession, recruitment, and mortality. Long-term monitoring is necessary to understand the temporal dynamics and resilience of these forests. Additionally, while we identified key soil nutrients, further investigation into microbial communities and belowground biomass could elucidate deeper mechanistic links within nutrient cycling processes. This research addresses an important knowledge gap concerning subtropical deciduous broad-leaved forest ecosystems. The insights generated are crucial for informing effective conservation strategies and sustainable management practices for these valuable subtropical forest systems.

Supplementary Materials

The following supporting information can be downloaded at: https://www.mdpi.com/article/10.3390/f16121837/s1, Table S1 The list of all tree and shrub species.

Author Contributions

Conceptualization, Z.X., J.Z. and S.Z.; Data curation, Z.X., J.W., D.X. and Z.Z.; Formal analysis, Z.X.; Funding acquisition, J.Z. and S.Z.; Investigation, Z.X., J.W., D.X., Z.Z., Z.T., Y.H., J.Z. and S.Z.; Project administration, J.Z. and S.Z.; Resources, D.X., Z.Z. and Z.T.; Writing—original draft, Z.X.; Writing—review and editing, J.W., J.Z. and S.Z. All authors have read and agreed to the published version of the manuscript.

Funding

This study was supported by Special Grants of the Lushan Botanical Garden, Chinese Academy of Sciences (2024ZWZX15) and Jiangxi Provincial Natural Science Foundation (20242BAB20261).

Data Availability Statement

The original contributions presented in this study are included in the article/Supplementary Material. Further inquiries can be directed to the corresponding authors.

Conflicts of Interest

The authors declare no conflicts of interest.

References

  1. Aubert, M.; Margerie, P.; Trap, J.; Bureau, F. Aboveground-belowground relationships in temperate forests: Plant litter composes and microbiota orchestrates. For. Ecol. Manag. 2010, 259, 563–572. [Google Scholar] [CrossRef]
  2. Pomara, L.Y.; Ruokolainen, K.; Tuomisto, H.; Young, K.R. Avian Composition Co-varies with Floristic Composition and Soil Nutrient Concentration in Amazonian Upland Forests. Biotropica 2012, 44, 545–553. [Google Scholar] [CrossRef]
  3. Vergara-Tabares, D.L.; Cordier, J.M.; Landi, M.A.; Olah, G.; Nori, J. Global trends of habitat destruction and consequences for parrot conservation. Glob. Change Biol. 2020, 26, 4251–4262. [Google Scholar] [CrossRef] [PubMed]
  4. Parron, L.M.; Bustamante, M.M.C.; Markewitz, D. Fluxes of nitrogen and phosphorus in a gallery forest in the Cerrado of Central Brazil. Biogeochemistry 2011, 105, 89–104. [Google Scholar] [CrossRef]
  5. Qian, H.; White, P.S.; Song, J.S. Effects of regional vs. ecological factors on plant species richness: An intercontinental analysis. Ecology 2007, 88, 1440–1453. [Google Scholar] [CrossRef]
  6. Fernandes, P.H.D.; de Souza, A.L.T.; Tanaka, M.O.; Sebastiani, R. Decomposition and stabilization of organic matter in an old-growth tropical riparian forest: Effects of soil properties and vegetation structure. For. Ecosyst. 2021, 8, 173–181. [Google Scholar] [CrossRef]
  7. Wekesa, C.; Kirui, B.K.; Maranga, E.K.; Muturi, G.M. Variations in forest structure, tree species diversity and above-ground biomass in edges to interior cores of fragmented forest patches of Taita Hills, Kenya. For. Ecol. Manag. 2019, 440, 48–60. [Google Scholar] [CrossRef]
  8. Mazón, M.M.; Klanderud, K.; Finegan, B.; Veintimilla, D.; Bermeo, D.; Murrieta, E.; Delgado, D.; Sheil, D. How forest structure varies with elevation in old growth and secondary forest in Costa Rica. For. Ecol. Manag. 2020, 469, 118191. [Google Scholar] [CrossRef]
  9. Bélanger, N.; Collin, A.; Ricard-Piché, J.; Kembel, S.W.; Rivest, D. Microsite conditions influence leaf litter decomposition in sugar maple bioclimatic domain of Quebec. Biogeochemistry 2019, 145, 107–126. [Google Scholar] [CrossRef]
  10. Weintraub, S.R.; Taylor, P.G.; Porder, S.; Cleveland, C.C.; Asner, G.P.; Townsend, A.R. Topographic controls on soil nitrogen availability in a lowland tropical forest. Ecology 2015, 96, 1561–1574. [Google Scholar] [CrossRef]
  11. Chadwick, K.D.; Asner, G.P. Tropical soil nutrient distributions determined by biotic and hillslope processes. Biogeochemistry 2016, 127, 273–289. [Google Scholar] [CrossRef]
  12. Yang, X.Y.; Duan, P.P.; Wang, K.L.; Li, D.J. Topography modulates effects of nitrogen deposition on soil nitrogen transformations by impacting soil properties in a subtropical forest. Geoderma 2023, 432, 116381. [Google Scholar] [CrossRef]
  13. Blonska, E.; Lasota, J.; Szuszkiewicz, M.; Lukasik, A.; Klamerus-Iwan, A. Assessment of forest soil contamination in Krakow surroundings in relation to the type of stand. Environ. Earth Sci. 2016, 75, 1205. [Google Scholar] [CrossRef]
  14. Tamme, R.; Hiiesalu, I.; Laanisto, L.; Szava-Kovats, R.; Pärtel, M. Environmental heterogeneity, species diversity and co-existence at different spatial scales. J. Veg. Sci. 2010, 21, 796–801. [Google Scholar] [CrossRef]
  15. Černý, T.; Doležal, J.; Janeček, Š.; Šrůtek, M.; Valachovič, M.; Petřík, P.; Altman, J.; Bartoš, M.; Song, J.S. Environmental correlates of plant diversity in Korean temperate forests. Acta Oecol. 2013, 47, 37–45. [Google Scholar] [CrossRef]
  16. Rossel, R.A.V.; Lee, J.; Behrens, T.; Luo, Z.; Baldock, J.; Richards, A. Continental-scale soil carbon composition and vulnerability modulated by regional environmental controls. Nat. Geosci. 2019, 12, 547–552. [Google Scholar] [CrossRef]
  17. Gonzaga, A.P.D.; Machado, E.L.M.; Felfili, J.M.; Pinto, J.R.R. Brazilian Decidual Tropical Forest enclaves: Floristic, structural and environmental variations. Braz. J. Bot. 2017, 40, 417–426. [Google Scholar] [CrossRef]
  18. Zolfaghari, R.; Fayyaz, P.; Jahantab, E.; Bergmeier, E. Habitat variation and vulnerability of Quercus brantii woodlands in the Zagros Mountains, Iran. Turk. J. Bot. 2021, 45, 688–700. [Google Scholar] [CrossRef]
  19. Scholten, T.; Goebes, P.; Kühn, P.; Seitz, S.; Assmann, T.; Bauhus, J.; Bruelheide, H.; Buscot, F.; Erfmeier, A.; Fischer, M.; et al. On the combined effect of soil fertility and topography on tree growth in subtropical forest ecosystems-a study from SE China. J. Plant Ecol. 2017, 1, 111–127. [Google Scholar] [CrossRef]
  20. Wang, H.; Tan, C.; Xiong, W.; Wang, X.; Aierkaixi, D.; Fu, Q. Vascular plants in the tourist area of Lushan National Nature Reserve, China: Status, threats and conservation. Eco. Mont. 2020, 12, 60–63. [Google Scholar]
  21. Cheng, D.; Duan, Z.; Li, Q.; Liu, Z.; Yan, Y.; Zhou, L.; Zhang, Z. Vegetation changes of Lushan, China between 1959 and 2020 based on pollen data. Palynology 2025, 49, 2428378. [Google Scholar] [CrossRef]
  22. Yu, F.Z.; Zhang, Z.Q.; Chen, L.Q.; Wang, J.X.; Shen, Z.P. Spatial distribution characteristics of soil organic carbon in subtropical forests of mountain Lushan, China. Environ. Monit. Assess. 2018, 190, 545. [Google Scholar] [CrossRef] [PubMed]
  23. Qiu, L.B.; Xiao, T.Q.; Bai, T.J.; Mo, X.Y.; Huang, J.H.; Deng, W.P.; Liu, Y.Q. Seasonal dynamics and influencing factors of litterfall production and carbon input in typical forest community types in Lushan Mountain, China. Forests 2023, 14, 341. [Google Scholar] [CrossRef]
  24. Fu, D.; Zhang, W.; Liu, X.; Zhao, Y.; Sun, L.; Zhang, S.; Chen, Z. Intra-Annual Growth Dynamics and Environmental Response of Leaves, Shoots and Stems in Quercus serrata on Lushan Mountain, Subtropical China. Forests 2025, 16, 305. [Google Scholar] [CrossRef]
  25. Martin-Benito, D.; Pederson, N. Convergence in drought stress, but a divergence of climatic drivers across a latitudinal gradient in a temperate broadleaf forest. J. Biogeogr. 2015, 42, 925–937. [Google Scholar] [CrossRef]
  26. Forrester, D.I.; Ammer, C.; Annighöfer, P.J.; Barbeito, I.; Bielak, K.; Bravo-Oviedo, A.; Coll, L.; del Río, M.; Drössler, L.; Heym, M.; et al. Effects of crown architecture and stand structure on light absorption in mixed and monospecific Fagus sylvatica and Pinus sylvestris forests along a productivity and climate gradient through Europe. J. Ecol. 2017, 106, 746–760. [Google Scholar] [CrossRef]
  27. Zou, G.; Liu, Y.; Kong, F.; Liao, L.; Deng, G.; Jiang, X.; Cai, J.; Liu, W. Depression of the soil arbuscular mycorrhizal fungal community by the canopy gaps in a Japanese cedar (Cryptomeria japonica) plantation on Lushan Mountain, subtropical China. PeerJ 2021, 9, e10905. [Google Scholar] [CrossRef]
  28. Rao, J.; Ouyang, X.; Pan, P.; Huang, C.; Li, J.; Ye, Q. Ecological Risk Assessment of Forest Landscapes in Lushan National Nature Reserve in Jiangxi Province, China. Forests 2024, 15, 484. [Google Scholar] [CrossRef]
  29. Liu, X.Z.; Wang, L. Scientific Survey and Study of Biodiversity on the Lushan Nature Reserve in Jiangxi Province; Science Press: Beijing, China, 2010; pp. 241–443. [Google Scholar]
  30. Lin, L.; Xu, X.; Cao, G.; Zhang, F.; Li, Y.; Huang, J. Self-stabilizing maintenance process in plant communities of alpine meadows under different grazing intensities. Grassl. Res. 2023, 2, 140–152. [Google Scholar] [CrossRef]
  31. Zhang, L.; Du, H.; Yang, Z.; Song, T.; Zeng, F.; Peng, W.; Huang, G. Topography and Soil Properties Determine Biomass and Productivity Indirectly via Community Structural and Species Diversity in Karst Forest, Southwest China. Sustainability 2022, 14, 7644. [Google Scholar] [CrossRef]
  32. Feng, G.; Li, J.-Q.; Zang, R.-G.; Ding, Y.; Ai, X.-R.; Yao, L. Variation in three community features across habitat types and scales within a 15-ha subtropical evergreen-deciduous broadleaved mixed forest dynamics plot in China. Ecol. Evol. 2018, 8, 11987–11998. [Google Scholar] [CrossRef]
  33. Tomaszewska, M.A.; Henebry, G.M. How much variation in land surface phenology can climate oscillation modes explain at the scale of mountain pastures in Kyrgyzstan? Int. J. Appl. Earth Obs. Geoinf. 2020, 87, 102053. [Google Scholar] [CrossRef]
  34. Li, Y.; Wang, X.; Zhang, C.; Li, J.; Jiang, H.; Sheng, L.; Li, Z. Stand Structure Management and Tree Diversity Conservation Based on Using Stand Factors: A Case Study in the Longwan National Nature Reserve. Forests 2023, 14, 750. [Google Scholar] [CrossRef]
  35. Wang, X.; Li, Y.; Bai, X.Y.; Sheng, L.X.; Zhang, H.L.; Chen, F.P.; Xiao, Y.J.; Liu, W.Z.; Zhai, Y.Q. Effects of gold and copper mining on the structure and diversity of the surrounding plant communities in Northeast Tiger and Leopard National Park. Front. Plant Sci. 2024, 15, 1419345. [Google Scholar] [CrossRef] [PubMed]
  36. Wang, W.D.; Zhao, J.J.; Zhang, B.J.; Deng, G.; Maimaiti, A.; Guo, Z.J. Patterns and drivers of tree species diversity in a coniferous forest of northwest China. Front. For. Glob. Change 2024, 7, 1333232. [Google Scholar] [CrossRef]
  37. Simonson, W.D.; Allen, H.D.; Coomes, D.A. Overstorey and topographic effects on understories: Evidence for linkage from cork oak (Quercus suber) forests in Southern Spain. For. Ecol. Manag. 2014, 328, 35–44. [Google Scholar] [CrossRef]
  38. Abella, S.R.; Menard, K.S.; Schetter, T.A.; Hausman, C.E. Co-Variation among Vegetation Structural Layers in Forested Wetlands. Wetlands 2021, 41, 3. [Google Scholar] [CrossRef]
  39. Zhao, Y.; Zhao, M.; Qi, L.; Zhao, C.; Zhang, W.; Zhang, Y.; Wen, W.; Yuan, J. Coupled Relationship between Soil Physicochemical Properties and Plant Diversity in the Process of Vegetation Restoration. Forests 2022, 13, 648. [Google Scholar] [CrossRef]
  40. Decocq, G. Patterns of plant species and community diversity at different organization levels in a forested riparian landscape. J. Veg. Sci. 2002, 13, 91–106. [Google Scholar] [CrossRef]
  41. Ming, A.G.; Yang, Y.J.; Liu, S.R.; Nong, Y.; Tao, Y.; Zeng, J.; An, N.; Niu, C.H.; Zhao, Z.; Jia, H.Y.; et al. A Decade of Close-to Nature Transformation Alters Species Composition and Increases Plant Community Diversity in Two Coniferous Plantations. Front. Plant Sci. 2020, 11, 1141. [Google Scholar] [CrossRef]
  42. Rodrigues, A.C.; Villa, P.M.; Ferreira-Júnior, W.G.; Schaefer, C.E.R.G.; Neri, A.V. Effects of topographic variability and forest attributes on fine-scale soil fertility in late-secondary succession of Atlantic Forest. Ecol. Process. 2021, 10, 62. [Google Scholar] [CrossRef]
  43. Xu, J.; Zhang, H.; Qiao, Y.; Yuan, H.; Xu, W.; Xia, X. Effects of Microtopography on Neighborhood Diversity and Competition in Subtropical Forests. Plants 2025, 14, 870. [Google Scholar] [CrossRef] [PubMed]
  44. Zhang, C.S.; Li, X.Y.; Chen, L.; Xie, G.D.; Liu, C.L.; Pei, S. Effects of Topographical and Edaphic Factors on Tree Community Structure and Diversity of Subtropical Mountain Forests in the Lower Lancang River Basin. Forests 2016, 7, 222. [Google Scholar] [CrossRef]
  45. Zhao, H.; Wang, Q.R.; Fan, W.; Song, G.H. The Relationship between Secondary Forest and Environmental Factors in the Southern Taihang Mountains. Sci. Rep. 2017, 7, 16431. [Google Scholar] [CrossRef]
  46. Zhang, Y.X.; Guo, X.W.; Chen, L.X.; Kuzyakov, Y.; Wang, R.Z.; Zhang, H.Y.; Han, X.G.; Jiang, Y.; Sun, O.J. Global pattern of organic carbon pools in forest soils. Glob. Change Biol. 2024, 30, e17386. [Google Scholar] [CrossRef]
  47. Li, F.; Wang, Z.H.; Hou, J.F.; Li, X.Q.; Wang, D.; Yang, W.Q. The changes in soil organic carbon stock and quality across a subalpine forest successional series. For. Ecosyst. 2024, 11, 100203. [Google Scholar] [CrossRef]
  48. Lippok, D.; Beck, S.G.; Renison, D.; Hensen, I.; Apaza, A.E.; Schleuning, M. Topography and edge effects are more important than elevation as drivers of vegetation patterns in a neotropical montane forest. J. Veg. Sci. 2014, 25, 724–733. [Google Scholar] [CrossRef]
  49. Yao, L.J.; Wang, Z.G.; Zhan, X.H.; Wu, W.Z.; Jiang, B.; Jiao, J.J.; Yuan, W.G.; Zhu, J.R.; Ding, Y.; Li, T.T.; et al. Assessment of Species Composition and Community Structure of the Suburban Forest in Hangzhou, Eastern China. Sustainability 2022, 14, 4304. [Google Scholar] [CrossRef]
  50. Fujimoto, Y.; Kaneko, T.; Sato, H.; Rakotomamonjy, A.H.; Razafiarison, Z.L.; Kitajima, K. Topographical gradient of the structure and diversity of a woody plant community in a seasonally dry tropical forest in northwestern Madagascar. Ecol. Res. 2024, 39, 705–716. [Google Scholar] [CrossRef]
  51. Chuyong, G.B.; Kenfack, D.; Harms, K.E.; Thomas, D.W.; Condit, R.; Comita, L.S. Habitat specificity and diversity of tree species in an African wet tropical forest. Plant Ecol. 2011, 212, 1363–1374. [Google Scholar] [CrossRef]
  52. Li, J.; Luo, Y.; Song, X.; Jiang, D.; He, Q.; Bai, A.; Li, R.; Zhang, W. Effects of the Dominate Plant Families on Elevation Gradient Pattern of Community Structure in a Subtropical Forest. Forests 2023, 14, 1860. [Google Scholar] [CrossRef]
  53. Liu, P.C.; Wang, W.D.; Bai, Z.Q.; Guo, Z.J.; Ren, W.; Huang, J.H.; Xu, Y.; Yao, J.; Ding, Y.; Zang, R.G. Nutrient loads and ratios both explain the coexistence of dominant tree species in a boreal forest in Xinjiang, Northwest China. For. Ecol. Manag. 2021, 491, 119198. [Google Scholar] [CrossRef]
  54. Liu, Y.; Yu, S.X.; Xie, Z.P.; Staehelin, C. Analysis of a negative plant-soil feedback in a subtropical monsoon forest. J. Ecol. 2012, 100, 1019–1028. [Google Scholar] [CrossRef]
  55. Wang, M.M.; Zhang, S.; Wang, G.C.; Xiao, L.J.; Gu, B.J.; Zheng, M.H.; Niu, S.L.; Yang, Y.H.; Luo, Y.Q.; Zhang, G.L.; et al. Increased plant productivity exacerbates subsoil carbon losses under warming via nitrogen mining. Nat. Geosci. 2025, 18, 510–517. [Google Scholar] [CrossRef]
Disclaimer/Publisher’s Note: The statements, opinions and data contained in all publications are solely those of the individual author(s) and contributor(s) and not of MDPI and/or the editor(s). MDPI and/or the editor(s) disclaim responsibility for any injury to people or property resulting from any ideas, methods, instructions or products referred to in the content.

Article Metrics

Citations

Article Access Statistics

Article metric data becomes available approximately 24 hours after publication online.