Variations in the Forest Productivity of Pinus patula Plantations in Tanzania: The Need for an Improved Site Classification System
Abstract
1. Introduction
- (i)
- Whether forest productivity and stand variables are consistent with the assigned site classes within plantations.
- (ii)
- To what extent Hdom, as predicted by the assigned site classes, is consistent with the realized Hdom within and between plantations and whether the differences in Hdom are related to physiographic factors.
- (iii)
- How physiographic factors represented by slope and elevation affect forest productivity (MAI) within management compartments, each categorized by a single site class.
2. Materials and Methods
2.1. Study Site Descriptions
2.2. Sampling Design
2.3. Field Data Collection
2.4. Data Analysis
2.4.1. Data Processing
2.4.2. ANCOVA, the Generalized Linear Model, and the Linear Mixed-Effects Model
3. Results
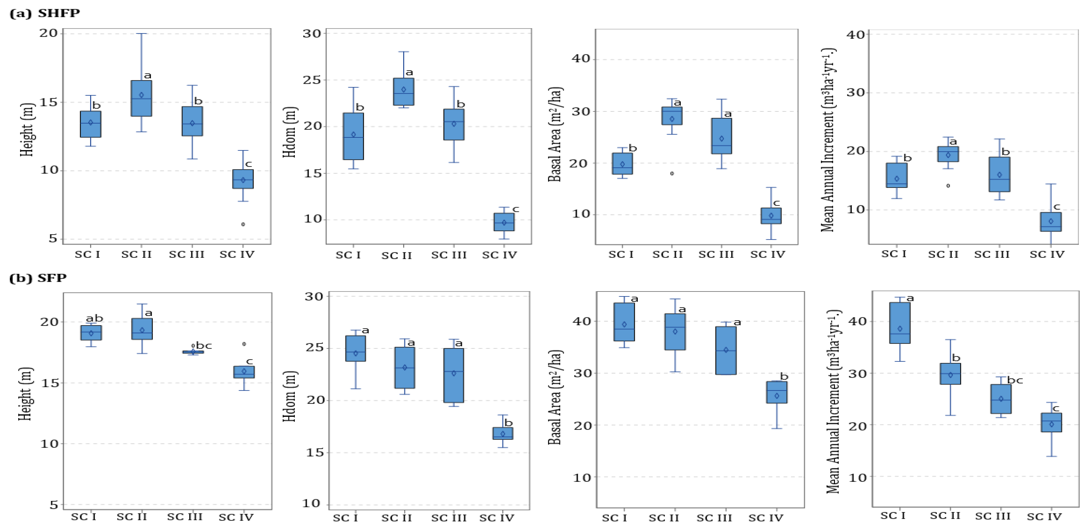
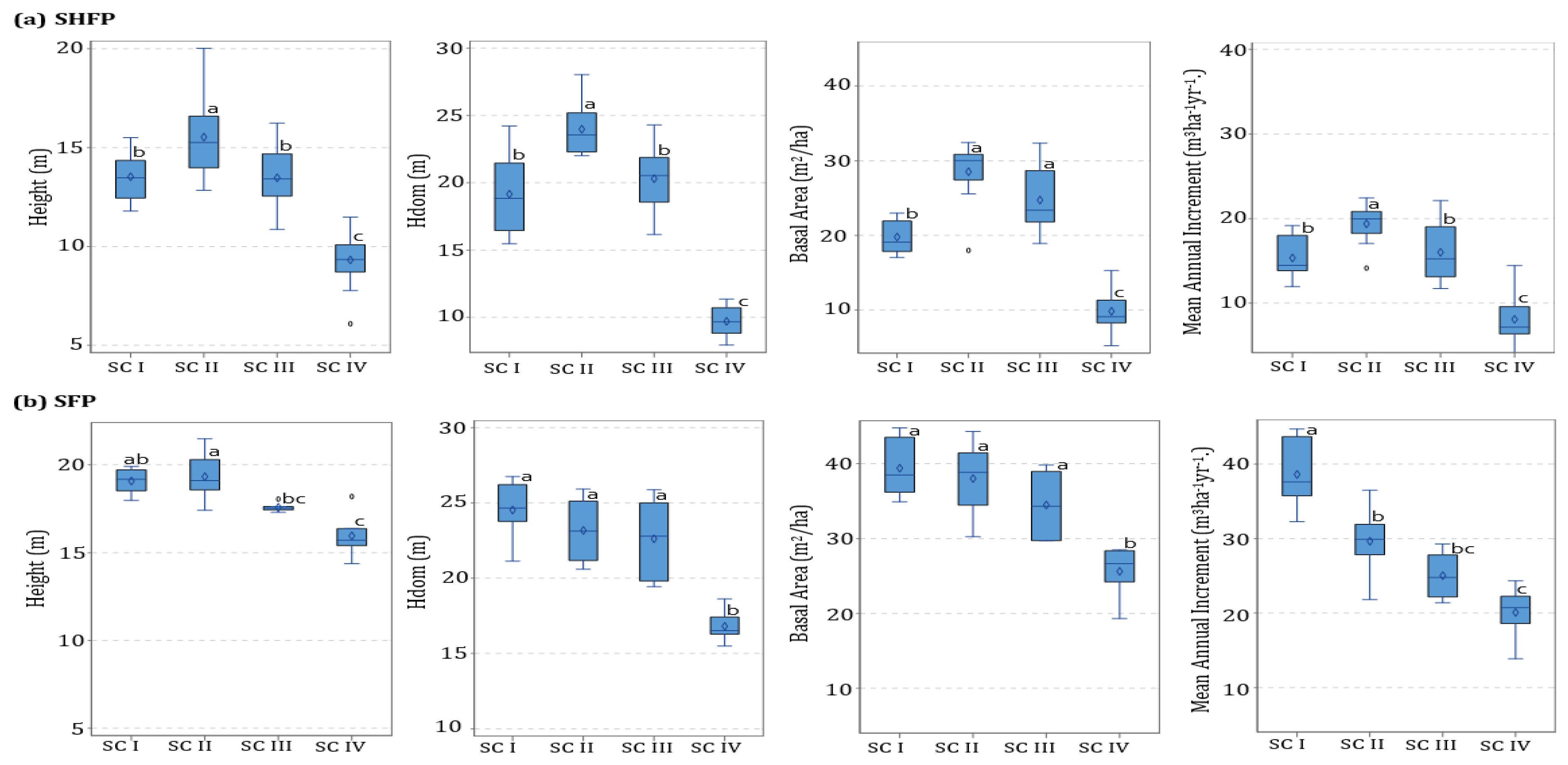
3.1. Forest Productivity and Stand Variables for Assigned Site Classes within Sao Hill and Shume Forest Plantations in Tanzania
3.2. Dominant Height (Hdom) as Related to Physiographic Factors and the Shift in Site Classes at Sao Hill and Shume Forest Plantations in Tanzania
3.3. Effects of Elevations and Slope Percentage on Forest Productivity within Site Classes at Sao Hill and Shume Forest Plantations in Tanzania
4. Discussion
5. Conclusions
Author Contributions
Funding
Data Availability Statement
Acknowledgments
Conflicts of Interest
Appendix A

| Sites | Predicted Attributes | Measured Attributes | ||||
|---|---|---|---|---|---|---|
| Original Site Class | Age | Predicted Hdom | Realized Hdom | Slope Positions | Micro-Site Classes (Shifted Site Classes) | |
| SHFP | SC I | 12 | 22.4 | 15.65 | Summit | III |
| 19.08 | Mid | II | ||||
| 22.98 | Lower | I | ||||
| SC II | 15 | 21.8 | 22.65 | Summit | II | |
| 24.79 | Mid | II | ||||
| 22.07 | Lower | II | ||||
| SC III | 15 | 16.9 | 19.14 | Summit | III | |
| 20.39 | Mid | III | ||||
| 21.90 | Lower | III | ||||
| SC IV | 9 | 7.6 | 10.08 | Summit | IV | |
| 9.68 | Mid | IV | ||||
| 9.27 | Lower | IV | ||||
| SFP | SC I | 12 | 22.6 | 22.46 | Summit | I |
| 25.54 | Mid | I | ||||
| 25.61 | Lower | I | ||||
| SC II | 15 | 21.8 | 22.89 | Summit | II | |
| 21.13 | Mid | III | ||||
| 25.52 | Lower | II | ||||
| SC III | 15 | 16.9 | 20.87 | Summit | III | |
| 22.22 | Mid | III | ||||
| 24.78 | Lower | II | ||||
| SC IV | 13 | 7.6 | 16.03 | Summit | III | |
| 16.85 | Mid | III | ||||
| 17.55 | Lower | III | ||||
References
- Boscolo, E.; Rametsteiner, E. Chapter 4 in: The State of the World’s Forests 2022. Discussions, Stats, and Author Profiles for This Publication. Available online: https://www.researchgate.net/publication/360386906 (accessed on 5 May 2024).
- FAO. Global Forest Resources Assessment, Main Report. FAO Forestry 2010, Paper No. 163; Food and Agricultural Organisation of the United Nations: Rome, Italy, 2010; p. 378. Available online: https://www.fao.org/docrep/013/i1757e/i1757e.pdf (accessed on 22 April 2024).
- FAO. Global Forest Resources Assessment 2015. How Are the World’s Forests Changing? 2nd ed.; Food and Agricultural Organisation of the United Nations: Rome, Italy, 2016; p. 56. Available online: http://www.fao.org/3/a-i4793e.pdf (accessed on 9 December 2023).
- Fenning, T.M.; Gershenzon, J. Where will the wood come from? Plantation forests and the role of biotechnology. Trends Biotechnol. 2002, 20, 291–296. [Google Scholar] [CrossRef] [PubMed]
- Siry, J.; Cubbage, F.; Ahmed, M. Sustainable Forest Management: Global challenges and opportunities. For. Policy Econ. 2005, 7, 551–561. [Google Scholar] [CrossRef]
- Payn, T.; Carnus, J.M.; Freer-Smith, P.; Kimberley, M.; Kollert, W.; Liu, S.; Orazio, C.; Rodriguez, L.; Silva, L.N.; Wingfield, M.J. Changes in planted forests and future global implications. For. Ecol. Manag. 2015, 352, 57–67. [Google Scholar] [CrossRef]
- Maxwell, S. Forestry Statistics 2022: Chapter 9 International Forestry. Available online: https://www.forestresearch.gov.uk/statistics/ (accessed on 27 December 2023).
- Joson, M. Net Zero Could Drive up the Global Demand for Timber, Putting at Risk the World’s Forests. Features 2022. Available online: https://www.investmentmanitor.ai/features/net-zero-drive-up-global-demand-timber-forests/?cf-view (accessed on 7 July 2024).
- Peters, G.P.; Andrew, R.M.; Boden, T.; Canadell, J.G.; Ciais, P.; Le Quéré, C.; Marland, G.; Raupach, M.R.; Wilson, C. The challenge to keep global warming below 2 °C. Nat. Clim. Chang. 2012, 3, 4–6. [Google Scholar] [CrossRef]
- Tadesse, W.; Fonseca, T.F. Pinus patula plantations in Africa: An Overview of Its Silvicultural Traits and Use under SDG. In Conifers—Recent Advances; IntechOpen: London, UK, 2022. [Google Scholar] [CrossRef]
- Santiago-García, W.; Pérez-López, E.; Quiñonez-Barraza, G.; Rodríguez-Ortiz, G.; Santiago-García, E.; Ruiz-Aquino, F.; Tamarit-Urias, J.C. A dynamic system of growth and yield equations for Pinus patula. Forests 2017, 8, 465. [Google Scholar] [CrossRef]
- Kamala, F.D.; Sakagami, H.; Oda, K.; Matsumura, J. Wood density and growth ring structure of Pinus patula planted in Malawi, Africa. IAWA 2013, 34, 61–70. [Google Scholar] [CrossRef]
- Ugalde, L.; Pérez, O. Mean Annual Volume Increment of Selected Industrial Forest Plantation Species. In Forest Plantations Thematic Papers; Mead, D.J., Ed.; Food and Agriculture Organization: Rome, Italy, 2001; p. 27. Available online: https://www.researchgate.net/publication/235704736 (accessed on 7 February 2024).
- Ndlovu, N.; Little, K.; Titshall, L.; Rolando, C.A. Site preparation and vegetation management impacts on Pinus patula growth and rotation end productivity in South Africa. Aust. For. 2019, 82, 107–115. [Google Scholar] [CrossRef]
- Baribault, T.W.; Kobe, R.K.; Finley, A.O. Tropical tree growth is correlated with soil phosphorus, potassium, and calcium, though not for legumes. Ecol. Monogr. 2012, 82, 189–203. Available online: https://www.jstor.org/stable/41739364 (accessed on 17 March 2024). [CrossRef]
- Antón-Fernández, C.; Mola-Yudego, B.; Dalsgaard, L.; Astrup, R. Climate-sensitive site index models for Norway. Can. J. For. Res. 2016, 46, 794–803. [Google Scholar] [CrossRef]
- Fiandino, S.; Plevich, J.; Tarico, J.; Utello, M.; Demaestri, M.; Gyenge, J. Modeling forest site productivity using climate data and topographic imagery in Pinus elliottii plantations of central Argentina. Ann. For. Sci. 2020, 77, 1–9. [Google Scholar] [CrossRef]
- Tymi’nska-Czabańska, L.; Socha, J.; Hawryło, P.; Bałazy, R.; Ciesielski, M.; Grabska-Szwagrzyk, E.; Netzel, P. Weather-sensitive height growth modelling of Norway spruce using repeated airborne laser scanning data. Agric. For. Meteorol. 2021, 308–309, 108568. [Google Scholar] [CrossRef]
- Heydari, M.; Mahdavi, A. Relationship between aspect, slope and altitude (physiographic factors), the diversity of plant species (including different case studies in the region, Ilam). In Proceedings of the 3rd National Conference of the Forest, Dehradun, India, 9–11 November 2009. [Google Scholar]
- De Castilho, C.V.; Magnusson, W.E.; de Araújo, R.N.O.; Luizão, R.C.C.; Luizão, F.J.; Lima, A.P.; Higuchi, N. Variation in aboveground tree live biomass in a central Amazonian Forest: Effects of soil and topography. For. Ecol. Manag. 2006, 234, 85–96. [Google Scholar] [CrossRef]
- Pierick, K.; Leuschner, C.; Homeier, J. Topography as a factor driving small-scale variation in tree fine root traits and root functional diversity in a species-rich tropical montane forest. New Phytol. 2020, 230, 129–138. [Google Scholar] [CrossRef] [PubMed]
- Rodrigues, A.C.; Cristina, A.; Villa, P.M.; Ferreira-Júnior, W.G.; Ernesto, C.; Schaefer, R.G.; Neri, A.V. Effects of topographic variability and forest attributes on fine-scale soil fertility in late-secondary succession of Atlantic Forest. Ecol. Process. 2021, 10, 62. [Google Scholar] [CrossRef]
- Körner, C. The use of ‘altitude’ in ecological research. Trends Ecol. Evol. 2007, 22, 569–574. [Google Scholar] [CrossRef] [PubMed]
- Dessalegn, D.; Beyene, S.; Walley, F.; Gala, T. Effects of topography and land use on soil characteristics along the toposequence of Ele watershed in Southern Ethiopia. Catena 2014, 115, 47–54. [Google Scholar] [CrossRef]
- Skovsgaard, J.; Vanclay, J.K. Forest site productivity: A review of spatial and temporal variability in natural site conditions. Forestry 2013, 86, 305–315. [Google Scholar] [CrossRef]
- Quichimbo, P.; Jiménez, L.; Veintimilla, D.; Tischer, A.; Günter, S.; Mosandl, R.; Hamer, U. Forest Site Classification in the Southern Andean Region of Ecuador: A Case Study of Pine Plantations to Collect a Base of Soil Attributes. Forests 2017, 8, 473. [Google Scholar] [CrossRef]
- O’Hehir, J.F.; Nambiar, E.K.S. Productivity of three successive rotations of P. radiata plantations in South Australia over a century. For. Ecol. Manag. 2010, 259, 1857–1869. [Google Scholar] [CrossRef]
- Boisvenue, C.; Running, S.W. Impacts of climate change on natural forest productivity—Evidence since the middle of the 20th century. Glob. Change Biol. 2006, 12, 862–882. [Google Scholar] [CrossRef]
- Messaoud, Y.; Chen, H.Y. The influence of recent climate change on tree height growth differs with species and spatial environment. PLoS ONE 2011, 6, e14691. [Google Scholar] [CrossRef] [PubMed]
- Daly, C.; Conklin, D.R.; Unsworth, M.H. Local atmospheric decoupling in complex topography alters climate change impacts. Int. J. Climatol. 2010, 30, 1857–1864. [Google Scholar] [CrossRef]
- Griffiths, R.P.; Madritch, M.D.; Swanson, A.K. The effects of topography on forest soil characteristics in the Oregon Cascade Mountains (USA): Implications for the effects of climate change on soil properties. For. Ecol. Manag. 2009, 257, 1–7. [Google Scholar] [CrossRef]
- Heyerdahl, E.K.; Brubaker, L.B.; Agee, J.K. Spatial controls of historical fire regimes: A multiscale example from the interior west, USA. Ecology 2001, 82, 660–678. [Google Scholar] [CrossRef]
- Taylor, A.H.; Skinner, C.N. Spatial patterns and controls on historical fire regimes and forest structure in the Klamath Mountains. Ecol. Appl. 2003, 13, 704–719. Available online: https://www.jstor.org/stable/4134688 (accessed on 15 April 2024). [CrossRef]
- Skovsgaard, J.P.; Vanclay, J.K. Forest site productivity: A review of the evolution of dendrometric concepts for even-aged stands. For. Int. J. For. Res. 2008, 81, 13–31. [Google Scholar] [CrossRef]
- Weiskittel, A.R.; Crookston, N.L.; Radtke, P.J. Linking climate, growth primary productivity, and site index across forests of the western United States. Can. J. For. Res. 2011, 41, 1710–1721. [Google Scholar] [CrossRef]
- Kędziora, W.; Tomusiak, R.; Boreck, T. Site index research: A literature review. For. Res. Pap. 2020, 81, 91–98. [Google Scholar] [CrossRef]
- MNRT. Management Plan 2018–2023 for Sao Hill Forest Plantation. 2018; Unpublished work. [Google Scholar]
- Ngaga, Y.M. Forest plantations and woodlots in Tanzania. Afr. For. Forum 2011, 16, 1–80. [Google Scholar]
- Kangalawe, H. Plantation Forestry in Tanzania: A History of Sao Hill Forests 1939–2015. Ph.D. Dissertation, Stellenbosch University, Stellenbosch, South Africa, 2018. Available online: https://scholar.sun.ac.za/bitstream/handle/10019 (accessed on 8 March 2024).
- Lovett, J.C. Elevational and latitudinal changes in tree associations and diversity in the Eastern Arc Mountains of Tanzania. J. Trop. Ecol. 1996, 12, 629–650. Available online: https://www.jstor.org/stable/2559966 (accessed on 23 November 2023). [CrossRef]
- Haruyama, S.; Toko, A. Local forest management in Tanzania: A case study from Lushoto District, Usambara Mountain. Soc. Nat. 2005, 1, 586–603. [Google Scholar] [CrossRef]
- Malimbwi, R.E. Yield tables for seven Tanzania Forest Service Agency (TFS) forest plantations in Tanzania. Tanzan. J. For. Nat. Consrvation 2016, 90, 3. [Google Scholar]
- Zhang, Z.; Wang, T.; Skidmore, A.K.; Cao, F.; She, F.; Cao, L. An improved area-based approach for estimating plot-level tree DBH from airborne LiDAR data. For. Ecosyst. 2023, 10, 1–10. [Google Scholar] [CrossRef]
- Mugasha, W.A.; Zahabu, E.; Maguta, M.P.; Mshana, J.S.; Katani, J.Z.; Chamshama, S.A.O. Allometric biomass models for Pinus patula plantations. In Allometric Tree Biomass and Volume Models in Tanzania; Malimbwi, R.E., Eid, T., Chamshama, S.A.O., Eds.; Department of Forest Mensuration and Management, Sokoine University of Agriculture: Morogoro, Tanzania, 2016; pp. 77–84. [Google Scholar] [CrossRef]
- Malimbwi, R.E.; Mugasha, W.A.; Mauya, E.W. Development of Yield Tables for Seven Tanzania Forest Service Agency Forest Plantations in Tanzania. Consultancy Report. Tanzania Forest Agency. 2016. 39p. Available online: https://redd.unfccc.int/media/frel__for__tanzania_december2016_27122016.pdf (accessed on 19 November 2023).
- Saka, M.G. Determination of mean annual increment and optimal rotation age for sustainable management of Eucalyptus species in Afaka forest reserve, Nigeria. Int. J. For. Ecol. Environ. 2021, 5, 187–194. Available online: https://www.journalbinet.com/ijfee-journal.html (accessed on 22 January 2024).
- Vatandaşlar, C.; Seki, M.; Zeybek, M. Assessing the potential of mobile laser scanning for stand-level forest inventories in near-natural forests. For. Int. J. For. Res. 2023, 96, 448–464. [Google Scholar] [CrossRef]
- Newman, D. The distribution of range in samples from a normal population, expressed in terms of an independent estimate of standard deviation. Biometrika 1939, 31, 20–30. [Google Scholar] [CrossRef]
- Bates, D.; Machler, M.; Bolker, B.; Walker, S. Fitting linear mixed-effects models using lme4. Stat. Softw. 2014, 67, 1–48. [Google Scholar] [CrossRef]
- Faraway, J.J. Extending the Linear Model with R: Generalized Linear, Mixed Effects, and Nonparametric Regression Models, 2nd ed.; Taylor & Francis Group: New York, NY, USA, 2016. [Google Scholar] [CrossRef]
- Pretzsch, H.; Bielak, K.; Block, J.; Bruchwald, A.; Dieler, J.; Ehrhart, H.-P.; Zingg, A. Productivity of mixed versus pure stands of oak (Quercus petraea (Matt.) Liebl. and Quercus robur L.) and European beech (Fagus sylvatica L.) along an ecological gradient. Eur. J. For. Res. 2013, 132, 263–280. [Google Scholar] [CrossRef]
- Toïgo, M.; Vallet, P.; Perot, T.; Bontemps, J.-D.; Piedallu, C.; Courbaud, B.; Canham, C. Overyielding in mixed forests decreases with site productivity. J. Ecol. 2015, 103, 502–512. [Google Scholar] [CrossRef]
- Forrester, D.I.; Bauhus, J. A review of processes behind diversity–productivity relationships in forests. Curr. For. Rep. 2016, 2, 45–61. [Google Scholar] [CrossRef]
- Fu, R.; Xie, L.; Liu, T.; Zheng, B.; Zhang, Y.; Hu, S. A soil moisture prediction model, based on depth and water balance equation: A case study of the Xilingol League Grassland. Int. J. Environ. Res. Public Health 2023, 20, 1374. [Google Scholar] [CrossRef]
- Stendahl, J. Spatial Aspects of Forest and Forest Soil Management. Ph.D. Thesis, Swedish University of Agricultural Sciences, Uppsala, Sweden, 2001. [Google Scholar]
- Waring, R.H.; Milner, K.S.; Jolly, W.M.; Phillips, L.; McWethy, D. Assessment of site index and forest growth capacity across the Pacific and Inland Northwest U.S.A. with a MODIS satellite-derived vegetation index. For. Ecol. Manag. 2006, 228, 285–291. [Google Scholar] [CrossRef]
- Wang, D.; Hsieh, H.; Tang, S.C.; Chung, C.H. Site index curve for Taiwania plantations in the liukuei area. Taiwan J. For. Sci. 2008, 23, 335–349. [Google Scholar]
- Chen, J.; Saunders, S.C.; Crow, T.R.; Naiman, R.J.; Kimberley, D.; Brosofske, K.D.; Mroz, G.D.; Brian, L.; Brookshire, B.L.; Jerry, F.; et al. Microclimate in Forest Ecosystem and Landscape Ecology-Variations in local climate can be used to monitor and compare the effects of different management regimes. BioScience 1999, 49, 288–297. [Google Scholar] [CrossRef]
- Muscarella, R.; Kolyaie, S.; Douglas, C.; Morton, S.C.; Jess, K.; Zimmerman, J.K.; Uriarte, M.U. Effects of topography on tropical forest structure depend on climate context. J. Ecol. 2020, 108, 145–159. [Google Scholar] [CrossRef]
- Singh, P.; Negi, G.C.S. Microclimate variability under forest canopies along an altitudinal gradient in Western Himalaya. Environ. Anal. Ecol. Stud. 2023, 11, 000765. [Google Scholar] [CrossRef]
- Lenoir, J.; Graae, B.J.; Aarrestad, P.A.; Alsos, I.G.; Armbruster, W.S.; Austrheim, G.; Bergendorff, C.; Birks, H.J.B.; Brathen, K.A.; Brunet, J.; et al. Local temperatures inferred from plant communities suggest strong spatial buffering of climate warming across Northern Europe. Glob. Chang. Biol. 2013, 19, 1470–1481. [Google Scholar] [CrossRef]
- Burnett, M.R.; August, P.V.; Brown, J.H.; Killingbeck, K.T. The influence of geomorphological heterogeneity on biodiversity I. A patch-scale perspective. Conserv. Biol. 1998, 12, 363–370. [Google Scholar] [CrossRef]
- Deák, B.; Valkó, O.; Tóth, C.A.; Botos, Á.; Novák, T.J. Legacies of past land use challenge grassland recovery—An example from dry grasslands on ancient burial mounds. Nat. Conserv. 2020, 39, 113–132. [Google Scholar] [CrossRef]
- Deák, B.; Báthori, F.; Lőrinczi, G.; Végvári, Z.; Nagy, D.D.; Mizser, S.; Torma, A.; Valkó, O.; Tóthmérész, B. Functional composition of ant assemblages in habitat islands is driven by habitat factors and landscape composition. Sci. Rep. 2021, 11, e20962. [Google Scholar] [CrossRef]
- Rohner, B.; Bugmann, H.; Bigler, C. Estimating the age-diameter relationship between oakspeciesin Switzerland using nonlinear mixed-effects models. Eur. J. For. Res. 2013, 132, 751–764. [Google Scholar] [CrossRef]
- Mgoo, O.S.; Mwambusi, J.N.; Chamashama, S.A.O. Effects of thinning regimes on growth and yield of Tectona grandis at Longuza forest plantation, Muheza District, Tanzania. Tanz. J. For. Nat. Conserv. 2022, 91, 1–26. Available online: https://www.researchgate.net/publication/36466160 (accessed on 27 March 2024).
- Gumadi, J.; Mwambusi, J.N.; Chamshama, S.A.O.; Andrew, S.M.; Malimbwi, R.E. Thinning compliance and its effects on growth, yield and stem quality of Tectona grandis at Mtibwa forest plantation, Morogoro, Tanzania. Tanz. J. For. Nat. Conserv. 2023, 92, 82–95. [Google Scholar]
- Burger, J.A. Soil and its relationship to forest productivity and health. Encycl. For. Sci. 2004, 3, 1189–1195. [Google Scholar]
- Morris, L.A. Soil organic matter forms and functions. Encycl. For. Sci. 2004, 3, 1201–1207. [Google Scholar] [CrossRef]
- Torreano, S. Soil development and properties. In Encyclopedia of Forest Sciences; Evans, J., Burley, J., Youngquist, J.A., Eds.; Elsevier: Oxford, UK, 2004; pp. 1208–1216. [Google Scholar]
- Weiler, M.; McDonnell, J. Virtual experiments: A new approach for improving process conceptualization in Hillslope hydrology. J. Hydrol. 2004, 285, 3–18. [Google Scholar] [CrossRef]
- Šamonil, P.; Jaroš, J.; Daněk, P.; Tikhomirov, D.; Novotný, V.; Weiblen, G.; Christl, M.; Egli, M. Soil erosion affected by trees in a tropical primary rain forest, Papua New Guinea. Geomorphology 2023, 425, 108589. [Google Scholar] [CrossRef]
- Rezaei, H.; Jafarzadeh, A.A.; Alijanpour, A.; Shahbazi, F.; Kamran, K.V. Effect of slope position on soil properties and types along an elevation gradient of Arasbaran forest, Iran. Int. J. Adv. Sci. Eng. Inf. Technol. 2015, 5, 449–456. [Google Scholar] [CrossRef]
- Werner, F.A.; Homeier, J. Is tropical montane forest heterogeneity promoted by a resource-driven feedback cycle? Evidence from nutrient relations, herbivory and litter decomposition along a topographical gradient. Funct. Ecol. 2015, 29, 430–440. [Google Scholar] [CrossRef]
- Fortunel, C.; Lasky, J.R.; Uriarte, M.; Valencia, R.; Wright, S.J.; Garwood, N.C.; Kraft, N.J. Topography and neighborhood crowding can interact to shape species growth and distribution in a diverse Amazonian forest. Ecology 2018, 99, 2272–2283. [Google Scholar] [CrossRef] [PubMed]
- Jucker, T.; Bongalov, B.; Burslem, D.F.R.P.; Nilus, R.; Dalponte, M.; Lewism, S.L.; Phillips, O.L.; Qie, L.; Coomes, D.A. Topography shapes the structure, composition and function of tropical forest landscapes. Ecol. Lett. 2018, 21, 989–1000. [Google Scholar] [CrossRef] [PubMed]
- Hemingway, H.; Kimsey, M. Estimating forest productivity using site characteristics, multipoint measures, and a nonparametric approach. For. Sci. 2020, 66, 645–652. [Google Scholar] [CrossRef]
- Yue, Q.; Hao, M.; Li, X.; Zhang, C.; von Gadow, K.; Zhao, X. Assessing biotic and abiotic effects on forest productivity in three temperate forests. Ecol. Evol. 2020, 10, 7887–7900. [Google Scholar] [CrossRef] [PubMed]
- Martin-Benito, D.; Cherubini, P.; Rio, M.; Canellas, I. Growth response to climate and drought in Pinus nigra Arn. trees of different crown classes. Trees 2008, 22, 363–373. [Google Scholar] [CrossRef]
- Nepal, S.; Mohan, K.C.; Pudasaini, N.; Adhikari, H. Divergent Effects of Topography on Soil Properties and Above-Ground Biomass in Nepal’s Mid-Hill Forests. Resources 2023, 12, 136. [Google Scholar] [CrossRef]
- Gairola, S.; Sharma, C.M.; Ghildiyal, S.K.; Suyal, S. Chemical Properties of Soils in Relation to Forest Composition in Moist Temperate Valley Slopes of Garhwal Himalaya, India. Environmentalist 2012, 32, 512–523. [Google Scholar] [CrossRef]






| Forest Plantations | Compartments | Site Classes | Age (Years) | Plots | No. Trees |
|---|---|---|---|---|---|
| SHFP | ITIMBO 1 | I | 12 | 12 | 462 |
| ITIMBO 2 | II | 15 | 12 | 539 | |
| ITIMBO 3 | III | 15 | 12 | 556 | |
| ITIMBO 4 | IV | 9 | 12 | 403 | |
| Total | 48 | 1960 | |||
| SFP | SHUME WEST 45, SHUME EAST 189 | I | 12 | 6 | 233 |
| SHUME WEST 35, SHUME EAST 187 | II | 15 | 6 | 226 | |
| SHUME WEST 43A, SHUME EAST 164 | III | 15 | 6 | 255 | |
| SHUME WEST 67, 181A | IV | 13 | 6 | 228 | |
| Total | 24 | 942 | |||
| Parameters | Model | Reference |
|---|---|---|
| Tree total height | Mugasha et al. [44] | |
| Basal area | G = 1⁄m ∑ (gi/ai) | Malimbwi et al. [45] |
| Single tree volume | V = exp(−9.04925 + 1.14781 × ln (Ht) + 1.5496 × lnDbh | Malimbwi et al. [45] |
| Mean annual increment (MAI) | Saka [46] |
| Sites | Parameter | Estimate | Standard Error | t-Value | p-Value |
|---|---|---|---|---|---|
| SHFP | Intercept | −24.066 | 5.375 | −4.477 | 0.024 |
| Slope% | 1.687 | 0.486 | 3.472 | 0.016 | |
| Elevation | 0.013 | 0.003 | 4.496 | 0.024 | |
| Slope% × Elevation | −93.27 | 2.638 × 10−4 | −3.385 | 0.018 | |
| SFP | Intercept | −40.159 | 8.51 | 92.74 | <0.001 |
| Slope% | 4.483 | 0.927 | 90.904 | <0.001 | |
| Elevation | 0.022 | 0.005 | 115.685 | <0.001 | |
| Slope% × Elevation | −0.002 | 5.107 × 10−4 | 90.074 | <0.001 |
Disclaimer/Publisher’s Note: The statements, opinions and data contained in all publications are solely those of the individual author(s) and contributor(s) and not of MDPI and/or the editor(s). MDPI and/or the editor(s) disclaim responsibility for any injury to people or property resulting from any ideas, methods, instructions or products referred to in the content. |
© 2024 by the authors. Licensee MDPI, Basel, Switzerland. This article is an open access article distributed under the terms and conditions of the Creative Commons Attribution (CC BY) license (https://creativecommons.org/licenses/by/4.0/).
Share and Cite
Maguzu, J.; Ilstedt, U.; Katani, J.Z.; Maliondo, S.S.M. Variations in the Forest Productivity of Pinus patula Plantations in Tanzania: The Need for an Improved Site Classification System. Forests 2024, 15, 1247. https://doi.org/10.3390/f15071247
Maguzu J, Ilstedt U, Katani JZ, Maliondo SSM. Variations in the Forest Productivity of Pinus patula Plantations in Tanzania: The Need for an Improved Site Classification System. Forests. 2024; 15(7):1247. https://doi.org/10.3390/f15071247
Chicago/Turabian StyleMaguzu, Joshua, Ulrik Ilstedt, Josiah Zephaniah Katani, and Salim S. M. Maliondo. 2024. "Variations in the Forest Productivity of Pinus patula Plantations in Tanzania: The Need for an Improved Site Classification System" Forests 15, no. 7: 1247. https://doi.org/10.3390/f15071247
APA StyleMaguzu, J., Ilstedt, U., Katani, J. Z., & Maliondo, S. S. M. (2024). Variations in the Forest Productivity of Pinus patula Plantations in Tanzania: The Need for an Improved Site Classification System. Forests, 15(7), 1247. https://doi.org/10.3390/f15071247
