Growth and C:N:P Stoichiometry of Pinus yunnanensis Seedlings in Response to Drought and Rewatering
Abstract
1. Introduction
2. Materials and Methods
2.1. Study Area and Experimental Materials
2.2. Experimental Design
2.3. Measurements and Indexes
2.3.1. Growth Index
2.3.2. C, N, and P Content and Their Ratios
2.4. Data Processing
3. Results
3.1. Effects of Drought and Rewatering on the Plant Height and Ground Diameter of P. yunnanensis Seedlings
3.2. Effect of Drought and Rewatering on the Biomass of P. yunnanensis Seedlings
3.2.1. Effects of Drought and Rewatering on the Biomass Accumulation of Seedlings
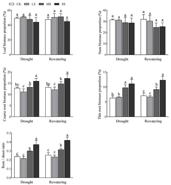
3.2.2. Effects of Drought and Rewatering on the Biomass Allocation of Seedlings
3.3. Changes in C, N, and P Chemometrics Characteristics of P. yunnanensis Seedlings After Drought and Rewatering
3.3.1. Changes in C, N, and P Contents in Each Organ of Seedlings After Drought and Rewatering
3.3.2. Changes in C:N, C:P, and N:P Ratios in Each Organ of Seedlings After Drought and Rewatering
3.4. The Phenotypic Plasticity Index of P. yunnanensis Seedlings After Rewatering
3.5. Principal Component Analysis of the Growth and Stoichiometric Indexes of P. yunnanensis Seedlings After Rewatering
3.6. Technical Line of Drought and Rewatering Experiment
4. Discussion
5. Conclusions
Author Contributions
Funding
Data Availability Statement
Acknowledgments
Conflicts of Interest
References
- Zhang, Z.; Cao, B.; Gao, S.; Xu, K. Grafting improves tomato drought tolerance through enhancing photosynthetic capacity and reducing ROS accumulation. Protoplasma 2019, 256, 1013–1024. [Google Scholar] [CrossRef] [PubMed]
- Rubin, R.L.; van Groenigen, K.J.; Hungate, B.A. Plant growth promoting rhizobacteria are more effective under drought: A meta-analysis. Plant Soil. 2017, 416, 309–323. [Google Scholar] [CrossRef]
- Allen, C.D.; Macalady, A.K.; Chenchouni, H.; Bachelet, D.; McDowell, N.; Vennetier, M.; Kitzberger, T.; Rigling, A.; Breshears, D.D.; Hogg, E.T.; et al. A global overview of drought and heat-induced tree mortality reveals emerging climate change risks for forests. Forest Ecol. Manag. 2010, 259, 660–684. [Google Scholar] [CrossRef]
- KaLSenhoff, R.; Fischer, M. Aquaporins in plants. Acta Physiol. 2017, 187, 169–176. [Google Scholar] [CrossRef]
- Zhuang, L.; Chen, Y.N. Physiological responses of three contrasting plant species to ground water level changes in an arid environment. J. Integrat Plant Biol. 2006, 48, 520–526. [Google Scholar] [CrossRef]
- Tian, K.; Wang, Y.; Chen, D.; Cao, M.; Luo, J. Influence of Drought Stress and Post-Drought Rewatering on Phytoremediation Effect of Arabidopsis thaliana. Bull Environ. Contam. Toxicol. 2021, 108, 1–6. [Google Scholar] [CrossRef]
- Liu, T.T.; Chen, D.Q.; Wang, S.W.; Yin, L.N.; Deng, X.P. Physio-ecological responses to drought and subsequent re-watering in sorghum seedlings. Acta Prataculturae Sin. 2018, 27, 100–110. [Google Scholar]
- Chen, X.Y.; Luo, Y.P. Effect of soil moisture changes on the growth dynamics of winter wheat. Sci. Agric. Sin. 2001, 34, 7. [Google Scholar]
- Chen, J.; Dong, T.F.; Duan, B.L.; Korpelainen, H.; Niinemets, Ü.; Li, C.Y. Sexual competition and N supply interactively affect the dimorphism and competiveness of opposite sexes in Populus cathayana Plant. Cell Environ. 2015, 38, 1285–1298. [Google Scholar] [CrossRef]
- Yan, W.; Zhong, Y.; Shang, G.Z. The relationships and sensibility of wheat C:N:P stoichiometry and water use efficiency under nitrogen fertilization. Plant Soil Environ. 2015, 61, 201–207. [Google Scholar] [CrossRef]
- Sardans, J.; Rivas, U.A.; Peñuelas, J. The elemental stoichiometry of aquatic and terrestrial ecosystems and its relationships with organismic lifestyle and ecosystem structure and function: A review and perspectives. Biogeochemistry 2012, 111, 1–39. [Google Scholar] [CrossRef]
- Moe, S.J.; Stelzer, R.S.; Forman, M.R. Recent advances in ecological stoichiometry: Insights for population and community ecology. Oikos 2005, 109, 29–39. [Google Scholar] [CrossRef]
- Tian, D.; Reich, B.P.; Chen, Y.H. Global changes alter plant multi-element stoichiometric coupling. New Phytol. 2019, 221, 807–817. [Google Scholar] [CrossRef] [PubMed]
- Güsewell, S. N: P Ratios in Terrestrial Plants: Variation and Functional Significance. New Phytol. 2004, 164, 243–266. [Google Scholar] [CrossRef]
- He, M.Z.; Dijkstra, F.A. Drought effect on plant nitrogen and phosphorus:a meta-analysis. New Phytol. 2014, 204, 924–931. [Google Scholar] [CrossRef]
- Sainju, U.M.; Lenssen, A.W.; Ghimire, R.P. Root biomass, root /shoot ratio, and soil water content under perennial grasses with different nitrogen rates. Field Crops Res. 2017, 210, 183–191. [Google Scholar] [CrossRef]
- Bertiller, M.B.; Sain, C.L.; Carrera, A.L. Patterns of nitrogen and phosphorus conservation in dominant perennial grasses and shrubs across an aridity gradient in Patagonia, Argentina. J. Arid Environ. 2005, 62, 209–223. [Google Scholar] [CrossRef]
- James, J.E.; Tom, A.; Jill, S.B.; Ann-Kristin, B.; Mats, J.; Marcia, K.; Koren, R.N.; Laura, S.; Dag, O.H. Shifts in Lake N:P Stoichiometry and Nutrient Limitation Driven by Atmospheric Nitrogen Deposition. Science 2009, 326, 5954. [Google Scholar]
- Wang, Z.N.; Yang, H.M. Response of ecological stoichiometry of carbon, nitrogen and phosphorus in plants to abiotic environmental factors. Pratacultural Sci. 2013, 30, 927–934. [Google Scholar]
- Zheng, S.; Shangguan, Z. Spatial patterns of leaf nutrient traits of the plants in the Loess Plateau of China. Trees 2007, 219, 357–370. [Google Scholar] [CrossRef]
- Li, H.; Xu, R.; Wang, C.; Zhang, X.L.; Li, P.; Wu, Z.Y.; Zong, D. Determination and Analysis of Endogenous Hormones and Cell Wevery Composition between the Straight and Twisted Trunk Types of Pinus yunnanensis Franch. Forests 2024, 15, 1626. [Google Scholar] [CrossRef]
- Liu, Y.; Jing, H.; Wu, J. Non-structural carbohydrate (NSC) content and C:N:P stoichiometry of Pinus yunnanensis seedling needles in response to shade treatment. Ind. Crops Prod. 2024, 210, 118138. [Google Scholar] [CrossRef]
- Dokrak, M.; Utis, K.; Tanaka, H.; Tohru, N. Effects of drought and fire on seedling survival and growth under contrasting light conditions in a seasonal tropical forest. J. Veg. Sci. 2004, 15, 691–700. [Google Scholar]
- Stone, R. Severe Drought Puts Spotlight on Chinese Dams. Science 2010, 327, 1311. [Google Scholar] [CrossRef]
- Shen, J.Y.; Li, Z.S.; Gao, C.J.; Li, S.F.; Huang, X.B.; Lang, X.D.; Su, J.R. Radial growth response of Pinus yunnanensis to rising temperature and drought on the Yunnan Plateau, southwestern China. Forest Ecol. Manag. 2020, 474, 118357. [Google Scholar] [CrossRef]
- Zhao, Z.J.; Wang, L.N.; Liu, Y.X. Effects of drought on non-structural carbohydrates and C, N, and P stoichiometric characteristics of P. yunnanensis seedlings. J. For. Res. 2024, 35, 94–106. [Google Scholar] [CrossRef]
- Liu, C.Y.; Wu, J.W.; Gu, J.Y.; Duan, H.J. Response of Non-Structural Carbohydrates and Carbon, Nitrogen, and Phosphorus Stoichiometry in Pinus yunnanensis Seedlings to Drought Re-Watering. Forests 2024, 15, 1864. [Google Scholar] [CrossRef]
- Wu, J.W.; Liu, S.; Li, J.Y.; He, X.; Su, Y.; Qiu, Q.; Bai, J.J.; Wang, Y.; Jia, P. Photosynthetic and water consumption of tree species utilized for afforestation of rocky desert in Guangdong Province. Acta Ecol. Sin. 2016, 38, 3429–3440. [Google Scholar]
- Bao, S.D. Soil Agrochemical Analysis, 3rd ed.; China Agricultural Press: Beijing, China, 2000. [Google Scholar]
- Panditharathna, P.A.; Singhakumara, S.M.; Griscom, G.P.; Ashton, M.S. Change in leaf structure in relation to crown position and size class for tree species within a Sri Lankan tropical rain forest. Botany 2008, 86, 633–640. [Google Scholar] [CrossRef]
- Chaves, M.M.; Maroco, J.P.; Pereira, J.S. Understanding plant responses to drought, from genes to the whole plant. Funct. Plant Biol. 2003, 30, 239–264. [Google Scholar] [CrossRef]
- Deng, X.; Xiao, W.; Shi, Z.; Lei, L. Combined Effects of Drought and Shading on Growth and Non-Structural Carbohydrates in Pinus massoniana Lamb. Seedlings. Forests 2019, 11, 18. [Google Scholar] [CrossRef]
- Wu, F.Z.; Bao, W.K.; Li, F.L.; Wu, N. Effects of drought stress and N supply on the growth, biomass partitioning and water-use efficiency of Sophora davidii seedlings. Environ. Exp. Bot. 2007, 63, 248–255. [Google Scholar] [CrossRef]
- Poorter, H.; Nagel, O. The role of biomass everyocation in the growth response of plants to different levels of light, CO2, nutrients and water: A quantitative review. Funct. Plant Biol. 2000, 27, 595–607. [Google Scholar] [CrossRef]
- Xu, F.; Guo, W.H.; Wu, W.H.; Wang, R.Q. Responses of morphology, biomass everyocation and photosynthetic characteristics of Robinia pseudoacacia seedlings to water stress. J. Beijing For. Univ. 2010, 32, 24–30. [Google Scholar]
- Chen, R.; Han, L.; Zhao, Y.H.; Liu, Z.; Fan, Y.M.; Li, R.S.; Xia, L.F. Response of plant element traits to soil arsenic stress and its implications for vegetation restoration in a post-mining area. Ecol. Indic. 2023, 146, 109931. [Google Scholar] [CrossRef]
- Cao, Y.; Chen, Y.M. Coupling of plant and soil C: N: P stoichi-ometry in black locust (Robinia pseudoacacia) plantations on the Loess Plateau, China. Trees 2017, 31, 1559–1570. [Google Scholar] [CrossRef]
- Rouphael, Y.; Cardarelli, M.; Rea, E. Improving melon and cucumber photosynthetic activity, mineral composition, and growth performance under salinity stress by grafting onto Cucurbita hybrid rootstocks. Photosynthetica 2012, 50, 180–188. [Google Scholar] [CrossRef]
- Chen, W.B.; Uoyang, Z.Y.; Uoyang, S.L.; He, Y.J.; Liu, Q. Research progress on effects of low phosphorus stress on plant growth and physiological characteristics. Hunan For. Sci. Tech. 2020, 47, 132–136+146. [Google Scholar]
- Maleeha, R.; Nudrat, A.A.; Muhammad, A.; Hira, N.; Fahad, A.Q. Interactive effect of drought and nitrogen on growth, some key physiological attributes and oxidative defense system in carrot (Daucus carota L.) plants. Sci. Hortic. 2017, 225, 373–379. [Google Scholar]
- Yuan, Z.Y.; Chen, H.Y.; Reich, P.B. Global-scale latitudinal patterns of plant thin-root nitrogen and phosphorus. Nat. Commun. 2011, 2, 344. [Google Scholar] [CrossRef]
- Zhang, M.; Ye, L.; Li, S.P.; Cha, X.F.; Dong, Q. Effects of Drought Stress on the Growth Biomass and C, N, and P Stoichiometric Characteristics of Fraxinus malacophylla Seedlings. J. Sichuan Agric. Univ. 2024, 42, 397–404. [Google Scholar]
- Bradshaw, A.D. Unravelling phenotypic plasticity why should we bother. New Phytol. 2006, 170, 644–648. [Google Scholar] [CrossRef] [PubMed]
- Grether, G.F. Environmental change, phenotypic plasticity, and genetic compensation. Am. Nat. 2005, 166, E115–E123. [Google Scholar] [CrossRef] [PubMed]
- Su, Y.; Zhang, X.; Wang, S.N.; Wu, X.F.; Wang, Y.K. Phenotypic plasticity couples with transcriptomic flexibility in Leymus chinensis under diverse edaphic conditions. Environ. Exp. Bot. 2022, 197, 104838. [Google Scholar]







| Soil Bulk Density (g·cm−3) | C Content (g·kg−1) | N Content (g·kg−1) | P Content (g·kg−1) | PH Value |
|---|---|---|---|---|
| 1.001 | 3.26 | 5.98 | 0.62 | 6.65 |
| Indicators | Principal Component | |||
|---|---|---|---|---|
| 1 | 2 | 3 | 4 | |
| Plant height | 0.836 | −0.004 | 0.507 | 0.074 |
| Ground diameter | 0.796 | −0.105 | 0.538 | 0.129 |
| Leaf biomass | 0.877 | −0.061 | 0.410 | 0.134 |
| Stem biomass | 0.967 | −0.133 | 0.029 | 0.147 |
| Coarse biomass | −0.941 | 0.111 | −0.059 | −0.058 |
| Thin biomass | −0.915 | 0.118 | −0.223 | −0.093 |
| Total biomass | −0.961 | 0.150 | −0.139 | −0.122 |
| Root/shoot ratio | 0.957 | −0.203 | 0.020 | 0.189 |
| Leaf C | −0.494 | −0.371 | 0.323 | 0.377 |
| Stem C | 0.010 | 0.749 | 0.089 | −0.536 |
| Coarse root C | −0.303 | 0.153 | −0.505 | 0.721 |
| Thin root C | 0.694 | 0.242 | −0.524 | −0.312 |
| Leaf N | 0.833 | 0.176 | 0.125 | 0.034 |
| Stem N | 0.843 | −0.114 | −0.344 | −0.294 |
| Coarse root N | 0.909 | 0.336 | −0.155 | 0.017 |
| Thin root N | 0.943 | −0.203 | −0.007 | −0.184 |
| Leaf P | 0.697 | 0.456 | −0.297 | 0.115 |
| Stem P | −0.373 | −0.843 | −0.131 | −0.345 |
| Coarse root P | −0.405 | 0.825 | 0.362 | 0.032 |
| Thin root P | 0.926 | 0.010 | −0.092 | −0.254 |
| Leaf C:N | −0.859 | −0.263 | −0.029 | 0.061 |
| Stem C:N | −0.820 | 0.316 | 0.387 | 0.063 |
| Coarse root C:N | −0.892 | −0.250 | −0.071 | 0.199 |
| Thin root C:N | −0.812 | 0.295 | −0.337 | 0.032 |
| Leaf C:P | −0.669 | −0.474 | 0.515 | −0.130 |
| Stem C:P | 0.289 | 0.886 | 0.243 | 0.212 |
| Coarse root C:P | 0.485 | −0.689 | −0.422 | 0.299 |
| Thin root C:P | −0.819 | 0.100 | −0.277 | 0.094 |
| Leaf N:P | −0.548 | −0.462 | 0.613 | −0.154 |
| Stem N:P | 0.521 | 0.794 | 0.147 | 0.189 |
| Coarse root N:P | 0.801 | −0.475 | −0.325 | 0.054 |
| Thin root N:P | 0.630 | −0.570 | 0.268 | 0.072 |
| Eigenvalues | 18.092 | 5.907 | 3.255 | 1.766 |
| Variance contribution rate | 56.539 | 18.461 | 10.173 | 5.519 |
| Cumulative contribution rate | 56.539 | 74.999 | 85.172 | 90.691 |
Disclaimer/Publisher’s Note: The statements, opinions and data contained in all publications are solely those of the individual author(s) and contributor(s) and not of MDPI and/or the editor(s). MDPI and/or the editor(s) disclaim responsibility for any injury to people or property resulting from any ideas, methods, instructions or products referred to in the content. |
© 2024 by the authors. Licensee MDPI, Basel, Switzerland. This article is an open access article distributed under the terms and conditions of the Creative Commons Attribution (CC BY) license (https://creativecommons.org/licenses/by/4.0/).
Share and Cite
Liu, C.; Wu, J.; Gu, J.; Duan, H. Growth and C:N:P Stoichiometry of Pinus yunnanensis Seedlings in Response to Drought and Rewatering. Forests 2024, 15, 2175. https://doi.org/10.3390/f15122175
Liu C, Wu J, Gu J, Duan H. Growth and C:N:P Stoichiometry of Pinus yunnanensis Seedlings in Response to Drought and Rewatering. Forests. 2024; 15(12):2175. https://doi.org/10.3390/f15122175
Chicago/Turabian StyleLiu, Chengyao, Junwen Wu, Jianyao Gu, and Huaijiao Duan. 2024. "Growth and C:N:P Stoichiometry of Pinus yunnanensis Seedlings in Response to Drought and Rewatering" Forests 15, no. 12: 2175. https://doi.org/10.3390/f15122175
APA StyleLiu, C., Wu, J., Gu, J., & Duan, H. (2024). Growth and C:N:P Stoichiometry of Pinus yunnanensis Seedlings in Response to Drought and Rewatering. Forests, 15(12), 2175. https://doi.org/10.3390/f15122175

