Evolution of Forest Humipedon Following a Severe Windstorm in the Italian Alps: A Focus on Organic Horizon Dynamics
Abstract
1. Introduction
2. Materials and Methods
2.1. Study Sites
2.2. Experimental Design
2.3. Humus Classification and Chemical Analysis
2.4. Statistical Analysis
3. Results
3.1. Soil Chemical Features
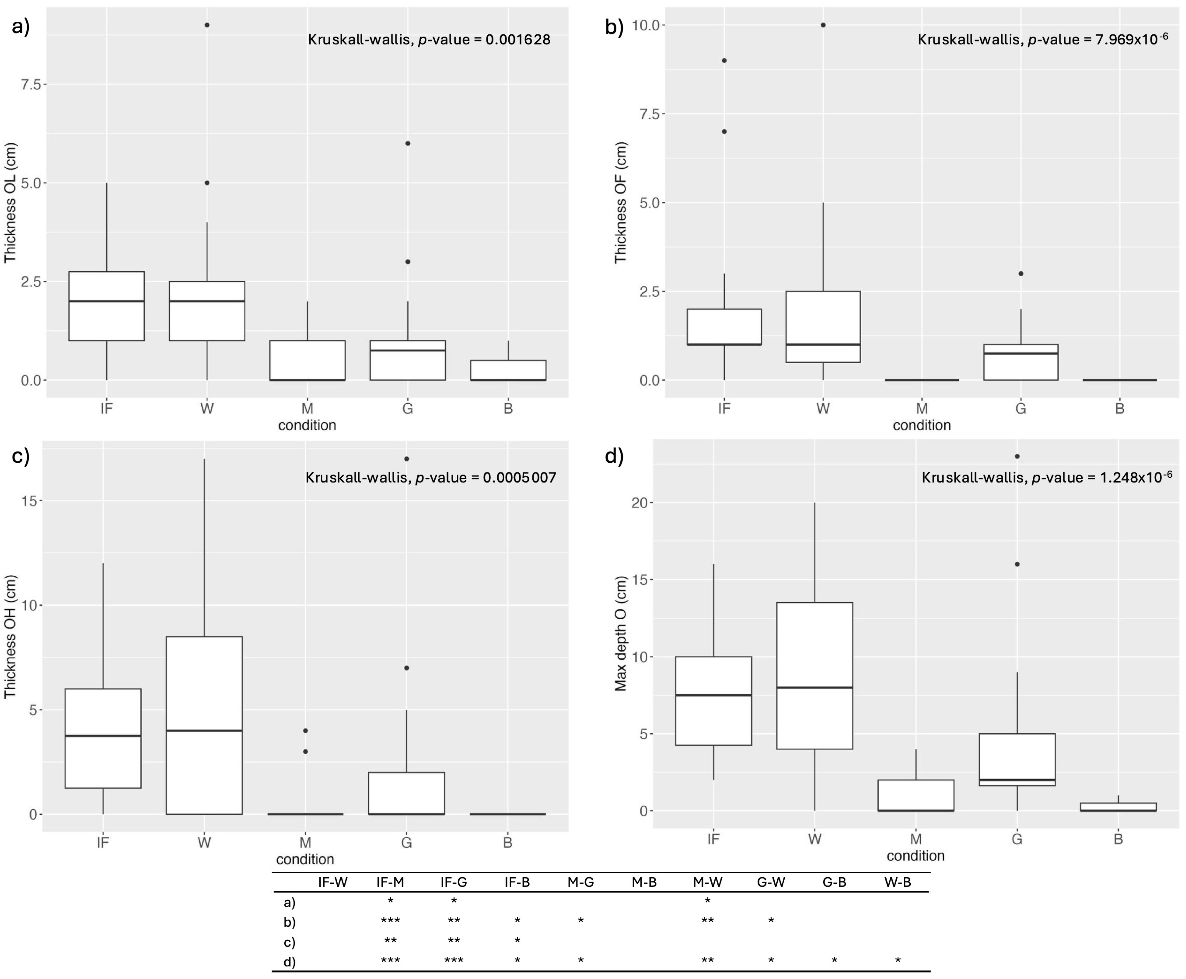
3.2. Diagnostic Horizons
3.3. Humus Classification
4. Discussion
5. Conclusions
Supplementary Materials
Author Contributions
Funding
Data Availability Statement
Conflicts of Interest
References
- Allard, G.; Moore, B. Climate Change Impacts on Forest Health. Working Paper FBS/34E. In Forest Health and Biosecurity Working Papers; Forestry Department Food and Agriculture Organization of the United Nations (FAO): Rome, Italy, 2008. [Google Scholar]
- Lindner, M.; Maroschek, M.; Netherer, S.; Kremer, A.; Barbati, A.; Garcia-Gonzalo, J.; Seidl, R.; Delzon, S.; Corona, P.; Kolström, M.; et al. Climate Change Impacts, Adaptive Capacity, and Vulnerability of European Forest Ecosystems. For. Ecol. Manag. 2010, 259, 698–709. [Google Scholar] [CrossRef]
- Seidl, R.; Schelhaas, M.J.; Rammer, W.; Verkerk, P.J. Increasing Forest Disturbances in Europe and Their Impact on Carbon Storage. Nat. Clim. Chang. 2014, 4, 806–810. [Google Scholar] [CrossRef] [PubMed]
- IPCC. IPCC Summary for Policymakers. In Climate Change 2021—The Physical Science Basis: Working Group I Contribution to the Sixth Assessment Report of the Intergovernmental Panel on Climate Change; Cambridge University Press: Cambridge, UK, 2023; pp. 3–32. ISBN 9781009157889. [Google Scholar]
- Patacca, M.; Lindner, M.; Lucas-Borja, M.E.; Cordonnier, T.; Fidej, G.; Gardiner, B.; Hauf, Y.; Jasinevičius, G.; Labonne, S.; Linkevičius, E.; et al. Significant Increase in Natural Disturbance Impacts on European Forests since 1950. Glob. Chang. Biol. 2023, 29, 1359–1376. [Google Scholar] [CrossRef] [PubMed]
- Motta, R.; Ascoli, D.; Corona, P.; Marchetti, M.; Vacchiano, G. Selvicoltura e Schianti Da Vento. Il Caso Della “Tempesta Vaia”. Forest@ 2018, 15, 94–98. [Google Scholar] [CrossRef]
- Chirici, G.; Giannetti, F.; Travaglini, D.; Nocentini, S.; Francini, S.; D’Amico, G.; Calvo, E.; Fasolini, D.; Broll, M.; Maistrelli, F.; et al. Forest Damage Inventory after the “Vaia” Storm in Italy. Forest@ 2019, 16, 3–9. [Google Scholar] [CrossRef]
- Ulanova, N.G. The Effects of Windthrow on Forests at Different Spatial Scales: A Review. For. Ecol. Manag. 2000, 135, 155–167. [Google Scholar] [CrossRef]
- Bengtsson, J. Disturbance and Resilience in Soil Animal Communities. Eur. J. Soil. Biol. 2002, 38, 119–125. [Google Scholar] [CrossRef]
- Beatty, S.W.; Stone, E.L. The Variety of Soil Microsites Created by Tree Falls. Can. J. For. Res. 1986, 16, 539–548. [Google Scholar] [CrossRef]
- Schaetzl, R.J.; Johnson, D.L.; Burns, S.F.; Small, T.W. Tree Uprooting: Review of Terminology, Process, and Environmental Implications. Can. J. For. Res. 1989, 19, 1–11. [Google Scholar] [CrossRef]
- Bormann, B.T.; Spaltenstein, H.; McClellan, M.H.; Ugolini, F.C.; Cromack, K., Jr.; Nay, S.M. Rapid Soil Development After Windthrow Disturbance in Pristine Forests. J. Ecol. 1995, 83, 747. [Google Scholar] [CrossRef]
- Kramer, M.G.; Sollins, P.; Sletten, R.S. Soil Carbon Dynamics Across a Windthrow Disturbance Sequence in Southeast Alaska. Ecology 2004, 85, 2230–2244. [Google Scholar] [CrossRef]
- Lüscher, P. Humus Dynamics and Changes in Rooting Patterns in Windthrow Areas. Appl. Soil. Ecol. 2002, 77, 345–354. [Google Scholar]
- Zanella, A.; Ponge, J.F.; Andreetta, A.; Aubert, M.; Bernier, N.; Bonifacio, E.; Bonneval, K.; Bolzonella, C.; Chertov, O.; Costantini, E.A.C.; et al. Combined forest and soil management after acatastrophic event. J. Mt. Sci. 2020, 17, 2459–2484. [Google Scholar] [CrossRef] [PubMed]
- Bayranvand, M.; Kooch, Y.; Hosseini, S.M.; Alberti, G. Humus forms in relation to altitude and forest type in the Northern mountainous regions of Iran. For. Ecol. Manag. 2017, 385, 78–86. [Google Scholar] [CrossRef]
- Semeraro, S.; Fazzari, M.; Kipf, P.; Rasmann, S.; Le Bayon, R.C. Humus Forms and Organic Matter Decomposition in the Swiss Alps. Int. J. Plant Biol. 2023, 14, 729–745. [Google Scholar] [CrossRef]
- Frank, T.; Brauckmann, H.J.; Broll, G. Humus Forms of Moist and Wet Forest Stands. Int. J. Plant Biol. 2023, 14, 780–796. [Google Scholar] [CrossRef]
- Nikpour, A.; Habashi, H. Variability of main and secondary humus forms in relation to morphometric indices at local-scale surveys. J. Wood For. Sci. Technol. 2023, 30, 39–54. [Google Scholar] [CrossRef]
- Špulák, O.; Kacálek, D.; Bartoš, J.; Leugner, J. The early impact of mixed canopies with Norway spruce, European beech and silver fir on a new forest floor. Eur. J. For. Res. 2023, 142, 851–863. [Google Scholar] [CrossRef]
- Michalet, R.; Liancourt, P. The Interplay Between Climate and Bedrock Type Determines Litter Decomposition in Temperate Forest Ecosystems. Soil. Biol. Biochem. 2024, 195, 109476. [Google Scholar] [CrossRef]
- Poeplau, C.; Dechow, R.; Begill, N.; Don, A. Towards an Ecosystem Capacity to Stabilise Organic Carbon in Soils. Glob. Chang. Biol. 2024, 30, e17453. [Google Scholar] [CrossRef]
- Hu, Y.; Zhang, X.; Chen, H.; Jiang, Y.; Zhang, J. Effects of Forest Age and Season on Soil Microbial Communities in Chinese Fir Plantations. Microbiol. Spectr. 2024, 12, e04075-23. [Google Scholar] [CrossRef] [PubMed]
- Zhang, Y.; Hartemink, A.E.; Vanwalleghem, T.; Bonfatti, B.R.; Moen, S. Climate and Land Use Changes Explain Variation in the A Horizon and Soil Thickness in the United States. Commun. Earth Environ. 2024, 5, 129. [Google Scholar] [CrossRef]
- Bernier, N. Dynamique de la biodiversité en milieu subalpin: Exemple de diversité des processus et gestion de l’espace en moyenne vallée de Tarentaise (Savoie, France). Écologie 1998, 29, 547–555. [Google Scholar]
- Bernier, N.; Ponge, J.-F. Humus Form Dynamics during the Sylvogenetic Cycle in a Mountain Spruce Forest. Soil. Biol. Biochem. 1994, 26, 183–220. [Google Scholar] [CrossRef]
- Ponge, J.-F.; André, J.; Zackrisson, O.; Bernier, N.; Nilsson, M.-C.; Gallet, C. The Forest Regeneration Puzzle: Biological Mechanisms in Humus Layer and Forest Vegetation Dynamics The Forest Regeneration Puzzle Biological Mechanisms in Humus-Layer and Forest-Vegetation Dynamics. Bioscience 1998, 48, 523–530. [Google Scholar] [CrossRef]
- Zampedri, R.; Bernier, N.; Zanella, A.; Giannini, R.; Menta, C.; Visentin, F.; Mairota, P.; Mei, G.; Zandegiacomo, G.; Carollo, S.; et al. Soil, Humipedon, Forest Life and Management. Int. J. Plant Biol. 2023, 14, 571–592. [Google Scholar] [CrossRef]
- Zanella, A.; Bernier, N.; Zampedri, R.; Fusaro, S.; Mei, G.; André, J.; Ponge, J.-F.; Giannini, R. The Soil Conscious Forestry and the Forbidden Apple. iForest 2024, 17, 252–268. [Google Scholar] [CrossRef]
- Zanella, A.; Ascher-Jenull, J. Editorial—Humusica 1. Appl. Soil. Ecol. 2018, 122, 1–9. [Google Scholar] [CrossRef]
- Zanella, A.; Berg, B.; Ponge, J.F.; Kemmers, R.H. Humusica 1, Article 2: Essential Bases—Functional Considerations. Appl. Soil. Ecol. 2018, 122, 22–41. [Google Scholar] [CrossRef]
- Zanella, A.; Ponge, J.F.; Jabiol, B.; Sartori, G.; Kolb, E.; Gobat, J.M.; Le Bayon, R.-C.; Aubert, M.; De Waal, R.; Van Delft, B.; et al. Humusica 1, Article 4: Terrestrial Humus Systems and Forms—Specific Terms and Diagnstic Horizons. Appl. Soil. Ecol. 2018, 122, 56–74. [Google Scholar] [CrossRef]
- Zanella, A.; Ponge, J.F.; Jabiol, B.; Sartori, G.; Kolb, E.; Le Bayon, R.C.; Gobat, J.-M.; Aubert, M.; De Waal, R.; Van Delft, B.; et al. Humusica 1, Article 5: Terrestrial Humus Systems and Forms—Keys of Classification of Humus Systems and Forms. Appl. Soil. Ecol. 2018, 122, 75–86. [Google Scholar] [CrossRef]
- Zanella, A.; Ponge, J.F.; Matteodo, M. Humusica 1, Article 7: Terrestrial Humus Systems and Forms—Field Practice and Sampling Problems. Appl. Soil. Ecol. 2018, 122, 92–102. [Google Scholar] [CrossRef]
- Zanella, A.; Ponge, J.F.; Briones, M.J.I. Humusica 1, Article 8: Terrestrial Humus Systems and Forms—Biological Activity and Soil Aggregates, Space-time Dynamics. Appl. Soil. Ecol. 2018, 122, 103–137. [Google Scholar] [CrossRef]
- Ponge, J.-F. The soil as an ecosystem. Biol. Fertil. Soils. 2015, 51, 645–648. [Google Scholar] [CrossRef]
- Andreetta, A.; Ciampalini, R.; Moretti, P.; Vingiani, S.; Poggio, G.; Matteucci, G.; Tescari, F.; Carnicelli, S. Forest Humus Forms as Potential Indicators of Soil Carbon Storage in Mediterranean Environments. Biol. Fertil. Soils 2011, 47, 31–40. [Google Scholar] [CrossRef]
- Moscatelli, M.C.; Bonifacio, E.; Chiti, T.; Cudlín, P.; Dinca, L.; Gömöryova, E.; Grego, S.; La Porta, N.; Karlinski, L.; Pellis, G.; et al. Soil Properties as Indicators of Treeline Dynamics in Relation to Anthropogenic Pressure and Climate Change. Clim. Res. 2017, 73, 73–84. [Google Scholar] [CrossRef]
- Hellwig, N.; Gómez-Brandón, M.; Ascher-Jenull, J.; Bardelli, T.; Anschlag, K.; Fornasier, F.; Pietramellara, G.; Insam, H.; Broll, G. Humus Forms and Soil Microbiological Parameters in a Mountain Forest: Upscaling to the Slope Scale. Soil. Syst. 2018, 2, 12. [Google Scholar] [CrossRef]
- Stutz, K.P.; Lang, F. Forest Ecosystems Create Pedogenic Patchworks through Woody Debris, Trees, and Disturbance. Geoderma 2023, 429, 116246. [Google Scholar] [CrossRef]
- Visentin, F.; Remelli, S.; Zanella, A.; Menta, C. Windthrow Impact on Alpine Forest Humipedon: Soil Microarthropod Communities and Humus Dynamics Five Years after an Extreme Windstorm Event. Land 2024, 13, 1458. [Google Scholar] [CrossRef]
- Zanella, A.; Ponge, J.F.; Jabiol, B.; Van Delft, B.; De Waal, R.; Katzensteiner, K.; Kolb, E.; Bernier, N.; Mei, G.; Blouin, M.; et al. A Standardized Morpho-Functional Classification of the Planet’s Humipedons. Soil. Syst. 2022, 6, 59. [Google Scholar] [CrossRef]
- Società Italiana della Scienza del Suolo. Metodi Normalizzati di Analisi del Suolo; Edagricole: Bologna, Italy, 1986; ISBN 9788820626747. [Google Scholar]
- Colombo, C.; Miano, T. Metodi di Analisi Chimica del Suolo; Società Italiana delle Scienze del Suolo: Firenze, Italy, 2015. [Google Scholar]
- Don, A.; Bärwolff, M.; Kalbitz, K.; Andruschkewitsch, R.; Jungkunst, H.F.; Schulze, E.-D. No Rapid Soil Carbon Loss after a Windthrow Event in the High Tatra. For. Ecol. Manag. 2012, 276, 239–246. [Google Scholar] [CrossRef]
- Trumbore, S.E.; Chadwick, O.A.; Amundson, R. Rapid Exchange Between Soil Carbon and Atmospheric Carbon Dioxide Driven by Temperature Change. Science 1996, 272, 393–396. [Google Scholar] [CrossRef]
- Trumbore, S. Age of Soil Organic Matter and Soil Respiration: Radiocarbon Constraints on Belowground C Dynamics. Ecol. Appl. 2000, 10, 399–411. [Google Scholar] [CrossRef]
- Schulze, K.; Borken, W.; Muhr, J.; Matzner, E. Stock, Turnover Time and Accumulation of Organic Matter in Bulk and Density Fractions of a Podzol Soil. Eur. J. Soil. Sci. 2009, 60, 567–577. [Google Scholar] [CrossRef]
- Kobler, J.; Jandl, R.; Dirnböck, T.; Mirtl, M.; Schindlbacher, A. Effects of Stand Patchiness Due to Windthrow and Bark Beetle Abatement Measures on Soil CO2 Efflux and Net Ecosystem Productivity of a Managed Temperate Mountain Forest. Eur. J. For. Res. 2015, 134, 683–692. [Google Scholar] [CrossRef]
- Mayer, M.; Sandén, H.; Rewald, B.; Godbold, D.L.; Katzensteiner, K. Increase in Heterotrophic Soil Respiration by Temperature Drives Decline in Soil Organic Carbon Stocks after Forest Windthrow in a Mountainous Ecosystem. Funct. Ecol. 2017, 31, 1163–1172. [Google Scholar] [CrossRef]
- Salmon, S. Changes in Humus Forms, Soil Invertebrate Communities and Soil Functioning with Forest Dynamics. Appl. Soil. Ecol. 2018, 123, 345–354. [Google Scholar] [CrossRef]
- Chersich, S. Pedogenesis: Humus Forms and Soils under Spruce Forest by a Morphological Approach. Appl. Soil. Ecol. 2018, 123, 581–587. [Google Scholar] [CrossRef]
- Ponge, J.F.; Sartori, G.; Garlato, A.; Ungaro, F.; Zanella, A.; Jabiol, B.; Obber, S. The Impact of Parent Material, Climate, Soil Type and Vegetation on Venetian Forest Humus Forms: A Direct Gradient Approach. Geoderma 2014, 226–227, 290–299. [Google Scholar] [CrossRef]
- Tatti, D.; Fatton, V.; Sartori, L.; Gobat, J.M.; Le Bayon, R.C. What Does ‘Lignoform’ Really Mean? Appl. Soil. Ecol. 2018, 123, 632–645. [Google Scholar] [CrossRef]
- Maser, C. The Seen and Unseen World of the Fallen Tree; Pacific Northwest Forest and Range Experiment Station, US Department of Agriculture, Forest Service: Washington, DC, USA, 1984; Volume 164.
- Hararuk, O.; Kurz, W.A.; Didion, M. Dynamics of Dead Wood Decay in Swiss Forests. For. Ecosyst. 2020, 7, 36. [Google Scholar] [CrossRef]
- Russell, M.B.; Woodall, C.W.; Fraver, S.; D’Amato, A.W.; Domke, G.M.; Skog, K.E. Residence Times and Decay Rates of Downed Woody Debris Biomass/Carbon in Eastern US Forests. Ecosystems 2014, 17, 765–777. [Google Scholar] [CrossRef]
- Błońska, E.; Lasota, J.; Tullus, A.; Lutter, R.; Ostonen, I. Impact of Deadwood Decomposition on Soil Organic Carbon Sequestration in Estonian and Polish Forests. Ann. For. Sci. 2019, 76, 102. [Google Scholar] [CrossRef]
- Błońska, E.; Prażuch, W.; Lasota, J. Deadwood Affects the Soil Organic Matter Fractions and Enzyme Activity of Soils in Altitude Gradient of Temperate Forests. For. Ecosyst. 2023, 10, 100115. [Google Scholar] [CrossRef]
- Bernier, N.; Trosset, J.-Y. Bois Pourri Et Santé Des forêts: Exemple Du mélange épicéa (Picea abies [L.] Karst.) Et mélèze (Larix decidua Mill.) En Forêt Subalpine De Sainte-Foy-Tarentaise (Savoie). Rev. For. Fr. 2024, 75, 101–113. [Google Scholar]





| Condition | pHO | pHA | SOM O% | SOM A% |
|---|---|---|---|---|
| Mean ± SE | Mean ± SE | Mean ± SE | Mean ± SE | |
| IF | 5.01 ± 0.1 | 5.48 ± 0.16 | 56.23 ± 3.61 | 21.72 ± 2.08 |
| M | 5.8 ± 0.09 | 6.03 ± 0.1 | 42.63 ± 1.87 | 13.89 ± 1.22 |
| G | 5.39 ± 0.1 | 5.95 ± 0.13 | 43.92 ± 2.99 | 16.76 ± 1.07 |
| W | 5.19 ± 0.27 | 5.93 ± 0.22 | 57.98 ± 7.04 | 18.8 ± 3.09 |
| B | - | 5.88 ± 0.55 | - | 17.78 ± 10.13 |
| Condition | Humus System | Number of Observations | Humus Form | Number of Observations | % |
|---|---|---|---|---|---|
| IF | Mull | 1 | Dysmull | 1 | 100 |
| Moder | 2 | Dysmoder | 1 | 50 | |
| Ligno Dysmoder | 1 | 50 | |||
| Amphi | 27 | Pachyamphi | 6 | 22.22 | |
| Bryo Pachyamphi | 6 | 22.22 | |||
| Rhizo Pachyamphi | 1 | 3.7 | |||
| Ligno Pachiamphi | 1 | 3.7 | |||
| Leptoamphi | 3 | 11.11 | |||
| Eumesoamphi | 3 | 11.11 | |||
| Bryo Eumesoamphi | 6 | 22.22 | |||
| Eumacroamphi | 1 | 3.7 | |||
| M | Mull | 6 | Eumull | 5 | 83.33 |
| Rhizo Mull | 1 | 16.67 | |||
| Amphi | 3 | Pachyamphi | 2 | 66.67 | |
| Leptoamphi | 1 | 33.33 | |||
| G | Mull | 14 | Rhizo Mull | 5 | 35.71 |
| Eumull | 4 | 28.57 | |||
| Dysmull | 4 | 28.57 | |||
| Ligno Rhizo Mull | 1 | 7.14 | |||
| Amphi | 16 | Leptoamphi | 5 | 31.25 | |
| Pachyamphi | 2 | 12.5 | |||
| Rhizo Pachyamphi | 2 | 12.5 | |||
| Eumesoamphi | 2 | 12.5 | |||
| Rhizo Eumesoamphi | 4 | 25 | |||
| Bryo Eumesoamphi | 1 | 6.25 | |||
| W | Mull | 7 | Rhizo Mull | 3 | 42.86 |
| Rhizo Ligno Mull | 1 | 14.28 | |||
| Eumull | 1 | 14.28 | |||
| Mesomull | 1 | 14.29 | |||
| Dysmull | 1 | 14.29 | |||
| Amphi | 6 | Leptoamphi | 1 | 16.67 | |
| Ligno Leptoamphi | 1 | 16.67 | |||
| Pachyamphi | 2 | 33.33 | |||
| Ligno Pachyamphi | 1 | 16.67 | |||
| Rhizo Eumesoamphi | 1 | 16.67 | |||
| Tangel | 2 | Eutangel | 1 | 50 | |
| Ligno Leptotangel | 1 | 50 | |||
| B | Mull | 2 | Eumull | 2 | 100 |
| Amphi | 1 | Leptoamphi | 1 | 100 |
Disclaimer/Publisher’s Note: The statements, opinions and data contained in all publications are solely those of the individual author(s) and contributor(s) and not of MDPI and/or the editor(s). MDPI and/or the editor(s) disclaim responsibility for any injury to people or property resulting from any ideas, methods, instructions or products referred to in the content. |
© 2024 by the authors. Licensee MDPI, Basel, Switzerland. This article is an open access article distributed under the terms and conditions of the Creative Commons Attribution (CC BY) license (https://creativecommons.org/licenses/by/4.0/).
Share and Cite
Visentin, F.; Zanella, A.; Remelli, S.; Menta, C. Evolution of Forest Humipedon Following a Severe Windstorm in the Italian Alps: A Focus on Organic Horizon Dynamics. Forests 2024, 15, 2176. https://doi.org/10.3390/f15122176
Visentin F, Zanella A, Remelli S, Menta C. Evolution of Forest Humipedon Following a Severe Windstorm in the Italian Alps: A Focus on Organic Horizon Dynamics. Forests. 2024; 15(12):2176. https://doi.org/10.3390/f15122176
Chicago/Turabian StyleVisentin, Francesca, Augusto Zanella, Sara Remelli, and Cristina Menta. 2024. "Evolution of Forest Humipedon Following a Severe Windstorm in the Italian Alps: A Focus on Organic Horizon Dynamics" Forests 15, no. 12: 2176. https://doi.org/10.3390/f15122176
APA StyleVisentin, F., Zanella, A., Remelli, S., & Menta, C. (2024). Evolution of Forest Humipedon Following a Severe Windstorm in the Italian Alps: A Focus on Organic Horizon Dynamics. Forests, 15(12), 2176. https://doi.org/10.3390/f15122176

