Rainfall and Soil Moisture Jointly Drive Differences in Plant Community Composition in Desert Riparian Forests of Northwest China
Abstract
1. Introduction
2. Materials and Methods
2.1. Site Description and Plant Sample Collection
2.2. Collection of Soil Samples
2.3. Rainfall Data Acquisition
2.4. Research Methods
2.4.1. Calculation of β Diversity Index
2.4.2. Data Analysis
3. Results
3.1. Differences in Species Composition
3.2. Differences in Community Indicator Species
3.3. Differences in Community Composition
3.4. The Explanatory Power of Spatial Distance and Environmental Distance on Community Composition
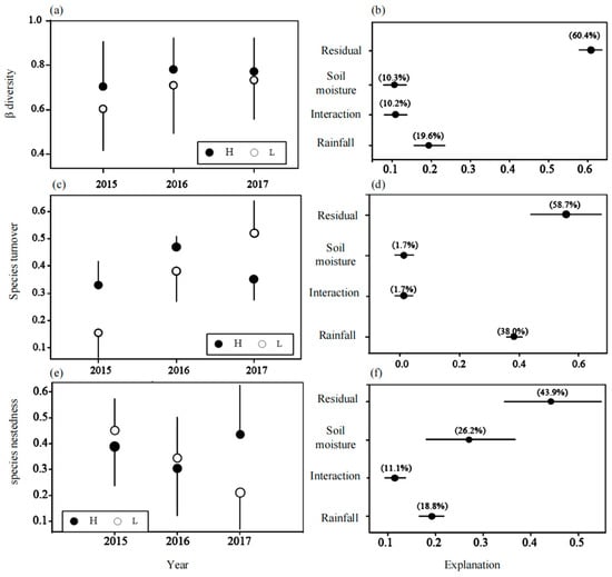
3.5. Changes in β Diversity, Species Turnover, and Species Nestedness over Time
4. Discussion
4.1. Differences in Species Composition in Different Years
4.2. The Impact of Environmental Factors on Changes in Community Composition
4.3. Effects of Rainfall and Soil Moisture on Inter Community β Diversity, Species Nestedness, and Species Turnover Characteristics
5. Conclusions
Supplementary Materials
Author Contributions
Funding
Data Availability Statement
Acknowledgments
Conflicts of Interest
References
- Griffin-Nolan, R.J.; Slette, I.J.; Knapp, A.K. Deconstructing Precipitation Variability: Rainfall Event Size and Timing Uniquely Alter Ecosystem Dynamics. J. Ecol. 2021, 109, 3356–3369. [Google Scholar] [CrossRef]
- Famiglietti, C.A.; Michalak, A.M.; Konings, A.G. Extreme Wet Events as Important as Extreme Dry Events in Controlling Spatial Patterns of Vegetation Greenness Anomalies. Environ. Res. Lett. 2021, 16, 074014. [Google Scholar] [CrossRef]
- Liu, L.B.; Gudmundsson, L.; Hauser, M.; Qin, D.; Li, S.C.; Seneviratne, S.I. Soil Moisture Dominates Dryness Stress on Ecosystem Production Globally. Nat. Commun. 2020, 11, 4892. [Google Scholar] [CrossRef] [PubMed]
- Allen, C.D.; Macalady, A.K.; Chenchouni, H.; Bachelet, D.; McDowell, N.; Vennetier, M.; Kitzberger, T.; Rigling, A.; Breshears, D.D.; Hogg, E.H.; et al. A Global Overview of Drought and Heat-Induced Tree Mortality Reveals Emerging Climate Change Risks for Forests. For. Ecol. Manag. 2010, 259, 660–684. [Google Scholar] [CrossRef]
- Holdrege, M.C.; Beard, K.H.; Kulmatiski, A. Woody Plant Growth Increases with Precipitation Intensity in a Cold Semiarid System. Ecology 2021, 102, e03212. [Google Scholar] [CrossRef]
- Zhang, J.W.; Shen, X.J.; Mu, B.F.; Shi, Y.J.; Yang, Y.H.; Wu, X.; Mu, C.; Wang, J. Moderately Prolonged Dry Intervals between Precipitation Events Promote Production in Leymus Chinensis in a Semi-Arid Grassland of Northeast China. BMC Plant Biol. 2021, 21, 147. [Google Scholar] [CrossRef]
- Felton, A.J.; Shriver, R.K.; Stemkovski, M.; Bradford, J.B.; Suding, K.N.; Adler, P.B. Climate Disequilibrium Dominates Uncertainty in Long-Term Projections of Primary Productivity. Ecol. Lett. 2022, 25, 2688–2698. [Google Scholar] [CrossRef]
- Adler, P.B.; HilleRisLambers, J.; Kyriakidis, P.C.; Guan, Q.; Levine, J.M. Climate Variability Has a Stabilizing Effect on the Coexistence of Prairie Grasses. Proc. Natl. Acad. Sci. USA 2006, 103, 12793–12798. [Google Scholar] [CrossRef]
- Holmgren, M.; Hirota, M.; van Nes, E.H.; Scheffer, M. Effects of Interannual Climate Variability on Tropical Tree Cover. Nat. Clim. Change 2013, 3, 755–758. [Google Scholar] [CrossRef]
- D’Onofrio, D.; Baudena, M.; D’Andrea, F.; Rietkerk, M.; Provenzale, A. Tree-Grass Competition for Soil Water in Arid and Semiarid Savannas: The Role of Rainfall Intermittency. Water Resour. Res. 2015, 51, 169–181. [Google Scholar] [CrossRef]
- D’Onofrio, D.; Sweeney, L.; von Hardenberg, J.; Baudena, M. Grass and Tree Cover Responses to Intra-Seasonal Rainfall Variability Vary along a Rainfall Gradient in African Tropical Grassy Biomes. Sci. Rep. 2019, 9, 2334. [Google Scholar] [CrossRef] [PubMed]
- Yu, K.L.; Saha, M.V.; D’Odorico, P. The Effects of Interannual Rainfall Variability on Tree–Grass Composition along Kalahari Rainfall Gradient. Ecosystems 2017, 20, 975–988. [Google Scholar] [CrossRef]
- Zuidema, P.A.; Babst, F.; Groenendijk, P.; Trouet, V.; Abiyu, A.; Acuña-Soto, R.; Adenesky-Filho, E.; Alfaro-Sánchez, R.; Aragão, J.R.V.; Assis-Pereira, G.; et al. Tropical Tree Growth Driven by Dry-Season Climate Variability. Nat. Geosci. 2022, 15, 269–276. [Google Scholar] [CrossRef]
- Schenk, H.; Jackson, R. Rooting Depths, Lateral Root Spreads and below-Ground/above-Ground Allometries of Plants in Water-Limited Ecosystem. J. Ecol. J. Ecol. 2002, 90, 480–494. [Google Scholar] [CrossRef]
- February, E.C.; Cook, G.D.; Richards, A.E. Root Dynamics Influence Tree–Grass Coexistence in an Australian Savanna. Austral Ecol. 2013, 38, 66–75. [Google Scholar] [CrossRef]
- Kulmatiski, A.; Beard, K.H. Root Niche Partitioning among Grasses, Saplings, and Trees Measured Using a Tracer Technique. Oecologia 2013, 171, 25–37. [Google Scholar] [CrossRef] [PubMed]
- Mg, M.; Kulmatiski, A. Modelling Water Uptake Provides a New Perspective on Grass and Tree Coexistence. PLoS ONE 2015, 10, e0144300. [Google Scholar] [CrossRef]
- Morrison, T.A.; Holdo, R.M.; Rugemalila, D.M.; Nzunda, M.; Anderson, T.M. Grass Competition Overwhelms Effects of Herbivores and Precipitation on Early Tree Establishment in Serengeti. J. Ecol. 2019, 107, 216–228. [Google Scholar] [CrossRef]
- Belovitch, M.W.; NeSmith, J.E.; Nippert, J.B.; Holdo, R.M. African Savanna Grasses Outperform Trees across the Full Spectrum of Soil Moisture Availability. New Phytol. 2023, 239, 66–74. [Google Scholar] [CrossRef]
- Rossatto, D.R.; Franco, A.C. Plant Competition across Topographic Gradients in Neotropical Cerrado Savannas: An Isotopic Approach. In Neotropical Gradients and Their Analysis; Myster, R.W., Ed.; Springer International Publishing: Cham, Switzerland, 2023; pp. 137–150. ISBN 978-3-031-22848-3. [Google Scholar]
- Rossatto, D.R.; da Silveira Lobo Sternberg, L.; Franco, A.C. The Partitioning of Water Uptake between Growth Forms in a Neotropical Savanna: Do Herbs Exploit a Third Water Source Niche? Plant Biol. 2013, 15, 84–92. [Google Scholar] [CrossRef]
- Bagchi, S.; Briske, D.D.; Bestelmeyer, B.T.; Ben Wu, X. Assessing Resilience and State-Transition Models with Historical Records of Cheatgrass Bromus tectorum Invasion in North American Sagebrush-Steppe. J. Appl. Ecol. 2013, 50, 1131–1141. [Google Scholar] [CrossRef]
- Matthews, W.J.; Marsh-Matthews, E.; Cashner, R.C.; Gelwick, F. Disturbance and Trajectory of Change in a Stream Fish Community over Four Decades. Oecologia 2013, 173, 955–969. [Google Scholar] [CrossRef] [PubMed]
- Sala, O.E.; Stuart Chapin, F., III; Armesto, J.J.; Berlow, E.; Bloomfield, J.; Dirzo, R.; Huber-Sanwald, E.; Huenneke, L.F.; Jackson, R.B.; Kinzig, A.; et al. Global Biodiversity Scenarios for the Year 2100. Science 2000, 287, 1770–1774. [Google Scholar] [CrossRef] [PubMed]
- Avolio, M.L.; Koerner, S.E.; La Pierre, K.J.; Wilcox, K.R.; Wilson, G.W.T.; Smith, M.D.; Collins, S.L. Changes in Plant Community Composition, Not Diversity, during a Decade of Nitrogen and Phosphorus Additions Drive above-Ground Productivity in a Tallgrass Prairie. J. Ecol. 2014, 102, 1649–1660. [Google Scholar] [CrossRef]
- Bestelmeyer, B.T.; Ellison, A.M.; Fraser, W.R.; Gorman, K.B.; Holbrook, S.J.; Laney, C.M.; Ohman, M.D.; Peters, D.P.C.; Pillsbury, F.C.; Rassweiler, A.; et al. Analysis of Abrupt Transitions in Ecological Systems. Ecosphere 2011, 2, art129. [Google Scholar] [CrossRef]
- Hao, M.H.; Ganeshaiah, K.N.; Zhang, C.Y.; Zhao, X.; von Gadow, K. Discriminating among Forest Communities Based on Taxonomic, Phylogenetic and Trait Distances. For. Ecol. Manag. 2019, 440, 40–47. [Google Scholar] [CrossRef]
- Sinsabaugh, R.L.; Shah, J.J.F. Ecoenzymatic Stoichiometry and Ecological Theory. Annu. Rev. Ecol. Evol. Syst. 2012, 43, 313–343. [Google Scholar] [CrossRef]
- Swenson, N.G.; Erickson, D.L.; Mi, X.; Bourg, N.A.; Forero-Montaña, J.; Ge, X.; Howe, R.; Lake, J.K.; Liu, X.; Ma, K.; et al. Phylogenetic and Functional Alpha and Beta Diversity in Temperate and Tropical Tree Communities. Ecology 2012, 93, S112–S125. [Google Scholar] [CrossRef]
- Legendre, P.; De Cáceres, M. Beta Diversity as the Variance of Community Data: Dissimilarity Coefficients and Partitioning. Ecol. Lett. 2013, 16, 951–963. [Google Scholar] [CrossRef]
- Harrison, S.; Spasojevic, M.J.; Li, D. Climate and Plant Community Diversity in Space and Time. Proc. Natl. Acad. Sci. USA 2020, 117, 4464–4470. [Google Scholar] [CrossRef]
- Orrock, J.L.; Brudvig, L.A.; Damschen, E.I.; Mattingly, W.B.; Cruz, J.; Veldman, J.W.; Hahn, P.G.; Larsen-Gray, A.L. Long-Term, Large-Scale Experiment Reveals the Effects of Seed Limitation, Climate, and Anthropogenic Disturbance on Restoration of Plant Communities in a Biodiversity Hotspot. Proc. Natl. Acad. Sci. USA 2023, 120, e2201943119. [Google Scholar] [CrossRef] [PubMed]
- Chang, X.L.; Zhao, A.F.; Li, S.G. Responses of Species Diversity to Precipitation Change on Fixed-Dunes of the Naiman Banner Region. Chin. J. Plant Ecol. 2000, 24, 147. [Google Scholar]
- Wang, Y.T.; Tang, L.S. Responses of Different Life-Form Plants in Garbantunggut Desert to Small Rainfall Events. Chin. J. Ecol. 2009, 28, 1028. [Google Scholar]
- Yang, Y.H.; Piao, S.L. Variations in Grassland Vegetation Cover in Relation to Climatic Factors on the Tibetan Plateau. Chin. J. Plant Ecol. 2006, 30, 1. [Google Scholar] [CrossRef]
- Zhu, Y.J.; Wu, B.; Lu, Q. Progress in Study on Response of Arid Zones to Precipitation Change. Chin. For. Sci. Technol. 2012, 11, 89. [Google Scholar]
- Vitousek, P.M.; Mooney, H.A.; Lubchenco, J.; Melillo, J.M. Human Domination of Earth’s Ecosystems. Science 1997, 277, 494–499. [Google Scholar] [CrossRef]
- Li, W.J.; Wang, H.F.; Lv, G.H.; Wang, J.L.; Li, J.H. Regulation of Drought Stress on Nutrient Cycle and Metabolism of Rhizosphere Microorganisms in Desert Riparian Forest. Sci. Total Environ. 2024, 954, 176148. [Google Scholar] [CrossRef]
- Gong, X.W.; Lv, G.H. Species Diversity and Dominant Species’ Niches of Eremophyte Communities of the Tugai Forest in the Ebinur Basin of Xinjiang, China. Biodivers. Sci. 2017, 25, 34. [Google Scholar] [CrossRef]
- Zhang, X.N.; Li, Y.; He, X.M.; Lv, L. Effects of Soil Water and Salinity on Relationships between Desert Plant Functional Diversity and Species Diversity. Chin. J. Ecol. 2019, 38, 2354. [Google Scholar]
- Wang, S.Y.; LV, G.H.; Jiang, L.M.; Wang, H.F.; Li, Y.; Wang, J.L. Multi-Scale Analysis on Functional Diversity and Phylogenetic Diversity of Typical Plant Community in Ebinur Lake. Ecol. Environ. 2020, 29, 889–900. [Google Scholar] [CrossRef]
- Jiang, L.M.; Zayit, A.; Sattar, K.; Wang, S.Y.; He, X.M.; Hu, D.; Wang, H.; Yang, J. The Influence of Intraspecific Trait Variation on Plant Functional Diversity and Community Assembly Processes in an Arid Desert Region of Northwest China. Forests 2023, 14, 1536. [Google Scholar] [CrossRef]
- Sun, Q.; Zhang, M.; Zeng, Y.B.; Qi, M.Y.; Chen, X.Z. Effect of Precipitation and Wind Speed on NDVI in Aibi Lake. Southwest China J. Agric. Sci. 2018, 31, 2407–2412. [Google Scholar] [CrossRef]
- Zhao, K.C.; Zhang, Y.F.; Zhu, X.Q.; Gu, L.Y.; Guo, J.X. NDVI Changes in Ebinur Basin from 2000 to 2014 and Its Response Relation to Precipitation and Temperature. Guangdong Agric. Sci. 2017, 44, 82–88. [Google Scholar]
- Hu, D.; Jiang, L.; Hou, Z.; Zhang, J.; Wang, H.; Lv, G. Environmental Filtration and Dispersal Limitation Explain Different Aspects of Beta Diversity in Desert Plant Communities. Glob. Ecol. Conserv. 2022, 33, e01956. [Google Scholar] [CrossRef]
- Jiang, L.M.; Lv, G.H.; Gong, Y.M.; Li, Y.; Wang, H.F.; Wu, D.Y. Characteristics and Driving Mechanisms of Species Beta Diversity in Desert Plant Communities. PLoS ONE 2021, 16, e0245249. [Google Scholar] [CrossRef]
- Wang, H.D.; Zhang, L.L.; Zhu, Z.H. Effects of Clipping and Fertilizing on the Relationships between Species Diversity and Ecosystem Functioning and Mechanisms of Community Stability in Alpine Meadow. Chin. J. Plant Ecol. 2013, 37, 279. [Google Scholar] [CrossRef]
- Xu, C.J.; Nurbay, A. A Study on the Wetland Vegetation of the Ebnur Lake Nature Reserve. J. Arid. Land Resoures Environ. 2008, 22, 106–110. [Google Scholar]
- Li, X.T.; Chen, Y.D.; Lv, G.H.; Wang, J.L.; Jiang, L.M.; Wang, H.F.; Yang, X.D. Predicting Spatial Variability of Species Diversity with the Minimum Data Set of Soil Properties in an Arid Desert Riparian Forest. Front. Plant Sci. 2022, 13, 1014643. [Google Scholar] [CrossRef]
- Bao, S.D. Soil Agrochemical Analysis, 3rd ed.; China Agricultural Press: Beijing, China, 2000. [Google Scholar]
- Jaccard, P. Contribution Au Problème de l’immigration Post-Glaciaire de La Flore Alpine: Étude Comparative de La Flore Alpine Du Massif de Wildhorn, Du Haut Bassin Du Trient et de La Haute Vallée de Bagnes. Bull. Soc. Vaud. Sci. Nat. 1900, 36, 87–130. [Google Scholar] [CrossRef]
- Bray, J.R.; Curtis, J.T. An Ordination of the Upland Forest Communities of Southern Wisconsin. Ecol. Monogr. 1957, 27, 325–349. [Google Scholar] [CrossRef]
- Chao, A.; Chazdon, R.L.; Colwell, R.K.; Shen, T.-J. A New Statistical Approach for Assessing Similarity of Species Composition with Incidence and Abundance Data. Ecol. Lett. 2005, 8, 148–159. [Google Scholar] [CrossRef]
- Mantel, N. The Detection of Disease Clustering and a Generalized Regression Approach. Cancer Res. 1967, 27, 209–220. [Google Scholar] [PubMed]
- Clarke, K.R. Non-Parametric Multivariate Analyses of Changes in Community Structure. Aust. J. Ecol. 1993, 18, 117–143. [Google Scholar] [CrossRef]
- Warton, D.; Wright, S.; Wang, Y. Distance-Based Multivariate Analyses Confound Location and Dispersion Effects. Methods Ecol. Evol. 2012, 3, 89–101. [Google Scholar] [CrossRef]
- Anderson, M.J. Distance-Based Tests for Homogeneity of Multivariate Dispersions. Biometrics 2006, 62, 245–253. [Google Scholar] [CrossRef] [PubMed]
- Legendre, P.; Mi, X.; Ren, H.; Ma, K.; Yu, M.; Sun, I.-F.; He, F. Partitioning Beta Diversity in a Subtropical Broad-Leaved Forest of China. Ecology 2009, 90, 663–674. [Google Scholar] [CrossRef]
- Baselga, A. Partitioning the Turnover and Nestedness Components of Beta Diversity. Glob. Ecol. Biogeogr. 2010, 19, 134–143. [Google Scholar] [CrossRef]
- Reynolds, J.H.; Chelazzi, L. Attentional Modulation of Visual Processing. Annu. Rev. Neurosci. 2004, 27, 611–647. [Google Scholar] [CrossRef]
- Schwinning, S.; Sala, O.E.; Loik, M.E.; Ehleringer, J.R. Thresholds, Memory, and Seasonality: Understanding Pulse Dynamics in Arid/Semi-Arid Ecosystems. Oecologia 2004, 141, 191–193. [Google Scholar] [CrossRef]
- Zhou, S.X.; Wu, D.; Zhang, L.; Shi, H.Q. Effects of Changing Precipitation Patterns on Seedlings of Stipa Grandis, a Dominant Plant of Typical Grassland of Inner Mongolia, China. Chin. J. Plant Ecol. 2010, 34, 1155. [Google Scholar] [CrossRef]
- Abbas, S.; Nichol, J.E.; Zhang, J.; Fischer, G.A. The Accumulation of Species and Recovery of Species Composition along a 70 year Succession in a Tropical Secondary Forest. Ecol. Indic. 2019, 106, 105524. [Google Scholar] [CrossRef]
- Williamson, G.B.; Bentos, T.V.; Longworth, J.B.; Mesquita, R.C.G. Convergence and Divergence in Alternative Successional Pathways in Central Amazonia. Plant Ecol. Divers. 2014, 7, 341–348. [Google Scholar] [CrossRef]
- Rolim, S.G.; Machado, R.E.; Pillar, V.D. Divergence in a Neotropical Forest during 33 Years of Succession Following Clear-Cutting. J. Veg. Sci. 2017, 28, 495–503. [Google Scholar] [CrossRef]
- Zhou, J.J.; Zhou, J.S.; Wang, A.H.; Liu, M.; Wu, X.; Xing, F.W. Studies on the Seed Dispersal and Secondary Succession of Offshore Islands, Hong Kong. J. Trop. Subtrop. Bot. 2017, 25, 438–444. [Google Scholar] [CrossRef]
- Niu, F.R.; Duan, D.P.; Chen, J.; Xiong, P.F.; Zhang, H.; Wang, Z.; Xu, B.C. Eco-Physiological Responses of Dominant Species to Watering in a Natural Grassland Community on the Semi-Arid Loess Plateau of China. Front. Plant Sci. 2016, 7, 663. [Google Scholar] [CrossRef]
- Fukami, T. Historical Contingency in Community Assembly: Integrating Niches, Species Pools, and Priority Effects. Annu. Rev. Ecol. Evol. Syst. 2015, 46, 1–23. [Google Scholar] [CrossRef]
- D’Amen, M.; Rahbek, C.; Zimmermann, N.E.; Guisan, A. Spatial Predictions at the Community Level: From Current Approaches to Future Frameworks. Biol. Rev. 2017, 92, 169–187. [Google Scholar] [CrossRef]
- Baldeck, C.A.; Kembel, S.W.; Harms, K.E.; Yavitt, J.B.; John, R.; Turner, B.L.; Madawala, S.; Gunatilleke, N.; Gunatilleke, S.; Bunyavejchewin, S.; et al. Phylogenetic Turnover along Local Environmental Gradients in Tropical Forest Communities. Oecologia 2016, 182, 547–557. [Google Scholar] [CrossRef]
- Tilman, D. Niche Tradeoffs, Neutrality, and Community Structure: A Stochastic Theory of Resource Competition, Invasion, and Community Assembly. Proc. Natl. Acad. Sci. USA 2004, 101, 10854–10861. [Google Scholar] [CrossRef]
- Corlett, R.T.; Hau, B.C.H. Seed Dispersal and Forest Restoration; International Tropical Timber Organization and The Forest Restoration Research, Chiang Mai University: Chiang Mai, Thailand, 2000; pp. 317–325. [Google Scholar]
- Zhu, Y.; Queenborough, S.A.; Condit, R.; Hubbell, S.P.; Ma, K.P.; Comita, L.S. Density-Dependent Survival Varies with Species Life-History Strategy in a Tropical Forest. Ecol. Lett. 2018, 21, 506–515. [Google Scholar] [CrossRef]
- Viana, D.S.; Figuerola, J.; Schwenk, K.; Manca, M.; Hobæk, A.; Mjelde, M.; Preston, C.D.; Gornall, R.J.; Croft, J.M.; King, R.A.; et al. Assembly Mechanisms Determining High Species Turnover in Aquatic Communities over Regional and Continental Scales. Ecography 2016, 39, 281–288. [Google Scholar] [CrossRef]
- Gossner, M.M.; Lewinsohn, T.M.; Kahl, T.; Grassein, F.; Boch, S.; Prati, D.; Birkhofer, K.; Renner, S.C.; Sikorski, J.; Wubet, T.; et al. Land-Use Intensification Causes Multitrophic Homogenization of Grassland Communities. Nature 2016, 540, 266–269. [Google Scholar] [CrossRef] [PubMed]
- Gong, X.W.; Lü, G.H.; He, X.M.; Sarkar, B.; Yang, X.D. High Air Humidity Causes Atmospheric Water Absorption via Assimilating Branches in the Deep-Rooted Tree Haloxylon Ammodendron in an Arid Desert Region of Northwest China. Front. Plant Sci. 2019, 10, 573. [Google Scholar] [CrossRef] [PubMed]








| Year | Annual Average Rainfall (mm) | Average Rainfall from July to August (mm) | Annual Average Temperature (°C) | Average Temperature from July to August (°C) |
|---|---|---|---|---|
| 2015 | 138.85 a | 15.30 a | 10.03 a | 27.10 a |
| 2016 | 197.24 b | 26.95 b | 9.15 a | 26.63 a |
| 2017 | 134.15 a | 8.78 a | 9.17 a | 26.80 a |
| Community Classification | Average Soil Moisture (%) | Soil Moisture Range (%) | 2015 Number of Samples | 2016 Number of Samples | 2017 Number of Samples |
|---|---|---|---|---|---|
| High soil moisture | 1.460 a | (0.992, 1.993) | 10 | 11 | 12 |
| Low soil moisture | 0.554 b | (0.049, 0.975) | 20 | 19 | 18 |
| β Diversity Index | Spatial | Rainfall | Soil Moisture | |||
|---|---|---|---|---|---|---|
| r | p-Value | r | p-Value | r | p-Value | |
| Jaccard | 0.253 | 0.01 | 0.396 | 0.01 | 0.307 | 0.01 |
| Horn | 0.196 | 0.01 | 0.359 | 0.01 | 0.202 | 0.01 |
| Morisita–Horn | 0.195 | 0.01 | 0.359 | 0.01 | 0.201 | 0.01 |
| Bray–Curtis | 0.259 | 0.01 | 0.375 | 0.01 | 0.287 | 0.01 |
| Chao | 0.252 | 0.01 | 0.316 | 0.01 | 0.202 | 0.01 |
Disclaimer/Publisher’s Note: The statements, opinions and data contained in all publications are solely those of the individual author(s) and contributor(s) and not of MDPI and/or the editor(s). MDPI and/or the editor(s) disclaim responsibility for any injury to people or property resulting from any ideas, methods, instructions or products referred to in the content. |
© 2024 by the authors. Licensee MDPI, Basel, Switzerland. This article is an open access article distributed under the terms and conditions of the Creative Commons Attribution (CC BY) license (https://creativecommons.org/licenses/by/4.0/).
Share and Cite
Wang, H.; Mo, Z.; Li, W.; Huang, H.; Lv, G. Rainfall and Soil Moisture Jointly Drive Differences in Plant Community Composition in Desert Riparian Forests of Northwest China. Forests 2024, 15, 2129. https://doi.org/10.3390/f15122129
Wang H, Mo Z, Li W, Huang H, Lv G. Rainfall and Soil Moisture Jointly Drive Differences in Plant Community Composition in Desert Riparian Forests of Northwest China. Forests. 2024; 15(12):2129. https://doi.org/10.3390/f15122129
Chicago/Turabian StyleWang, Hengfang, Zhengxian Mo, Wenjing Li, Hao Huang, and Guanghui Lv. 2024. "Rainfall and Soil Moisture Jointly Drive Differences in Plant Community Composition in Desert Riparian Forests of Northwest China" Forests 15, no. 12: 2129. https://doi.org/10.3390/f15122129
APA StyleWang, H., Mo, Z., Li, W., Huang, H., & Lv, G. (2024). Rainfall and Soil Moisture Jointly Drive Differences in Plant Community Composition in Desert Riparian Forests of Northwest China. Forests, 15(12), 2129. https://doi.org/10.3390/f15122129
