Effects of Ectomycorrhizae and Hyphae on Soil Fungal Community Characteristics Across Forest Gap Positions
Abstract
1. Introduction
2. Materials and Methods
2.1. Site Description
2.2. Experimental Design
2.3. Soil Sampling
2.4. Soil Physicochemical Analysis
2.5. DNA Sequencing and Bioinformatic Analysis
2.6. Statistical Analysis
3. Results
3.1. Soil Fungal Diversity
3.1.1. Alpha Diversity of Soil Fungi
3.1.2. Beta Diversity of Soil Fungi
3.2. Composition of Soil Fungal Communities
3.3. Prediction of Soil Fungal Function
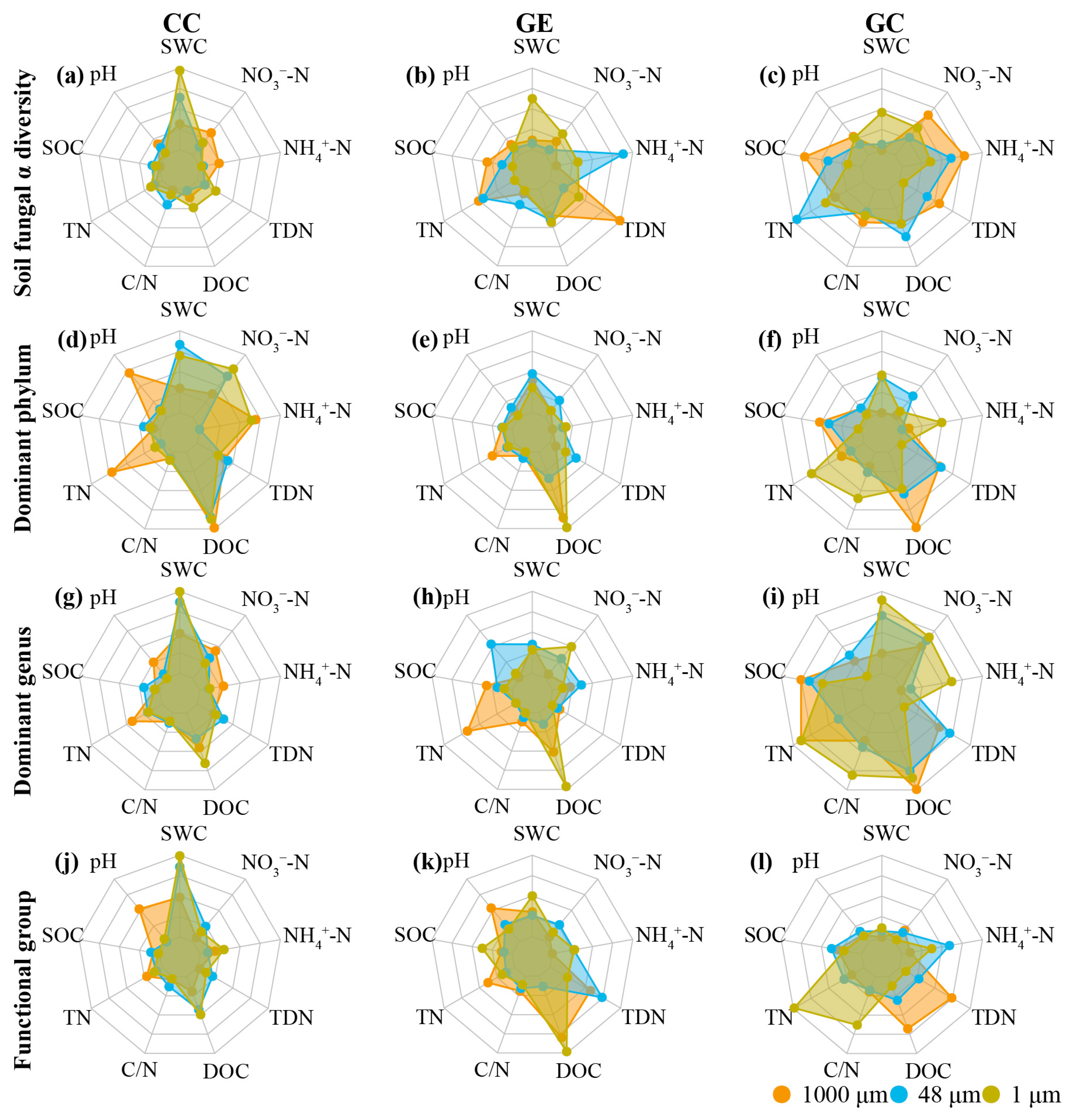
3.4. Key Determinants of Soil Fungal Communities
4. Discussion
5. Conclusions
Supplementary Materials
Author Contributions
Funding
Data Availability Statement
Acknowledgments
Conflicts of Interest
References
- Baldrian, P. Forest microbiome: Diversity, complexity and dynamics. FEMS Microbiol. Rev. 2017, 41, fuw040. [Google Scholar] [CrossRef]
- Guerra, C.A.; Bardgett, R.D.; Caon, L.; Crowther, T.W.; Delgado-Baquerizo, M.; Montanarella, L.; Navarro, L.M.; Orgiazzi, A.; Singh, B.K.; Tedersoo, L.; et al. Tracking, targeting, and conserving soil biodiversity. Science 2021, 371, 239–241. [Google Scholar] [CrossRef]
- Sokol, N.W.; Slessarev, E.; Marschmann, G.L.; Nicolas, A.; Blazewicz, S.J.; Brodie, E.L.; Firestone, M.K.; Foley, M.M.; Hestrin, R.; Hungate, B.A.; et al. Life and death in the soil microbiome: How ecological processes influence biogeochemistry. Nat. Rev. Microbiol. 2022, 20, 415–430. [Google Scholar] [CrossRef]
- Tedersoo, L.; Bahram, M.; Põlme, S.; Kõljalg, U.; Yorou, N.S.; Wijesundera, R.; Ruiz, L.V.; Vasco-Palacios, A.M.; Thu, P.Q.; Suija, A.; et al. Global diversity and geography of soil fungi. Science 2014, 346, 1256688. [Google Scholar] [CrossRef]
- Zak, D.R.; Pellitier, P.T.; Argiroff, W.; Castillo, B.; James, T.Y.; Nave, L.E.; Averill, C.; Beidler, K.V.; Bhatnagar, J.; Blesh, J.; et al. Exploring the role of ectomycorrhizal fungi in soil carbon dynamics. New Phytol. 2019, 223, 33–39. [Google Scholar] [CrossRef]
- van der Heijden, M.G.A.; Martin, F.M.; Selosse, M.A.; Sanders, I.R. Mycorrhizal ecology and evolution: The past, the present, and the future. New Phytol. 2015, 205, 1406–1423. [Google Scholar] [CrossRef]
- Smith, S.E.; Read, D. Mycorrhizal Symbiosis, 3rd ed.; Academic Press: London, UK, 2008; pp. 189–385. [Google Scholar]
- Genre, A.; Lanfranco, L.; Perotto, S.; Bonfante, P. Unique and common traits in mycorrhizal symbioses. Nat. Rev. Microbiol. 2020, 18, 649–660. [Google Scholar] [CrossRef]
- Meier, I.C.; Pritchard, S.G.; Brzostek, E.R.; Mccormack, M.L.; Phillips, R.P. The rhizosphere and hyphosphere differ in their impacts on carbon and nitrogen cycling in forests exposed to elevated CO2. New Phytol. 2015, 205, 1164–1174. [Google Scholar] [CrossRef]
- Teste, F.P.; Simard, S.W.; Durall, D.M.; Guy, R.D.; Jones, M.D.; Schoonmaker, A.L. Access to mycorrhizal networks and roots of trees: Importance for seedling survival and resource transfer. Ecology 2009, 90, 2808–2822. [Google Scholar] [CrossRef]
- Muscolo, A.; Bagnato, S.; Sidari, M.; Mercurio, R. A review of the roles of forest canopy gaps. J. For. Res. 2014, 25, 725–736. [Google Scholar] [CrossRef]
- Tian, A.; Halik, Ü.; Fu, W.; Sawirdin, S.; Cheng, S.; Lei, J. Research History of Forest Gap as Small-Scale Disturbances in Forest Ecosystems. Forests 2024, 15, 21. [Google Scholar] [CrossRef]
- Ni, X.Y.; Berg, B.; Yang, W.Q.; Li, H.; Liao, S.; Tan, B.; Yue, K.; Xu, Z.F.; Zhang, L.; Wu, F.Z. Formation of forest gaps accelerates C, N and P release from foliar litter during 4 years of decomposition in an alpine forest. Biogeochemistry 2018, 139, 321–335. [Google Scholar] [CrossRef]
- Shen, Y.; Yang, W.; Zhang, J.; Xu, Z.; Zhang, L.; Liu, Y.; Li, H.; You, C.; Tan, B. Forest Gap Size Alters the Functional Diversity of Soil Nematode Communities in Alpine Forest Ecosystems. Forests 2019, 10, 806. [Google Scholar] [CrossRef]
- Yamamoto, S. Forest gap dynamics and tree regeneration. J. For. Res. 2000, 5, 223–229. [Google Scholar] [CrossRef]
- Scharenbroch, B.C.; Bockheim, J.G. Impacts of forest gaps on soil properties and processes in old growth northern hardwood-hemlock forests. Plant Soil 2007, 294, 219–233. [Google Scholar] [CrossRef]
- Wang, Q.; Wang, Z.; Peñuelas, J.; Cao, R.; Wang, L.; Yang, W. Decaying logs and gap positions jointly mediate the structure and function of soil bacterial community in the forest ecosystem. For. Ecol. Manage. 2024, 567, 122070. [Google Scholar] [CrossRef]
- Grebenc, T.; Christensen, M.; Vilhar, U.; Cater, M.; Martín, M.P.; Simončič, P.; Kraigher, H. Response of ectomycorrhizal community structure to gap opening in natural and managed temperate beech-dominated forests. Can. J. For. Res. 2009, 39, 1375–1386. [Google Scholar] [CrossRef]
- Dehui, L.; Xiangjun, L.; Qinggui, W.; Haifeng, Y.; Xianwei, L. Effects of gap locations on the decomposition of fine root of Toona sinensis and soil fungal community diversity in cypress plantation forest. Acta Ecol. Sin. 2022, 42, 2784–2797. [Google Scholar] [CrossRef]
- Sterkenburg, E.; Bahr, A.; Brandström Durling, M.; Clemmensen, K.E.; Lindahl, B.D. Changes in fungal communities along a boreal forest soil fertility gradient. New Phytol. 2015, 207, 1145–1158. [Google Scholar] [CrossRef]
- Rousk, J.; Bååth, E.; Brookes, P.C.; Lauber, C.L.; Lozupone, C.; Caporaso, J.G.; Knight, R.; Fierer, N. Soil bacterial and fungal communities across a pH gradient in an arable soil. Isme J. 2010, 4, 1340–1351. [Google Scholar] [CrossRef]
- Kennedy, P.G.; Peay, K.G.; Bruns, T.D. Root tip competition among ectomycorrhizal fungi: Are priority effects a rule or an exception? Ecology 2009, 90, 2098–2107. [Google Scholar] [CrossRef]
- Zeilinger, S.; Gupta, V.K.; Dahms, T.E.S.; Silva, R.N.; Singh, H.B.; Upadhyay, R.S.; Gomes, E.V.; Tsui, C.K.; Nayak, S.C. Friends or foes? Emerging insights from fungal interactions with plants. FEMS Microbiol. Rev. 2016, 40, 182–207. [Google Scholar] [CrossRef]
- Nguyen, N.H.; Song, Z.; Bates, S.T.; Branco, S.; Tedersoo, L.; Menke, J.; Schilling, J.S.; Kennedy, P.G. FUNGuild: An open annotation tool for parsing fungal community datasets by ecological guild. Fungal Ecol. 2016, 20, 241–248. [Google Scholar] [CrossRef]
- Bogar, L.M. Modified source–sink dynamics govern resource exchange in ectomycorrhizal symbiosis. New Phytol. 2023, 242, 1523–1528. [Google Scholar] [CrossRef]
- Fernandez, C.W.; Kennedy, P.G. Revisiting the ‘Gadgil effect’: Do interguild fungal interactions control carbon cycling in forest soils. New Phytol. 2016, 209, 1382–1394. [Google Scholar] [CrossRef]
- Gadgil, R.L.; Gadgil, P.D. Mycorrhiza and litter decomposition. Nature 1971, 233, 133. [Google Scholar] [CrossRef]
- Querejeta, J.I.; Schlaeppi, K.; López García, Á.; Ondoño, S.; Prieto, I.; van der Heijden, M.G.A.; Del Mar Alguacil, M. Lower relative abundance of ectomycorrhizal fungi under a warmer and drier climate is linked to enhanced soil organic matter decomposition. New Phytol. 2021, 232, 1399–1413. [Google Scholar] [CrossRef]
- Sietiö, O.; Santalahti, M.; Putkinen, A.; Adamczyk, S.; Sun, H.; Heinonsalo, J. Restriction of plant roots in boreal forest organic soils affects the microbial community but does not change the dominance from ectomycorrhizal to saprotrophic fungi. FEMS Microbiol. Ecol. 2019, 95, fiz133. [Google Scholar] [CrossRef]
- Wang, K.Y.; Yang, W.Q.; Kellomäki, S. Ecological processes and sustainable mechanisms of the subalpine coniferous forests. World Sci.-Tech. RD 2003, 25, 17–24. [Google Scholar] [CrossRef]
- Zhang, Z.L.; Phillips, R.P.; Zhao, W.Q.; Yuan, Y.S.; Liu, Q.; Yin, H.J. Mycelia-derived C contributes more to nitrogen cycling than root-derived C in ectomycorrhizal alpine forests. Funct. Ecol. 2018, 33, 346–359. [Google Scholar] [CrossRef]
- Liu, Q.; Wu, Y.; He, H. Ecological problems of subalpine coniferous forest in the southwest of China. World Sci.-Tech. RD 2001, 23, 63–69. [Google Scholar] [CrossRef]
- Song, F.Q.; Tian, X.J.; Yang, C.L.; He, X.B.; Chen, B.; Zhu, J.; Hao, J.J. Ectomycorrhizal infection intensity of subalpine forest ecosystems in western Sichuan, China. Acta Ecol. Sin. 2006, 26, 4171–4178. [Google Scholar]
- Wu, Q.G.; Wu, F.Z.; Yang, W.Q.; Tan, B.; Yang, Y.L.; Ni, X.Y.; He, J. Characteristics of gaps and disturbance regimes of the alpine fir forest in western Sichuan. Chin. J. Appl. Environ. Biol. 2013, 19, 922–928. [Google Scholar] [CrossRef]
- Wallander, H.; Nilsson, L.O.; Hagerberg, D.; Baath, E. Estimation of the biomass and seasonal growth of external mycelium of ectomycorrhizal fungi in the field. New Phytol. 2001, 151, 753–760. [Google Scholar] [CrossRef]
- Henriksson, N.; Marshall, J.; Högberg, M.N.; Högberg, P.; Polle, A.; Franklin, O.; Näsholm, T. Re-examining the evidence for the mother tree hypothesis-resource sharing among trees via ectomycorrhizal networks. New Phytol. 2023, 239, 19–28. [Google Scholar] [CrossRef]
- Bahram, M.; Hildebrand, F.; Forslund, S.K.; Anderson, J.L.; Soudzilovskaia, N.A.; Bodegom, P.M.; Bengtsson-Palme, J.; Anslan, S.; Coelho, L.P.; Harend, H.; et al. Structure and function of the global topsoil microbiome. Nature 2018, 560, 233–237. [Google Scholar] [CrossRef]
- Guo, W.J.; Ding, J.X.; Wang, Q.T.; Yin, M.Z.; Zhu, X.M.; Liu, Q.; Zhang, Z.L.; Yin, H.J. Soil fertility controls ectomycorrhizal mycelial traits in alpine forests receiving nitrogen deposition. Soil Biol. Biochem. 2021, 161, 108386. [Google Scholar] [CrossRef]
- Li, Z.P.; Wu, F.Z.; Yang, W.Q.; Xu, Z.F.; Gou, X.L.; Xiong, L.; Yin, R.; Huang, L. Soil invertase and urease activities at different periods in subalpine forest gap in western Sichuan. Acta Ecol. Sin. 2015, 35, 3919–3925. [Google Scholar] [CrossRef]
- Yang, K.J.; Xiong, L.; Yang, W.Q.; He, R.Y.; Li, Z.J.; Zhuang, L.Y.; Tan, B.; Xu, Z.F. Effects of forest gap to soil respiration in a subalpine Picea asperata plantation of western Sichuan. Chin. J. Appl. Environ. Biol. 2016, 22, 505–509. [Google Scholar]
- Yang, K.J.; Yang, W.Q.; He, R.Y.; Zhuang, L.Y.; Li, Z.J.; Nie, F.Y.; Wang, Z.; Xu, Z. Soil organic carbon mineralization characteristics of three dominant subalpine forests in western Sichuan, China. Chin. J. Appl. Environ. Biol. 2017, 23, 851–856. [Google Scholar]
- Yang, W.Q.; Feng, R.F.; Zhang, J.; Wang, K.Y. Carbon stock and biochemical properties in the organic layer and mineral soil under three subalpine forests in Western China. Acta Ecol. Sin. 2007, 27, 4157–4165. [Google Scholar] [CrossRef]
- Zhang, Z.L.; Xiao, J.; Yuan, Y.S.; Zhao, C.Z.; Liu, Q.; Yin, H.J. Mycelium- and root-derived C inputs differ in their impacts on soil organic C pools and decomposition in forests. Soil Biol. Biochem. 2018, 123, 257–265. [Google Scholar] [CrossRef]
- Wallander, H.; Ekblad, A.; Godbold, D.L.; Johnson, D.; Bahr, A.; Baldrian, P.; Björk, R.G.; Kieliszewska-Rokicka, B.; Kjøller, R.; Kraigher, H.; et al. Evaluation of methods to estimate production, biomass and turnover of ectomycorrhizal mycelium in forests soils—A review. Soil Biol. Biochem. 2013, 57, 1034–1047. [Google Scholar] [CrossRef]
- Adamczyk, B.; Sietiö, O.; Straková, P.; Prommer, J.; Wild, B.; Hagner, M.; Pihlatie, M.; Fritze, H.; Richter, A.; Heinonsalo, J.; et al. Plant roots increase both decomposition and stable organic matter formation in boreal forest soil. Nat. Commun. 2019, 10, 3982. [Google Scholar] [CrossRef]
- Robertson, G.P.; Coleman, D.C.; Bledsoe, C.S.; Sollins, P. Standard Soil Methods for Long-Term Ecological Research, 2nd ed.; Oxford University Press: New York, NY, USA, 1999; pp. 55–182. [Google Scholar]
- He, X.; Huang, Y.; Zhang, Q.; Ye, S.; Wang, S. Distribution of organic carbon fractions in soil aggregates in Chinese fir plantations with different stand ages. Ecol. Process. 2021, 10, 49. [Google Scholar] [CrossRef]
- Tan, B.; Ni, X.Y.; Wu, F.Z.; Li, J. Conventional Analysis Methods for Forest Soil Experiments, 1st ed.; Sichuan University Press: Chengdu, China, 2020; pp. 56–85. [Google Scholar]
- Jones, D.L.; Willett, V.B. Experimental evaluation of methods to quantify dissolved organic nitrogen (DON) and dissolved organic carbon (DOC) in soil. Soil Biol. Biochem. 2006, 38, 991–999. [Google Scholar] [CrossRef]
- Lu, R.K. Soil and Agrochemical Chemistry Analytical Methods, 1st ed.; China Agricultural Science and Technology Press: Beijng, China, 1999; pp. 156–162. [Google Scholar]
- Liu, Z.; Desantis, T.Z.; Andersen, G.L.; Knight, R. Accurate taxonomy assignments from 16S rRNA sequences produced by highly parallel pyrosequencers. Nucleic. Acids. Res. 2008, 36, e120. [Google Scholar] [CrossRef]
- Wang, W.; Wang, J.; Wang, Q.; Bermudez, R.S.; Yu, S.; Bu, P.; Wang, Z.; Chen, D.; Feng, J. Effects of Plantation Type and Soil Depth on Microbial Community Structure and Nutrient Cycling Function. Front. Microbiol. 2022, 13, 846468. [Google Scholar] [CrossRef]
- Chen, S.F.; Zhou, Y.Q.; Chen, Y.R.; Gu, J. fastp: An ultra-fast all-in-one FASTQ preprocessor. Bioinformatics 2018, 34, i884–i890. [Google Scholar] [CrossRef]
- Najoshi. Sabre-Barcode-Demultiplexing. Available online: https://github.com/najoshi/sabre (accessed on 10 August 2023).
- Caporaso, J.G.; Kuczynski, J.; Stombaugh, J.; Bittinger, K.; Bushman, F.D.; Costello, E.K.; Fierer, N.; Pena, A.G.; Goodrich, J.K.; Gordon, J.I.; et al. QIIME allows analysis of high-throughput community sequencing data. Nat. Methods 2010, 7, 335–336. [Google Scholar] [CrossRef]
- Bolyen, E.; Rideout, J.R.; Dillon, M.R.; Bokulich, N.A.; Abnet, C.C.; Al-Ghalith, G.A.; Alexander, H.; Alm, E.J.; Arumugam, M.; Asnicar, F.; et al. Reproducible, interactive, scalable and extensible microbiome data science using QIIME 2. Nat. Biotechnol. 2019, 37, 852–857. [Google Scholar] [CrossRef] [PubMed]
- Liu, C.; Cui, Y.M.; Li, X.Z.; Yao, M.J. Microeco: An R package for data mining in microbial community ecology. FEMS Microbiol. Ecol. 2021, 97, fiaa255. [Google Scholar] [CrossRef]
- Kassambara, A. Rstatix: Pipe-Friendly Framework for Basic Statistical Tests. Available online: https://CRAN.R-project.org/package=rstatix (accessed on 15 August 2023).
- Wickham, H. Ggplot2: Elegant Graphics for Data Analysis, 2nd ed.; Springer: New York, NY, USA, 2016; pp. 189–201. [Google Scholar]
- Wickham, H.; Averick, M.; Bryan, J.; Chang, W.; Mcgowan, L.; François, R.; Grolemund, G.; Hayes, A.; Henry, L.; Hester, J.; et al. Welcome to the tidyverse. J. Open Source Softw. 2019, 4, 1686. [Google Scholar] [CrossRef]
- Kassambara, A. ggpubr: ‘ggplot2′ Based Publication Ready Plots. Available online: https://CRAN.R-project.org/package=ggpubr (accessed on 15 August 2023).
- Bates, D.; Mächler, M.; Bolker, B.; Walker, S. Fitting linear mixed-effects models using lme4. J. Stat. Softw. 2015, 67, 1–48. [Google Scholar] [CrossRef]
- Lüdecke, D.; Ben-Shachar, M.; Patil, I.; Waggoner, P.; Makowski, D. performance: An R package for assessment, comparison and testing of statistical models. J. Open Source Softw. 2021, 6, 3139. [Google Scholar] [CrossRef]
- Hothorn, T.; Bretz, F.; Westfall, P. Simultaneous inference in general parametric models. Biom. J. 2008, 50, 346–363. [Google Scholar] [CrossRef]
- Lenth, R.V. Emmeans: Estimated Marginal Means, Aka Least-Squares Means. Available online: https://CRAN.R-project.org/package=emmeans (accessed on 15 August 2023).
- Oksanen, J.; Simpson, G.L.; Blanchet, A.F.G.; Kindt, A.R.; Legendre, A.P.; Minchin, A.P.R.; O’Hara, A.R.B.; Solymos, A.P.; Stevens, A.M.H.H.; Szoecs, A.E.; et al. Vegan: Community Ecology Package. R Package Version 2.6-4. Available online: https://CRAN.R-project.org/package=vegan (accessed on 25 March 2024).
- Nilsson, R.H.; Larsson, K.; Taylor, A.F.S.; Bengtsson-Palme, J.; Jeppesen, T.S.; Schigel, D.; Kennedy, P.; Picard, K.; Glöckner, F.O.; Tedersoo, L.; et al. The UNITE database for molecular identification of fungi: Handling dark taxa and parallel taxonomic classifications. Nucleic. Acids. Res. 2019, 47, D259–D264. [Google Scholar] [CrossRef] [PubMed]
- Revelle, W. psych: Procedures for Psychological, Psychometric, and Personality Research. Northwestern University, Evanston, Illinois. R Package Version 2.4.6. Available online: https://CRAN.R-project.org/package=psych (accessed on 10 June 2024).
- Lai, J.S.; Zou, Y.; Zhang, J.L.; Peres Neto, P.R. Generalizing hierarchical and variation partitioning in multiple regression and canonical analyses using the rdacca.hp R package. Methods Ecol. Evol. 2022, 13, 782–788. [Google Scholar] [CrossRef]
- Cui, Y.X.; Peng, S.S.; Delgado Baquerizo, M.; Rillig, M.C.; Terrer, C.; Zhu, B.; Jing, X.; Chen, J.; Li, J.; Feng, J.; et al. Microbial communities in terrestrial surface soils are not widely limited by carbon. Glob. Change Biol. 2023, 29, 4412–4429. [Google Scholar] [CrossRef]
- Talbot, J.M.; Allison, S.D.; Treseder, K.K. Decomposers in disguise: Mycorrhizal fungi as regulators of soil C dynamics in ecosystems under global change. Funct. Ecol. 2008, 22, 955–963. [Google Scholar] [CrossRef]
- Johnson, N.; Gehring, C.; Jansa, J. Mycorrhizal Mediation of Soil: Fertility, Structure, and Carbon Storage, 1st ed.; Elsevier: Amsterdam, The Netherlands, 2017; pp. 441–460. [Google Scholar]
- Cui, Y.; Moorhead, D.L.; Peng, S.; Sinsabaugh, R.L. New insights into the patterns of ecoenzymatic stoichiometry in soil and sediment. Soil Biol. Biochem. 2023, 177, 108910. [Google Scholar] [CrossRef]
- Zhang, L.; Ren, Y.Z.; Yang, K.J.; Li, Z.J.; Tan, B.; Liu, Y.; Li, H.; You, C.; Liu, S.; Wang, L.; et al. Immediate and legacy effects of snow exclusion on soil fungal diversity and community composition. For. Ecosyst. 2021, 8, 22. [Google Scholar] [CrossRef]
- Arunrat, N.; Sansupa, C.; Sereenonchai, S.; Hatano, R. Short-term response of soil bacterial and fungal communities to fire in rotational shifting cultivation, northern Thailand. Appl. Soil Ecol. 2024, 196, 105303. [Google Scholar] [CrossRef]
- de Boer, W.; Folman, L.B.; Summerbell, R.C.; Boddy, L. Living in a fungal world: Impact of fungi on soil bacterial niche development. FEMS Microbiol. Rev. 2005, 29, 795–811. [Google Scholar] [CrossRef]
- Brockett, B.F.T.; Prescott, C.E.; Grayston, S.J. Soil moisture is the major factor influencing microbial community structure and enzyme activities across seven biogeoclimatic zones in western Canada. Soil Biol. Biochem. 2012, 44, 9–20. [Google Scholar] [CrossRef]
- Philippot, L.; Chenu, C.; Kappler, A.; Rillig, M.C.; Fierer, N. The interplay between microbial communities and soil properties. Nat. Rev. Microbiol. 2024, 22, 226–239. [Google Scholar] [CrossRef]
- Shah, F.; Nicolas, C.; Bentzer, J.; Ellstrom, M.; Smits, M.; Rineau, F.; Canback, B.; Floudas, D.; Carleer, R.; Lackner, G.; et al. Ectomycorrhizal fungi decompose soil organic matter using oxidative mechanisms adapted from saprotrophic ancestors. New Phytol. 2016, 209, 1705–1719. [Google Scholar] [CrossRef]
- Lindahl, B.D.; Tunlid, A. Ectomycorrhizal fungi-potential organic matter decomposers, yet not saprotrophs. New Phytol. 2015, 205, 1443–1447. [Google Scholar] [CrossRef]
- Buée, M.; Courty, P.E.; Mignot, D.; Garbaye, J. Soil niche effect on species diversity and catabolic activities in an ectomycorrhizal fungal community. Soil Biol. Biochem. 2007, 39, 1947–1955. [Google Scholar] [CrossRef]
- Kohler, A.; Kuo, A.; Nagy, L.G.; Morin, E.; Barry, K.W.; Buscot, F.; Canbäck, B.; Choi, C.; Cichocki, N.; Clum, A.; et al. Convergent losses of decay mechanisms and rapid turnover of symbiosis genes in mycorrhizal mutualists. Nat. Genet. 2015, 47, 410–415. [Google Scholar] [CrossRef]
- Lindahl, B.D.; Kyaschenko, J.; Varenius, K.; Clemmensen, K.E.; Dahlberg, A.; Karltun, E.; Stendahl, J. A group of ectomycorrhizal fungi restricts organic matter accumulation in boreal forest. Ecol. Lett. 2021, 24, 1341−1351. [Google Scholar] [CrossRef] [PubMed]
- Phillips, L.A.; Ward, V.; Jones, M.D. Ectomycorrhizal fungi contribute to soil organic matter cycling in sub-boreal forests. Isme J. 2014, 8, 699–713. [Google Scholar] [CrossRef] [PubMed]
- Allison, S.D.; Lebauer, D.S.; Ofrecio, M.R.; Reyes, R.; Ta, A.; Tran, T.M. Low levels of nitrogen addition stimulate decomposition by boreal forest fungi. Soil Biol. Biochem. 2009, 41, 293–302. [Google Scholar] [CrossRef]
- Tokumasu, S. Fungal successions on pine needles fallen at different seasons: The succession of surface colonizers. Mycoscience 1998, 39, 417–423. [Google Scholar] [CrossRef]
- Yuan, Y.; Yin, Y.; Adamczyk, B.; Liang, D.; Gu, D.; Xia, G.; Zhang, J.; Zhang, Z. Nitrogen addition alters the relative importance of roots and mycorrhizal hyphae in regulating soil organic carbon accumulation in a karst forest. Soil Biol. Biochem. 2024, 195, 109471. [Google Scholar] [CrossRef]
- Zeng, Q.; Man, X.; Lebreton, A.; Dai, Y.; Martin, F.M. The bacterial and fungal microbiomes of ectomycorrhizal roots from stone oaks and Yunnan pines in the subtropical forests of the Ailao Mountains of Yunnan. Front. Microbiol. 2022, 13, 916337. [Google Scholar] [CrossRef]
- Hagenbo, A.; Alday, J.G.; Martínez De Aragón, J.; Castaño, C.; De-Miguel, S.; Bonet, J.A. Variations in biomass of fungal guilds are primarily driven by factors related to soil conditions in Mediterranean Pinus pinaster forests. Biol. Fertil. Soils 2022, 58, 487–501. [Google Scholar] [CrossRef]
- Nylund, J.; Wallander, H. Ergosterol analysis as a means of quantifying mycorrhizal biomass. Methods Microbiol. 1992, 24, 77–88. [Google Scholar] [CrossRef]







Disclaimer/Publisher’s Note: The statements, opinions and data contained in all publications are solely those of the individual author(s) and contributor(s) and not of MDPI and/or the editor(s). MDPI and/or the editor(s) disclaim responsibility for any injury to people or property resulting from any ideas, methods, instructions or products referred to in the content. |
© 2024 by the authors. Licensee MDPI, Basel, Switzerland. This article is an open access article distributed under the terms and conditions of the Creative Commons Attribution (CC BY) license (https://creativecommons.org/licenses/by/4.0/).
Share and Cite
Shen, Y.; Xu, L.; You, C.; Zhang, L.; Li, H.; Wang, L.; Liu, S.; Xu, H.; Tan, B.; Xu, Z. Effects of Ectomycorrhizae and Hyphae on Soil Fungal Community Characteristics Across Forest Gap Positions. Forests 2024, 15, 2131. https://doi.org/10.3390/f15122131
Shen Y, Xu L, You C, Zhang L, Li H, Wang L, Liu S, Xu H, Tan B, Xu Z. Effects of Ectomycorrhizae and Hyphae on Soil Fungal Community Characteristics Across Forest Gap Positions. Forests. 2024; 15(12):2131. https://doi.org/10.3390/f15122131
Chicago/Turabian StyleShen, Ya, Lin Xu, Chengming You, Li Zhang, Han Li, Lixia Wang, Sining Liu, Hongwei Xu, Bo Tan, and Zhenfeng Xu. 2024. "Effects of Ectomycorrhizae and Hyphae on Soil Fungal Community Characteristics Across Forest Gap Positions" Forests 15, no. 12: 2131. https://doi.org/10.3390/f15122131
APA StyleShen, Y., Xu, L., You, C., Zhang, L., Li, H., Wang, L., Liu, S., Xu, H., Tan, B., & Xu, Z. (2024). Effects of Ectomycorrhizae and Hyphae on Soil Fungal Community Characteristics Across Forest Gap Positions. Forests, 15(12), 2131. https://doi.org/10.3390/f15122131

