Spatial and Temporal Variation in Vegetation Response to Runoff in the Ebinur Lake Basin
Abstract
:1. Introduction
2. Overview of the Study Area
3. Data and Methods
3.1. Data Sources
3.2. Data Analysis
3.2.1. InVEST Water Production Model
3.2.2. Correlation Analysis
4. Results
4.1. Calibration and Validation of InVEST
4.2. Spatial Patterns of Interannual Water Content and NDVI
4.3. Interannual Water Content and NDVI Trend Analysis
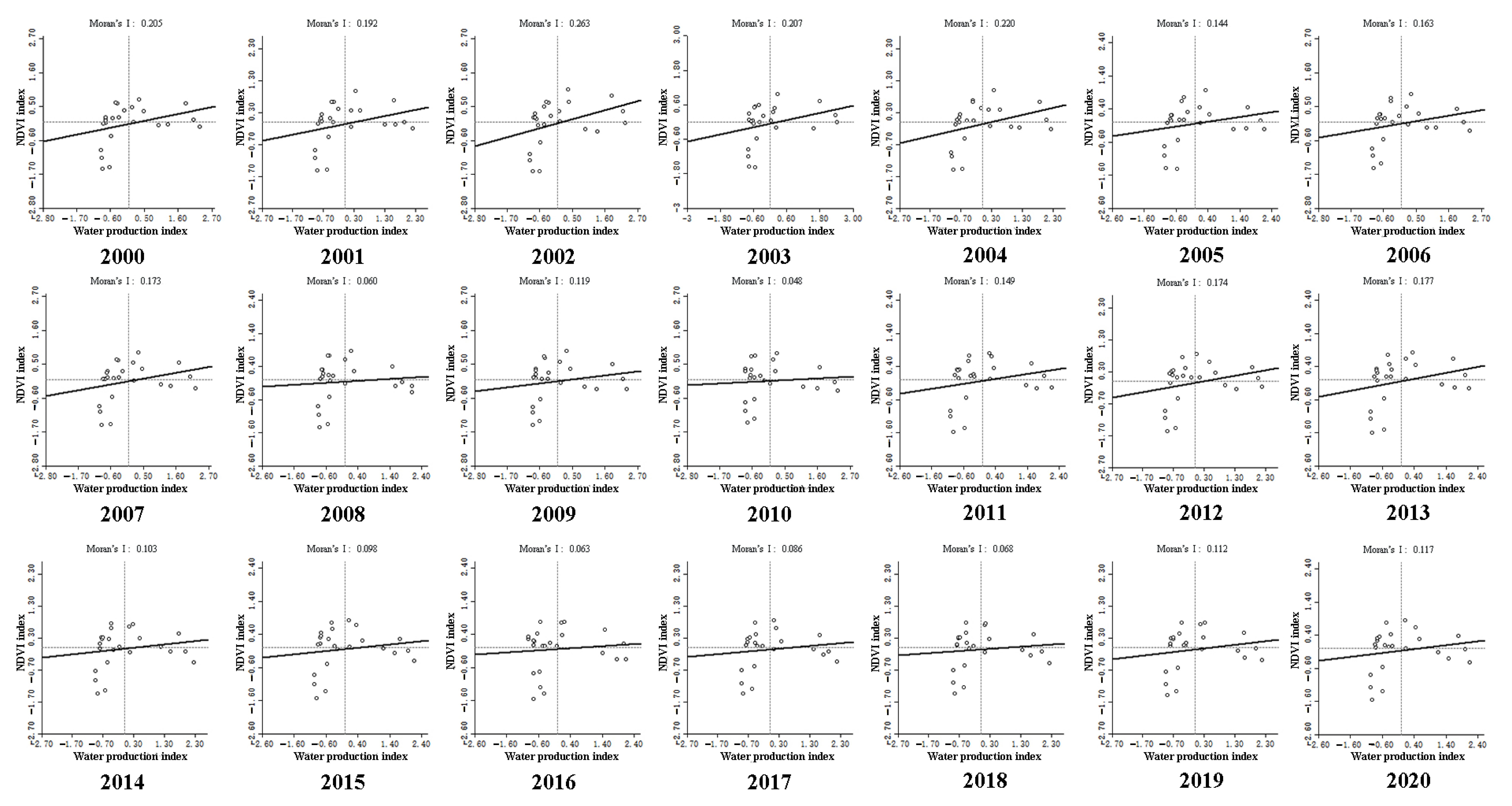
4.4. Interannual Water Yield and NDVI Autocorrelation Analysis Based on Sub-Basins
4.5. Interannual Water Yield and NDVI Autocorrelation Analysis Based on Vegetation Type
5. Discussion
5.1. Factors Potentially Affecting Changes in Vegetation and Runoff
5.2. Response of Vegetation Change to Runoff
6. Conclusions
Author Contributions
Funding
Data Availability Statement
Conflicts of Interest
References
- Cui, L.; Shi, J. Temporal and Spatial Response of Vegetation NDVI to Temperature and Precipitation in Eastern China. J. Geogr. Sci. 2010, 20, 163–176. [Google Scholar] [CrossRef]
- Feng, L.; Guo, M.; Wang, W.; Shi, Q.; Guo, W.; Lou, Y.; Zhu, Y.; Yang, H.; Xu, Y. Evaluation of the Effects of Long-Term Natural and Artificial Restoration on Vegetation Characteristics, Soil Properties and Their Coupling Coordinations. Sci. Total Environ. 2023, 884, 163828. [Google Scholar] [CrossRef] [PubMed]
- Chen, Q.; Timmermans, J.; Wen, W.; van Bodegom, P.M. Ecosystems Threatened by Intensified Drought with Divergent Vulnerability. Remote Sens. Environ. 2023, 289, 113512. [Google Scholar] [CrossRef]
- Dai, A.; Zhao, T. Uncertainties in Historical Changes and Future Projections of Drought. Part I: Estimates of Historical Drought Changes. Clim. Chang. 2017, 144, 519–533. [Google Scholar] [CrossRef]
- Gray, L.C.; Zhao, L.; Stillwell, A.S. Impacts of Climate Change on Global Total and Urban Runoff. J. Hydrol. 2023, 620, 129352. [Google Scholar] [CrossRef]
- He, S.; Chen, K.; Liu, Z.; Deng, L. Exploring the Impacts of Climate Change and Human Activities on Future Runoff Variations at the Seasonal Scale. J. Hydrol. 2023, 619, 129382. [Google Scholar] [CrossRef]
- Zhao, D.; Xiong, D.; Zhang, B.; He, K.; Wu, H.; Zhang, W.; Lu, X. Long-Term Response of Runoff and Sediment Load to Spatiotemporally Varied Rainfall in the Lhasa River Basin, Tibetan Plateau. J. Hydrol. 2023, 618, 129154. [Google Scholar] [CrossRef]
- Zhu, S.; Li, Y.; Wei, S.; Wang, C.; Zhang, X.; Jin, X.; Zhou, X.; Shi, X. The Impact of Urban Vegetation Morphology on Urban Building Energy Consumption during Summer and Winter Seasons in Nanjing, China. Landsc. Urban Plan. 2022, 228, 104576. [Google Scholar] [CrossRef]
- Lara, C.; Cazelles, B.; Saldías, G.S.; Flores, R.P.; Paredes, Á.L.; Broitman, B.R. Coupled Biospheric Synchrony of the Coastal Temperate Ecosystem in Northern Patagonia: A Remote Sensing Analysis. Remote Sens. 2019, 11, 2092. [Google Scholar] [CrossRef]
- Xu, H.-L.; Ye, M.; Li, J.-M. Changes in Groundwater Levels and the Response of Natural Vegetation to Transfer of Water to the Lower Reaches of the Tarim River. J. Environ. Sci. 2007, 19, 1199–1207. [Google Scholar] [CrossRef]
- Yang, X.; Long, Y.; Sarkar, B.; Li, Y.; Lü, G.; Ali, A.; Yang, J.; Cao, Y.E. Influence of Soil Microorganisms and Physicochemical Properties on Plant Diversity in an Arid Desert of Western China. J. For. Res. 2021, 32, 2645–2659. [Google Scholar] [CrossRef]
- Chen, J.; Chen, Y.; Wang, K.; Wang, G.; Wu, J.; Zhang, Y. Differences in Soil Water Storage, Consumption, and Use Efficiency of Typical Vegetation Types and Their Responses to Precipitation in the Loess Plateau, China. Sci. Total Environ. 2023, 869, 161710. [Google Scholar] [CrossRef] [PubMed]
- Jiang, J.; Zhou, T. Agricultural Drought over Water-Scarce Central Asia Aggravated by Internal Climate Variability. Nat. Geosci. 2023, 16, 154–161. [Google Scholar] [CrossRef]
- Guo, R.; Deser, C.; Terray, L.; Lehner, F. Human Influence on Winter Precipitation Trends (1921–2015) over North America and Eurasia Revealed by Dynamical Adjustment. Geophys. Res. Lett. 2019, 46, 3426–3434. [Google Scholar] [CrossRef]
- Samavati, A.; Babamiri, O.; Rezai, Y.; Heidarimozaffar, M. Investigating the Effects of Climate Change on Future Hydrological Drought in Mountainous Basins Using SWAT Model Based on CMIP5 Model. Stoch. Environ. Res. Risk Assess. 2023, 37, 849–875. [Google Scholar] [CrossRef]
- Sorg, A.; Bolch, T.; Stoffel, M.; Solomina, O.; Beniston, M. Climate Change Impacts on Glaciers and Runoff in Tien Shan (Central Asia). Nat. Clim. Chang. 2012, 2, 725–731. [Google Scholar] [CrossRef]
- Tran, L.T.; O’Neill, R.V. Detecting the Effects of Land Use/Land Cover on Mean Annual Streamflow in the Upper Mississippi River Basin, USA. J. Hydrol. 2013, 499, 82–90. [Google Scholar] [CrossRef]
- Kuriqi, A.; Pinheiro, A.N.; Sordo-Ward, A.; Garrote, L. Influence of Hydrologically Based Environmental Flow Methods on Flow Alteration and Energy Production in a Run-of-River Hydropower Plant. J. Clean. Prod. 2019, 232, 1028–1042. [Google Scholar] [CrossRef]
- Shi, P.; Li, P.; Li, Z.; Sun, J.; Wang, D.; Min, Z. Effects of Grass Vegetation Coverage and Position on Runoff and Sediment Yields on the Slope of Loess Plateau, China. Agric. Water Manag. 2022, 259, 107231. [Google Scholar] [CrossRef]
- Abbaszadeh, M.; Bazrafshan, O.; Mahdavi, R.; Sardooi, E.R.; Jamshidi, S. Modeling Future Hydrological Characteristics Based on Land Use/Land Cover and Climate Changes Using the SWAT Model. Water Resour. Manag. 2023, 37, 4177–4194. [Google Scholar] [CrossRef]
- Yu, Y.; Zhu, R.; Ma, D.; Liu, D.; Liu, Y.; Gao, Z.; Yin, M.; Bandala, E.R.; Rodrigo-Comino, J. Multiple Surface Runoff and Soil Loss Responses by Sandstone Morphologies to Land-Use and Precipitation Regimes Changes in the Loess Plateau, China. Catena 2022, 217, 106477. [Google Scholar] [CrossRef]
- Wang, B.; Liu, J.; Li, Z.; Morreale, S.J.; Schneider, R.L.; Xu, D.; Lin, X. The Contributions of Root Morphological Characteristics and Soil Property to Soil Infiltration in a Reseeded Desert Steppe. Catena 2023, 225, 107020. [Google Scholar] [CrossRef]
- Pessacg, N.; Flaherty, S.; Brandizi, L.; Solman, S.; Pascual, M. Getting Water Right: A Case Study in Water Yield Modelling Based on Precipitation Data. Sci. Total Environ. 2015, 537, 225–234. [Google Scholar] [CrossRef] [PubMed]
- Sun, Q.; Sun, J.; Baidurela, A.; Li, L.; Hu, X.; Song, T. Ecological Landscape Pattern Changes and Security from 1990 to 2021 in Ebinur Lake Wetland Reserve, China. Ecol. Indic. 2022, 145, 109648. [Google Scholar] [CrossRef]
- Yang, X.D.; Ali, A.; Xu, Y.L.; Jiang, L.M.; Lv, G.H. Soil Moisture and Salinity as Main Drivers of Soil Respiration across Natural Xeromorphic Vegetation and Agricultural Lands in an Arid Desert Region. Catena 2019, 177, 126–133. [Google Scholar] [CrossRef]
- Gbetkom, P.G.; Cretaux, J.F.; Tchilibou, M.; Carret, A.; Delhoume, M.; Bergé-Nguyen, M.; Sylvestre, F. Lake Chad Vegetation Cover and Surface Water Variations in Response to Rainfall Fluctuations under Recent Climate Conditions (2000–2020). Sci. Total Environ. 2023, 857, 159302. [Google Scholar] [CrossRef]
- Wei, Q.; Abudureheman, M.; Halike, A.; Yao, K.; Yao, L.; Tang, H.; Tuheti, B. Temporal and Spatial Variation Analysis of Habitat Quality on the PLUS-InVEST Model for Ebinur Lake Basin, China. Ecol. Indic. 2022, 145, 109632. [Google Scholar] [CrossRef]
- Yao, C.; Wang, Y.; Chen, Y.; Wang, L.; Yao, J.; Xia, B. Meteorological Driving Factors Effecting the Surface Area of Ebinur Lake and Determining Associated Trends and Shifts. Front. Environ. Sci. 2022, 10, 994260. [Google Scholar] [CrossRef]
- Wang, X.; Zhang, F.; Kung, H.-T.; Johnson, V.C. New Methods for Improving the Remote Sensing Estimation of Soil Organic Matter Content (SOMC) in the Ebinur Lake Wetland National Nature Reserve (ELWNNR) in Northwest China. Remote Sens. Environ. 2018, 218, 104–118. [Google Scholar] [CrossRef]
- Zeng, H.; Wu, B.; Zhu, W.; Zhang, N. A Trade-off Method between Environment Restoration and Human Water Consumption: A Case Study in Ebinur Lake. J. Clean. Prod. 2019, 217, 732–741. [Google Scholar] [CrossRef]
- Wen, B.; Duan, G.; Lu, J.; Zhou, R.; Ren, H.; Wen, Z. Response Relationship between Vegetation Structure and Runoff-Sediment Yield in the Hilly and Gully Area of the Loess Plateau, China. Catena 2023, 227, 107107. [Google Scholar] [CrossRef]
- Gong, X.; Lü, G. Species Diversity and Dominant Species’ Niches of Eremophyte Communities of the Tugai Forest in the Ebinur Basin of Xinjiang, China. Biodivers. Sci. 2017, 25, 34–45. [Google Scholar] [CrossRef]
- Levia, D.F.; Germer, S. A Review of Stemflow Generation Dynamics and Stemflow-Environment Interactions in Forests and Shrublands. Rev. Geophys. 2015, 53, 673–714. [Google Scholar] [CrossRef]
- Wang, Y.; Ye, A.; Peng, D.; Miao, C.; Di, Z.; Gong, W. Spatiotemporal Variations in Water Conservation Function of the Tibetan Plateau under Climate Change Based on InVEST Model. J. Hydrol. Reg. Stud. 2022, 41, 101064. [Google Scholar] [CrossRef]
- Li, M.; Liang, D.; Xia, J.; Song, J.; Cheng, D.; Wu, J.; Cao, Y.; Sun, H.; Li, Q. Evaluation of Water Conservation Function of Danjiang River Basin in Qinling Mountains, China Based on InVEST Model. J. Environ. Manag. 2021, 286, 112212. [Google Scholar] [CrossRef]
- Peng, Z.; Ding, X.; Liu, W.Z.; Li, Z. 1 km monthly temperature and precipitation dataset for China from 1901 to 2017. Earth Syst. Sci. Data 2019, 11, 1931–1946. [Google Scholar] [CrossRef]
- Yang, J.; Huang, X. The 30m Annual Land Cover Dataset and Its Dynamics in China from 1990 to 2019. Earth Syst. Sci. Data 2021, 13, 3907–3925. [Google Scholar] [CrossRef]
- He, Y. Pan-TPE Soil Map Based on Harmonized World Soil Database (V1.2); National Tibetan Plateau Data Center: Lanzhou, China, 2019. [Google Scholar]
- Sharp, R.; Douglass, J.; Wolny, S.; Arkema, K.; Bernhardt, J.; Bierbower, W.; Chaumont, N.; Denu, D.; Fisher, D.; Glowinski, K.; et al. VEST User’s Guide; The Natural Capital Project; Stanford University; University of Minnesota; The Nature Conservancy, and World Wildlife Fund: Gland, Switzerland, 2020; Available online: https://www.researchgate.net/publication/323832082_InVEST_User’s_Guide (accessed on 16 April 2023). [CrossRef]
- Fang, Q.; Xin, X.; Guan, T.; Wang, G.; Zhang, S.; Ma, M. Vegetation Patterns Governing the Competitive Relationship between Runoff and Evapotranspiration Using a Novel Water Balance Model at a Semi-Arid Watershed. Environ. Res. 2022, 214, 113976. [Google Scholar] [CrossRef]
- Ye, Q.; Li, Z.; Duan, L.; Xu, X. Science of the Total Environment Decoupling the in Fl Uence of Vegetation and Climate on Intra-Annual Variability in Runoff in Karst Watersheds. Sci. Total Environ. 2022, 824, 153874. [Google Scholar] [CrossRef]
- Luo, Y.; Yang, Y.; Yang, D.; Zhang, S. Quantifying the Impact of Vegetation Changes on Global Terrestrial Runoff Using the Budyko Framework. J. Hydrol. 2020, 590, 125389. [Google Scholar] [CrossRef]
- Zhou, W. Distribution of Available Soil Water Capacity in China. J. Geogr. Sci. 2005, 15, 3. [Google Scholar] [CrossRef]
- Zhuang, Q.; Zhou, Z.; Liu, S.; Wright, D.B.; Tavares Araruna Júnior, J.; Makhinov, A.N.; Makhinova, A.F. Bivariate Rainfall Frequency Analysis in an Urban Watershed: Combining Copula Theory with Stochastic Storm Transposition. J. Hydrol. 2022, 615, 128648. [Google Scholar] [CrossRef]
- Fernandes, R.; Leblanc, S.G. Parametric (Modified Least Squares) and Non-Parametric (Theil–Sen) Linear Regressions for Predicting Biophysical Parameters in the Presence of Measurement Errors. Remote Sens. Environ. 2005, 95, 303–316. [Google Scholar] [CrossRef]
- Kim, J.K.; Onda, Y.; Kim, M.S.; Yang, D.Y. Plot-Scale Study of Surface Runoff on Well-Covered Forest Floors under Different Canopy Species. Quat. Int. 2014, 344, 75–85. [Google Scholar] [CrossRef]
- Wang, L.; Li, Z.; Wang, F.; Li, H.; Wang, P. Glacier Changes from 1964 to 2004 in the Jinghe River Basin, Tien Shan. Cold Reg. Sci. Technol. 2014, 102, 78–83. [Google Scholar] [CrossRef]
- Yao, J.; Hu, W.; Chen, Y.; Huo, W.; Zhao, Y.; Mao, W.; Yang, Q. Hydro-Climatic Changes and Their Impacts on Vegetation in Xinjiang, Central Asia. Sci. Total Environ. 2019, 660, 724–732. [Google Scholar] [CrossRef] [PubMed]
- Wei, X.; He, W.; Zhou, Y.; Ju, W.; Xiao, J.; Li, X.; Liu, Y.; Xu, S.; Bi, W.; Zhang, X.; et al. Global Assessment of Lagged and Cumulative Effects of Drought on Grassland Gross Primary Production. Ecol. Indic. 2022, 136, 108646. [Google Scholar] [CrossRef]
- Lou, Y.; Wang, W.; Guo, M.; Guo, W.; Kang, H.; Feng, L.; Zhu, Y.; Yang, H. Vegetation Affects Gully Headcut Erosion Processes by Regulating Runoff Hydrodynamics in the Loess Tableland Region. J. Hydrol. 2023, 616, 128769. [Google Scholar] [CrossRef]
- Zhao, Y.; Miao, Y.; Li, Y.; Fang, Y.; Zhao, J.; Wang, X.; An, C. Non-Linear Response of Mid-Latitude Asian Dryland Vegetation to Holocene Climate Fluctuations. Catena 2022, 213, 106212. [Google Scholar] [CrossRef]
- Crockford, R.H.; Richardson, D.P. Partitioning of Rainfall in a Eucalypt Forest and Pine Plantation in Southeastern Australia: IV the Relationship of Interception and Canopy Storage Capacity, the Interception of These Forests, and the Effect on Interception of Thinning the Pine Plantation. Hydrol. Process. 1990, 4, 169–188. [Google Scholar] [CrossRef]
- Efon, E.; Ngongang, R.D.; Meukaleuni, C.; Wandjie, B.B.S.; Zebaze, S.; Lenouo, A.; Valipour, M. Monthly, Seasonal, and Annual Variations of Precipitation and Runoff Over West and Central Africa Using Remote Sensing and Climate Reanalysis. Earth Syst. Environ. 2023, 7, 67–82. [Google Scholar] [CrossRef]
- Zhang, P.; Cai, Y.; He, Y.; Xie, Y.; Zhang, X.; Li, Z. Changes of Vegetational Cover and the Induced Impacts on Hydrological Processes under Climate Change for a High-Diversity Watershed of South China. J. Environ. Manag. 2022, 322, 115963. [Google Scholar] [CrossRef] [PubMed]
- Long, Y.; Yang, X.; Cao, Y.; Lv, G.; Li, Y.; Pan, Y.; Yan, K.; Liu, Y. Relationship between Soil Fungi and Seedling Density in the Vicinity of Adult Conspecifics in an Arid Desert Forest. Forests 2021, 12, 92. [Google Scholar] [CrossRef]
- Pokhrel, Y.; Felfelani, F.; Satoh, Y.; Boulange, J.; Burek, P.; Gädeke, A.; Gerten, D.; Gosling, S.N.; Grillakis, M.; Gudmundsson, L.; et al. Global Terrestrial Water Storage and Drought Severity under Climate Change. Nat. Clim. Chang. 2021, 11, 226–233. [Google Scholar] [CrossRef]
- Appels, W.M.; Bogaart, P.W.; van der Zee, S.E.A.T.M. Influence of Spatial Variations of Microtopography and Infiltration on Surface Runoff and Field Scale Hydrological Connectivity. Adv. Water Resour. 2011, 34, 303–313. [Google Scholar] [CrossRef]
- Berdugo, M.; Gaitan, J.J.; Delgado-Baquerizo, M.; Crowther, T.W.; Dakos, V. Prevalence and Drivers of Abrupt Vegetation Shifts in Global Drylands. Proc. Natl. Acad. Sci. USA 2022, 119, e2123393119. [Google Scholar] [CrossRef] [PubMed]
- Li, S.; Jing, H.; Yuan, Q.; Yue, L.; Li, T. Investigating the Spatio-Temporal Variation of Vegetation Water Content in the Western United States by Blending GNSS-IR, AMSR-E, and AMSR2 Observables Using Machine Learning Methods. Sci. Remote Sens. 2022, 6, 100061. [Google Scholar] [CrossRef]
- Yang, G.; Li, F.; Chen, D.; He, X.; Xue, L.; Long, A. Assessment of Changes in Oasis Scale and Water Management in the Arid Manas River Basin, North Western China. Sci. Total Environ. 2019, 691, 506–515. [Google Scholar] [CrossRef]
- Yang, X.D.; Anwar, E.; Zhou, J.; He, D.; Gao, Y.C.; Lv, G.H.; Cao, Y.E. Higher Association and Integration among Functional Traits in Small Tree than Shrub in Resisting Drought Stress in an Arid Desert. Environ. Exp. Bot. 2022, 201, 104993. [Google Scholar] [CrossRef]












| Type | Data | Description | Processing and Usage | Source |
|---|---|---|---|---|
| Hydrological | Surface water volume | Reflects the total amount of surface water in the region during the year | Used to calibrate data and calculate water production modulus | Bortala Autonomous Prefecture Hydrological Bulletin 2000–2020 |
| Remote sensing | Precipitation | Monthly precipitation data with a spatial scale of 1 km resolution | Exploring the spatial distribution differences of precipitation for calibrating InVEST | National Tibetan Plateau Data Center (http://data.tpdc.ac.cn (accessed on 18 April 2023)) [36] |
| Potential evapotranspiration | Monthly potential evapotranspiration dataset with a spatial scale of 1 km | Used for calibrating InVEST | National Tibetan Plateau Data Center (http://data.tpdc.ac.cn (accessed on 18 April 2023)) [36] | |
| Land use | Landsat images generated through manual visual interpretation | Used for calibrating InVEST | Google Earth Engine Remote Sensing Cloud Computing Platform Download Land Use Classification Maps for Each Year from 2000 to 2020 [37] | |
| DEM | Digital elevation model with a resolution of 30 m | Calculating watershed boundaries and describing terrain undulation data for calibrating InVEST | National Tibetan Plateau Data Center (http://data.tpdc.ac.cn (accessed on 18 April 2023)) [36] | |
| NDVI | Maximum NDVI value synthesized over 16 days based on Terra satellite global vegetation index at 250 m | Analyzing the spatiotemporal changes in NDVI and discussing the relationship between runoff and vegetation cover | Google Earth Engine Remote Sensing Cloud Computing Platform Calculate NDVI for Each Year from 2000 to 2020 | |
| Soil | Soil data | Contains all attributes of soil (HWSD) Dataset (v1.2) | Calculating soil water content for calibrating InVEST | National Tibetan Plateau Data Center (http://data.tpdc.ac.cn (accessed on 18 April 2023)) [38] |
| Other data | Biophysical table | Reflects the attributes of soil coverage and LULC, including LULC encoding, plant evapotranspiration coefficient (Kc), and root depth | Used for calibrating InVEST | Literature [25] and InVEST user guide [39] |
| Name | Value | ||||||||||
|---|---|---|---|---|---|---|---|---|---|---|---|
| Year | 2020 | 2019 | 2018 | 2017 | 2016 | 2015 | 2014 | 2013 | 2012 | 2011 | 2010 |
| Z | 1 | 1.5 | 1 | 1 | 11 | 1.7 | 1 | 1.6 | 1 | 1.7 | 11 |
| Year | 2009 | 2008 | 2007 | 2006 | 2005 | 2004 | 2003 | 2002 | 2001 | 2000 | |
| Z | 2 | 1 | 1.1 | 1 | 1.2 | 1 | 1.5 | 1.6 | 1 | 1 | |
Disclaimer/Publisher’s Note: The statements, opinions and data contained in all publications are solely those of the individual author(s) and contributor(s) and not of MDPI and/or the editor(s). MDPI and/or the editor(s) disclaim responsibility for any injury to people or property resulting from any ideas, methods, instructions or products referred to in the content. |
© 2023 by the authors. Licensee MDPI, Basel, Switzerland. This article is an open access article distributed under the terms and conditions of the Creative Commons Attribution (CC BY) license (https://creativecommons.org/licenses/by/4.0/).
Share and Cite
Yao, C.; Wang, Y.; Yang, G.; Xia, B.; Tong, Y.; Yao, J.; Chen, H. Spatial and Temporal Variation in Vegetation Response to Runoff in the Ebinur Lake Basin. Forests 2023, 14, 1699. https://doi.org/10.3390/f14091699
Yao C, Wang Y, Yang G, Xia B, Tong Y, Yao J, Chen H. Spatial and Temporal Variation in Vegetation Response to Runoff in the Ebinur Lake Basin. Forests. 2023; 14(9):1699. https://doi.org/10.3390/f14091699
Chicago/Turabian StyleYao, Chenglong, Yuejian Wang, Guang Yang, Baofei Xia, Yongpeng Tong, Junqiang Yao, and Huanhuan Chen. 2023. "Spatial and Temporal Variation in Vegetation Response to Runoff in the Ebinur Lake Basin" Forests 14, no. 9: 1699. https://doi.org/10.3390/f14091699
APA StyleYao, C., Wang, Y., Yang, G., Xia, B., Tong, Y., Yao, J., & Chen, H. (2023). Spatial and Temporal Variation in Vegetation Response to Runoff in the Ebinur Lake Basin. Forests, 14(9), 1699. https://doi.org/10.3390/f14091699

