The Influence of Intraspecific Trait Variation on Plant Functional Diversity and Community Assembly Processes in an Arid Desert Region of Northwest China
Abstract
1. Introduction
2. Materials and Methods
2.1. Study Area
2.2. Sample Layout
2.3. Collection and Measurement of Vegetation and Soil Samples
2.4. Statistical Analysis
2.4.1. Functional Trait Variation and Relative Contribution
2.4.2. Phylogenetic Signal of Functional Traits
2.4.3. Calculation of Functional α- and β-Diversity
- (1)
- FRic: Functional richness measures how many Ecological niche spaces are occupied by existing species in the community.
- (2)
- FEve: The functional evenness index measures the distribution pattern of species traits in the occupied trait space.
- (3)
- FDiv: Functional divergence is the degree of aggregation of species along the trait axis.
- (4)
- FDis: Functional dispersion index measures the maximum statistical dispersion of the multi-degree distribution of community functional traits in the trait space.
- (5)
- RaoQ: Rao uses the quadratic entropy equation to measure the differences in functional traits among different species.
2.4.4. Impact of Trait Variation on Community Assembly Processes
- (1)
- Obtaining spatial factors
- (2)
- Distance-Based Redundancy Analysis (dbRDA) and Variance Decomposition
3. Results and Analysis
3.1. Sources of Variation in Functional Traits
3.2. Effect of Trait Variation on Functional Diversity
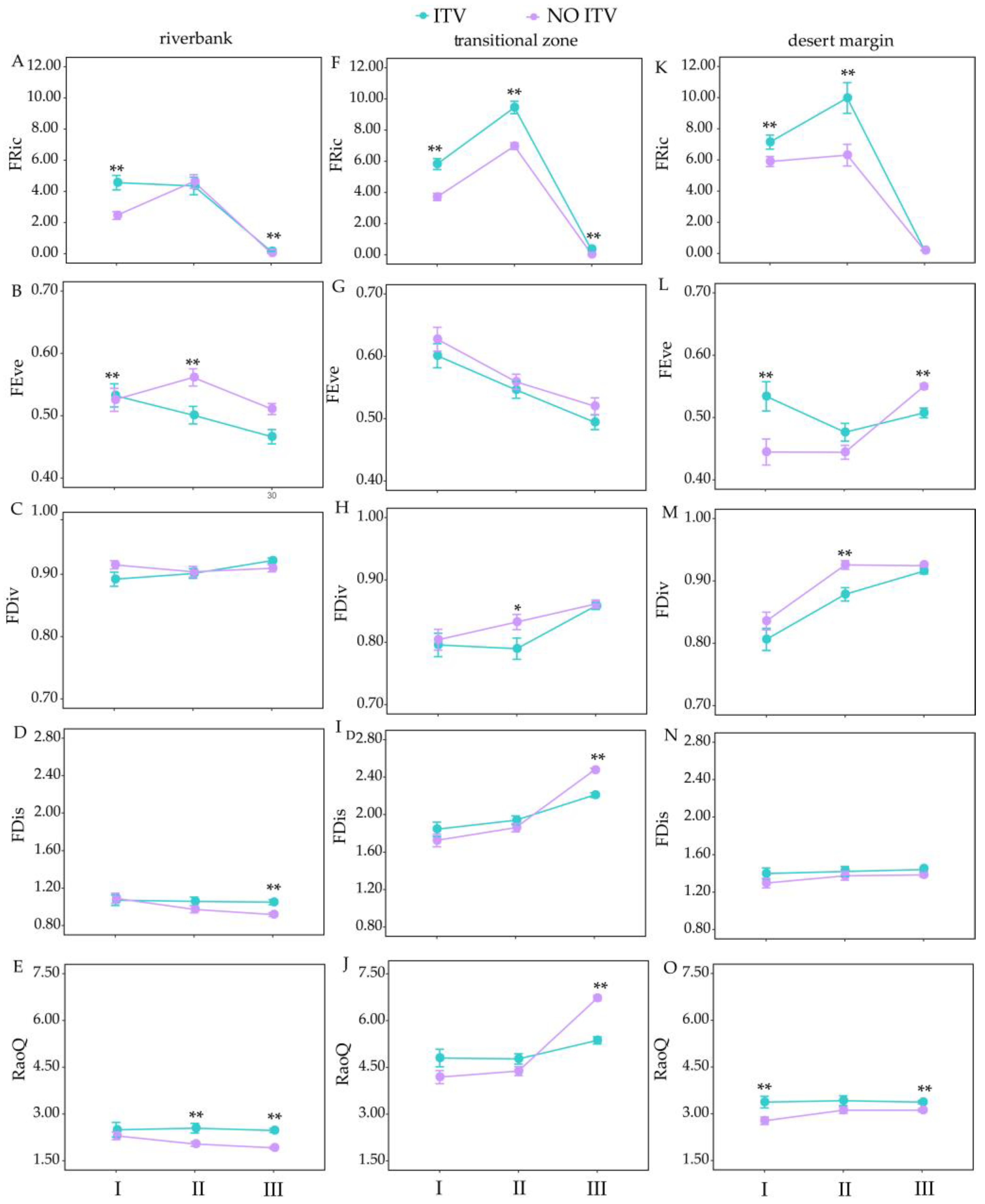
3.2.1. Effect of Intraspecific Variation on Functional α-Diversity
3.2.2. Effect of Intraspecific Variation on Functional Beta Diversity
3.3. Effects of Intraspecific Variation on Community Assembly
3.3.1. Based on Functional α-Diversity
3.3.2. Based on Functional β-Diversity
4. Discussion
5. Conclusions
Supplementary Materials
Author Contributions
Funding
Institutional Review Board Statement
Informed Consent Statement
Data Availability Statement
Conflicts of Interest
References
- Webb, C.T.; Hoeting, J.A.; Ames, G.M.; Pyne, M.I.; Poff, N.L. A structured and dynamic framework to advance traits-based theory and prediction in ecology. Ecol. Lett. 2010, 13, 267–283. [Google Scholar] [CrossRef]
- Shipley, B.; De Bello, F.; Cornelissen, J.H.C.; Laliberté, E.; Laughlin, D.C.; Reich, P.B. Reinforcing loose foundation stones in trait-based plant ecology. Oecologia 2016, 180, 923–931. [Google Scholar] [CrossRef] [PubMed]
- Westoby, M. A leaf-height-seed (LHS) plant ecology strategy scheme. Plant Soil 1998, 199, 213–227. [Google Scholar] [CrossRef]
- Vendramini, F.; Díaz, S.; Gurvich, D.E.; Wilson, P.J.; Thompson, K.; Hodgson, J.G. Leaf traits as indicators of resource-use strategy in floras with succulent species. New Phytol. 2002, 154, 147–157. [Google Scholar] [CrossRef]
- Reich, P.B.; Walters, M.B.; Ellsworth, D.S. From tropics to tundra: Global convergence in plant functioning. Proc. Natl. Acad. Sci. USA 1997, 94, 13730–13734. [Google Scholar] [CrossRef]
- Messier, J.; McGill, B.J.; Lechowicz, M.J. How do traits vary across ecological scales? A case for trait-based ecology. Ecol. Lett. 2010, 13, 838–848. [Google Scholar] [CrossRef] [PubMed]
- Gross, N.; Bagousse-Pinguet, Y.L.; Liancourt, P.; Berdugo, M.; Gotelli, N.J.; Maestre, F.T. Functional trait diversity maximizes ecosystem multifunctionality. Nat. Ecol. Evol. 2017, 1, 132. [Google Scholar] [CrossRef]
- Wang, J.; Chen, C.; Li, J.; Feng, Y.; Lu, Q. Different ecological processes determined the alpha and beta components of taxonomic, functional, and phylogenetic diversity for plant communities in dryland regions of Northwest China. PeerJ 2019, 6, e6220. [Google Scholar] [CrossRef]
- Mensah, S.; Salako, K.V.; Assogbadjo, A.; Kakaï, R.G.; Sinsin, B.; Seifert, T. Functional trait diversity is a stronger predictor of multifunctionality than dominance: Evidence from an A fromontane forest in South Africa. Ecol. Indic. 2020, 115, 106415. [Google Scholar] [CrossRef]
- Siefert, A.; Violle, C.; Chalmandrier, L.; Albert, C.H.; Taudiere, A.; Fajardo, A.; Aarssen, L.W.; Baraloto, C.; Carlucci, M.B.; Cianciaruso, M.V.; et al. A global meta-analysis of the relative extent of intraspecific trait variation in plant communities. Ecol. Lett. 2015, 18, 1406–1419. [Google Scholar] [CrossRef]
- Albert, C.H.; de Bello, F.; Boulangeat, I.; Pellet, G.; Lavorel, S.; Thuiller, W. On the importance of intraspecific variability for the quantification of functional diversity. Oikos 2012, 121, 116–126. [Google Scholar] [CrossRef]
- Ross, S.R.P.-J.; Hassall, C.; Hoppitt, W.J.E.; Edwards, F.; Edwards, D.P.; Hamer, K.C. Incorporating intraspecific trait variation into functional diversity: Impacts of selective logging on birds in Borneo. Methods Ecol. Evol. 2017, 8, 1499–1505. [Google Scholar] [CrossRef]
- Albert, C.H.; Thuiller, W.; Yoccoz, N.G.; Douzet, R.; Aubert, S.; Lavorel, S. A multi-trait approach reveals the structure and the relative importance of intra- vs. interspecific variability in plant traits. Funct. Ecol. 2010, 24, 1192–1201. [Google Scholar] [CrossRef]
- Hulshof, C.M.; Violle, C.; Spasojevic, M.J.; McGill, B.; Damschen, E.; Harrison, S.; Enquist, B.J. Intra-specific and inter-specific variation in specific leaf area reveal the importance of abiotic and biotic drivers of species diversity across elevation and latitude. J. Veg. Sci. 2013, 24, 921–931. [Google Scholar] [CrossRef]
- Chai, Y.; Dang, H.; Yue, M.; Xu, J.; Zhang, L.; Quan, J.; Guo, Y.; Li, T.; Wang, L.; Wang, M.; et al. The role of intraspecific trait variability and soil properties in community assembly during forest secondary succession. Ecosphere 2019, 10, e02940. [Google Scholar] [CrossRef]
- Niu, K.; Zhang, S.; Lechowicz, M.J. Harsh environmental regimes increase the functional significance of intraspecific variation in plant communities. Funct. Ecol. 2020, 34, 1666–1677. [Google Scholar] [CrossRef]
- Jiang, F.; Cadotte, M.W.; Jin, G. Individual-level leaf trait variation and correlation across biological and spatial scales. Ecol. Evol. 2021, 11, 5344–5354. [Google Scholar] [CrossRef] [PubMed]
- Gong, Y.; Ling, H.; Lv, G.; Chen, Y.; Guo, Z.; Cao, J. Disentangling the influence of aridity and salinity on community functional and phylogenetic diversity in local dryland vegetation. Sci. Total. Environ. 2019, 653, 409–422. [Google Scholar] [CrossRef]
- Jiang, L.; Hu, D.; Wang, H.F.; Lv, G. Discriminating ecological processes affecting different dimensions of α- and β-diversity in desert plant communities. Ecol. Evol. 2022, 12, e8710. [Google Scholar] [CrossRef]
- Yang, X.-D.; Anwar, E.; Zhou, J.; He, D.; Gao, Y.-C.; Lv, G.-H.; Cao, Y.-E. Higher association and integration among functional traits in small tree than shrub in resisting drought stress in an arid desert. Environ. Exp. Bot. 2022, 201, 104993. [Google Scholar] [CrossRef]
- Bao, S.D. Soil Agrochemical Analysis, 3rd ed.; China Agricultural Press: Beijing, China, 2000. [Google Scholar]
- Jung, V.; Violle, C.; Mondy, C.; Hoffmann, L.; Muller, S. Intraspecific variability and trait-based community assembly. J. Ecol. 2010, 98, 1134–1140. [Google Scholar] [CrossRef]
- Spasojevic, M.J.; Grace, J.B.; Harrison, S.; Damschen, E.I. Functional diversity supports the physiological tolerance hypothesis for plant species richness along climatic gradients. J. Ecol. 2014, 102, 447–455. [Google Scholar] [CrossRef]
- Oksanen, J.; Blanchet, F.G.; Friendly, M.; Kindt, R.; Legendre, P.; McGlinn, D.; Minchin, P.R.; O’Hara, R.B.; L. Simpson, G.; Solymos, P.; et al. vegan: Community Ecology Package. R package Version 2.5-7. 2020. Available online: https://CRAN.R-project.org/package=vegan (accessed on 24 April 2022).
- Blomberg, S.P.; Garland, T.; Ives, A.R. Testing for phylogenetic signal in comparative data: Behavioral traits are more labile. Evolution 2003, 57, 717–745. [Google Scholar] [PubMed]
- Villéger, S.; Mason, N.W.H.; Mouillot, D. New multidimensional functional diversity indices for a multifaceted framework in functional ecology. Ecology 2008, 89, 2290–2301. [Google Scholar] [CrossRef]
- Borcard, D.; Gillet, F.; Legendre, P. Numerical Ecology with R[M]. Numerical Ecology with R; Springer: New York, NY, USA, 2011. [Google Scholar]
- Peres-Neto, P.R.; Legendre, P.; Dray, S.; Borcard, D. Variation partitioning of species data matrices: Estimation and comparison of fractions. Ecology 2006, 87, 2614–2625. [Google Scholar] [CrossRef]
- Violle, C.; Enquist, B.J.; McGill, B.J.; Jiang, L.; Albert, C.H.; Hulshof, C.; Jung, V.; Messier, J. The return of the variance: Intraspecific variability in community ecology. Trends Ecol. Evol. 2012, 27, 244–252. [Google Scholar] [CrossRef]
- Herrera, C.M.; Medrano, M.; Bazaga, P. Continuous within-plant variation as a source of intraspecific functional diversity: Patterns, magnitude, and genetic correlates of leaf variability in Helleborus foetidus (Ranunculaceae). Am. J. Bot. 2015, 102, 225–232. [Google Scholar] [CrossRef]
- Herrera, C.M. Multiplicity in Unity: Plant Sub individual Variation and Interactions with Animals, 1st ed.; University of Chicago Press: Chicago, IL, USA, 2009. [Google Scholar]
- Arceo-Gómez, G.; Vargas, C.; Parra-Tabla, V. Selection on intra-individual variation in stigma-anther distance in the tropical tree Ipomoea wolcottiana (Convolvulaceae). Plant Biol. 2017, 19, 454–459. [Google Scholar] [CrossRef]
- Kumordzi, B.B.; Wardle, D.A.; Freschet, G.T. Plant assemblages do not respond homogenously to local variation in environmental conditions: Functional responses differ with species identity and abundance. J. Veg. Sci. 2015, 26, 32–45. [Google Scholar] [CrossRef]
- Carlucci, M.B.; Debastiani, V.J.; Pillar, V.D.; Duarte, L.D.S. Between- and within-species trait variability and the assembly of sapling communities in forest patches. J. Veg. Sci. 2015, 26, 21–31. [Google Scholar] [CrossRef]
- Wang, L.R.; Zhu, G.R.; Fang, W.C. The evaluating criteria of some fruit quantitative characters of peach (Prunus persica L.) genetic resources. Acta Hortic. Sin. 2005, 32, 1–5. [Google Scholar]
- Bolnick, D.I.; Svanbäck, R.; Fordyce, J.A.; Yang, L.H.; Davis, J.M.; Hulsey, C.D.; Forister, M.L. The ecology of individuals: Incidence and implications of individual specialiation. Am. Nat. 2003, 161, 1–28. [Google Scholar] [CrossRef]
- Mitchell, R.M.; Bakker, J.D. Quantifying and comparing intraspecific functional trait variability: A case study with Hypochaeris radicata. Funct. Ecol. 2014, 28, 258–269. [Google Scholar] [CrossRef]
- Tang, Q.; Huang, Y.; Ding, Y.; Zang, R. Interspecific and intraspecific variation in functional traits of subtropical evergreen and deciduous broad-leaved mixed forests. Biodivers. Sci. 2016, 24, 262–270. [Google Scholar] [CrossRef][Green Version]
- Burton, J.I.; Perakis, S.S.; McKenzie, S.C.; Lawrence, C.E.; Puettmann, K.J. Intraspecific variability and reaction norms of forest understorey plant species traits. Funct. Ecol. 2017, 31, 1881–1893. [Google Scholar] [CrossRef]
- Kang, M.; Chang, S.X.; Yan, E.-R.; Wang, X.-H. Trait variability differs between leaf and wood tissues across ecological scales in subtropical forests. J. Veg. Sci. 2014, 25, 703–714. [Google Scholar] [CrossRef]
- Mitchell, R.M.; Ames, G.M.; Wright, J.P. Intraspecific trait variability shapes leaf trait response to altered fire regimes. Ann. Bot. 2021, 127, 543–552. [Google Scholar] [CrossRef] [PubMed]
- Wilson, P.J.; Thompson, K.; Hodgson, J.G. Specific leaf area and leaf dry matter content as alternative predictors of plant strategies. New Phytol. 1999, 143, 155–162. [Google Scholar] [CrossRef]
- Grassein, F.; Till-Bottraud, I.; Lavorel, S. Plant resource-use strategies: The importance of phenotypic plasticity in response to a productivity gradient for two subalpine species. Ann. Bot. 2010, 106, 637–645. [Google Scholar] [CrossRef] [PubMed]
- Yang, J.; Zhang, G.; Ci, X.; Swenson, N.G.; Cao, M.; Sha, L.; Li, J.; Baskin, C.C.; Slik, J.W.F.; Lin, L. Functional and phylogenetic assembly in a Chinese tropical tree community across size classes, spatial scales and habitats. Funct. Ecol. 2014, 28, 520–529. [Google Scholar] [CrossRef]
- Che, Y.D.; Liu, M.X.; Li, L.R.; Jiao, J.I.; Xiao, W. Exploring the community assembly of subalpine meadow communities based on functional traits and community phylogeny. Chin. J. Plant Ecol. 2017, 41, 1157–1167. [Google Scholar]
- Hao, S.-J.; Li, X.-Y.; Hou, M.-M.; Zhao, X.-H. Spatial variations of community functional traits at different successional stages in temperate forests of Changbai Mountains, Northeast China. Chin. J. Plant Ecol. 2019, 43, 208–216. [Google Scholar] [CrossRef]
- Mason, N.W.; Peltzer, D.A.; Richardson, S.J.; Bellingham, P.J.; Allen, R.B. Stand development moderates effects of ungulate exclusion on foliar traits in the forests of New Zealand: Ungulate impacts on foliar traits. J. Ecol. 2010, 98, 1422–1433. [Google Scholar] [CrossRef]
- Wong, M.K.L.; Carmona, C.P. Including intraspecific trait variability to avoid distortion of functional diversity and ecological inference: Lessons from natural assemblages. Methods Ecol. Evol. 2021, 12, 946–957. [Google Scholar] [CrossRef]
- Jones, M.M.; Gibson, N.; Yates, C.; Ferrier, S.; Mokany, K.; Williams, K.J.; Manion, G.; Svenning, J.C. Underestimated effects of climate on plant taxonomic turnover in the Southwest Australian Floristic Region. J. Biogeogr. 2016, 43, 289–300. [Google Scholar] [CrossRef]
- Zhao, M.; Wang, G.; Xing, K.; Wang, Y.; Xue, F.; Kang, M.; Luo, K. Patterns and determinants of species similarity decay of forest communities in the western Qinling Mountains. Biodiversity 2017, 25, 3–10. [Google Scholar] [CrossRef][Green Version]
- Qian, H.; Shimono, A. Effects of geographic distance and climatic dissimilarity on taxonomic turnover in alpine meadow communities across a broad spatial extent on the Tibetan Plateau. Plant Ecol. 2012, 213, 1357–1364. [Google Scholar] [CrossRef]
- Weiher, E.; Freund, D.; Bunton, T.; Stefanski, A.; Lee, T.; Bentivenga, S. Advances, challenges and a developing synthesis of ecological community assembly theory. Philos. Trans. R. Soc. B Biol. Sci. 2011, 366, 2403–2413. [Google Scholar] [CrossRef]
- Hu, D.; Jiang, L.; Hou, Z.; Zhang, J.; Wang, H.; Lv, G. Environmental filtration and dispersal limitation explain different aspects of beta diversity in desert plant communities. Glob. Ecol. Conserv. 2021, 33, e01956. [Google Scholar] [CrossRef]
- Lasky, J.R.; Yang, J.; Zhang, G.; Cao, M.; Tang, Y.; Keitt, T.H. The role of functional traits and individual variation in the co-occurrence of Ficus species. Ecology 2014, 95, 978–990. [Google Scholar] [CrossRef]
- Wright, J.P.; Ames, G.M.; Mitchell, R.M. The more things change, the more they stay the same? When is trait variability important for stability of ecosystem function in a changing environment. Philos. Trans. R. Soc. B Biol. Sci. 2016, 371, 20150272. [Google Scholar] [CrossRef]
- Zhang, D.; Peng, Y.; Li, F.; Yang, G.; Wang, J.; Yu, J.; Zhou, G.; Yang, Y. Trait identity and functional diversity co-drive response of ecosystem productivity to nitrogen enrichment. J. Ecol. 2019, 107, 2402–2414. [Google Scholar] [CrossRef]
- Benavides, R.; Carvalho, B.; Bastias, C.C.; López-Quiroga, D.; Mas, A.; Cavers, S.; Gray, A.; Albet, A.; Alía, R.; Ambrosio, O.; et al. The GenTree Leaf Collection: Inter- and intraspecific leaf variation in seven forest tree species in Europe. Glob. Ecol. Biogeogr. 2021, 30, 590–597. [Google Scholar] [CrossRef]
- Fajardo, A.; Siefert, A. Intraspecific trait variation and the leaf economics spectrum across resource gradients and levels of organization. Ecology 2018, 99, 1024–1030. [Google Scholar] [CrossRef]
- Siefert, A. Incorporating intraspecific variation in tests of trait-based community assembly. Oecologia 2012, 170, 767–775. [Google Scholar] [CrossRef] [PubMed]
- Spasojevic, M.J.; Turner, B.L.; Myers, J.A. When does intraspecific trait variation contribute to functional beta-diversity? J. Ecol. 2016, 104, 487–496. [Google Scholar] [CrossRef]
- Legendre, P.; Mi, X.; Ren, H.; Ma, K.; Yu, M.; Sun, I.-F.; He, F. Partitioning beta diversity in a subtropical broad-leaved forest of China. Ecology 2009, 90, 663–674. [Google Scholar] [CrossRef]
- Segre, H.; Ron, R.; De Malach, N.; Henkin, Z.; Mandel, M.; Kadmon, R. Competitive exclusion, beta diversity, and deterministic vs. stochastic drivers of community assembly. Ecol. Lett. 2014, 17, 1400–1408. [Google Scholar] [CrossRef]
- Myers, J.A.; Chase, J.M.; Jiménez, I.; Jørgensen, P.M.; Araujo-Murakami, A.; Paniagua-Zambrana, N.; Seidel, R. Beta-diversity in temperate and tropical forests reflects dissimilar mechanisms of community assembly. Ecol. Lett. 2013, 16, 151–157. [Google Scholar] [CrossRef]




| Functional Trait | Riverbank | Transitional Zone | Desert Margin | |||
|---|---|---|---|---|---|---|
| K value | p | K value | p | K value | p | |
| Hmax | 0.36 | NS | 0.56 | NS | 0.23 | NS |
| LL | 0.84 | NS | 0.82 | * | 0.53 | NS |
| LW | 1.23 | ** | 1.08 | ** | 1.44 | * |
| LT | 1.29 | * | 1.47 | ** | 1.50 | ** |
| LDMC | 0.71 | * | 0.85 | NS | 0.46 | NS |
| SLA | 0.34 | NS | 0.51 | NS | 0.31 | NS |
| LC | 1.37 | ** | 1.15 | 0.001 | 0.79 | NS |
| LN | 0.67 | NS | 0.27 | NS | 0.45 | NS |
| LP | 0.60 | NS | 0.54 | NS | 0.36 | NS |
| Community | Types | Scale | Soil Factors | Space Factors | Soil and Space | Unexplained Proportion |
|---|---|---|---|---|---|---|
| riverbank | ITV | 10 m × 10 m | 0.05 | 0.28 | −0.01 | 0.69 |
| 20 m × 20 m | 0.07 | 0.44 | 0.12 | 0.28 | ||
| 50 m × 50 m | 0.49 | 0.23 | 0.12 | 0.16 | ||
| NO-ITV | 10 m × 10 m | 0.07 | 0.45 | −0.06 | 0.54 | |
| 20 m × 20 m | 0.03 | 0.50 | 0.18 | 0.20 | ||
| 50 m × 50 m | 0.07 | 0.13 | 0.79 | 0.01 | ||
| transitional zone | ITV | 10 m × 10 m | 0.04 | 0.41 | 0.09 | 0.46 |
| 20 m × 20 m | 0.09 | 0.33 | 0.41 | 0.16 | ||
| 50 m × 50 m | 0.43 | 0.14 | 0.35 | 0.11 | ||
| NO-ITV | 10 m × 10 m | 0.11 | 0.54 | −0.04 | 0.40 | |
| 20 m × 20 m | 0.24 | 0.27 | 0.34 | 0.16 | ||
| 50 m × 50 m | 0.41 | 0.16 | 0.40 | 0.03 | ||
| desert margin | ITV | 10 m × 10 m | 0.08 | 0.36 | −0.06 | 0.62 |
| 20 m × 20 m | 0.18 | 0.37 | 0.18 | 0.27 | ||
| 50 m × 50 m | 0.03 | 0.21 | 0.68 | 0.08 | ||
| NO-ITV | 10 m × 10 m | 0.16 | 0.46 | −0.10 | 0.48 | |
| 20 m × 20 m | 0.11 | 0.61 | 0.12 | 0.16 | ||
| 50 m × 50 m | 0.07 | 0.10 | 0.80 | 0.03 |
| Community | Types | Scale | Soil Factors | Space Factors | Soil and Space | Unexplained Proportion |
|---|---|---|---|---|---|---|
| riverbank | ITV | 10 m × 10 m | 0.03 | 0.20 | −0.02 | 0.79 |
| 20 m × 20 m | 0.02 | 0.52 | 0.16 | 0.31 | ||
| 50 m × 50 m | 0.37 | 0.25 | 0.28 | 0.09 | ||
| NO-ITV | 10 m × 10 m | 0.05 | 0.37 | −0.07 | 0.62 | |
| 20 m × 20 m | 0.04 | 0.61 | 0.16 | 0.20 | ||
| 50 m × 50 m | 0.05 | 0.25 | 0.67 | 0.03 | ||
| transitional zone | ITV | 10 m × 10 m | 0.02 | 0.09 | 0.10 | 0.80 |
| 20 m × 20 m | 0.12 | 0.36 | 0.30 | 0.22 | ||
| 50 m × 50 m | 0.24 | 0.18 | 0.47 | 0.11 | ||
| NO-ITV | 10 m × 10 m | 0.07 | 0.48 | 0.00 | 0.45 | |
| 20 m × 20 m | 0.11 | 0.41 | 0.35 | 0.13 | ||
| 50 m × 50 m | 0.39 | 0.02 | 0.39 | 0.20 | ||
| desert margin | ITV | 10 m × 10 m | 0.10 | 0.29 | −0.03 | 0.64 |
| 20 m × 20 m | 0.05 | 0.49 | 0.08 | 0.39 | ||
| 50 m × 50 m | 0.11 | 0.18 | 0.62 | 0.08 | ||
| NO-ITV | 10 m × 10 m | 0.08 | 0.45 | −0.16 | 0.53 | |
| 20 m × 20 m | 0.10 | 0.66 | 0.10 | 0.14 | ||
| 50 m × 50 m | 0.06 | 0.10 | 0.81 | 0.04 |
Disclaimer/Publisher’s Note: The statements, opinions and data contained in all publications are solely those of the individual author(s) and contributor(s) and not of MDPI and/or the editor(s). MDPI and/or the editor(s) disclaim responsibility for any injury to people or property resulting from any ideas, methods, instructions or products referred to in the content. |
© 2023 by the authors. Licensee MDPI, Basel, Switzerland. This article is an open access article distributed under the terms and conditions of the Creative Commons Attribution (CC BY) license (https://creativecommons.org/licenses/by/4.0/).
Share and Cite
Jiang, L.; Zayit, A.; Sattar, K.; Wang, S.; He, X.; Hu, D.; Wang, H.; Yang, J. The Influence of Intraspecific Trait Variation on Plant Functional Diversity and Community Assembly Processes in an Arid Desert Region of Northwest China. Forests 2023, 14, 1536. https://doi.org/10.3390/f14081536
Jiang L, Zayit A, Sattar K, Wang S, He X, Hu D, Wang H, Yang J. The Influence of Intraspecific Trait Variation on Plant Functional Diversity and Community Assembly Processes in an Arid Desert Region of Northwest China. Forests. 2023; 14(8):1536. https://doi.org/10.3390/f14081536
Chicago/Turabian StyleJiang, Lamei, Abudoukeremujiang Zayit, Kunduz Sattar, Shiyun Wang, Xuemin He, Dong Hu, Hengfang Wang, and Jianjun Yang. 2023. "The Influence of Intraspecific Trait Variation on Plant Functional Diversity and Community Assembly Processes in an Arid Desert Region of Northwest China" Forests 14, no. 8: 1536. https://doi.org/10.3390/f14081536
APA StyleJiang, L., Zayit, A., Sattar, K., Wang, S., He, X., Hu, D., Wang, H., & Yang, J. (2023). The Influence of Intraspecific Trait Variation on Plant Functional Diversity and Community Assembly Processes in an Arid Desert Region of Northwest China. Forests, 14(8), 1536. https://doi.org/10.3390/f14081536
