Modification of Poplar Wood via Polyethylene Glycol Impregnation Coupled with Compression
Abstract
:1. Introduction
2. Materials and Methods
2.1. Materials
2.2. Delignification
2.3. Impregnation
2.4. Hot Pressing
2.5. Characterization
3. Results and Discussion
3.1. WPG, CR, and Density of Modified Wood
3.2. Microstructures Analysis
3.3. FTIR Analysis
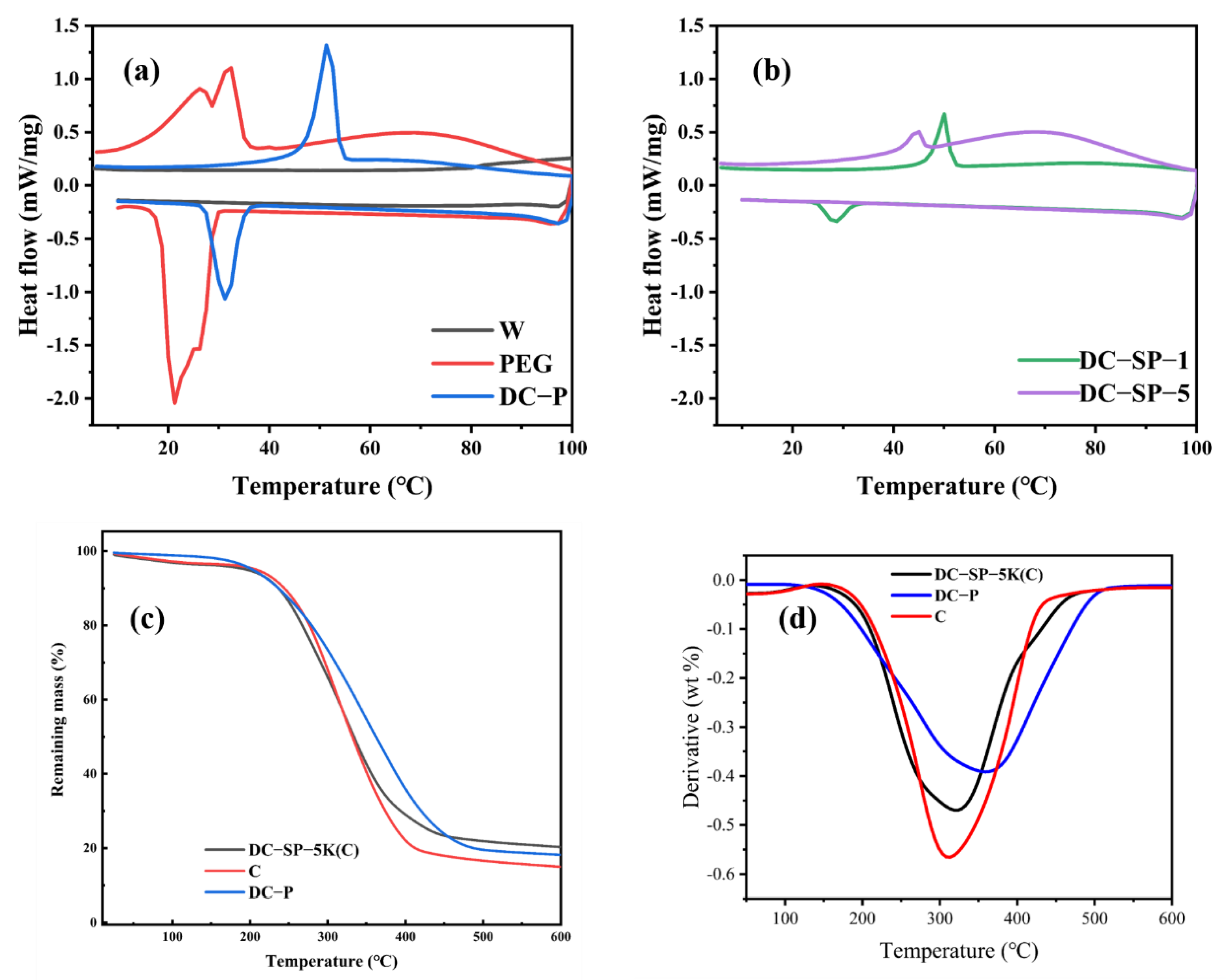
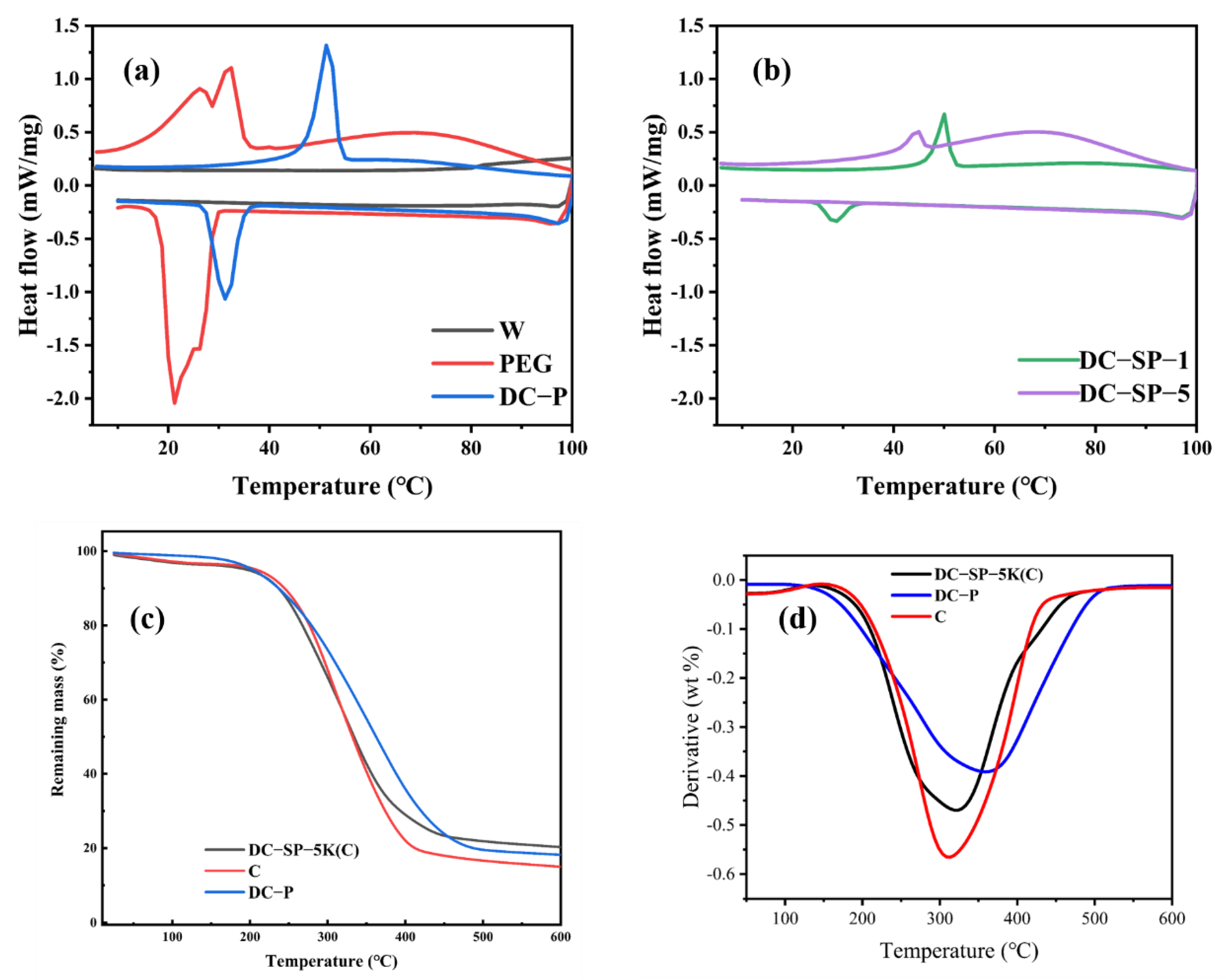
3.4. Thermal Properties
3.5. Thermal Stability
4. Conclusions
Author Contributions
Funding
Data Availability Statement
Conflicts of Interest
References
- Ruiz, A.P.; Schimpf, R.; Martínez, R.H. Prosopis as a Heat Tolerant Nitrogen Fixing Desert Food Legume: Prospects for Economic Development in Arid Lands, 1st ed.; Elsevier: Amsterdam, The Netherlands, 2022; pp. 199–212. [Google Scholar]
- Gibier, M.; Sadeghisadeghabad, M.; Girods, P.; Zoulalian, A.; Rogaume, Y. Furniture wood waste depollution through hydrolysis under pressurized water steam: Experimental work and kinetic modelization. J. Hazard. Mater. 2022, 436, 129126. [Google Scholar] [CrossRef]
- Oh, J.; Choi, Y.; Kim, G.S.; Kim, G. Assessment of the effects of projected climate change on the potential risk of wood decay in Korea. J. Cult. Herit. 2022, 55, 43–47. [Google Scholar] [CrossRef]
- Shen, X.; Yang, S.; Li, G.; Liu, S.; Chu, F. The contribution mechanism of furfuryl alcohol treatment on the dimensional stability of plantation wood. Ind. Crops Prod. 2022, 186, 115143. [Google Scholar] [CrossRef]
- Tan, Y.; Wang, K.; Dong, Y.; Gong, S.; Shi, S.Q.; Li, J. High performance, shape manipulatable transparent wood based on delignified wood framework and exchangeable dynamic covalent vitrimers. Chem. Eng. J. 2022, 448, 137487. [Google Scholar] [CrossRef]
- Xu, J.; Qin, Y.; Liu, R.; Long, L.; Ma, E. Preparation and properties of high-performance fast-growing wood modified by exfoliated organo-montmorillonite in waterborne hyperbranched polyacrylate emulsion. Constr. Build. Mater. 2021, 298, 123868. [Google Scholar] [CrossRef]
- Chen, L.; Zeng, S.; Xu, Y.; Nie, W.; Zhou, Y.; Chen, P. Epoxy-modified silicone resin based N/P/Si synergistic flame-retardant coating for wood surface. Prog. Org. Coat. 2022, 170, 106953. [Google Scholar] [CrossRef]
- Li, Z.; Zhang, X.; Song, S.; Xu, K.; Lyu, J.; Li, X. Curing characteristics of low molecular weight melamine-urea–formaldehyde (MUF) resin-impregnated poplar wood. Constr. Build. Mater. 2022, 325, 126814. [Google Scholar] [CrossRef]
- Wang, X.; Tu, D.; Chen, C.; Zhou, Q.; Huang, H.; Zheng, Z. A thermal modification technique combining bulk densification and heat treatment for poplar wood with low moisture content. Constr. Build. Mater. 2021, 291, 123395. [Google Scholar] [CrossRef]
- Gaitán-Alvarez, J.; Berrocal, A.; Mantanis, G.I.; Moya, R.; Araya, F. Acetylation of tropical hardwood species from forest plantations in Costa Rica: An FTIR spectroscopic analysis. J. Wood Sci. 2020, 66, 49. [Google Scholar] [CrossRef]
- Gaitán-Alvarez, J.; Berrocal, A.; Lykidis, C.; Moya, R.; Mantanis, G.I. Furfurylation of tropical wood species with and without silver nanoparticles: Part II: Evaluation of wood properties. Wood Mater. Sci. Eng. 2021. Unpublished work. [Google Scholar] [CrossRef]
- Fang, C.; Mariotti, N.; Cloutier, A.; Koubaa, A.; Blanchet, P. Densification of wood veneers by compression combined with heat and steam. Eur. J. Wood Wood Prod. 2012, 70, 155–163. [Google Scholar] [CrossRef]
- Li, R.; Xu, W.; Xiong, X.; Liu, C.; Wang, C. Impact of Hydrothermal Pretreatment on Drying Performance of Chinese Sweetgum Wood. China For. Prod. Ind. 2018, 45, 1–3. [Google Scholar]
- Li, S.; Xing, X.; Lin, L.; Zhou, Y.; Fu, F. Effect of High Energy Density Microwave Pretreatment on Bendability of Radiata Pine (Pinus radiata) Wood. Chin. J. Wood Sci. Technol. 2020, 34, 1–6. [Google Scholar]
- Mao, Y.; Xu, W.; Zhan, X. Effects of Microwave Pretreatment on Permeability of Poplar Wood. China Forest Products Industry 2020, 57, 7–10. [Google Scholar]
- Song, J.; Chen, C.; Zhu, S.; Zhu, M.; Dai, J.; Ray, U.; Li, Y.; Kuang, Y.; Li, Y.; Quispe, M.; et al. Processing bulk natural wood into a high-performance structural material. Nature 2018, 554, 224–228. [Google Scholar] [CrossRef]
- Shi, J.; Lu, Y.; Zhang, Y.; Cai, L.; Shi, S.Q. Effect of thermal treatment with water, H2SO4 and NaOH aqueous solution on color, cell wall and chemical structure of poplar wood. Sci. Rep. 2018, 8, 17735. [Google Scholar] [CrossRef]
- Tenorio, C.; Moya, R. Effect of Thermo-hydro-mechanical Densification on the Wood Properties of Three Short-rotation Forest Species in Costa Rica. BioResources 2020, 15, 8065–8084. [Google Scholar] [CrossRef]
- Fortino, S.; Metsäjoki, J.; Ronkainen, H.; Bjurhager, I.; Heinemann, S.; Salminen, L.I. Scratch resistance of PEG-impregnated green wood: A method for evaluation of swollen wood properties. Wood Sci. Technol. 2020, 54, 715–735. [Google Scholar] [CrossRef]
- Meints, T.; Hansmann, C.; Gindl-Altmutter, W. Suitability of Different Variants of Polyethylene Glycol Impregnation for the Dimensional Stabilization of Oak Wood. Polymers 2018, 10, 81. [Google Scholar] [CrossRef] [Green Version]
- Jerzy, M.; Magdalena, Z.; Mariusz, F.; Bogusława, W.; Wiesław, O. Dimensional stability and hygroscopic properties of PEG treated irregularly degraded waterlogged Scots pine wood. J. Cult. Herit. 2018, 31, 133–140. [Google Scholar]
- Han, L.; Guo, J.; Tian, X.; Jiang, X.; Yin, Y. Evaluation of PEG and sugars consolidated fragile waterlogged archaeological wood using nanoindentation and ATR-FTIR imaging. Int. Biodeterior. Biodegrad. 2022, 170, 105390. [Google Scholar] [CrossRef]
- Xu, J.; Yang, T.; Xu, X.; Guo, X.; Cao, J. Processing solid wood into a composite phase change material for thermal energy storage by introducing silica-stabilized polyethylene glycol. Compos. Part. A Appl. Sci. Manuf. 2020, 139, 106098. [Google Scholar] [CrossRef]
- Yang, Y.; Shan, L.; Shen, H.; Qiu, J. Manufacturing of robust superhydrophobic Wood surfaces based on PEG–Functionalized SiO2/PVA/PAA/Fluoropolymer hybrid transparent coating. Prog. Org. Coat. 2021, 154, 106186. [Google Scholar] [CrossRef]
- Li, Y.; Wang, B.; Zhang, W.; Zhao, J.; Fang, X.; Sun, J.; Xia, R.; Guo, H.; Liu, Y. Processing wood into a phase change material with high solar-thermal conversion efficiency by introducing stable polyethylene glycol-based energy storage polymer. Energy 2022, 254A, 124206. [Google Scholar] [CrossRef]
- Montanari, C.; Li, Y.; Chen, H.; Yan, M.; Berglund, L. Transparent wood for thermal energy storage and reversible optical transmittance. ACS Appl. Mater. Interfaces 2019, 11, 20465–20472. [Google Scholar] [CrossRef] [PubMed]
- He, R.; Liu, Y.; Shi, J.; Huang, Q. Effect of the Solvent System on the Dimensional Stability of Polyethylene Glycol Impregnated Poplar Woods. J. Northwest. For. Univ. 2022, 37, 217–221. [Google Scholar]
- Neyses, B.; Rautkari, L.; Yamamoto, A.; Sandberg, D. Pre-treatment with sodium silicate, sodium hydroxide, ionic liquids or methacrylate resin to reduce the set-recovery and increase the hardness of surface-densified Scots pine. Lforest-Biogeosci. For. 2017, 10, 857–864. [Google Scholar] [CrossRef] [Green Version]
- Sun, K.; Kou, Y.; Zheng, H.; Liu, X.; Tan, Z.; Shi, Q. Using silicagel industrial wastes to synthesize polyethylene glycol/silica-hydroxyl form-stable phase change materials for thermal energy storage applications. Sol. Energy Mater. Sol. Cells 2018, 178, 139–145. [Google Scholar] [CrossRef]
- Liu, Z.; Wei, H.; Tang, B.; Xu, S.; Zhang, S. Novel light–driven CF/PEG/SiO2 composite phase change materials with high thermal conductivity. Sol. Energy Mater. Sol. Cells 2018, 174, 538–544. [Google Scholar] [CrossRef]
- Mania, P.; Wróblewski, M.; Wójciak, A.; Roszyk, E.; Moliński, W. Hardness of Densified Wood in Relation to Changed Chemical Composition. Forests 2020, 11, 506. [Google Scholar] [CrossRef]
- Kawamata, Y.; Yoshikawa, T.; Aoki, H.; Koyama, Y.; Nakasaka, Y.; Yoshida, M. Kinetic analysis of delignification of cedar wood during organosolv treatment with a two-phase solvent using the unreacted-core model. Chem. Eng. J. 2019, 368, 71–78. [Google Scholar] [CrossRef]
- Sun, K.; Kou, Y.; Dong, H.; Ye, S.; Zhao, D.; Liu, J.; Shi, Q. The design of phase change materials with carbon aerogel composites for multi-responsive thermal energy capture and storage. J. Mater. Chem. A 2021, 9, 1213–1220. [Google Scholar] [CrossRef]
- Frey, M.; Widner, D.; Segmehl, J.S.; Casdorff, K.; Keplinger, T.; Burgert, I. Delignified and Densified Cellulose Bulk Materials with Excellent Tensile Properties for Sustainable Engineering. ACS Appl. Mater. Interfaces 2018, 10, 5030–5037. [Google Scholar] [CrossRef]
- Frey, M.; Biffi, G.; Adobes-Vidal, M.; Zirkelbach, M.; Wang, Y.; Tu, K. Tunable Wood by Reversible Interlocking and Bioinspired Mechanical Gradients. Adv. Sci. 2019, 6, 1802190. [Google Scholar] [CrossRef] [PubMed]
- Shi, J.; Peng, J.; Huang, Q.; Cai, L.; Shi, S.Q. Fabrication of densified wood via synergy of chemical pretreatment, hot-pressing and post mechanical fixation. J. Wood Sci. 2020, 66, 5. [Google Scholar] [CrossRef] [Green Version]
- Wang, X.; Zhao, L.; Xu, B.; Li, Y.; Wang, S.; Deng, Y. Effects of accelerated aging treatment on the microstructure and mechanics of wood-resin interphase. Holzforschung 2018, 72, 235–241. [Google Scholar] [CrossRef]
- Jiang, J.; Wang, C.; Ebrahimi, M.; Shen, X.; Mei, C. Eco-friendly preparation of high-quality mineralized wood via thermal modification induced silica sol penetration. Ind. Crops Prod. 2022, 183, 115003. [Google Scholar] [CrossRef]
- Liu, X.; Fu, Z.; Zhang, F.; Wu, M.; Dong, Y. Synthesis of silica Janus nanosheets and their application to the improvement of interfacial interaction in wood polymer composites. J. Mater. Res. Technol. 2021, 15, 4652–4661. [Google Scholar] [CrossRef]
- Yan, M.; Fu, Y.; Pan, Y.; Cheng, X.; Gong, L.; Zhou, Y.; Ahmed, H.; Zhang, H. Highly elastic and fatigue resistant wood/silica composite aerogel operated at extremely low temperature. Compos. Part. B Eng. 2022, 230, 109496. [Google Scholar] [CrossRef]
- Saha, P.; Manna, S.; Chowdhury, S.R.; Sen, R.; Roy, D.; Adhikari, B. Enhancement of tensile strength of lignocellulosic jute fibers by alkali-steam treatment. Bioresour. Technol. 2010, 101, 3182–3187. [Google Scholar] [CrossRef]
- Sawpan, M.A.; Pickering, K.L.; Fernyhough, A. Effect of various chemical treatments on the fibre structure and tensile properties of industrial hemp fibres. Compos. Part. A Appl. Sci. Manuf. 2011, 42, 888–895. [Google Scholar] [CrossRef] [Green Version]
- Xie, C.; Liu, Z.; Wu, P.; Wang, H.; Meng, W. Preparation and Characterization of Polyethylene Glycol Wood Composite Phase Change Materials. For. Sci. 2012, 48, 120–126. [Google Scholar]
- Liufu, S.; Xiao, H.; Li, Y.; Hu, Z. Polyethylene Glycol Adsorption Behavior on Nanoparticulate TiO2 and Its Stability in Aqueous Dispersions. J. Inorg. Mater. 2005, 20, 310–316. [Google Scholar]
- Hu, S.; Zhou, Z.; Chu, L. Preparation of Nano-scale PEG/Fe3O4 Ferrofluids. J. Southwest Jiao-Tong Univ. 2004, 39, 805–808. [Google Scholar]
- Liu, D.; Han, G.; Huang, J.; Zhang, Y. Composition and structure study of natural Nelumbo nucifera fiber. Carbohydr. Polym. 2009, 75, 39–43. [Google Scholar] [CrossRef]
- Célino, A.; Fréour, S.; Jacquemin, F.; Casari, P. Characterization and modeling of the moisture diffusion behavior of natural fibers. J. Appl. Polym. Sci. 2013, 130, 297–306. [Google Scholar] [CrossRef] [Green Version]
- Aravind, P.R.; Niemeyer, P.; Ratke, L. Novel flexible aerogels derived from methyltrimethoxysilane/3-(2,3-epoxypropoxy)propyltrimethoxysilane co-precursor. Microporous Mesoporous Mater. 2013, 181, 111–115. [Google Scholar] [CrossRef]
- Gao, Y.; Wang, X.; Yang, H.; Chen, H. Characterization of products from hydrothermal treatments of cellulose. Energy 2012, 42, 457–465. [Google Scholar] [CrossRef]
- Guo, Q.; Wang, T. Influence of SiO2 pore structure on phase change enthalpy of shape-stabilized polyethylene glycol/silica composites. J. Mater. Sci. 2013, 48, 3716–3721. [Google Scholar] [CrossRef]
- Chapa-González, C.; Piñón-Urbina, A.L.; García-Casillas, P.E. Synthesis of Controlled-Size Silica Nanoparticles from Sodium Metasilicate and the Effect of the Addition of PEG in the Size Distribution. Materials 2018, 11, 510. [Google Scholar] [CrossRef] [Green Version]




| Labels | SiO2 (%) | PEG (%) | KH550 (%) | Compressed | Delignification |
|---|---|---|---|---|---|
| W a | 0 | 0 | 0 | No | No |
| C b | 0 | 0 | 0 | Yes | No |
| DC c | 0 | 0 | 0 | Yes | Yes |
| DC-P d | 0 | 100 | 0 | Yes | Yes |
| DC-SP-1 e | 0.1 | 50 | 0 | Yes | Yes |
| DC-SP-1K f | 0.1 | 50 | 0.1 | Yes | Yes |
| DC-SP-5 g | 0.5 | 50 | 0 | Yes | Yes |
| DC-SP-5K h | 0.5 | 50 | 0.1 | Yes | Yes |
| Samples | Weight Percent Gain (%) | Compression Ratio (%) | Density (g/cm3) |
|---|---|---|---|
| W | / | / | 0.41 ± 0.03 |
| C | / | 50.8 | 0.73 ± 0.05 |
| DC | / | 67.2 | 0.77 ± 0.04 |
| DC-P | 58.73 | 55.9 | 0.85 ± 0.03 |
| DC-SP-1 | 22.94 | 72.2 | 1.13 ± 0.02 |
| DC-SP-1K | 12.88 | 74.7 | 1.22 ± 0.01 |
| DC-SP-5 | 14.79 | 65.5 | 0.94 ± 0.01 |
| DC-SP-5K | 10.99 | 70.9 | 1.07 ± 0.01 |
| Samples | Heating | Cooling | ||
|---|---|---|---|---|
| ΔHm a (J/g) | Tm b (°C) | ΔHc c (J/g) | Tc d (°C) | |
| PEG | 109.5 | 32.3 | 143.8 | 20.9 |
| DC-P | 62.0 | 51.5 | 50.0 | 31.8 |
| DC-SP-1 | 20.7 | 50.0 | 9.8 | 28.7 |
| DC-SP-5 | 8.5 | 44.6 | 0.9 | 23.4 |
Publisher’s Note: MDPI stays neutral with regard to jurisdictional claims in published maps and institutional affiliations. |
© 2022 by the authors. Licensee MDPI, Basel, Switzerland. This article is an open access article distributed under the terms and conditions of the Creative Commons Attribution (CC BY) license (https://creativecommons.org/licenses/by/4.0/).
Share and Cite
Liu, Y.; Shi, J.; Leng, W.; Huang, Q. Modification of Poplar Wood via Polyethylene Glycol Impregnation Coupled with Compression. Forests 2022, 13, 1204. https://doi.org/10.3390/f13081204
Liu Y, Shi J, Leng W, Huang Q. Modification of Poplar Wood via Polyethylene Glycol Impregnation Coupled with Compression. Forests. 2022; 13(8):1204. https://doi.org/10.3390/f13081204
Chicago/Turabian StyleLiu, Yuhan, Jiangtao Shi, Weiqi Leng, and Qiongtao Huang. 2022. "Modification of Poplar Wood via Polyethylene Glycol Impregnation Coupled with Compression" Forests 13, no. 8: 1204. https://doi.org/10.3390/f13081204
APA StyleLiu, Y., Shi, J., Leng, W., & Huang, Q. (2022). Modification of Poplar Wood via Polyethylene Glycol Impregnation Coupled with Compression. Forests, 13(8), 1204. https://doi.org/10.3390/f13081204

