Abstract
Climate change causes the global redistribution of precipitation, yet little is known about the effects of the changes in precipitation intensity and frequency on the seedlings of wood trees in warm temperate forests. In this study, we focused on the effects of variability in both the intensity and frequency of water supply on the physiological traits, biomass, and growth of an important plantation wood species, Robinia pseudoacacia. In the greenhouse, we exposed R. pseudoacacia seedlings to three rainfall intensity and three rainfall frequency treatments. The results from the 62-day experiment revealed that lower rainfall intensity and frequency significantly reduced the photosynthetic performance, growth, and biomass of the tree seedlings. In lower rainfall intensity and frequency conditions, the seedlings had improved water absorption and utilization by increasing the water use efficiency and root shoot ratio, and reduced water consumption by defoliating the compound leaves of the lower crown. More importantly, we found that R. pseudoacacia seedlings were more sensitive to rainfall frequency than to rainfall intensity. Therefore, our results suggest that increasing the irrigation water, especially irrigation frequency, could better facilitate the survival and growth of R. pseudoacacia seedlings and eventually promote the process of vegetation restoration in the future global climate change context.
1. Introduction
On a global scale, heat waves are likely to be more intense and more frequent in a future warmer climate [1,2], which may result in increased soil and plant evapotranspiration. Longer periods of time between rainfall events and lower precipitation during the summer are expected in some regions [3]. In Northern China, the spatial extent of precipitation reduction and the frequency of drought are expected to increase two-fold over the next few decades [4,5]. Some evidence has suggested that both rainfall intensity and frequency significantly affect the growth of plants [6,7]. Therefore, a better understanding of the combined rainfall intensity and frequency on tree growth will provide a scientific basis for suggestions to improve the process of vegetation restoration in warm temperate forests under future climate change conditions.
Rainfall intensity remarkably affects the growth, physiology, morphology, and biomass allocation of plants, as well as even plant survival [7,8]. Low rainfall intensity leads to a low soil moisture content [9]. At low levels of soil moisture, to prevent water loss, the stomata of the leaves tend to be closed, resulting in a decrease in leaf internal carbon dioxide (CO2) concentration, and thus a decline in net CO2 uptake [10,11], which could be recovered by increasing the soil water content. While rainfall intensity continues to decrease, the plant photosynthetic system may be damaged irreversibly, which means that the photosynthetic rate may not be enhanced when the soil moisture content is increased by subsequent rainfall after an extreme drought event [12]. Moreover, plants can adjust biomass allocation patterns to cope with low soil moisture. For example, plants can increase the root biomass ratio to promote water absorbance and reduce leaf biomass to mitigate water loss [13,14]. In addition, plant responses to lower rainfall intensity also depend on species identity [15].
Plants respond not only to rainfall intensity, but also to rainfall frequency [6]. High-frequency rainfall results in high topsoil moisture levels and extensive water loss because of soil evaporation, and leads to a reduction in the available water for plants [7,16]. Furthermore, a previous study suggested that the roots of Artemisia ordosica tend to be distributed in the topsoil under high-frequency rainfall, and that their root system would give them more access to infiltrated water [17]. However, high-frequency precipitation fills the pores of topsoil aggregates, to the disadvantage of gas exchange in the topsoil, limiting the respiration and growth of plant roots [18]. Low-frequency rainfall leads to low levels of topsoil moisture. This large water pulse infiltrates deep soil where evaporation does not occur, and the infiltrated water can be used by plants during later dry periods [19]. This pattern of rainfall has resulted in the roots of plants tending to be distributed in the deep soil, which causes roots to take up deep water to maintain growth and survive in extreme drought conditions [20,21]. Some studies, however, have shown that the frequency of watering events does not affect the physiological and morphological traits of plants [9,22]. Therefore, the influence of precipitation frequency on plants is still debated.
Rainfall intensity and frequency have different contributions to plant growth. Most studies suggest that relatively small changes in rainfall frequency have stronger or similar effects on plant growth than changes in rainfall intensity [6,22,23]. Other studies that have addressed the effect of altering the frequency of watering events on plant growth have shown a much weaker effect than those induced by altered rainfall intensity [21,24]. The differences in these results may be related to setting levels for the intensity and frequency of rainfall or species characteristics. In addition, to the best of our knowledge, the impact of rainfall intensity and frequency on the growth of woody species has rarely been reported [16,25]. Therefore, the impact of rainfall intensity and frequency on woody species remains unclear.
Robinia pseudoacacia, known as the black locust, belongs to the family Leguminosae, and is a native species in North America, but an exotic species in China. Robinia pseudoacacia has been widely introduced for the purpose of forest restoration across China and has become one of the dominant species in warm temperate forests of China [26]. It plays an important role in vegetation restoration in Northern China because of its capacity for rapid growth [27,28] and drought tolerance [29]. Robinia pseudoacacia is also commonly used for other semiarid and arid rehabilitation and plantation programs in Asian countries [30,31]. Its broad distribution means that R. pseudoacacia is likely to be exposed to different levels of rainfall intensity and frequency. The impact of low rainfall intensity and other environmental factors on the growth of R. pseudoacacia has been reported [32,33,34,35]. To date, however, no studies on the response of the morphology and physiology of R. pseudoacacia regarding combined rainfall intensity and frequency conditions have been conducted. Therefore, we conducted greenhouse experiments with three watering intensity levels and three watering frequency levels to (1) examine the morphological and physiological responses of R. pseudoacacia seedlings under different rainfall intensity and frequency conditions, and (2) determine whether R. pseudoacacia is more sensitive to rainfall frequency than to rainfall intensity.
2. Materials and Methods
2.1. Study Site
This study was carried out at the Fanggan Research Station of Shandong University in Jinan, Shandong Province, China (36°26′ N, 117°27′ E, at an altitude of 535 m). The site has a warm temperate monsoon climate. The average annual temperature is 13 ± 1 °C and the annual average precipitation is approximately 700 ± 100 mm, most of which falls (60–70%) from June to September [26]. The climate of Jinan is characterized by a cold and dry winter and hot and wet summer. The air temperature ranges from −1.4 °C in January to 27.4 °C in July, with a mean temperature of 14.3 °C [36]. The average annual evapotranspiration of Jinan is 1000–1300 mm [37]. The soil type in this area is yellow cinnamon, and the parent material is limestone [28]. The experiment was conducted in the greenhouse of the station to ensure a homogenous and controlled environment. During the experiment, the greenhouse was kept well ventilated by rolling up its plastic sides.
2.2. Plant Materials
In October 2014, R. pseudoacacia seeds were collected in the mountains near the Fanggan Research Station, where there are many communities with R. pseudoacacia as the dominant species. We collected the seeds in a R. pseudoacacia community. The seeds were sterilized with a 0.5% potassium permanganate solution, flushed with distilled water, mixed with sand after drying in the shade, and stored at 4 °C throughout the winter. The seeds were soaked in water for 24 h and preserved in wet antiseptic gauze to stimulate germination in May 2015. When the radicles were approximately 2 cm long, the healthy seedlings were transferred to plastic pots (32 cm in height × 29 cm in diameter) with one seedling per pot. Each pot was filled with a mixture of 2:1 (v/v) of sand and loam, which were sieved to remove debris and stones. The total weight of the substrate was 6.5 kg per pot. In the substrate, the pH was 5.7, and the total N, P, and K concentrations of the soil samples were 0.74, 1.52, and 20.82 g/kg, respectively. The seedlings were shielded from precipitation by conducting the entire study in a greenhouse. During the experiment, weeds and insects were controlled manually.
2.3. Experimental Design
We used a weighing method to simulate the effects of rainfall on soil moisture. The controlled experiment employed three rainfall intensities, W1, W2, and W3, which represented 75%, 55%, and 35% of the field capacity, respectively. The amount of water supplied varied depending on the amount of water dissipated by soil evaporation and plant transpiration each day. Each type of rainfall received three frequencies of plant watering: every day (D1), every 3 days (D3), and every 6 days (D6). Each pot received compensatory water by weighing it at 18:00 to maintain the designated soil moisture level. The study was conducted over the entire growing season, from 13 July to 12 September 2015. Six pots were randomly included for each treatment as replicates.
2.4. Measurements
At the end of August, gas exchange parameters were recorded with a portable leaf gas-exchange system (GFS3000, Walz GmbH, Effeltrich, Germany). We selected one expanded and mature leaf on the upper shoot of the three seedlings of each treatment for measurement of the gas exchange parameters from 09:00 to 12:00 the next day after all treatment seedlings were watered. The maximum net photosynthetic rate (Amax), transpiration rate (E), and stomatal conductance (Gs) were recorded. The photosynthetically active radiation (PAR) value was set at 1000 μmol m−2 s−1 during the measurement. The mean air temperature, relative humidity, and CO2 concentration values in the leaf cuvette were 28 °C, 70%, and 400 μmol mol−1, respectively. The water use efficiency (WUE) was calculated as WUE = Amax/E.
In early September, we selected five fully expanded leaves (the fifth or sixth from the tip) to determine the chlorophyll content using a spectrophotometer (722S visible light spectrophotometer, Leng Guang, Inc., Shanghai, China). Chlorophyll a (Chl a) and chlorophyll b (Chl b) were extracted in 95% v/v ethanol according to the method by Lichtenthaler [38]. Chl a, Chl b, and chlorophyll a/chlorophyll b (Chl a/b) were calculated on a fresh weight basis.
The seedling height (H), basal diameter (BD), crown area (CA), and compound leaf number (CLN) were recorded separately at the end of the experiment. Six seedlings were measured for each treatment. The CA was calculated as follows: CA = 0.25 × crown length × crown width.
At the end of the experiment, six seedlings from each treatment were weighed after oven-drying at 80 °C for 48 h. Each seedling was dissected into four sections (main root, lateral roots, stem, and leaves). The main root developed directly from the seed, and the lateral roots extended from the main root [39]. The total biomass and biomass allocation were calculated as follows:
Total biomass (TB) = root biomass (RB) + stem biomass (SB) + leaf biomass (LB);
Root biomass = main root biomass (MRB) + lateral root biomass (LRB);
Root to shoot mass ratio (R/S) = RB/(SB + LB).
2.5. Statistical Analysis
We applied a two-way analysis of variance (ANOVA) to assess the effects of rainfall intensity, rainfall frequency, and their interactions on the recorded parameter of R. pseudoacacia. One-way ANOVA and Duncan’s multiple comparisons were conducted to analyze whether there were significant differences in all of the variables under the rainfall intensity × rainfall frequency treatments. Before ANOVA, the normality and homogeneity of the data were explored using the Kolmogorov–Smirnov test and Levene’s test, respectively. The data were log transformed, if necessary. All two-way ANOVAs and one-way ANOVAs were accompanied with Tukey’s honestly significant difference test at p ≤ 0.05. All data analyses were performed using IBM SPSS Statistics 21.0 (IBM Corporation, Armonk, NY, USA). Figures were drawn using Origin 9.0 software (Origin Lab Co., Northampton, MA, USA).
3. Results
3.1. Leaf Physiology
Rainfall intensity significantly affected E, Gs, and WUE, and rainfall frequency significantly affected Amax, E, Gs, and WUE. In addition, the interaction of rainfall intensity and frequency had a clear effect on all of the gas exchange parameters (Table 1). At the W2 and W3 level, Amax in D1 was significantly higher than that in D3 and D6 (Figure 1A). In D3, E and Gs under the W1 condition were remarkably higher than those under the W2 and W3 conditions. In the D6 treatment, however, E and Gs under the W1 and W2 conditions were significantly lower than those under the W3 conditions (Figure 1B,C). In D1, the WUE in W1 was clearly higher than that under the W2 and W3 conditions. In D3 and D6, WUE reached a maximum under the W2 conditions (Figure 1D). In W2, the WUE increased with the decrease in rainfall frequency. In W3, the WUE reached a maximum in the D3 treatment (Figure 1D).
Table 1.
F values of two-way ANOVA of different treatments on the parameters of R. pseudoacacia.
Figure 1.
Amax, E, Gs, and WUE (panels A–D) of R. pseudoacacia grown in different rainfall intensity and rainfall frequency treatments (mean ± SE, n = 3) at the end of the experiment. Different letters within the same column denote significant differences at p ≤ 0.05 according to Tukey’s–HSD test. W1, W2, and W3: 75%, 55%, and 35% of the field capacity, respectively. D1, D3, and D6: every day, every 3 days, and every 6 days of watering, respectively.
Chl a and Chl b were affected only by rainfall frequency. Rainfall intensity and its interaction with rainfall frequency and intensity had no effect on chlorophyll (Table 1). Chl a and Chl b decreased with the decrease in rainfall frequency (Figure 2A,B).
Figure 2.
Comparisons of Chl a (A) and Chl b (B) of R. pseudoacacia from different rainfall intensity and rainfall frequency treatments (mean ± SE, n = 5) at the end of the experiment. Different letters within the same column denote significant differences at p ≤ 0.05 according to Tukey’s–HSD test. W1, W2, and W3: 75%, 55%, and 35% of field capacity, respectively. D1, D3, and D6: every day, every 3 days, and every 6 days of watering, respectively.
3.2. Growth
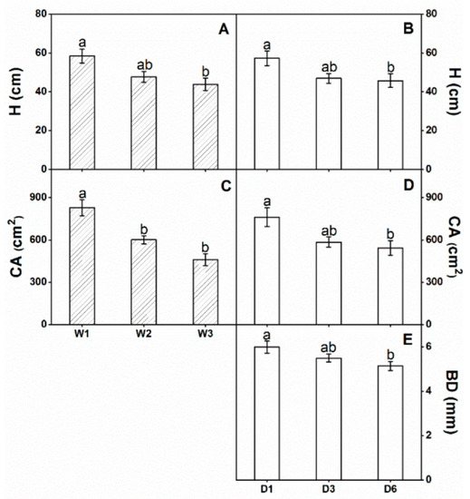
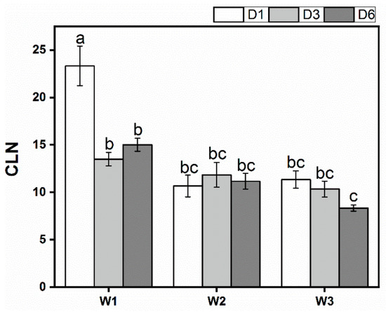
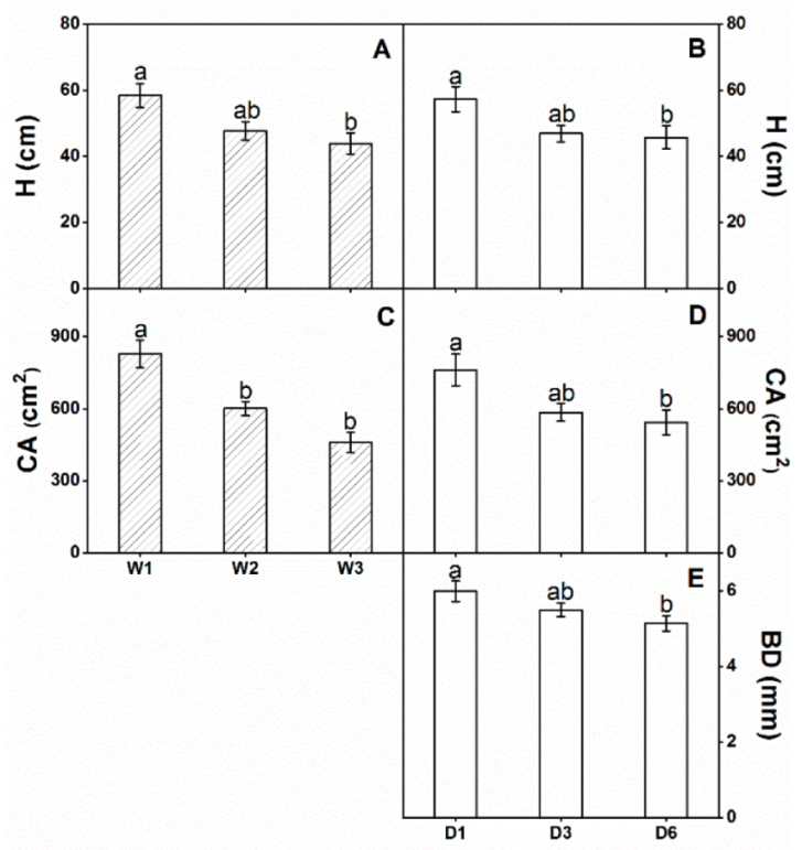
Rainfall intensity significantly affected H, CA, and CLN (Table 1). The height and CA of R. pseudoacacia in W1 were remarkably higher than those in W2 and W3 (Figure 3A,C). The rainfall frequency significantly affected all of the growth parameters (Table 1). The height, CA, and BD in D1 were significantly higher than those in D3 (Figure 3B,D,E). The number of compound leaves was significantly affected by the interaction between rainfall intensity and frequency (Table 1). In W1, the CLN in D1 was clearly higher than that in D3 and D6 (Figure 4). In D1 and D6, this parameter in W3 was significantly lower than that in W1 (Figure 4).
Figure 3.
H, CA, and BD at the end of the experiment in R. pseudoacacia seedlings subjected to rainfall intensity and rainfall frequency treatments (mean ± SE, n = 6). Bars (A,C) in the left graphs are the rainfall intensity treatments (W1, W2, and W3: 75%, 55%, and 35% of field capacity, respectively). Bars (B,D,E) in the right graph represent the rainfall frequency treatments (D1, D3, and D6: every day, every 3 days, and every 6 days of watering, respectively). Different letters denote significant differences at p ≤ 0.05 by Tukey’s–HSD test.
Figure 4.
CLN at the end of the experiment in R. pseudoacacia subjected to different rainfall intensity and rainfall frequency treatments (mean ± SE, n = 6). Different letters within the same column denote significant differences at p ≤ 0.05 according to Tukey’s–HSD test. W1, W2, and W3: 75%, 55%, and 35% of field capacity, respectively. D1, D3, and D6: every day, every 3 days, and every 6 days of watering, respectively.
3.3. Biomass
The leaf biomass, SB, LRB, and TB were significantly affected by rainfall intensity (Table 1). The leaf biomass, SB, and TB decreased with the decrease in rainfall intensity (Figure 5A,C,G). The rainfall frequency significantly affected all of the parameters of biomass accumulation (Table 1). The leaf biomass, SB, RB, and TB in D1 were remarkably higher than those in D3 and D6 (Figure 5B,D,F,H). In addition, no significant interaction was confirmed between rainfall intensity and rainfall frequency (Table 1).
Figure 5.
Comparisons of the biomass of R. pseudoacacia grown in different rainfall intensity and rainfall frequency treatments (mean ± SE, n = 6) at the end of the experiment. The LB (A,B), SB (C,D), RB (E,F), and TB (G,H). Bars (A,C,E,G) in the left graphs are the rainfall intensity treatments (W1, W2, and W3: 75%, 55%, and 35% of the field capacity, respectively). Bars (B,D,F,H) in the right graphs are the rainfall frequency treatments (D1, D3, and D6: every day, every 3 days, and every 6 days of watering, respectively). Different letters denote significant differences at p ≤ 0.05 by Tukey’s–HSD test.
The rainfall intensity, rainfall frequency, and their interaction significantly affected the R/S of R. pseudoacacia (Table 1). In W3, R/S in D6 was clearly higher than that in D1 and D3. In D1, R/S reached a maximum under the W2 conditions. In D6, the R/S in W3 was remarkably higher than that in W1 and W2 (Figure 6).
Figure 6.
R/S at the end of the experiment in R. pseudoacacia grown under different rainfall intensity and rainfall frequency treatments (mean ± SE, n = 6). Different letters within the same column denote significant differences at p ≤ 0.05 according to Tukey’s–HSD test. W1, W2, and W3: 75%, 55%, and 35% of field capacity, respectively. D1, D3, and D6: every day, every 3 days, and every 6 days of watering, respectively.
4. Discussion
In our study, the maximum net photosynthetic rate (Amax), transpiration rate (E), and stomatal conductance (Gs) of seedlings were inhibited by the low rainfall frequency. The correlative adjustment among Amax, E, and Gs suggested that the circulation of CO2 in cells limited by the low rainfall frequency was one of the major reasons for the decline in the net CO2 uptake at the leaf level [21]. In the D3 and D6 treatments, the water use efficiency (WUE) of R. pseudoacacia in W2 was higher than that in W1; in the W2 treatment, WUE decreased with the increase in rainfall frequency. These results indicated that the seedlings were able to greatly improve water use efficiency to adapt to the moderate changes in rainfall intensity and frequency [10,40].
Interestingly, chlorophyll a (Chl a) and chlorophyll b (Chl b) were affected by rainfall frequency, but were not influenced by the rainfall intensity. Chl a is associated with the photosynthetic reaction centers, and Chl b is associated with the light-harvesting complex [41,42], indicating that the lower chlorophyll content at a low rainfall frequency in our study meant that the photosynthetic system of seedlings may be inhibited or even damaged. This damage could be another reason for the low net photosynthesis rate in D3 and D6 treatments under a lower intensity of rainfall conditions. In our study, Chl a/b was unchanged by rainfall intensity or frequency. Our result contrasted with another study in which Phragmites australis had a higher Chl a/b at a lower rainfall intensity [21]. In our study, the underlying mechanisms for the similar Chl a/b under different rainfall intensity treatments were different from those under different rainfall frequency treatments. Unchanged Chl a/b resulted from the fact that Chl a and Chl b had no significant differences under different rainfall intensities. In rainfall frequency treatments, however, this result may have contributed to simultaneously reduced Chl a and Chl b. In summary, our results suggested that the chlorophyll content of seedlings was more sensitive to rain frequency than to rainfall intensity.
Interestingly, the compound leaf number (CLN) of the seedlings was significantly decreased by a low rainfall intensity and frequency. According to our observations, the lower crown leaves of the seedlings were defoliated heavily or turned yellow under low rainfall intensity and frequency treatments. One study showed that upper crown foliage is generally the most productive because it experiences higher levels of illumination and has a higher photosynthetic rate than the foliage in the lower crown [43]. In addition, other studies have shown that new leaves have stronger stomatal control than old leaves [44,45]. Defoliated old leaves could reduce the water loss of seedlings in the lower water intensity and frequency treatments. Therefore, under stress conditions, defoliated leaves in the lower crown of seedlings could reduce water consumption, facilitate the growth of new leaves, and maximize the synthesis of photosynthetic products [46]. This may be another adaptation strategy for plants under a low rainfall intensity and frequency.
As previous studies have demonstrated, both rainfall intensity and frequency significantly influenced the root-to-shoot mass ratio (R/S) of the seedlings [25,47]. When resources are limited, plants usually adapt by allocating more photosynthates to organs that are able to acquire resources [15,48]. In this study, we found that the seedlings invested more in roots under low rainfall intensity and frequency treatments. This strategy may help diminish transpiration and increase the absorption of water, enhancing the plant water status [10,12].
Although the seedlings of R. pseudoacacia enhanced drought resistance by altering traits (improving WUE, increasing R/S, and reducing CLN), most growth traits and the biomass of the seedling were restricted by a low precipitation and frequency. Consistent with previous studies [6,49], most biomass and growth parameters were significantly reduced by a low rainfall intensity and frequency. There are two explanations for this phenomenon in our experiment. The first reason may be the contribution to the low carbon absorption of seedlings under a low rainfall intensity and frequency. On the one hand, although Amax did not change significantly in the different rainfall intensity treatments in this experiment, the low rainfall intensity and frequency clearly reduced the number of compound leaves, which could lead to less carbon uptake throughout seedlings under a low rainfall and frequency. On the other hand, although R. pseudoacacia are nitrogen-fixing trees, which means that they can supply nitrogen through nitrogen-fixing bacteria in the root system, drought inhabits the nitrogen uptake capacity of roots [29]. A lower soil water content reduced the absorption of other nutrients (e.g., P and K), and the inadequate uptake of nutrients may explain the carbon absorption of the seedlings. The second reason may be linked to the increased storage of nonstructural carbohydrates in each organ. Increasing the amount of stored nonstructural carbohydrates can enhance osmotic pressure and help roots absorb more water from arid soil [50,51]. Conversely, it can also be used as a carbon source to maintain the physiological metabolism of plants under insufficient carbon absorption conditions [52,53]. Plants are supposed to increase the carbon consumption rate to maintain their metabolism under drought conditions [54]. Therefore, insufficient carbon absorption and increased carbon consumption may result in seedlings allocating more carbon to storage and less carbon to growth.
In our study, R. pseudoacacia seedlings were more sensitive to rain frequency than to rainfall intensity, which was consistent with some studies showing that relatively small changes in rainfall frequency had strong effects on some species [6,55]. With respect to our results, the explanation for this may involve species identity. Robinia pseudoacacia has a shallow root system, which indicates that many lateral roots are located near the surface of the soil [13]. The change in rainfall frequency significantly affects the soil moisture content, especially the soil on the surface [15,16]. Therefore, the seedlings of R. pseudoacacia were more affected by rainfall frequency than by rainfall intensity.
Robinia pseudoacacia seedlings have a higher risk of hydraulic collapse than Quercus acutissima seedlings under severe drought conditions (the average Gs value no longer declined for 3 days) [30]. In successive drought events, the carbon absorption of the leaf levels of R. pseudoacacia was lower than that of Amorpha fruticosa [56]. Combined with the low biomass of R. pseudoacacia under the low rainfall intensity and frequency treatments in our experiment, we can conclude that R. pseudoacacia does not have a strong drought tolerance. In warm temperate deciduous forests, Wang [57] found that drought was one of the key factors causing R. pseudoacacia mortality. In addition, drought intensity and frequency reduced the N-fixation of R. pseudoacacia, inhibiting the growth of non-fixing trees through its effect on the N cycle [58]. In summary, drought may hinder the vegetation restoration process by inhibiting the growth of R. pseudoacacia, a dominant species in the warm temperate forests of China. Therefore, we recommended a high amount of watering, and especially a higher frequency of watering, in order to maintain vigorous seedling growth, which will be beneficial to vegetation restoration and reconstruction under future global change.
5. Conclusions
Our study showed that water intensity and frequency significantly reduced most photosynthetic characteristics, as well as the growth and biomass of R. pseudoacacia seedlings. However, R. pseudoacacia seedlings had adaptive strategies to acclimate to low rainfall intensity and frequency environments. First, the seedlings had a higher WUE under low rainfall intensity and frequency than under high rainfall intensity and frequency, which suggested that the seedlings could improve water use efficiency to adapt to different drought conditions. Second, the defoliation of older leaves in the lower crown could help seedlings reduce water consumption, facilitate the growth of new leaves, and maximize the synthesis of photosynthetic products in lower water intensity and frequency situations. Third, the increasing R/S of seedlings demonstrated that seedlings had an enhanced water status by increasing the absorption of water in low rainfall intensity and frequency treatments. More importantly, we found that R. pseudoacacia seedlings were more sensitive to rain frequency than to intensity, because of the shallow root system of R. pseudoacacia seedlings. Therefore, we recommend a high watering amount, and especially a higher watering frequency, to maintain vigorous seedling growth, which is beneficial to the restoration and reconstruction of vegetation. In this study, we only studied R. pseudoacacia seedlings under different rainfall intensities and frequencies for 62 days. Our study cannot conclude on the long-term adaptation mechanism of older seedlings or adult R. pseudoacacia trees under various environmental factors in the future. Therefore, long-term experiments with older seedlings or adult trees from different environment factors will be necessary to study the adaptive strategy of R. pseudoacacia accurately in the future.
Author Contributions
Conceptualization, M.L., X.G. and W.G.; methodology, S.Z.; software, S.Z.; validation, S.Z.; formal analysis, S.Z.; investigation, S.Z.; resources, M.L.; data curation, S.Z.; writing—original draft preparation, M.L. and X.G.; writing—review and editing, M.L., X.G., L.L., N.D. and Z.X.; visualization, S.Z.; supervision, W.G.; project administration, M.L., X.G. and W.G.; funding acquisition, M.L., X.G. and W.G. All authors have read and agreed to the published version of the manuscript.
Funding
This research was funded by the National Natural Science Foundation of China (no. 31970347), the Key Research and Development Program of Shandong Province (no. 2021CXGC010803), and the Qingdao Agricultural University Doctoral Start-Up Fund (nos. 6631115021 and 6631120094).
Institutional Review Board Statement
Not applicable.
Informed Consent Statement
Not applicable.
Data Availability Statement
Data are available from the corresponding author upon reasonable request.
Acknowledgments
We express our gratitude to Zhangnan Guan, Ting Yu, and Shijie Yi for their help during the experiment, and LetPub Company for their valuable writing suggestions.
Conflicts of Interest
The authors declare no conflict of interest.
References
- Coumou, D.; Robinson, A. Historic and future increase in the global land area affected by monthly heat extremes. Environ. Res. Lett. 2013, 8, 034018. [Google Scholar] [CrossRef]
- IPCC. Climate Change 2021: The Physical Science Basis; Working Group I to the Sixth Assessment Report of the Intergovernmental Panel on Climate Change; Cambridge University Press: Cambridge, UK, 2021. [Google Scholar]
- Solomon, S.; Quin, D.; Manning, M.; Chen, Z.; Marquis, M.; Averyt, K.B.; Tignor, M.; Miller, H.L. Climate Change 2007: The Physical Science Basis; Working Group I Contribution to the Fourth Assessment Report of the IPCC; Cambridge University Press: Cambridge, UK, 2007.
- Kang, Y.Z.; Peng, X.D.; Wang, S.G.; Dong, C.Q.; Shang, K.Z.; Zhao, Y. Statistical characteristics and synoptic situations of long-duration heavy rainfall events over north China. Earth Space Sci. 2020, 7, e2019EA000923. [Google Scholar] [CrossRef] [Green Version]
- Zhao, S.H.; Cong, D.M.; He, K.X.; Yang, H.; Qin, Z.H. Spatial-temporal variation of drought in China from 1982 to 2010 based on a modified temperature vegetation drought index (mTVDI). Sci. Rep. 2017, 7, 17473. [Google Scholar] [CrossRef] [PubMed]
- Gao, R.; Yang, X.; Liu, G.; Huang, Z.; Walck, J.L. Effects of rainfall pattern on the growth and fecundity of a dominant dune annual in a semi-arid ecosystem. Plant Soil 2015, 389, 335–347. [Google Scholar] [CrossRef]
- Huang, L.; Zhang, Z. Effect of rainfall pulses on plant growth and transpiration of two xerophytic shrubs in a revegetated desert area: Tengger Desert, China. Catena 2016, 137, 269–276. [Google Scholar] [CrossRef]
- Padilla, F.M.; Mommer, L.; de Caluwe, H.; Smit-Tiekstra, A.E.; Visser, E.J.W.; de Kroon, H. Effects of extreme rainfall events are independent of plant species richness in an experimental grassland community. Oecologia 2019, 191, 177–190. [Google Scholar] [CrossRef] [PubMed] [Green Version]
- Guo, X.; Yu, T.; Li, M.Y.; Guo, W.H. The effects of salt and rainfall pattern on morphological and photosynthetic characteristics of Phragmites australis (Poaceae). J. Torrey Bot. Soc. 2018, 145, 212–224. [Google Scholar] [CrossRef]
- Guo, X.; Xu, Z.W.; Li, M.Y.; Ren, X.H.; Liu, J.; Guo, W.H. Increased soil moisture aggravated the competitive effects of the invasive tree Rhus typhina on the native tree Cotinus coggygria. BMC Ecol. 2020, 20, 17. [Google Scholar] [CrossRef] [Green Version]
- Li, M.; Du, N.; Guo, X.; Yu, T.; Zhao, S.; Guo, W. Nitrogen deposition does not reduce water deficit in Ailanthus altissima seedlings. Flora 2017, 233, 171–178. [Google Scholar] [CrossRef]
- Xu, N.; Guo, W.; Liu, J.; Du, N.; Wang, R. Increased nitrogen deposition alleviated the adverse effects of drought stress on Quercus variabilis and Quercus mongolica seedlings. Acta Physiol. Plant. 2015, 37, 107. [Google Scholar] [CrossRef]
- Robakowski, P.; Wyka, T.P.; Kowalkowski, W.; Barzdajn, W.; Pers-Kamczyc, E.; Jankowski, A.; Politycka, B. Practical implications of different phenotypic and molecular responses of evergreen conifer and broadleaf deciduous forest tree species to regulated water deficit in a container nursery. Forests 2020, 11, 1011. [Google Scholar] [CrossRef]
- Xu, F.; Guo, W.H.; Wang, R.Q.; Xu, W.H.; Du, N.; Wang, Y.F. Leaf movement and photosynthetic plasticity of black locust (Robinia pseudoacacia) alleviate stress under different light and water conditions. Acta Physiol. Plant. 2009, 31, 553–563. [Google Scholar] [CrossRef]
- Yuan, C.; Gao, G.Y.; Fu, B.J.; He, D.M.; Duan, X.W.; Wei, X.H. Temporally dependent effects of rainfall characteristics on inter- and intra-event branch-scale stemflow variability in two xerophytic shrubs. Hydrol. Earth Syst. Sci. 2019, 23, 4077–4095. [Google Scholar] [CrossRef] [Green Version]
- Gessler, A.; Bachli, L.; Freund, E.R.; Treydte, K.; Schaub, M.; Haeni, M.; Weiler, M.; Seeger, S.; Marshall, J.; Hug, C.; et al. Drought reduces water uptake in beech from the drying topsoil, but no compensatory uptake occurs from deeper soil layers. New Phytol. 2022, 233, 194–206. [Google Scholar] [CrossRef] [PubMed]
- Huang, L.; Zhang, Z.S.; Li, X.R. Sap flow of Artemisia ordosica and the influence of environmental factors in a revegetated desert area: Tengger Desert, China. Hydrol. Process. 2010, 24, 1248–1253. [Google Scholar]
- Zhang, Q.Y.; Shao, M.A.; Jia, X.X.; Wei, X.R. Changes in soil physical and chemical properties after short drought stress in semi-humid forests. Geoderma 2019, 338, 170–177. [Google Scholar] [CrossRef]
- Kletter, A.Y.; von Hardenberg, J.; Meron, E.; Provenzale, A. Patterned vegetation and rainfall intermittency. J. Theor. Biol. 2009, 256, 574–583. [Google Scholar] [CrossRef] [Green Version]
- Zhang, Z.S.; Li, X.R.; Liu, L.C.; Jia, R.L.; Zhang, J.G.; Wang, T. Distribution, biomass, and dynamics of roots in a revegetated stand of Caragana korshinskii in the Tengger Desert, northwestern China. J. Plant Res. 2009, 122, 109–119. [Google Scholar] [CrossRef]
- Zhang, Z.S.; Li, X.R.; Wang, T.; Wang, X.P.; Xue, Q.W.; Liu, L.C. Distribution and seasonal dynamics of roots in a revegetated stand of Artemisia ordosica Kracsh. in the Tengger Desert (North China). Arid Land Res. Manag. 2008, 22, 195–211. [Google Scholar] [CrossRef]
- Miranda, J.D.; Armas, C.; Padilla, F.M.; Pugnaire, F.I. Climatic change and rainfall patterns: Effects on semi-arid plant communities of the Iberian Southeast. J. Arid Environ. 2011, 75, 1302–1309. [Google Scholar] [CrossRef]
- Sepulveda, M.; Bown, H.E.; Miranda, M.D.; Fernandez, B. Impact of rainfall frequency and intensity on inter- and intra-annual satellite-derived EVI vegetation productivity of an Acacia caven shrubland community in Central Chile. Plant Ecol. 2018, 219, 1209–1223. [Google Scholar] [CrossRef]
- Spence, L.A.; Liancourt, P.; Boldgiv, B.; Petraitis, P.S.; Casper, B.B. Short-term manipulation of precipitation in Mongolian steppe shows vegetation influenced more by timing than amount of rainfall. J. Veg. Sci. 2016, 27, 249–258. [Google Scholar] [CrossRef]
- Padilla, F.M.; Miranda, J.D.; Jorquera, M.J.; Pugnaire, F.I. Variability in amount and frequency of water supply affects roots but not growth of arid shrubs. Plant Ecol. 2009, 204, 261–270. [Google Scholar] [CrossRef]
- Wang, R.Q.; Zhou, G.Y. The Vegetation of Shandong Province; Shandong Science and Technology Publisher: Jinan, China, 2000. [Google Scholar]
- Ding, W.; Wang, R.; Yuan, Y.; Liang, X.; Liu, J. Effects of nitrogen deposition on growth and relationship of Robinia pseudoacacia and Quercus acutissima seedlings. Dendrobiology 2012, 67, 3–13. [Google Scholar]
- Luo, Y.; Yuan, Y.; Wang, R.; Liu, J.; Du, N.; Guo, W. Functional traits contributed to the superior performance of the exotic species Robinia pseudoacacia: A comparison with the native tree Sophora japonica. Tree Physiol. 2015, 36, 345–355. [Google Scholar] [CrossRef] [Green Version]
- Minucci, J.M.; Miniat, C.F.; Teskey, R.O.; Wurzburger, N. Tolerance or avoidance: Drought frequency determines the response of an N2-fixing tree. New Phytol. 2017, 215, 434–442. [Google Scholar] [CrossRef] [Green Version]
- Sadeghi, S.M.M.; Van Stan, J.T.; Pypker, T.G.; Tamjidi, J.; Friesen, J.; Farahnaklangroudi, M. Importance of transitional leaf states in canopy rainfall partitioning dynamics. Eur. J. Forest Res. 2018, 137, 121–130. [Google Scholar] [CrossRef]
- Yildiz, O.; Altundağ, E.; Çetin, B.; Güner, Ş.T.; Sarginci, M.; Toprak, B. Experimental arid land afforestation in Central Anatolia, Turkey. Environ. Monit. Assess. 2018, 190, 355. [Google Scholar] [CrossRef]
- Li, Q.; Wang, N.; Liu, X.; Liu, S.; Wang, H.; Zhang, W.; Wang, R.; Du, N. Growth and physiological responses to successional water deficit and recovery in four warm-temperate woody species. Physiol. Plant. 2019, 167, 645–660. [Google Scholar] [CrossRef]
- Mantovani, D.; Veste, M.; Boldt-Burisch, K.; Fritsch, S.; Koning, L.A.; Freese, D. Carbon allocation, nodulation, and biological nitrogen fixation of black locust (Robinia pseudoacacia L.) under soil water limitation. Ann. For. Res. 2015, 58, 259–274. [Google Scholar] [CrossRef]
- Srodek, D.; Rahmonov, O. The properties of Black Locust Robinia pseudoacacia L. to selectively accumulate chemical elements from soils of ecologically transformed areas. Forests 2022, 13, 18. [Google Scholar]
- Wang, N.; Ji, T.Y.; Liu, X.; Li, Q.; Sairebieli, K.; Wu, P.; Song, H.J.; Wang, H.; Du, N.; Zheng, P.M.; et al. Defoliation significantly suppressed plant growth under low light conditions in two Leguminosae species. Front Plant Sci. 2022, 12, 14. [Google Scholar] [CrossRef] [PubMed]
- Guo, Y.; Qin, D.; Li, L.; Sun, J.; Li, F.; Huang, J. A complicated karst spring system: Identified by karst springs using water level, hydrogeochemical, and isotopic data in Jinan, China. Water 2019, 11, 947. [Google Scholar] [CrossRef] [Green Version]
- Dou, S.; Cao, S.L. Analysis of rainfall runoff and torrential flood characteristics in Xiaoqing river in Jinan. In Proceedings of the 5th China Water Forum, Nanjing, China, 11 November 2007. [Google Scholar]
- Lichtenthaler, H.K. Chlorophylls and carotenoids: Pigments of photosynthetic biomembranes. Methods Enzymol. 1987, 148, 350–382. [Google Scholar]
- Guo, X.; Wang, R.; Chang, R.; Liang, X.; Wang, C.; Luo, Y.; Yuan, Y.; Guo, W. Effects of nitrogen addition on growth and photosynthetic characteristics of Acer truncatum seedlings. Dendrobiology 2014, 72, 147–157. [Google Scholar] [CrossRef]
- Stallmann, J.; Schweiger, R.; Muller, C. Effects of continuous versus pulsed drought stress on physiology and growth of wheat. Plant Biol. 2018, 20, 1005–1013. [Google Scholar] [CrossRef]
- Jiménez, M.D.; Pardos, M.; Puértolas, J.; Kleczkowski, L.A.; Pardos, J.A. Deep shade alters the acclimation response to moderate water stress in Quercus suber L. Forestry 2009, 82, 285–298. [Google Scholar] [CrossRef] [Green Version]
- Zhang, J. Strategies for reclaiming and ameliorating saline soil in the Yellow River Delta region. In Coastal Saline Soil Rehabilitation and Utilization Based on Forestry Approaches in China; Springer: Berlin, Germany, 2014; pp. 55–64. [Google Scholar]
- Pinkard, E.A.; Battaglia, M.; Beadle, C.L.; Sands, P.J. Modelling the effect of physiological responses to green pruning on net biomass production of Eucalyptus nitens (Deane and Maiden) Maiden. Tree Physiol. 1999, 19, 1–12. [Google Scholar] [CrossRef] [Green Version]
- Ethier, G.J.; Livingston, N.J.; Harrison, D.L.; Black, T.A.; Moran, J.A. Low stomatal and internal conductance to CO2 versus Rubisco deactivation as determinants of the photosynthetic decline of ageing evergreen leaves. Plant Cell Environ. 2006, 29, 2168–2184. [Google Scholar] [CrossRef]
- Menezes, J.; Garcia, S.; Grandis, A.; Nascimento, H.; Domingues, T.F.; Guedes, A.; Aleixo, I.; Camargo, P.; Campos, J.; Damasceno, A.; et al. Changes in leaf functional traits with leaf age: When do leaves decrease their photosynthetic capacity in Amazonian trees? Tree Physiol. 2021, 42, 922–938. [Google Scholar] [CrossRef]
- Pinkard, E.A.; Baillie, C.C.; Patel, V.; Paterson, S.; Battaglia, M.; Smethurst, P.J.; Mohammed, C.L.; Wardlaw, T.; Stone, C. Growth responses of Eucalyptus globulus Labill. to nitrogen application and severity, pattern and frequency of artificial defoliation. Forest Ecolo. Manag. 2006, 229, 378–387. [Google Scholar] [CrossRef]
- Shan, L.; Zhao, W.; Li, Y.; Zhang, Z.; Xie, T. Precipitation amount and frequency affect seedling emergence and growth of Reaumuria soongarica in northwestern China. J. Arid Land 2018, 10, 574–587. [Google Scholar] [CrossRef] [Green Version]
- Wang, M.L.; Jiang, Y.S.; Wei, J.Q.; Wei, X.; Qi, X.X.; Jiang, S.Y.; Wang, Z.M. Effects of irradiance on growth, photosynthetic characteristics, and artemisinin content of Artemisia annua L. Photosynthetica 2008, 46, 17–20. [Google Scholar] [CrossRef]
- Hao, Y.; Kang, X.; Wu, X.; Cui, X.; Liu, W.; Zhang, H.; Li, Y.; Wang, Y.; Xu, Z.; Zhao, H. Is frequency or amount of precipitation more important in controlling CO2 fluxes in the 30-year-old fenced and the moderately grazed temperate steppe? Agr. Ecosyst. Environ. 2013, 171, 63–71. [Google Scholar] [CrossRef]
- Quentin, A.G.; O'Grady, A.P.; Beadle, C.L.; Mohammed, C.; Pinkard, E.A. Interactive effects of water supply and defoliation on photosynthesis, plant water status and growth of Eucalyptus globulus Labill. Tree Physiol. 2012, 32, 958–967. [Google Scholar] [CrossRef]
- Weber, R.; Schwendener, A.; Schmid, S.; Lambert, S.; Wiley, E.; Landhäusser, S.M.; Hartmann, H.; Hoch, G. Living on next to nothing: Tree seedlings can survive weeks with very low carbohydrate concentrations. New Phytol. 2018, 218, 107–118. [Google Scholar] [CrossRef] [Green Version]
- Jacquet, J.S.; Bosc, A.; O'Grady, A.; Jactel, H. Combined effects of defoliation and water stress on pine growth and non-structural carbohydrates. Tree Physiol. 2014, 34, 367–376. [Google Scholar] [CrossRef]
- Sala, A.; Woodruff, D.R.; Meinzer, F.C. Carbon dynamics in trees: Feast or famine? Tree Physiol. 2012, 32, 764–775. [Google Scholar] [CrossRef] [Green Version]
- Liu, Y.; Li, P.; Wang, T.; Liu, Q.; Wang, W. Root respiration and belowground carbon allocation respond to drought stress in a perennial grass (Bothriochloa ischaemum). Catena 2020, 188, 104449. [Google Scholar] [CrossRef]
- Sher, A.A.; Goldberg, D.E.; Novoplansky, A. The effect of mean and variance in resource supply on survival of annuals from Mediterranean and desert environments. Oecologia 2004, 141, 353–362. [Google Scholar] [CrossRef] [Green Version]
- Yan, W.M.; Zheng, S.X.; Zhong, Y.Q.W.; Shangguan, Z.P. Contrasting dynamics of leaf potential and gas exchange during progressive drought cycles and recovery in Amorpha fruticosa and Robinia pseudoacacia. Sci. Rep. 2017, 7, 4470. [Google Scholar] [CrossRef] [PubMed] [Green Version]
- Wang, L.; Dai, Y.X.; Sun, J.Z.; Wan, X.C. Differential hydric deficit responses of Robinia pseudoacacia and Platycladus orientalis in pure and mixed stands in northern China and the species interactions under drought. Trees 2017, 31, 2011–2021. [Google Scholar] [CrossRef]
- Minucci, J.M.; Miniat, C.F.; Wurzburger, N. Drought sensitivity of an N2-fixing tree may slow temperate deciduous forest recovery from disturbance. Ecology 2019, 100, e02862. [Google Scholar] [CrossRef] [PubMed]
Publisher’s Note: MDPI stays neutral with regard to jurisdictional claims in published maps and institutional affiliations. |
© 2022 by the authors. Licensee MDPI, Basel, Switzerland. This article is an open access article distributed under the terms and conditions of the Creative Commons Attribution (CC BY) license (https://creativecommons.org/licenses/by/4.0/).





