Extracellular Enzyme Stoichiometry Reveals Soil Microbial Carbon and Phosphorus Limitations in the Yimeng Mountain Area, China
Abstract
:1. Introduction
2. Materials and Methods
2.1. Study Site
2.2. Experimental Design and Soil Sampling
2.3. Soil Physiochemical Analysis
2.4. Assays of Extracellular Enzyme Activities
2.5. Extracellular Enzyme Stoichiometry Model
2.6. Statistical Analysis
3. Results
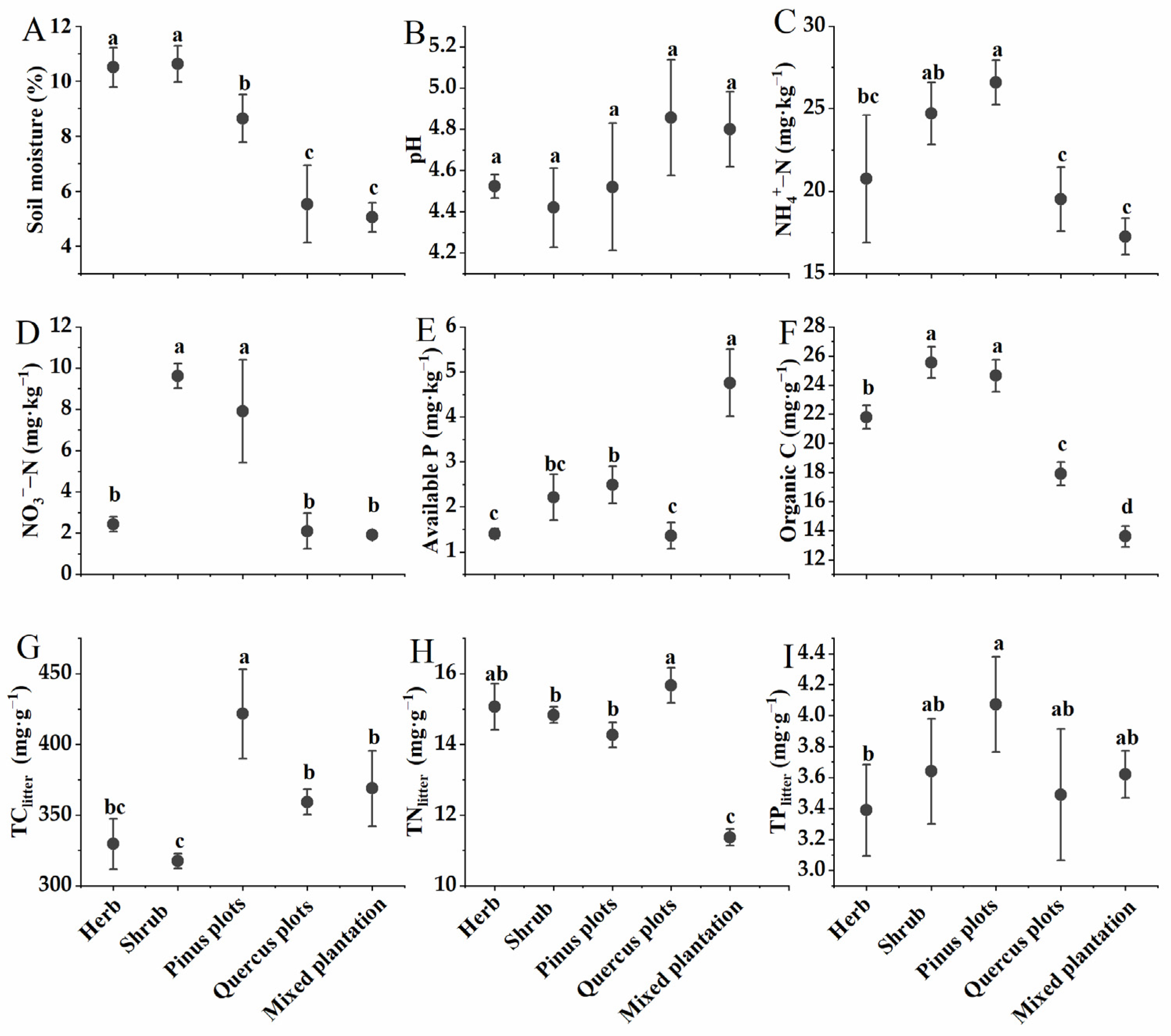
3.1. Soil and Litter Physiochemical Properties
3.2. Extracellular Enzyme Activities
3.3. Vector Characteristics of Extracellular Enzyme Stoichiometry
3.4. Relationships between the Limitation of Microbial Metabolism and Soil and Litter Properties
4. Discussion
4.1. Relative Limitations of Microbial Metabolism
4.2. Soil Physical and Chemical Properties and Litter Nutrition Affects Microbial C and P Limitations
5. Conclusions
Supplementary Materials
Author Contributions
Funding
Institutional Review Board Statement
Informed Consent Statement
Data Availability Statement
Conflicts of Interest
References
- Jing, X.; Yang, X.; Ren, F.; Zhou, H.; Zhu, B.; He, J.S. Neutral effect of nitrogen addition and negative effect of phosphorus addition on topsoil extracellular enzymatic activities in an alpine grassland ecosystem. Appl. Soil Ecol. 2016, 107, 205–213. [Google Scholar] [CrossRef]
- Zhou, X.Q.; Wang, S.S.J.; Chen, C.R. Modeling the effects of tree species and incubation temperature on soil’s extracellular enzyme activity in 78-year-old tree plantations. Biogeosciences 2017, 14, 5393–5402. [Google Scholar] [CrossRef] [Green Version]
- Karhu, K.; Auffret, M.D.; Dungait, J.A.; Hopkins, D.W.; Prosser, J.I.; Singh, B.K.; Subke, J.A.; Wookey, P.A.; Agren, G.I.; Sebastia, M.T.; et al. Temperature sensitivity of soil respiration rates enhanced by microbial community response. Nature 2014, 513, 81–84. [Google Scholar] [CrossRef] [PubMed]
- Zhao, S.; Li, K.; Zhou, W.; Qiu, S.; Huang, S.; He, P. Changes in soil microbial community, enzyme activities and organic matter fractions under long-term straw return in north-central China. Agric. Ecosyst. Environ. 2016, 216, 82–88. [Google Scholar] [CrossRef]
- Xu, J.; Liu, B.; Qu, Z.L.; Ma, Y.; Sun, H. Age and Species of Eucalyptus Plantations Affect Soil Microbial Biomass and Enzymatic Activities. Microorganisms 2020, 8, 811. [Google Scholar] [CrossRef]
- Bailey, V.L.; Fansler, S.J.; Smith, J.L.; Bolton, H. Reconciling apparent variability in effects of biochar amendment on soil enzyme activities by assay optimization. Soil Biol. Biochem. 2011, 43, 296–301. [Google Scholar] [CrossRef]
- Sinsabaugh, R.L.; Lauber, C.L.; Weintraub, M.N.; Ahmed, B.; Allison, S.D.; Crenshaw, C.; Contosta, A.R.; Cusack, D.; Frey, S.; Gallo, M.E.; et al. Stoichiometry of soil enzyme activity at global scale. Ecol. Lett. 2008, 11, 1252–1264. [Google Scholar] [CrossRef]
- Kumar, M.; Sheikh, M.A.; Bhat, J.A.; Bussmann, R.W. Effect of fire on soil nutrients and under storey vegetation in Chir pine forest in Garhwal Himalaya, India. Acta Ecol. Sin. 2013, 33, 59–63. [Google Scholar] [CrossRef]
- Chen, H.; Li, D.; Mao, Q.; Xiao, K.; Wang, K. Resource limitation of soil microbes in karst ecosystems. Sci. Total Environ. 2019, 650, 241–248. [Google Scholar] [CrossRef]
- Xiao, H.; Yang, H.; Zhao, M.; Monaco, T.A.; Rong, Y.; Huang, D.; Song, Q.; Zhao, K.; Wang, D. Soil extracellular enzyme activities and the abundance of nitrogen-cycling functional genes responded more to N addition than P addition in an Inner Mongolian meadow steppe. Sci. Total Environ. 2021, 759, 143541. [Google Scholar] [CrossRef]
- Xu, Z.; Yu, G.; Zhang, X.; He, N.; Wang, Q.; Wang, S.; Wang, R.; Zhao, N.; Jia, Y.; Wang, C. Soil enzyme activity and stoichiometry in forest ecosystems along the North-South Transect in eastern China (NSTEC). Soil Biol. Biochem. 2017, 104, 152–163. [Google Scholar] [CrossRef]
- Peng, X.Q.; Wang, W. Stoichiometry of soil extracellular enzyme activity along a climatic transect in temperate grasslands of northern China. Soil Biol. Biochem. 2016, 98, 74–84. [Google Scholar] [CrossRef]
- Zhu, X.; Liu, M.; Kou, Y.; Liu, D.; Liu, Q.; Zhang, Z.; Jiang, Z.; Yin, H. Differential effects of N addition on the stoichiometry of microbes and extracellular enzymes in the rhizosphere and bulk soils of an alpine shrubland. Plant Soil 2020, 449, 285–301. [Google Scholar] [CrossRef]
- Moorhead, D.L.; Rinkes, Z.L.; Sinsabaugh, R.L.; Weintraub, M.N. Dynamic relationships between microbial biomass, respiration, inorganic nutrients and enzyme activities: Informing enzyme-based decomposition models. Front. Microbiol. 2013, 4, 223. [Google Scholar] [CrossRef] [Green Version]
- Cui, Y.; Fang, L.; Guo, X.; Han, F.; Ju, W.; Ye, L.; Wang, X.; Tan, W.; Zhang, X. Natural grassland as the optimal pattern of vegetation restoration in arid and semi-arid regions: Evidence from nutrient limitation of soil microbes. Sci. Total Environ. 2019, 648, 388–397. [Google Scholar] [CrossRef]
- Cui, Y.; Zhang, Y.; Duan, C.; Wang, X.; Zhang, X.; Ju, W.; Chen, H.; Yue, S.; Wang, Y.; Li, S.; et al. Ecoenzymatic stoichiometry reveals microbial phosphorus limitation decreases the nitrogen cycling potential of soils in semi-arid agricultural ecosystems. Soil Till. Res. 2020, 197, 104463. [Google Scholar] [CrossRef]
- Tapia-Torres, Y.; Elser, J.J.; Souza, V.; García-Oliva, F. Ecoenzymatic stoichiometry at the extremes: How microbes cope in an ultra-oligotrophic desert soil. Soil Biol. Biochem. 2015, 87, 34–42. [Google Scholar] [CrossRef]
- He, Q.; Wu, Y.; Bing, H.; Zhou, J.; Wang, J. Vegetation type rather than climate modulates the variation in soil enzyme activities and stoichiometry in subalpine forests in the eastern Tibetan Plateau. Geoderma 2020, 374, 114424. [Google Scholar] [CrossRef]
- Feng, C.; Ma, Y.; Jin, X.; Wang, Z.; Ma, Y.; Fu, S.; Chen, H.Y.H. Soil enzyme activities increase following restoration of degraded subtropical forests. Geoderma 2019, 351, 180–187. [Google Scholar] [CrossRef]
- Zhu, L.F.; Xie, S.Y.; Yang, H.; Ma, M.G. Study on the spatial-temporal variability of vegetation coverage based on MODIS-EVI in Chongqing. Acta Ecol. Sinica. 2018, 38, 6992–7002. [Google Scholar]
- Yan, T.; Zhao, W.; Zhu, Q.; Xu, F.; Gao, Z. Spatial distribution characteristics of the soil thickness on different land use types in the Yimeng Mountain Area, China. Alex. Eng. J. 2021, 60, 511–520. [Google Scholar] [CrossRef]
- Li, S.Y.; Zhao, Q.K.; Lang, Y.; Zhang, C.Y.; Li, H.; Sun, Y.N. Response of photosynthetic efficiency in the leaves of Lonicera japonica to soil moisture in Yimeng mountainous area. J. Northwest For. Univ. 2020, 35, 55–60. [Google Scholar]
- Cui, Y.; Fang, L.; Guo, X.; Wang, X.; Wang, Y.; Li, P.; Zhang, Y.; Zhang, X. Responses of soil microbial communities to nutrient limitation in the desert-grassland ecological transition zone. Sci. Total Environ. 2018, 642, 45–55. [Google Scholar] [CrossRef] [PubMed]
- Huang, W.; Liu, J.; Ying, P.W.; Zhou, G.Y.; Han, T.F.; Li, Y. Increasing phosphorus limitation along three successional forests in southern China. Plant Soil. 2013, 364, 181–191. [Google Scholar] [CrossRef]
- Ashagrie, Y.; Zech, W.; Guggenberger, G. Transformation of a Podocarpus falcatus dominated natural forest into a monoculture Eucalyptus globulus plantation at Munesa, Ethiopia: Soil organic C, N and S dynamics in primary particle and aggregate-size fractions. Agric. Ecosyst. Environ. 2005, 106, 89–98. [Google Scholar] [CrossRef]
- Sinsabaugh, R.L.; Hill, B.H.; Follstad Shah, J.J. Ecoenzymatic stoichiometry of microbial organic nutrient acquisition in soil and sediment. Nature 2009, 462, 795–798. [Google Scholar] [CrossRef]
- Hill, A.; Brian, H.; Seifert, L.R.; May, A.A.; Tarquinio, E. Microbial enzyme stoichiometry and nutrient limitation in US streams and rivers. Ecol. Indic. 2012, 18, 540–551. [Google Scholar] [CrossRef]
- Zheng, L.; Chen, H.; Wang, Y.Q.; Mao, Q.G.; Zheng, M.H.; Su, Y.R.; Xiao, K.C.; Wang, K.L.; Li, D.J. Responses of soil microbial resource limitation to multiple fertilization strategies. Soil Till. Res. 2020, 196, 104474. [Google Scholar] [CrossRef]
- Li, J.W.; Shangguan, Z.P.; Deng, L. Dynamics of soil microbial metabolic activity during grassland succession after farmland abandonment. Geoderma 2020, 363, 114167. [Google Scholar] [CrossRef]
- Ma, W.J.; Li, J.; Gao, Y.; Xing, F.; Sun, S.N.; Zhang, T.; Zhu, X.Z.; Chen, C.; Li, Z. Responses of soil extracellular enzyme activities and microbial community properties to interaction between nitrogen addition and increased precipitation in a semi-arid grassland ecosystem. Sci. Total Environ. 2020, 703, 134691. [Google Scholar] [CrossRef]
- Bai, A.; Dippold, M.A.; An, S.S.; Wang, B.R.; Zhang, H.X.; Loeppmann, S. Extracellular enzyme activity and stoichiometry: The effect of soil microbial element limitation during leaf litter decomposition. Ecol. Indic. 2021, 121, 107200. [Google Scholar] [CrossRef]
- Gao, Y.Q.; Dai, X.Q.; Wang, J.L.; Fu, X.L.; Kou, L.; Wang, H.M. Characteristics of soil enzymes stoichiometry in rhizosphere of understory vegetation in subtropical forest plantations. Chin. J. Plant Ecol. 2019, 43, 258–272. [Google Scholar] [CrossRef]
- Bell, C.; Carrillo, Y.; Boot, C.M.; Rocca, J.D.; Pendall, E.; Wallenstein, M.D. Rhizosphere stoichiometry: Are C: N: P ratios of plants, soils, and enzymes conserved at the plant species-level? New Phytol. 2013, 201, 505–517. [Google Scholar] [CrossRef] [PubMed]
- Allison, S.D.; Czimczik, C.I.; Treseder, K.K. Microbial activity and soil respiration under nitrogen addition in Alaskan boreal forest. Glob. Chang Biol. 2008, 14, 1156–1168. [Google Scholar] [CrossRef] [Green Version]
- Wang, R.; Dorodnikov, M.; Yang, S.; Zhang, Y.; Filley, T.R.; Turco, R.F.; Zhang, Y.; Xu, Z.; Li, H.; Jiang, Y. Responses of enzymatic activities within soil aggregates to 9-year nitrogen and water addition in a semi-arid grassland. Soil Biol. Biochem. 2015, 81, 159–167. [Google Scholar] [CrossRef]
- Zhang, Y.W.; Deng, L.; Yan, W.M.; Shangguan, Z.P. Interaction of soil water storage dynamics and long-term natural vegetation succession on the Loess Plateau, China. Catena 2016, 137, 52–60. [Google Scholar] [CrossRef]
- Toberman, C.D.; Evans, C.; Freeman, N.; Fenner, M.; White, B.A.; Emmett, R.R.E. Summer drought effects upon soil and litter extracellular phenol oxidase activity and soluble carbon release in an upland Calluna heathland. Soil Biol. Biochem. 2008, 40, 1519–1532. [Google Scholar] [CrossRef]
- Mooshammer, M.; Wanek, W.; Zechmeister-Boltenstern, S.; Richter, A. Stoichiometric imbalances between terrestrial decomposer communities and their resources: Mechanisms and implications of microbial adaptations to their resources. Front. Microbiol. 2014, 5, 22. [Google Scholar] [CrossRef] [Green Version]
- Burns, R.G.; DeForest, J.L.; Marxsen, J.; Sinsabaugh, R.L.; Stromberger, M.E.; Wallenstein, M.D.; Weintraub, M.N.; Zoppini, A. Soil enzymes in a changing environment: Current knowledge and future directions. Soil Biol. Biochem. 2013, 58, 216–234. [Google Scholar] [CrossRef]
- Li, M.Z.; Gao, Y.K.; Di, X.Y.; Fan, W.Y. Detecting the moisture content of forest surface soil based on the microwave remote sensing technology. Chin. J. Appl. Ecol. 2016, 27, 785–793. [Google Scholar]
- D’Odorico, P.; Schonbeck, L.; Vitali, V.; Meusburger, K.; Schaub, M.; Ginzler, C.; Zweifel, R.; Velasco, V.M.E.; Gisler, J.; Gessler, A.; et al. Drone-based physiological index reveals long-term acclimation and drought stress responses in trees. Plant Cell Environ. 2021, 44, 3552–3570. [Google Scholar] [CrossRef] [PubMed]
- Heisner, U.R.B.; Hildebrand, E.E. The importance of the soil skeleton for plant-available nutrients in sites of the Southern Black Forest, Germany. Eur. J. Forest Res. 2004, 123, 249–257. [Google Scholar] [CrossRef]
- Deng, L.; Wang, K.; Tang, Z.; Shang, G.Z. Soil organic carbon dynamics following natural vegetation restoration: Evidence from stable carbon isotopes (δ13C). Agric. Ecosyst. Environ. 2016, 221, 235–244. [Google Scholar] [CrossRef]
- Arai, H.; Tokuchi, N. Soil organic carbon accumulation following afforestation in a Japanese coniferous plantation based on particle-size fractionation and stable isotope analysis. Geoderma 2010, 159, 425–430. [Google Scholar] [CrossRef]
- Luan, L.L.; Liu, E.Y.; Gu, X.; Sun, J.X. Effects of litter manipulation and nitrogen addition on soil ecoenzymatic stoichiometry in a mixed pine and oak forest. Acta Ecol. Sin. 2020, 40, 1–14. [Google Scholar]
- Yue, K.; Fornara, D.A.; Yang., W.; Peng, Y.; Li, Z.; Wu, F.; Peng, C. Effects of three global change drivers on terrestrial C:N:P stoichiometry: A global synthesis. Glob. Change Biol. 2017, 23, 2450–2463. [Google Scholar] [CrossRef]
- Castle, C.S.; Sullivan, B.W.; Knelman, J.; Hood, E.; Nemergut, D.R.; Schmidt, S.K.; Cleveland, C.C. Nutrient limitation of soil microbial activity during the earliest stages of ecosystem development. Oecologia 2017, 185, 513–524. [Google Scholar] [CrossRef]
- Wang, M.; Han, Y.; Xu, Z.; Wang, S.; Jiang, M.; Wang, G. Hummock-hollow microtopography affects soil enzyme activity by creating environmental heterogeneity in the sedge-dominated peatlands of the Changbai Mountains, China. Ecol. Indic. 2021, 121, 107187. [Google Scholar] [CrossRef]
- Chen, Y.; Liu, Y.; Zhang, J.; Yang, W.; He, R.; Deng, C. Microclimate exerts greater control over litter decomposition and enzyme activity than litter quality in an alpine forest-tundra ecotone. Sci. Rep. 2018, 8, 14998. [Google Scholar] [CrossRef]
- Semenov, M.V.; Chernov, T.I.; Tkhakakhova, A.K.; Zhelezova, A.D.; Ivanova, E.A.; Kolganova, T.V.; Kutovaya, O.V. Distribution of prokaryotic communities throughout the Chernozem profiles under different land uses for over a century. Appl. Soil Ecol. 2018, 127, 8–18. [Google Scholar] [CrossRef]
- Schimel, J.P.; Schaeffer, S.M. Microbial control over carbon cycling in soil. Front. Microbiol. 2012, 3, 348. [Google Scholar] [CrossRef] [PubMed] [Green Version]







| Index | Soil Extracellular Enzyme Explains (%) | p-Value | Index | Soil Extracellular Enzyme Stoichiometry Explains (%) | p-Value |
|---|---|---|---|---|---|
| TNlitter | 76 | 0.002 | Soil moisture | 52 | 0.006 |
| TClitter | 11.5 | 0.002 | TClitter | 22.4 | 0.002 |
| Soil moisture | 3.5 | 0.014 | Organic C | 6.1 | 0.070 |
| Organic C | 1.6 | 0.108 | TNlitter | 4.4 | 0.094 |
| pH | 1.1 | 0.212 | TPlitter | 1.3 | 0.376 |
| TPlitter | 0.6 | 0.46 | NH4+−N | 1.4 | 0.392 |
| Available P | 0.5 | 0.592 | NO3−−N | 0.6 | 0.636 |
| NO3−−N | 0.4 | 0.668 | Available P | 0.4 | 0.728 |
| NH4+−N | 0.1 | 0.946 | pH | <0.1 | 0.996 |
Publisher’s Note: MDPI stays neutral with regard to jurisdictional claims in published maps and institutional affiliations. |
© 2022 by the authors. Licensee MDPI, Basel, Switzerland. This article is an open access article distributed under the terms and conditions of the Creative Commons Attribution (CC BY) license (https://creativecommons.org/licenses/by/4.0/).
Share and Cite
Wang, L.; Li, K.; Guo, J.; Liu, X.; Gao, J.; Ma, L.; Wei, J.; Lu, M.; Li, C. Extracellular Enzyme Stoichiometry Reveals Soil Microbial Carbon and Phosphorus Limitations in the Yimeng Mountain Area, China. Forests 2022, 13, 692. https://doi.org/10.3390/f13050692
Wang L, Li K, Guo J, Liu X, Gao J, Ma L, Wei J, Lu M, Li C. Extracellular Enzyme Stoichiometry Reveals Soil Microbial Carbon and Phosphorus Limitations in the Yimeng Mountain Area, China. Forests. 2022; 13(5):692. https://doi.org/10.3390/f13050692
Chicago/Turabian StyleWang, Lu, Kun Li, Jianyao Guo, Xiumei Liu, Jinhui Gao, Liang Ma, Jinhui Wei, Min Lu, and Chuanrong Li. 2022. "Extracellular Enzyme Stoichiometry Reveals Soil Microbial Carbon and Phosphorus Limitations in the Yimeng Mountain Area, China" Forests 13, no. 5: 692. https://doi.org/10.3390/f13050692
APA StyleWang, L., Li, K., Guo, J., Liu, X., Gao, J., Ma, L., Wei, J., Lu, M., & Li, C. (2022). Extracellular Enzyme Stoichiometry Reveals Soil Microbial Carbon and Phosphorus Limitations in the Yimeng Mountain Area, China. Forests, 13(5), 692. https://doi.org/10.3390/f13050692
