Comparative Analysis of Three Forest Management Plans in Southern Mexico
Abstract
1. Introduction
2. Materials and Methods
2.1. Background of the Study Area
2.2. Variables at the Sub-Stand Level of the Three Forest Management Plans
2.3. Data Analysis
3. Results and Discussion
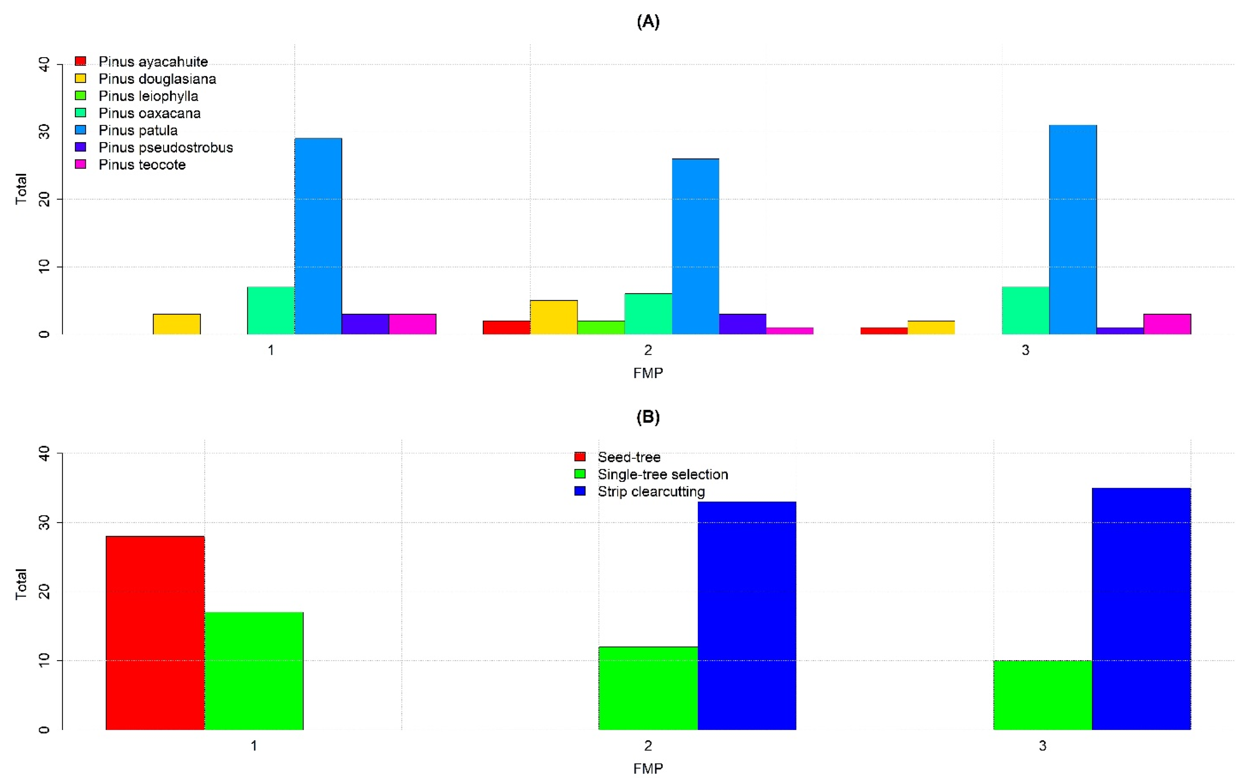
3.1. Comparison of Sub-Stand Variables of the Three Forest Management Plans
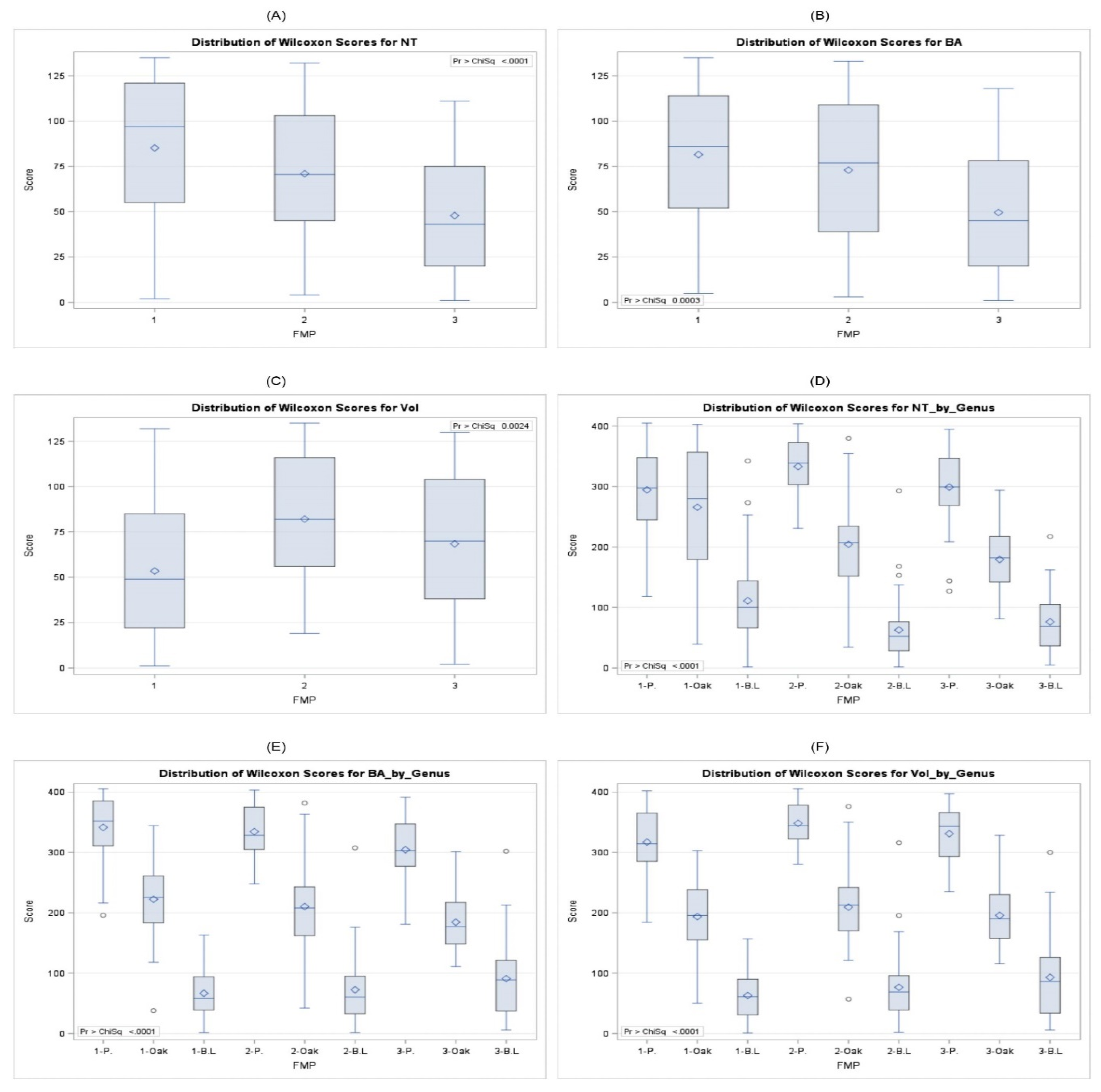
3.2. Statistical Comparison of Sub-Stand Variables between FMPs
4. Conclusions
Supplementary Materials
Author Contributions
Funding
Data Availability Statement
Acknowledgments
Conflicts of Interest
References
- Bray, D.B.; Merino-Pérez, L.; Barry, D. Chapter 1: Community Managed in the Strong Sense of the Phrase: The Community Forest Enterprises of Mexico. In The Community Forests of Mexico: Managing for Sustainable Landscapes; University of Texas Press: Austin, TX, USA, 2005; pp. 1–26. ISBN 978-0-292-79692-8. [Google Scholar]
- Klooster, D.; Ambinakudige, S. Chapter 13: The Global Significance of Mexican Community Forestry. In The Community Forests of Mexico: Managing for Sustainable Landscapes; University of Texas Press: Austin, TX, USA, 2005; pp. 303–334. ISBN 978-0-292-79692-8. [Google Scholar]
- Torres-Rojo, J.M.; Moreno-Sánchez, R.; Mendoza-Briseño, M.A. Sustainable forest management in Mexico. Curr. For. Rep. 2016, 2, 93–105. [Google Scholar] [CrossRef]
- [CONAFOR] Comisión Nacional Forestal El Sector Forestal Mexicano en Cifras 2020. Available online: http://www.gob.mx/conafor/documentos/el-sector-forestal-mexicano-en-cifras-2020 (accessed on 6 June 2021).
- de los Santos-Posadas, H.M.; Valdez-Lazalde, J.R.; Torres-Rojo, J.M. Chapter 23-San Pedro El alto community forest, Oaxaca, Mexico. In Forest Plans of North America; Siry, J.P., Bettinger, P., Merry, K., Grebner, D.L., Boston, K., Cieszewski, C., Eds.; Academic Press: San Diego, CA, USA, 2015; pp. 199–208. ISBN 978-0-12-799936-4. [Google Scholar]
- Madrid, L.; Núñez, J.M.; Quiroz, G.; Rodríguez, Y. La propiedad social forestal en México. Investig. Ambient. 2009, 1, 179–196. [Google Scholar]
- Frey, G.E.; Cubbage, F.; Holmes, T.P.; Reyes-Retana, G.; Davis, R.R.; Megevand, C.; Rodríguez-Paredes, D.; Kraus-Elsin, Y.; Hernández-Toro, B.; Chemor-Salas, D.N. Competitiveness, certification, and support of timber harvest by community forest enterprises in Mexico. For. Policy Econ. 2019, 107, 101923. [Google Scholar] [CrossRef]
- Mathews, A.S. Mexican forest history. J. Sustain. For. 2002, 15, 17–28. [Google Scholar] [CrossRef]
- [FAO] Food and Agriculture Organization Estado y Tendencias de La Ordenación Forestal En 17 Países de América Latina Por Consultores Forestales Asociados de Honduras (FORESTA). Documentos de Trabajo Sobre Ordenación Forestal; Documento de Trabajo FM/26; Servicio de Desarrollo de Recursos Forestales, Dirección de Recursos Forestales, FAO, Roma. Available online: https://www.fao.org/3/j2628s/J2628S13.htm#P1316_206954 (accessed on 6 June 2021).
- Moeliono, M.; Thuy, P.T.; Bong, I.W.; Wong, G.Y.; Brockhaus, M. Social Forestry-why and for whom? A comparison of policies in Vietnam and Indonesia. For. Soc. 2017, 1, 78–97. [Google Scholar] [CrossRef]
- Cedeño Gilardi, H.; Pérez Salicrup, D.R. La Legislación Forestal y Su Efecto En La Restauración En México. Instituto Nacional de Ecología y Cambio Climático. Available online: http://www2.inecc.gob.mx/publicaciones2/libros/467/cedenoyperez.html (accessed on 10 June 2021).
- Aguirre-Calderón, O.A. Manejo Forestal en el Siglo XXI. Madera Bosques 2015, 21, 17–28. [Google Scholar] [CrossRef]
- Rodríguez-Zúñiga, J.; González-Guillén, M.D.J.; Valtierra-Pacheco, E. Las empresas forestales comunitarias en la región de la Mariposa Monarca, México: Un enfoque empresarial. Bosque (Valdivia) 2019, 40, 57–69. [Google Scholar] [CrossRef]
- Bray, B.; Merino-Pérez, L. The rise of community forestry in Mexico: History, concepts, and lessons learned from twenty-five years of community timber production. In A Report in partial fulfillment of Grant; The Ford Foundation: New York, NY, USA, 2002. [Google Scholar]
- Wright, D.A.; Leighton, A.D. Forest utilization in Oaxaca. J. Sustain. For. 2002, 15, 67–79. [Google Scholar] [CrossRef]
- Bray, D.B.; Merino-Pérez, L. La Experiencia de las Comunidades Forestales en México: Veinticinco Años de Silvicultura y Construcción de Empresas Forestales Comunitarias; Instituto Nacional de Ecología: Distrito Federal, Mexico, 2004; ISBN 978-968-817-656-6. [Google Scholar]
- TIASA. Programa de Manejo Forestal Para El Predio de La Comunidad de Ixtlán de Juárez, Oaxaca; TIASA: Oaxaca, Mexico, 1993. [Google Scholar]
- Ganz, D.J.; Burckle, J.H. Forest utilization in the Sierra Juarez, Oaxaca, Mexico. J. Sustain. For. 2002, 15, 29–49. [Google Scholar] [CrossRef]
- Asbjornsen, H.; Ashton, M.S. Community forestry in Oaxaca, Mexico. J. Sustain. For. 2002, 15, 1–16. [Google Scholar] [CrossRef]
- Chapela, F. Chapter 5: Indigenous Community Forest Management in the Sierra Juárez, Oaxaca. In The Community Forests of Mexico: Managing for Sustainable Landscapes; University of Texas Press: Austin, TX, USA, 2005; pp. 89–110. ISBN 978-0-292-79692-8. [Google Scholar]
- Chaudhary, A.; Burivalova, Z.; Koh, L.P.; Hellweg, S. Impact of forest management on species richness: Global meta-analysis and economic trade-offs. Sci. Rep. 2016, 6, 23954. [Google Scholar] [CrossRef] [PubMed]
- Machar, I.; Simon, J.; Rejsek, K.; Pechanec, V.; Brus, J.; Kilianova, H. Assessment of forest management in protected areas based on multidisciplinary research. Forests 2016, 7, 285. [Google Scholar] [CrossRef]
- Liang, J.; Crowther, T.W.; Picard, N.; Wiser, S.; Zhou, M.; Alberti, G.; Schulze, E.-D.; McGuire, A.D.; Bozzato, F.; Pretzsch, H.; et al. Positive biodiversity-productivity relationship predominant in global forests. Science 2016, 354, aaf8957. [Google Scholar] [CrossRef] [PubMed]
- Poudyal, B.H.; Maraseni, T.; Cockfield, G. Impacts of forest management on tree species richness and composition: Assessment of forest management regimes in Tarai landscape Nepal. Appl. Geogr. 2019, 111, 102078. [Google Scholar] [CrossRef]
- Pretzsch, H.; Block, J.; Dieler, J.; Dong, P.H.; Kohnle, U.; Nagel, J.; Spellmann, H.; Zingg, A. Comparison between the productivity of pure and mixed stands of Norway spruce and European beech along an ecological gradient. Ann. For. Sci. 2010, 67, 712. [Google Scholar] [CrossRef]
- Pretzsch, H.; Bielak, K.; Block, J.; Bruchwald, A.; Dieler, J.; Ehrhart, H.-P.; Kohnle, U.; Nagel, J.; Spellmann, H.; Zasada, M.; et al. Productivity of mixed versus pure stands of oak (Quercus petraea (Matt.) Liebl. and Quercus robur L.) and European beech (Fagus sylvatica L.) along an ecological gradient. Eur. J. For. Res. 2013, 132, 263–280. [Google Scholar] [CrossRef]
- Schall, P.; Ammer, C. How to quantify forest management intensity in Central European forests. Eur. J. For. Res. 2013, 132, 379–396. [Google Scholar] [CrossRef]
- Dieler, J.; Uhl, E.; Biber, P.; Müller, J.; Rötzer, T.; Pretzsch, H. Effect of forest stand management on species composition, structural diversity, and productivity in the temperate zone of Europe. Eur. J. For. Res. 2017, 136, 739–766. [Google Scholar] [CrossRef]
- Soto Cervantes, J.A.; Padilla Martínez, J.R.; Domínguez Calleros, P.A.; Carrillo Parra, A.; Rodríguez Laguna, R.; Pompa García, M.; García Montiel, E.; Corral Rivas, J.J. Effect of Four Silvicultural Treatments on Timber Production in a Forest in Durango. Rev. Mex. Cienc. For. 2021, 12, 56–80. [Google Scholar] [CrossRef]
- Santiago-García, W.; Jacinto-Salinas, A.H.; Rodríguez-Ortiz, G.; Nava-Nava, A.; Santiago-García, E.; Ángeles-Pérez, G.; Valle, J.R.E.-D. Generalized height-diameter models for five pine species at Southern Mexico. For. Sci. Technol. 2020, 16, 49–55. [Google Scholar] [CrossRef]
- [STF] Servicios Técnicos Forestales de Ixtlán de Juárez. Programa de Manejo Forestal Para El Aprovechamiento y Conservación de Los Recursos Forestales Maderables de Ixtlán de Juárez. Ciclo de Corta 2015-2024; Servicios Técnicos Forestales de Ixtlán de Juárez: Oaxaca, Mexico, 2015. [Google Scholar]
- Kruskal, W.H.; Wallis, W.A. Use of ranks in one-criterion variance analysis. J. Am. Stat. Assoc. 1952, 47, 583–621. [Google Scholar] [CrossRef]
- SAS Institute. SAS Institute Base SAS 9.4 Procedures Guide: Statistical Procedures; SAS Institute: Cary, NC, USA, 2017. [Google Scholar]
- Sedgwick, P. Multiple significance tests: The Bonferroni correction. BMJ 2011, 344, e509. [Google Scholar] [CrossRef]
- R Development Core Team. R: A Language and Environment for Statistical Computing; R Foundation for Statistical Computing: Vienna, Austria, 2021. [Google Scholar]
- Castellanos-Bolaños, J.F.; Treviño-Garza, E.J.; Aguirre-Calderón, O.A.; Jiménez-Pérez, J.; Velázquez-Martínez, A. Diversidad arbórea y estructura espacial de bosques de pino-encino en Ixtlán de Juárez, Oaxaca. Rev. Mex. Cienc. For. 2010, 1, 39–52. [Google Scholar]
- Ramírez Santiago, R. Efectos de la Aplicación de dos Métodos de Regeneración Sobre la Estructura, Diversidad y Composición de un Bosque de Pino-Encino en la Sierra Juárez de Oaxaca, México. Master’s Thesis, Centro Agronómico Tropical de Investigaciones y Enseñanza (CATIE), Turrialba, Costa Rica, 2006. [Google Scholar]
- Ruiz-Aquino, F.; Ruiz-Ángel, S.; Santiago-García, W.; Fuente-Carrasco, M.E.; Sotomayor-Castellanos, J.R.; Carrillo-Parra, A. Energy characteristics of wood and charcoal of selected tree species in Mexico. WOOD Res. 2019, 64, 71–82. [Google Scholar]
- Pérez-Alavez, Y.; Rodríguez-Ortiz, G.; Santiago-García, W.; Campos-Angeles, G.V.; Valle, J.R.E.-D.; Martin, M.P. Effect of thinning intensity on litterfall biomass and nutrient deposition in a naturally regenerated pinus pseudostrobus lind. Forest in Oaxaca, Mexico. J. Sustain. For. 2021, 1–18. [Google Scholar] [CrossRef]
- Santiago-García, W.; Santos-Posadas, H.M.D.L.; Ángeles-Pérez, G.; Valdez-Lazalde, J.R.; Corral-Rivas, J.J.; Rodríguez-Ortiz, G.; Santiago-García, E. Modelos de crecimiento y rendimiento de totalidad del rodal para Pinus patula. Madera Bosques 2015, 21, 95–110. [Google Scholar] [CrossRef]
- Santiago-García, W.; Pérez-López, E.; Quiñonez-Barraza, G.; Rodríguez-Ortiz, G.; Santiago-García, E.; Ruiz-Aquino, F.; Tamarit-Urias, J.C. A Dynamic system of growth and yield equations for pinus patula. Forests 2017, 8, 465. [Google Scholar] [CrossRef]
- Santiago, G.E. Regeneración Natural Bajo El Método de Matarrasa En Franjas En Ixtlán de Juárez, Oaxaca. Informe Final de Residencia Profesional; Instituto Tecnológico Del Valle de Oaxaca: Nazareno, Xoxocotlán; Oaxaca, México, 2010. [Google Scholar]
- Rodríguez-Ortiz, G.; García-Aguilar, J.Á.; Leyva-López, J.C.; Ruiz-Díaz, C.; Valle, J.R.E.-D.; Santiago-García, W. Biomasa estructural y por compartimentos en regeneración de Pinus patula en áreas con matarrasa. Madera Bosques 2019, 25, 25. [Google Scholar] [CrossRef]
- Moreno, G.D.A. La Regeneración de Pino Como Sustentabilidad Del Sistema de Manejo Integral (SIMANIN) En Tapalpa, Jalisco; INIFAP-SAGARPA: Guadalajara, México, 2001. [Google Scholar]
- Moreno, R.S.; Aguirre-Calderón, Ó.A.; Treviño-Garza, E.J.; Pérez, J.J.; Ybarra, E.J.; Corral-Rivas, J. Efecto de dos tratamientos silvícolas en la estructura de ecosistemas forestales en Durango, México. Madera Bosques 2006, 12, 49–64. [Google Scholar] [CrossRef][Green Version]
- Yoshida, T.; Naito, S.; Nagumo, M.; Hyodo, N.; Inoue, T.; Umegane, H.; Yamazaki, H.; Miya, H.; Nakamura, F. Structural complexity and ecosystem functions in a natural mixed forest under a single-tree selection silviculture. Sustainability 2017, 9, 2093. [Google Scholar] [CrossRef]
- Leyva-López, J.C.; Velázquez-Martínez, A.; Ángeles-Pérez, G. Patrones de diversidad de la regeneración natural en rodales mezclados de pinos. Rev. Chapingo Ser. Cienc. For. Ambiente 2010, 16, 227–240. [Google Scholar] [CrossRef]
- Santiago, R.R.; Ángeles Pérez, G.; De La Rosa, P.H.; Alcalá, V.M.C.; Escalante, O.P.; Clark-Tapia, R. Efectos del aprovechamiento forestal en la estructura, diversidad y dinámica de rodales mixtos en la Sierra Juárez de Oaxaca, México. Madera Bosques 2019, 25, 25. [Google Scholar] [CrossRef]
- Martínez-Cervantes, E. Estructura y Dinámica de Bosques Con Manejo Forestal En Ixtlán de Juárez, Oaxaca. Forestry Engineer; Universidad de la Sierra Juárez.: Oaxaca, México, 2019. [Google Scholar]
- Núñez-López, D.; Wong, G.J.C.; Paz, P.F. Dinámica de La Producción de Biomasa Por Efecto de Las Intervenciones Silvícolas Aplicadas En Bosques Regulares Del Ejido El Largo y Anexos En Chihuahua. In Proceedings of the VI Simposio Internacional del Carbono en México, Villahermosa, México, 20–22 May 2015; p. 81. [Google Scholar]
- Del Río, M.; Calama, R.; Canellas, I.; Roig, S.; Montero, G. Thinning intensity and growth response in SW-European Scots pine stands. Ann. For. Sci. 2008, 65, 308. [Google Scholar] [CrossRef]
- Santiago-García, W.; De los Santos-Posadas, H.M.; Ángeles-Pérez, G.; Valdez-Lazalde, J.R.; Del Valle-Paniagua, D.H.; Corral-Rivas, J.J. Self-Thinning and Density Management Diagrams for Pinus Patula Fitted under the Stochastic Frontier Regression Approach. Agrociencia 2013, 47, 75–89. [Google Scholar]
- Missanjo, E.; Kamanga-Thole, G. Effect of first thinning and pruning on the individual growth of Pinus patula tree species. J. For. Res. 2015, 26, 827–831. [Google Scholar] [CrossRef]
- Hernández-Díaz, J.C.; Corral-Rivas, J.J.; Quiñones-Chávez, A.; Bacon-Sobbe, J.R.; Vargas-Larreta, B. Evaluación del manejo forestal regular e irregular en bosques de la Sierra Madre Occidental. Madera Bosques 2008, 14, 25–41. [Google Scholar] [CrossRef]
- Holladay, C.-A.; Kwit, C.; Collins, B. Woody regeneration in and around aging southern bottomland hardwood forest gaps: Effects of herbivory and gap size. For. Ecol. Manag. 2006, 223, 218–225. [Google Scholar] [CrossRef]
- Millington, J.D.; Walters, M.B.; Matonis, M.S.; Liu, J. Modelling for forest management synergies and trade-offs: Northern hardwood tree regeneration, timber and deer. Ecol. Model. 2012, 248, 103–112. [Google Scholar] [CrossRef]
- Suárez-Mota, M.E.; Pacheco-García, M.M.; Cristóbal-Angulo, O.P.; Antúnez, P.; Santiago-García, W.; Bautista-Juárez, I. La plaga defoliadora Zadiprion falsus Smith en la Sierra Norte de Oaxaca, México: Estado actual y perspectivas. Agro Product. 2018, 11, 35–41. [Google Scholar]
- Aguirre-Hidalgo, V.; Casasola-González, J.A.; Alfonso-Corrado, C.; Santiago-García, E.; Clark-Tapia, R. Registro y ecología de Zadiprion howdeni (Hymenoptera: Diprionidae) en Ixltán de Juárez, Oaxaca. Madera Bosques 2020, 26. [Google Scholar] [CrossRef]
- Suárez-Mota, M.E.; Angulo, O.P.C.; Santiago-García, W.; Ruiz-Aquino, F. Distribution of the defoliating pest zadiprion falsus: An análisis of overlapping niches of its hosts in Mexico. Èntomol. Am. 2021, 127, 5–11. [Google Scholar] [CrossRef]
- Van Deusen, P.C.; Roesch, F.A. Alternative definitions of growth and removals and implications for forest sustainability. For. Int. J. For. Res. 2008, 81, 177–182. [Google Scholar] [CrossRef]
- Pagdee, A.; Kim, Y.-S.; Daugherty, P.J. What makes community forest management successful: A meta-study from community forests throughout the world. Soc. Nat. Resour. 2006, 19, 33–52. [Google Scholar] [CrossRef]










Publisher’s Note: MDPI stays neutral with regard to jurisdictional claims in published maps and institutional affiliations. |
© 2022 by the authors. Licensee MDPI, Basel, Switzerland. This article is an open access article distributed under the terms and conditions of the Creative Commons Attribution (CC BY) license (https://creativecommons.org/licenses/by/4.0/).
Share and Cite
Santiago-García, W.; Bautista-Pérez, L.; Rodríguez-Ortiz, G.; Quiñonez-Barraza, G.; Ruiz-Aquino, F.; Suárez-Mota, M.E.; Santiago-García, E.; Leyva-Pablo, T.; Cortés-Pérez, M.; González-Guillén, M.d.J. Comparative Analysis of Three Forest Management Plans in Southern Mexico. Forests 2022, 13, 393. https://doi.org/10.3390/f13030393
Santiago-García W, Bautista-Pérez L, Rodríguez-Ortiz G, Quiñonez-Barraza G, Ruiz-Aquino F, Suárez-Mota ME, Santiago-García E, Leyva-Pablo T, Cortés-Pérez M, González-Guillén MdJ. Comparative Analysis of Three Forest Management Plans in Southern Mexico. Forests. 2022; 13(3):393. https://doi.org/10.3390/f13030393
Chicago/Turabian StyleSantiago-García, Wenceslao, Lourdes Bautista-Pérez, Gerardo Rodríguez-Ortiz, Gerónimo Quiñonez-Barraza, Faustino Ruiz-Aquino, Mario Ernesto Suárez-Mota, Elías Santiago-García, Tania Leyva-Pablo, Melquiades Cortés-Pérez, and Manuel de Jesús González-Guillén. 2022. "Comparative Analysis of Three Forest Management Plans in Southern Mexico" Forests 13, no. 3: 393. https://doi.org/10.3390/f13030393
APA StyleSantiago-García, W., Bautista-Pérez, L., Rodríguez-Ortiz, G., Quiñonez-Barraza, G., Ruiz-Aquino, F., Suárez-Mota, M. E., Santiago-García, E., Leyva-Pablo, T., Cortés-Pérez, M., & González-Guillén, M. d. J. (2022). Comparative Analysis of Three Forest Management Plans in Southern Mexico. Forests, 13(3), 393. https://doi.org/10.3390/f13030393

